Recent Advances in Copper-Based Solid Heterogeneous Catalysts for Azide–Alkyne Cycloaddition Reactions
Abstract
:1. Introduction
2. Inorganic Solid-Supported Catalysts for CuAAC
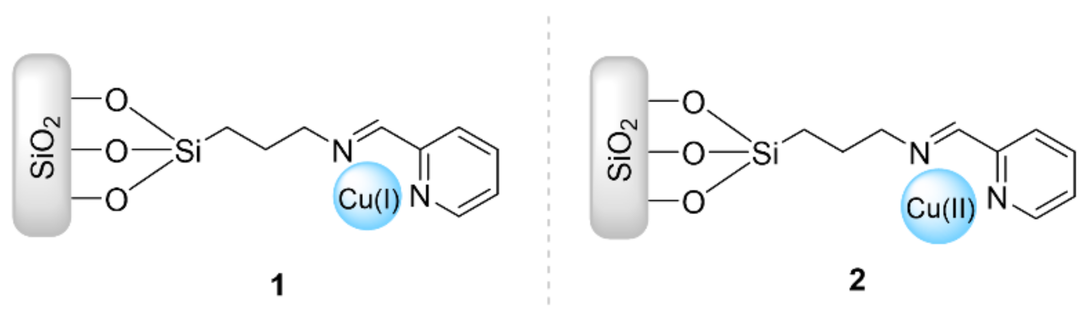
2.1. Silica Supports
2.2. Anionic Clay-Supported Catalysts for CuAAC
2.3. Other Inorganic Solid Supports
3. Carbon Material-Supported Catalysts for CuAAC
4. Magnetic Solid-Supported Catalysts for CuAAC
5. Conclusions
Author Contributions
Funding
Institutional Review Board Statement
Informed Consent Statement
Data Availability Statement
Conflicts of Interest
References
- Kolb, H.C.; Finn, M.G.; Sharpless, K.B. Click chemistry: Diverse chemical function from a few good reactions. Angew. Chem. Int. Ed. 2001, 40, 2004–2021. [Google Scholar] [CrossRef]
- Huisgen, R. 1,3-dipolar cycloadditions. Past and future. Angew. Chem. Int. Ed. Engl. 1963, 2, 565–598. [Google Scholar] [CrossRef]
- Rostovtsev, V.V.; Green, L.G.; Fokin, V.V.; Sharpless, K.B. A Stepwise Huisgen Cycloaddition Process: Copper(I)-Catalyzed Regioselective “Ligation” of Azides and Terminal Alkynes. Angew. Chem. Int. Ed. 2002, 41, 2596–2599. [Google Scholar] [CrossRef]
- Tornøe, C.W.; Christensen, C.; Meldal, M. Peptidotriazoles on solid phase: [1,2,3]-triazoles by regiospecific copper (I)-catalyzed 1,3-dipolar cycloadditions of terminal alkynes to azides. J. Org. Chem. 2002, 67, 3057–3064. [Google Scholar] [CrossRef]
- Castro, V.; Rodríguez, H.; Albericio, F. CuAAC: An efficient click chemistry reaction on solid phase. ACS Comb. Sci. 2016, 18, 1–14. [Google Scholar] [CrossRef]
- Delaittre, G.; Guimard, N.K.; Barner-Kowollik, C. Cycloadditions in modern polymer chemistry. Acc. Chem. Res. 2015, 48, 1296–1307. [Google Scholar] [CrossRef]
- McNulty, J.; Keskar, K.; Vemula, R. The First Well-Defined Silver (I)-Complex-Catalyzed Cycloaddition of Azides onto Terminal Alkynes at Room Temperature. Chem. Eur. J. 2011, 17, 14727–14730. [Google Scholar] [CrossRef]
- McNulty, J.; Keskar, K. Discovery of a robust and efficient homogeneous silver (I) catalyst for the cycloaddition of azides onto terminal alkynes. Eur. J. Org. Chem. 2012, 2012, 5462–5470. [Google Scholar] [CrossRef]
- Zhang, L.; Chen, X.; Xue, P.; Sun, H.H.; Williams, I.D.; Sharpless, K.B.; Fokin, V.V.; Jia, G. Ruthenium-catalyzed cycloaddition of alkynes and organic azides. J. Am. Chem. Soc. 2005, 127, 15998–15999. [Google Scholar] [CrossRef]
- Rasolofonjatovo, E.; Theeramunkong, S.; Bouriaud, A.; Kolodych, S.; Chaumontet, M.; Taran, F. Iridium-catalyzed cycloaddition of azides and 1-bromoalkynes at room temperature. Org. Lett. 2013, 15, 4698–4701. [Google Scholar] [CrossRef]
- Meng, X.; Xu, X.; Gao, T.; Chen, B. Zn/C-Catalyzed Cycloaddition of Azides and Aryl Alkynes. Eur. J. Org. Chem. 2010, 28, 5409–5414. [Google Scholar] [CrossRef]
- Aher, N.G.; Pore, V.S.; Mishra, N.N.; Kumar, A.; Shukla, P.K.; Sharma, A.; Bhat, M.K. Synthesis and antifungal activity of 1,2,3-triazole containing fluconazole analogues. Bioorg. Med. Chem. Lett. 2009, 19, 759–763. [Google Scholar] [CrossRef] [PubMed]
- Aly, M.R.E.S.; Saad, H.A.; Mohamed, M.A.M. Click reaction based synthesis, antimicrobial, and cytotoxic activities of new 1,2,3-triazoles. Bioorg. Med. Chem. Lett. 2015, 25, 2824–2830. [Google Scholar] [CrossRef] [PubMed]
- Kharb, R.; Shahar Yar, M.; Sharma, P.C. New insights into chemistry and anti-infective potential of triazole scaffold. Curr. Med. Chem. 2011, 18, 3265–3297. [Google Scholar] [CrossRef] [PubMed]
- Deng, Q.; Ding, N.N.; Wei, X.L.; Cai, L.; He, X.P.; Long, Y.T.; Chen, G.-R.; Chen, K. Identification of diverse 1 2,3-triazole-connected benzyl glycoside-serine/threonine conjugates as potent corrosion inhibitors for mild steel in HCl. Corr. Sci. 2012, 64, 64–73. [Google Scholar] [CrossRef]
- Smith, N.W.; Alonso, A.; Brown, C.M.; Dzyuba, S.V. Triazole-containing BODIPY dyes as novel fluorescent probes for soluble oligomers of amyloid Aβ1–42 peptide. Biochem. Biophys. Res. Commun. 2010, 391, 1455–1458. [Google Scholar] [CrossRef]
- Lau, Y.H.; Rutledge, P.J.; Watkinson, M.; Todd, M.H. Chemical sensors that incorporate click-derived triazoles. Chem. Soc. Rev. 2011, 40, 2848–2866. [Google Scholar] [CrossRef]
- Ye, C.; Gard, G.L.; Winter, R.W.; Syvret, R.G.; Twamley, B.; Shreeve, J.N.M. Synthesis of pentafluorosulfanylpyrazole and pentafluorosulfanyl-1,2,3-triazole and their derivatives as energetic materials by click chemistry. Org. Lett. 2007, 9, 3841–3844. [Google Scholar] [CrossRef]
- Xiong, H.; Seela, F. Stepwise “click” chemistry for the template independent construction of a broad variety of cross-linked oligonucleotides: Influence of linker length, position, and linking number on DNA duplex stability. J. Org. Chem. 2011, 76, 5584–5597. [Google Scholar] [CrossRef]
- Holla, B.S.; Mahalinga, M.; Karthikeyan, M.S.; Poojary, B.; Akberali, P.M.; Kumari, N.S. Synthesis, characterization and antimicrobial activity of some substituted 1,2,3-triazoles. Eur. J. Med. Chem. 2005, 40, 1173–1178. [Google Scholar] [CrossRef]
- Lazrek, H.B.; Taourirte, M.; Oulih, T.; Barascut, J.L.; Imbach, J.L.; Pannecouque, C.; Witrouw, M.; De Clercq, E. Synthesis and anti-HIV activity of new modified 1,2,3-triazole acyclonucleosides. Nucleos. Nucleot. Nucleic Acids 2001, 20, 1949–1960. [Google Scholar] [CrossRef] [PubMed]
- Hay, A.S. Oxidative coupling of acetylenes. J. Org. Chem. 1962, 27, 3320–3321. [Google Scholar] [CrossRef]
- Meldal, M.; Tornøe, C.W. Cu-catalyzed azide-alkyne cycloaddition. Chem. Rev. 2008, 108, 2952–3015. [Google Scholar] [CrossRef]
- Bhunia, S.; Pawar, G.G.; Kumar, S.V.; Jiang, Y.; Ma, D. Selected Copper-Based Reactions for C-N, C-O, C-S, and C-C Bond Formation. Angew. Chem. Int. Ed. 2017, 56, 16136–16179. [Google Scholar] [CrossRef]
- Chassaing, S.; Bénéteau, V.; Pale, P. When CuAAC ‘click chemistry’ goes heterogeneous. Catal. Sci. Tech. 2016, 6, 923–957. [Google Scholar] [CrossRef]
- Neto, J.S.; Zeni, G. A decade of advances in the reaction of nitrogen sources and alkynes for the synthesis of triazoles. Coor. Chem. Rev. 2020, 409, 213217. [Google Scholar] [CrossRef]
- Tăbăcaru, A.; Furdui, B.; Ghinea, I.O.; Carac, G.; Dinică, R.M. Recent advances in click chemistry reactions mediated by transition metal based systems. Inor. Chim. Acta 2017, 455, 329–349. [Google Scholar] [CrossRef]
- Haldón, E.; Nicasio, M.C.; Pérez, P.J. Copper-catalysed azide-alkyne cycloadditions (CuAAC): An update. Org. Biomol. Chem. 2015, 13, 9528–9550. [Google Scholar] [CrossRef]
- Shiri, P.; Aboonajmi, J. A systematic review on silica-, carbon-, and magnetic materials-supported copper species as efficient heterogeneous nanocatalysts in “click” reactions. Beilstein J. Org. Chem. 2020, 16, 551–586. [Google Scholar] [CrossRef] [Green Version]
- Singh, M.S.; Chowdhury, S.; Koley, S. Progress in 1,3-dipolar cycloadditions in the recent decade: An update to strategic development towards the arsenal of organic synthesis. Tetrahedron 2016, 13, 1603–1644. [Google Scholar] [CrossRef]
- Buckley, B.R.; Heaney, H. Mechanistic investigations of copper (I)-catalyzed alkyne-azide cycloaddition reactions. In Click Triazoles; Springer: Berlin/Heidelberg, Germany, 2012; pp. 1–29. [Google Scholar]
- Dervaux, B.; Du Prez, F.E. Heterogeneous azide-alkyne click chemistry: Towards metal-free end products. Chem. Sci. 2012, 3, 959–966. [Google Scholar] [CrossRef]
- Mandoli, A. Recent advances in recoverable systems for the copper-catalyzed azide-alkyne cycloaddition reaction (CuAAC). Molecules 2016, 21, 1174. [Google Scholar] [CrossRef] [PubMed] [Green Version]
- Megia-Fernandez, A.; Ortega-Munoz, M.; Lopez-Jaramillo, J.; Hernandez-Mateo, F.; Santoyo-Gonzalez, F. Non-Magnetic and Magnetic Supported Copper (I) Chelating Adsorbents as Efficient Heterogeneous Catalysts and Copper Scavengers for Click Chemistry. Adv. Syn. Cat. 2010, 352, 3306–3320. [Google Scholar] [CrossRef]
- Wang, C.; Ikhlef, D.; Kahlal, S.; Saillard, J.Y.; Astruc, D. Metal-catalyzed azide-alkyne “click” reactions: Mechanistic overview and recent trends. Coor. Chem. Rev. 2016, 316, 1–20. [Google Scholar] [CrossRef]
- Alonso, F.; Moglie, Y.; Radivoy, G.; Yus, M. Copper nanoparticles in click chemistry: An alternative catalytic system for the cycloaddition of terminal alkynes and azides. Tetrahedron Lett. 2009, 50, 2358–2362. [Google Scholar] [CrossRef]
- Jin, T.; Yan, M.; Yamamoto, Y. Click chemistry of alkyne-azide cycloaddition using nanostructured copper catalysts. ChemCatChem 2012, 4, 1217–1229. [Google Scholar] [CrossRef]
- Alonso, F.; Moglie, Y.; Radivoy, G. Copper nanoparticles in click chemistry. Acc. Chem. Res. 2015, 48, 2516–2528. [Google Scholar] [CrossRef] [Green Version]
- Ramazani, A.; Asiabi, P.A.; Aghahosseini, H.; Gouranlou, F. Review on the synthesis and functionalization of SiO2 nanoparticles as solid supported catalysts. Curr. Org. Chem. 2017, 21, 908–922. [Google Scholar] [CrossRef]
- Aflak, N.; Ben El Ayouchia, H.; Bahsis, L.; Anane, H.; Laamari, R.; Pascual-Alvarez, A.; Armentano, D.; Stiriba, S.E. Facile immobilization of copper(I) acetate on silica: A recyclable and reusable heterogeneous catalyst for azide-alkyne clickable cycloaddition reactions. Polyhedron 2019, 170, 630–638. [Google Scholar] [CrossRef]
- Diz, P.; Pernas, P.; El Maatougui, A.; Tubio, C.R.; Azuaje, J.; Sotelo, E.; Guitián, F.; Gil, A.; Coelho, A. Sol–gel entrapped Cu in a silica matrix: An efficient heterogeneous nanocatalyst for Huisgen and Ullmann intramolecular coupling reactions. App. Cata. A Gen. 2015, 502, 86–95. [Google Scholar] [CrossRef]
- Cook, A.W.; Jones, Z.R.; Wu, G.; Scott, S.L.; Hayton, T.W. An organometallic Cu20 nanocluster: Synthesis, characterization, immobilization on silica, and “Click” chemistry. J. Am. Chem. Soc. 2018, 140, 394–400. [Google Scholar] [CrossRef] [PubMed]
- Zarenezhad, E.; Rad, M.N.S.; Behrouz, S.; Esmaielzadeh, S.; Farjam, M. Immobilized [Cu (cdsalMeen)] on silica gel: A highly efficient heterogeneous catalyst for ‘Click’[3+2] Huisgen cycloaddition. J. Iran. Chem. Soc. 2017, 14, 509–519. [Google Scholar] [CrossRef]
- Lim, M.; Lee, H.; Kang, M.; Yoo, W.; Rhee, H. Azide-alkyne cycloaddition reactions in water via recyclable heterogeneous Cu catalysts: Reverse phase silica gel and thermoresponsive hydrogels. RSC Adv. 2018, 8, 6152–6159. [Google Scholar] [CrossRef] [Green Version]
- Bakherad, M.; Keivanloo, A.; Amin, A.H.; Ghmari, P. Silica-anchored Cu(I) aminothiophenol complex: An efficient heterogeneous catalyst for synthesis of 1,4-disubstituted 1,2,3-triazoles in water. Iran. J. Cat. 2018, 8, 179–187. [Google Scholar]
- Emami, M.; Bikas, R.; Noshiranzadeh, N.; Kozakiewicz, A.; Lis, T. Cu(II)-Hydrazide Coordination Compound Supported on Silica Gel as an Efficient and Recyclable Heterogeneous Catalyst for Green Click Synthesis of β-Hydroxy-1,2,3-triazoles in water. ACS Omega 2020, 5, 13344–13357. [Google Scholar] [CrossRef]
- Dehbanipour, Z.; Moghadam, M.; Tangestaninejad, S.; Mirkhani, V.; Mohammadpoor-Baltork, I. Copper(II) bis-thiazole complex immobilized on silica nanoparticles: Preparation, characterization and its application as a highly efficient catalyst for click synthesis of 1,2,3-triazoles. Polyhedron 2017, 138, 21–30. [Google Scholar] [CrossRef]
- Soltani Rad, M.N.; Behrouz, S.; Mohammadtaghi-Nezhad, J.; Zarenezhad, E.; Agholi, M. Silica-tethered cuprous acetophenone thiosemicarbazone (STCATSC) as a novel hybrid nanocatalyst for highly efficient synthesis of new 1,2,3-triazolyl-based metronidazole hybrid analogues having potent antigiardial activity. Appl. Organometal. Chem. 2019, 33, e4799. [Google Scholar] [CrossRef]
- Lai, B.; Huang, Z.; Jia, Z.; Bai, R.; Gu, Y. Silica-supported metal acetylacetonate catalysts with a robust and flexible linker constructed by using 2-butoxy-3,4-dihydropyrans as dual anchoring reagents and ligand donors. Cat. Sci. Tech. 2016, 6, 1810–1820. [Google Scholar] [CrossRef]
- Díaz-Marta, A.S.; Tubío, C.R.; Carbajales, C.; Fernández, C.; Escalante, L.; Sotelo, E.; Guitián, F.; Barrio, V.L.; Gil, A.; Coelho, A. Three-dimensional printing in catalysis: Combining 3D heterogeneous copper and palladium catalysts for multicatalytic multicomponent reactions. ACS Catal. 2018, 8, 392–404. [Google Scholar] [CrossRef]
- Hajipour, A.R.; Rafiee, F. Recent progress in ionic liquids and their applications in organic synthesis. Org. Prep. Proced. Interna. 2015, 47, 249–308. [Google Scholar] [CrossRef]
- Yavir, K.; Marcinkowski, Ł.; Marcinkowska, R.; Namieśnik, J.; Kloskowski, A. Analytical applications and physicochemical properties of ionic liquid-based hybrid materials: A review. Anal. Chim. Acta 2019, 1054, 1–16. [Google Scholar] [CrossRef] [PubMed]
- Zhang, X.; Geng, W.; Yue, C.; Wu, W.; Xiao, L. Multilayered supported ionic liquids bearing a carboxyl group: Highly efficient catalysts for chemical fixation of carbon dioxide. J. Environ. Chem. Eng. 2016, 4, 2565–2572. [Google Scholar] [CrossRef]
- Buaki-Sogo, M.; Garcia, H.; Aprile, C. Imidazolium-based silica microreactors for the efficient conversion of carbon dioxide. Catal. Sci. Technol. 2015, 5, 1222–1230. [Google Scholar] [CrossRef]
- Tavassoli, M.; Landarani-Isfahani, A.; Moghadam, M.; Tangestaninejad, S.; Mirkhani, V.; Mohammadpoor-Baltork, I. Copper dithiol complex supported on silica nanoparticles: A sustainable, efficient, and eco-friendly catalyst for multicomponent click reaction. ACS Sustain. Chem. Eng. 2016, 4, 1454–1462. [Google Scholar] [CrossRef]
- Fehér, K.; Nagy, E.; Szabó, P.; Juzsakov, T.; Srankó, D.; Gömöry, Á.; Kollár, L.; Skoda-Földes, R. Heterogeneous azide-alkyne cycloaddition in the presence of a copper catalyst supported on an ionic liquid polymer/silica hybrid material. Appl. Organometal. Chem. 2018, 32, e4343. [Google Scholar] [CrossRef]
- Khajehzadeh, M.; Moghadam, M.; Jamehbozorgi, S. Synthesis and characterization of a new poly (N–heterocyclic carbene Cu complex) immobilized on nano-silica,(CuII-NHCS) N@NSIO2, and its application as an efficient and reusable catalyst in the synthesis of benzimidazoles, benzothiazoles, 1,2,3-triazoles, bis-triazoles and sonogashira-hagihara reactions. Inorg. Chim. Acta 2019, 485, 173–189. [Google Scholar]
- Calsolaro, F.; Martina, K.; Borfecchia, E.; Chávez-Rivas, F.; Cravotto, G.; Berlier, G. β-Cyclodextrin-Silica Hybrid: A Spatially Controllable Anchoring Strategy for Cu(II)/Cu(I) Complex Immobilization. Catalysts 2020, 10, 1118. [Google Scholar] [CrossRef]
- Wang, Y.M.; Wu, Z.Y.; Zhu, J.H. Surface functionalization of SBA-15 by the solvent-free method. J. Solid State Chem. 2004, 177, 3815–3823. [Google Scholar] [CrossRef]
- Jiao, L.; Regalbuto, J.R. The synthesis of highly dispersed noble and base metals on silica via strong electrostatic adsorption: II. Mesoporous silica SBA-15. J. Catal. 2008, 260, 342–350. [Google Scholar] [CrossRef]
- Chmielarz, L.; Kuśtrowski, P.; Dziembaj, R.; Cool, P.; Vansant, E.F. Catalytic performance of various mesoporous silicas modified with copper or iron oxides introduced by different ways in the selective reduction of NO by ammonia. Appl. Catal. B 2006, 62, 369–380. [Google Scholar] [CrossRef]
- Pourhassan, F.; Eshghi, H. Novel hybrid thioamide ligand supported copper nanoparticles on SBA-15: A copper rich robust nanoreactor for green synthesis of triazoles and tetrazoles in water medium. Catal. Lett. 2019, 150, 1–14. [Google Scholar] [CrossRef]
- Banan, A.; Nikbakht, F.; Ataie, S. SBA-15-supported Cu(II)/Schiff-base complex as an efficient and recyclable catalyst for one-pot azide-alkyne cycloaddition reaction. J. Porous Mater. 2019, 26, 1427–1433. [Google Scholar] [CrossRef]
- Kakavand Ghalenoei, A.; Bakherad, M.; Keivanloo, A. SBA-15-supported-dithizone-copper (I): An efficient heterogeneous catalyst for synthesis of 1,4-disubstituted 1,2,3-triazoles in water. Iran. J. Catal. 2019, 9, 293–303. [Google Scholar]
- Sun, N.; Yu, Z.; Yi, H.; Zhu, X.; Jin, L.; Hu, B.; Shen, Z.; Hu, X. Synthesis of a heterogeneous Cu(OAc)2-anchored SBA-15 catalyst and its application in the CuAAC reaction. New. J. Chem. 2018, 42, 1612–1616. [Google Scholar] [CrossRef]
- Hosseini, H.G.; Doustkhah, E.; Kirillova, M.V.; Rostamnia, S.; Mahmoudi, G.; Kirillov, A.M. Combining ethylenediamine and ionic liquid functionalities within SBA-15: A promising catalytic pair for tandem Cu-AAC reaction. Appl. Catal. A 2017, 548, 96–102. [Google Scholar] [CrossRef]
- Ojaghi Aghbash, K.; Noroozi Pesyan, N.; Batmani, H. Cu-Kojic Acid Complex Anchored to Functionalized Silica-MCM-41: A Promising Regioselective and Reusable Nanocatalyst for Click Reaction. ACS Omega 2020, 5, 22099–22108. [Google Scholar] [CrossRef]
- Naeimi, H.; Nejadshafiee, V.; Masoum, S. Highly efficient copper-imprinted functionalized mesoporous organosilica nanocomposites as a recyclable catalyst for click synthesis of 1,2,3-triazole derivatives under ultrasound irradiation: Multivariate study by factorial design of experiments. RSC Adv. 2015, 5, 15006–15016. [Google Scholar] [CrossRef]
- Naeimi, H.; Nejadshafiee, V.; Masoum, S. Copper@PMO nanocomposites as a novel reusable heterogeneous catalyst for microwave-assisted green synthesis of β-hydroxy-1,2,3-triazoles through experimental design protocol. Appl. Organometal. Chem. 2015, 29, 314–321. [Google Scholar] [CrossRef]
- Mirsafaei, R.; Heravi, M.M.; Ahmadi, S.; Moslemin, M.H.; Hosseinnejad, T. In situ prepared copper nanoparticles on modified KIT-5 as an efficient recyclable catalyst and its applications in click reactions in water. J. Mol. Catal. A 2015, 402, 100–108. [Google Scholar] [CrossRef]
- Yang, R.; Gao, Y.; Wang, J.; Wang, Q. Layered double hydroxide (LDH) derived catalysts for simultaneous catalytic removal of soot and NOx. Dalton Trans. 2014, 43, 10317–10327. [Google Scholar] [CrossRef]
- Ötvös, S.B.; Georgiádes, Á.; Ádok-Sipiczki, M.; Mészáros, R.; Pálinkó, I.; Sipos, P.; Fülöp, F. A layered double hydroxide, a synthetically useful heterogeneous catalyst for azide-alkyne cycloadditions in a continuous-flow reactor. Appl. Catal. A 2015, 501, 63–73. [Google Scholar] [CrossRef] [Green Version]
- González-Olvera, R.; Urquiza-Castro, C.I.; Negrón-Silva, G.E.; Ángeles-Beltrán, D.; Lomas-Romero, L.; Gutiérrez-Carrillo, A.; Lara, V.H.; Santillanc, R.; Morales-Serna, J.A. Cu-Al mixed oxide catalysts for azide-alkyne 1,3-cycloaddition in ethanol-water. RSC Adv. 2016, 6, 63660–63666. [Google Scholar] [CrossRef]
- Corona-Sánchez, R.; Sánchez-Eleuterio, A.; Negrón-Lomas, C.; Ruiz Almazan, Y.; Lomas-Romero, L.; Negrón-Silva, G.E.; Rodríguez-Sánchez, Á.C. Cu–Al mixed oxide-catalysed multi-component synthesis of gluco- and allofuranose-linked 1,2,3-triazole derivatives. R. Soc. Open Sci. 2020, 7, 200290. [Google Scholar] [CrossRef] [PubMed]
- Amini, M.; Nikkhoo, M.; Farnia, S.M.F. Synthesis, characterization and catalytic properties of tetrachlorocuprate (II) immobilized on layered double hydroxide. Appl. Organometal. Chem. 2017, 31, e3710. [Google Scholar] [CrossRef]
- Rezaeimanesh, F.; Bakherad, M.; Nasr-Isfahani, H.; Bahramian, B.; Naderi, S. Synthesis of 1,2,3 triazole-linked pyrimidines catalyzed by mg-Al-LDH-immobilized-CuI as a heterogeneous catalyst. J. Heter. Chem. 2020, 57, 565–574. [Google Scholar] [CrossRef]
- Mekhzoum, M.E.M.; Benzeid, H.; Essassi, E.M.; Bouhfid, R. Copper(I) confined in interlayer space of montmorillonite: A highly efficient and recyclable catalyst for click reaction. Catal. Lett. 2016, 146, 136–143. [Google Scholar] [CrossRef]
- Elnagdy, H.M.; Gogoi, K.; Ali, A.A.; Sarma, D. Claycop/hydrazine: A new and highly efficient recyclable/reusable catalytic system for 1,4-disubstituted-1,2,3-triazole synthesis under solvent-free conditions. Appl. Organometal. Chem. 2018, 32, e3931. [Google Scholar] [CrossRef]
- Dubey, N.; Sharma, P.; Kumar, A. Clay-supported Cu(II) catalyst: An efficient, heterogeneous, and recyclable catalyst for synthesis of 1,4-disubstituted 1,2,3-triazoles from alloxan-derived terminal alkyne and substituted azides using click chemistry. Synth. Commun. 2015, 45, 2608–2626. [Google Scholar] [CrossRef]
- Agalave, S.G.; Pharande, S.G.; Gade, S.M.; Pore, V.S. Alumina-Supported Copper Iodide: An Efficient and Recyclable Catalyst for Microwave-Assisted Synthesis of 1, 4-Disubstituted 1,2,3-Triazoles via Three-Component Reaction in Water. Asian J. Org. Chem. 2015, 4, 943–951. [Google Scholar] [CrossRef]
- Safa, K.D.; Mousazadeh, H. A simple and efficient synthesis of organosilicon compounds containing 1,2,3-triazole moieties catalyzed by ZSM-5 zeolite-supported Cu-Co bimetallic oxides. Monatsh. Chem. 2016, 147, 1951–1961. [Google Scholar] [CrossRef]
- Mitrofanov, A.; Brandès, S.; Herbst, F.; Rigolet, S.; Bessmertnykh-Lemeune, A.; Beletskaya, I. Immobilization of copper complexes with (1,10-phenanthrolinyl) phosphonates on titania supports for sustainable catalysis. J. Mater. Chem. A 2017, 5, 12216–12235. [Google Scholar] [CrossRef] [Green Version]
- Amini, A.; Fallah, A.; Cheng, C.; Tajbakhsh, M. Natural phosphate-supported Cu(II), an efficient and recyclable catalyst for the synthesis of xanthene and 1,4-disubstituted-1,2,3-triazole derivatives. RSC Adv. 2018, 8, 41536–41547. [Google Scholar] [CrossRef] [Green Version]
- Xiong, X.; Tang, Z.; Sun, Z.; Meng, X.; Song, S.; Quan, Z. Supported copper(I) catalyst from fish bone waste: An efficient, green and reusable catalyst for the click reaction toward N-substituted 1,2,3-TRIAZOLES. Appl. Organometal. Chem. 2018, 32, e3946. [Google Scholar] [CrossRef]
- Ting, J.M.; Lin, W.C. Unprecedented re-growth of carbon nanotubes on in situ re-activated catalyst. Nanotechnology 2008, 20, 025608. [Google Scholar] [CrossRef] [PubMed]
- Geim, A.K.; Novoselov, K.S. The rise of graphene. Nat. Mater. 2007, 6, 183–191. [Google Scholar]
- Tsakadze, Z.L.; Levchenko, I.; Ostrikov, K.; Xu, S. Plasma-assisted self-organized growth of uniform carbon nanocone arrays. Carbon 2007, 45, 2022–2030. [Google Scholar] [CrossRef]
- Fejes, D.; Hernádi, K. A review of the properties and CVD synthesis of coiled carbon nanotubes. Materials 2010, 3, 2618–2642. [Google Scholar] [CrossRef] [Green Version]
- Aflak, N.; Ben El Ayouchia, H.; Bahsis, L.; El Mouchtari, E.M.; Julve, M.; Rafqah, S.; Anane, H.; Stiriba, S.-E. Sustainable Construction of Heterocyclic 1,2,3-Triazoles by Strict Click [3+2] Cycloaddition Reactions Between Azides and Alkynes on Copper/Carbon in Water. Front. Chem. 2019, 7, 81. [Google Scholar] [CrossRef]
- Rani, G.S.; Vijay, M.; Prabhavathi Devi, B.L. SO3Cu-Carbon: A Novel Heterogeneous Catalyst for the Synthesis of β-Hydroxy 1,2,3-Triazoles by One Pot Cycloaddition Reaction. ChemistrySelect 2019, 4, 10133–10142. [Google Scholar] [CrossRef]
- Liu, Z.X.; Chen, B.B.; Liu, M.L.; Zou, H.Y.; Huang, C.Z. Cu(I)-Doped carbon quantum dots with zigzag edge structures for highly efficient catalysis of azide-alkyne cycloadditions. Green Chem. 2017, 19, 1494–1498. [Google Scholar] [CrossRef]
- Dreyer, D.R.; Park, S.; Bielawski, C.W.; Ruoff, R.S. The chemistry of graphene oxide. Chem. Soc. Rev. 2010, 39, 228–240. [Google Scholar] [CrossRef] [PubMed]
- Xu, C.; Wang, X.; Zhu, J. Graphene-metal particle nanocomposites. J. Phys. Chem. C 2008, 112, 19841–19845. [Google Scholar] [CrossRef]
- Dong, L.; Gari, R.R.S.; Li, Z.; Craig, M.M.; Hou, S. Graphene-supported platinum and platinum–ruthenium nanoparticles with high electrocatalytic activity for methanol and ethanol oxidation. Carbon 2010, 48, 781–787. [Google Scholar] [CrossRef]
- Scheuermann, G.M.; Rumi, L.; Steurer, P.; Bannwarth, W.; Mülhaupt, R. Palladium nanoparticles on graphite oxide and its functionalized graphene derivatives as highly active catalysts for the Suzuki-Miyaura coupling reaction. J. Am. Chem. Soc. 2009, 131, 8262–8270. [Google Scholar] [CrossRef] [PubMed]
- Pyun, J. Graphene oxide as catalyst: Application of carbon materials beyond nanotechnology. Angew. Chem. Int. Ed. 2011, 50, 46–48. [Google Scholar] [CrossRef] [PubMed]
- Caliman, C.C.; Mesquita, A.F.; Cipriano, D.F.; Freitas, J.C.C.; Cotta, A.A.C.; Macedo, W.A.A.; Porto, A.O. One-pot synthesis of amine-functionalized graphene oxide by microwave-assisted reactions: An outstanding alternative for supporting materials in supercapacitors. RSC Adv. 2018, 8, 6136–6145. [Google Scholar] [CrossRef] [Green Version]
- Singh, R.K.; Kumar, R.; Singh, D.P. Graphene oxide: Strategies for synthesis, reduction and frontier applications. RSC Adv. 2016, 6, 64993–65011. [Google Scholar] [CrossRef]
- Shanmugharaj, A.M.; Yoon, J.H.; Yang, W.J.; Ryu, S.H. Synthesis, characterization, and surface wettability properties of amine functionalized graphene oxide films with varying amine chain lengths. J. Colloid Interface Sci. 2013, 401, 148–154. [Google Scholar] [CrossRef]
- Pumera, M.; Wong, C.H.A. Graphane and hydrogenated graphene. Chem. Soc. Rev. 2013, 42, 5987–5995. [Google Scholar] [CrossRef]
- Bendi, R.; Imae, T. Renewable catalyst with Cu nanoparticles embedded into cellulose nano-fiber film. RSC Adv. 2013, 3, 16279–16282. [Google Scholar] [CrossRef]
- Zhang, H.; Kuila, T.; Kim, N.H.; Yu, D.S.; Lee, J.H. Simultaneous reduction, exfoliation, and nitrogen doping of graphene oxide via a hydrothermal reaction for energy storage electrode materials. Carbon 2014, 69, 66–78. [Google Scholar] [CrossRef]
- Khanra, P.; Kuila, T.; Bae, S.H.; Kim, N.H.; Lee, J.H. Electrochemically exfoliated graphene using 9-anthracene carboxylic acid for supercapacitor application. J. Mater. Chem. 2012, 22, 24403–24410. [Google Scholar] [CrossRef]
- Parviz, D.; Das, S.; Ahmed, H.T.; Irin, F.; Bhattacharia, S.; Green, M.J. Dispersions of non-covalently functionalized graphene with minimal stabilizer. ACS Nano 2012, 6, 8857–8867. [Google Scholar] [CrossRef] [PubMed]
- Pourjavadi, A.; Safaie, N.; Hosseini, S.H.; Bennett, C. Graphene oxide/poly (vinyl imidazole) nanocomposite: An effective support for preparation of highly loaded heterogeneous copper catalyst. Appl. Organometal. Chem. 2015, 29, 601–607. [Google Scholar] [CrossRef]
- Naeimi, H.; Shaabani, R. Ultrasound promoted facile one pot synthesis of triazole derivatives catalyzed by functionalized graphene oxide Cu(I) complex under mild conditions. Ultrason. Sonochem. 2017, 34, 246–254. [Google Scholar] [CrossRef]
- Naeimi, H.; Shaabani, R.; Moradian, M. Functionalized graphene oxide supported copper(I) complex as effective and recyclable nanocatalyst for one-pot three component synthesis of 1,2,3-triazoles. Appl. Organometal. Chem. 2017, 31, e3626. [Google Scholar] [CrossRef]
- Naeimi, H.; Shaabani, R. Preparation and characterization of functionalized graphene oxide Cu(I) complex: A facile and reusable nanocatalyst for microwave assisted heterocyclization of alkyl halides with alkynes and sodium azide. Catal. Commun. 2016, 87, 6–9. [Google Scholar] [CrossRef]
- Naeimi, H.; Ansarian, Z. Functionalized polytriazoles on graphene oxide-supported copper(I) complex as an effective reusable catalyst for sonochemical click synthesis of triazoles in aqueous media. Inorg. Chim. Acta 2017, 466, 417–425. [Google Scholar] [CrossRef]
- Naeimi, H.; Ansarian, Z. Immobilized polytriazole complexes of copper (I) onto graphene oxide as a recyclable nanocatalyst for synthesis of triazoles. Appl. Organometal. Chem. 2017, 31, e3796. [Google Scholar] [CrossRef]
- Khojastehnezhad, A.; Bakavoli, M.; Javid, A.; Siuki, M.M.K.; Shahidzadeh, M. Synthesis, characterization, and investigation of catalytic activity of copper (II) porphyrin graphene oxide for azide-alkyne cycloaddition. Res. Chem. Intermed. 2019, 45, 4473–4485. [Google Scholar] [CrossRef]
- Dabiri, M.; Alavioon, S.I.; Movahed, S.K. N-Heterocyclic carbine-copper complex supported on ionic liquid-modified graphene oxide: Versatile catalyst for synthesis of (i) 1,2,3-triazole and (ii) propargylamine derivatives. J. Iran. Chem. Soc. 2018, 15, 2463–2474. [Google Scholar] [CrossRef]
- Shaygan Nia, A.; Rana, S.; Döhler, D.; Jirsa, F.; Meister, A.; Guadagno, L.; Koslowski, E.; Bron, M.; Binder, W.H. Carbon-supported copper nanomaterials: Recyclable catalysts for Huisgen [3+2] cycloaddition reactions. Chem. A Eur. J. 2015, 21, 10763–10770. [Google Scholar] [CrossRef] [PubMed]
- Bahadorikhalili, S.; Ma’mani, L.; Mahdavi, H.; Shafiee, A. Copper supported β-cyclodextrin functionalized PEGylated mesoporous silica nanoparticle-graphene oxide hybrid: An efficient and recyclable nanocatalyst for straightforward synthesis of 2-arylbenzimidazoles and 1,2,3-triazoles. Microporous Mesoporous Mater. 2018, 262, 207–216. [Google Scholar] [CrossRef]
- Samuel, A.G.; Nagarajan, K.; Cidhuraj, K.; Gopal, B.; Chakravarty, S.; Selvaraj, V.; Lourdusamy, E.; Bhagavathsingh, J. Copper(II) complex intercalated graphene oxide nanocomposites as versatile, reusable catalysts for click reaction. Appl. Organometal. Chem. 2020, 34, e6017. [Google Scholar] [CrossRef]
- Navid Soltani Rad, M.; Behrouz, S.; Jafar Hoseini, S.; Nasrabadi, H.; Saberi Zare, M. Copper/Graphene/Clay Nanohybrid: A Highly Efficient Heterogeneous Nanocatalyst for the Synthesis of Novel 1,2,3-Triazolyl Carboacyclic Nucleosides via ‘Click’Huisgen 1,3-Dipolar Cycloaddition. Helv. Chim. Acta 2015, 98, 1210–1224. [Google Scholar] [CrossRef]
- Elavarasan, S.; Baskar, B.; Senthil, C.; Bhanja, P.; Bhaumik, A.; Selvam, P.; Sasidharan, M. An efficient mesoporous carbon nitride (gC3N4) functionalized Pd catalyst for carbon-carbon bond formation reactions. RSC Adv. 2016, 6, 49376–49386. [Google Scholar] [CrossRef]
- Goettmann, F.; Fischer, A.; Antonietti, M.; Thomas, A. Chemical synthesis of mesoporous carbon nitrides using hard templates and their use as a metal-free catalyst for Friedel–Crafts reaction of benzene. Angew. Chem. Int. Ed. 2006, 45, 4467–4471. [Google Scholar] [CrossRef]
- Notestein, J.M.; Katz, A. Enhancing heterogeneous catalysis through cooperative hybrid organic–inorganic interfaces. Chem. Eur. J. 2006, 12, 3954–3965. [Google Scholar] [CrossRef]
- Dadashi-Silab, S.; Kiskan, B.; Antonietti, M.; Yagci, Y. Mesoporous graphitic carbon nitride as a heterogeneous catalyst for photoinduced copper (I)-catalyzed azide–alkyne cycloaddition. RSC Adv. 2014, 4, 52170–52173. [Google Scholar] [CrossRef]
- Xu, J.; Shang, J.K.; Jiang, Q.; Wang, Y.; Li, Y.X. Facile alkali-assisted synthesis of gC3N4 materials and their high-performance catalytic application in solvent-free cycloaddition of CO2 to epoxides. RSC Adv. 2016, 6, 55382–55392. [Google Scholar] [CrossRef]
- Goettmann, F.; Fischer, A.; Antonietti, M.; Thomas, A. Metal-free catalysis of sustainable Friedel–Crafts reactions: Direct activation of benzene by carbon nitrides to avoid the use of metal chlorides and halogenated compounds. Chem. Commun. 2006, 4530–4532. [Google Scholar] [CrossRef] [PubMed]
- Verma, S.; Baig, R.N.; Han, C.; Nadagouda, M.N.; Varma, R.S. Oxidative esterification via photocatalytic C-H activation. Green Chem. 2016, 18, 251–254. [Google Scholar] [CrossRef]
- Ansari, M.B.; Min, B.H.; Mo, Y.H.; Park, S.E. CO2 activation and promotional effect in the oxidation of cyclic olefins over mesoporous carbon nitrides. Green Chem. 2011, 13, 1416–1421. [Google Scholar] [CrossRef]
- Payra, S.; Saha, A.; Banerjee, S. On Water Cu@g-C3N4 Catalyzed Synthesis of NH-1,2,3-Triazoles via [2+3] Cycloadditions of Nitroolefins/Alkynes and Sodium Azide. ChemCatChem 2018, 10, 5468–5474. [Google Scholar] [CrossRef]
- Goettmann, F.; Boissière, C.; Grosso, D.; Mercier, F.; Le Floch, P.; Sanchez, C. New hybrid bidentate ligands as precursors for smart catalysts. Chem. Eur. J. 2005, 11, 7416–7426. [Google Scholar] [CrossRef]
- Goettmann, F.; Le Floch, P.; Sanchez, C. Hybrid bidentate ligand for functional recognition: An application to regioselective C [double bond, length as m-dash] C double bond hydrogenation. Chem. Commun. 2006, 2036–2038. [Google Scholar] [CrossRef]
- Hajipour, A.R.; Karimzadeh, M.; Fakhari, F.; Karimi, H. CuFeO2/tetrabutylammonium bromide catalyzes selective synthesis of 1,4-disubstituted 1,2,3-triazoles in neat water at room temperature. Appl. Organometal. Chem. 2016, 30, 946–948. [Google Scholar] [CrossRef]
- Mondal, B.; Kundu, M.; Mandal, S.P.; Saha, R.; Roy, U.K.; Roychowdhury, A.; Das, D. Sonochemically synthesized spin-canted CuFe2O4 nanoparticles for heterogeneous green catalytic click chemistry. ACS Omega 2019, 4, 13845–13852. [Google Scholar] [CrossRef] [Green Version]
- Sharma, N.; Gupta, M.; Chowhan, B.; Frontera, A. Magnetically separable nanocatalyst (IL@CuFe2O4-L-Tyr-TiO2/TiTCIL): Preparation, characterization and its applications in 1,2,3-triazole synthesis and in photodegradation of MB. J. Mol. Struct. 2021, 1224, 129029. [Google Scholar] [CrossRef]
- Eisavi, R.; Karimi, A. CoFe2O4/Cu(OH)2 magnetic nanocomposite: An efficient and reusable heterogeneous catalyst for one-pot synthesis of β-hydroxy-1,4-disubstituted-1,2,3-triazoles from epoxides. RSC Adv. 2019, 9, 29873–29887. [Google Scholar] [CrossRef] [Green Version]
- Moghaddam, F.M.; Saberi, V.; Kalhor, S.; Ayati, S.E. A novel highly dispersive magnetic nanocatalyst in water: Glucose as an efficient and green ligand for the immobilization of copper (ii) for the cycloaddition of alkynes to azides. RSC Adv. 2016, 6, 80234–80243. [Google Scholar] [CrossRef]
- Jafari, A.A.; Mahmoudi, H.; Firouzabadi, H. A copper acetate/2-aminobenzenthiol complex supported on magnetite/silica nanoparticles as a highly active and recyclable catalyst for 1,2,3-triazole synthesis. RSC Adv. 2015, 5, 107474–107481. [Google Scholar] [CrossRef]
- Vibhute, S.P.; Mhaldar, P.M.; Korade, S.N.; Gaikwad, D.S.; Shejawal, R.V.; Pore, D.M. Synthesis of magnetically separable catalyst Cu-ACP-Am-Fe3O4@SiO2 for Huisgen 1,3-dipolar cycloaddition. Tetrahedron Lett. 2018, 59, 3643–3652. [Google Scholar] [CrossRef]
- Mehdipour, M.; Khodabakhshi, M. 2-(Aminomethyl) benzimidazole/Cu2+ immobilized on Fe3O4@SiO2: A convenient magnetic nanocatalyst for click reaction of aryl iodide/benzyl halide, sodium azide and terminal alkyne. Curr. Chem. Lett. 2020, 9, 9–18. [Google Scholar] [CrossRef]
- Zirak, M.; Jamali Garegeshlagi, E. Picolinimidoamide-Cu(II) complex anchored on Fe3O4@SiO2 core-shell magnetic nanoparticles: An efficient reusable catalyst for click reaction. J. Coord. Chem. 2018, 71, 1168–1179. [Google Scholar] [CrossRef]
- Moghaddam, F.M.; Ayati, S.E. Copper immobilized onto a triazole functionalized magnetic nanoparticle: A robust magnetically recoverable catalyst for “click” reactions. RSC Adv. 2015, 5, 3894–3902. [Google Scholar] [CrossRef]
- Moghaddam, F.M.; Ayati, S.E.; Firouzi, H.R.; Ghorbani, F. Immobilization of copper ions onto α-amidotriazole-functionalized magnetic nanoparticles and their application in the synthesis of triazole derivatives in water. Appl. Organometal. Chem. 2016, 30, 488–493. [Google Scholar] [CrossRef]
- Mogaddam, F.M.; Eslami, M.; Ayati, S.E. Copper(II) Ions Immobilized onto Aminoquinoline-Functionalized Ferrite: A New Efficient and Recoverable Catalyst for “in Water” Synthesis of Triazole Derivatives. ChemistrySelect 2017, 2, 11942–11948. [Google Scholar] [CrossRef]
- Zahmatkesh, S.; Esmaeilpour, M.; Javidi, J. 1,4-Dihydroxyanthraquinone–copper(ii) supported on superparamagnetic Fe3O4@ SiO2: An efficient catalyst for N-arylation of nitrogen heterocycles and alkylamines with aryl halides and click synthesis of 1-aryl-1,2,3-triazole derivatives. RSC Adv. 2016, 6, 90154–90164. [Google Scholar] [CrossRef]
- Esmaeilpour, M.; Javidi, J.; Davan, E.E. Click Synthesis of 1-Aryl-1,2,3-Triazole Derivatives Catalyzed by Recyclable Ligand Complex of Copper(II) Supported on Superparamagnetic Fe3O4@SiO2 Nanoparticles. Iran. J. Sci. Technol. Trans. Sci. 2018, 42, 487–496. [Google Scholar] [CrossRef]
- Zohreh, N.; Jahani, M. NNN-pincer-copper complex immobilized on magnetic nanoparticles as a powerful hybrid catalyst for aerobic oxidative coupling and cycloaddition reactions in water. J. Mol. Catal. A 2017, 426, 117–129. [Google Scholar] [CrossRef]
- Mohammadi, L.; Zolifgol, M.A.; Yarie, M.; Ebrahiminia, M.; Roberts, K.P.; Hussaini, S.R. Application of two magnetic nanoparticle-supported copper (I) catalysts for the synthesis of triazole derivatives. Res. Chem. Intermed. 2019, 45, 4789–4799. [Google Scholar] [CrossRef]
- Khodaei, M.M.; Bahrami, K.; Meibodi, F.S. Ferromagnetic nanoparticle-supported copper complex: A highly efficient and reusable catalyst for three-component syntheses of 1,4-disubstituted 1,2,3-triazoles and C-S coupling of aryl halides. Appl. Organometal. Chem. 2017, 31, e3714. [Google Scholar] [CrossRef]
- Tajbakhsh, M.; Farhang, M.; Baghbanian, S.M.; Hosseinzadeh, R.; Tajbakhsh, M. Nano magnetite supported metal ions as robust, efficient and recyclable catalysts for green synthesis of propargylamines and 1,4-disubstituted 1,2,3-triazoles in water. New J. Chem. 2015, 39, 1827–1839. [Google Scholar] [CrossRef]
- Misztalewska-Turkowicz, I.; Markiewicz, K.H.; Michalak, M.; Wilczewska, A.Z. NHC-copper complexes immobilized on magnetic nanoparticles: Synthesis and catalytic activity in the CuAAC reactions. J. Catal. 2018, 362, 46–54. [Google Scholar] [CrossRef]
- Mahdavi, M.; Lijan, H.; Bahadorikhalili, S.; Ma’mani, L.; Ranjbar, P.R.; Shafiee, A. Copper supported β-cyclodextrin grafted magnetic nanoparticles as an efficient recyclable catalyst for one-pot synthesis of 1-benzyl-1 H-1,2,3-triazoldibenzodiazepinone derivatives via click reaction. RSC Adv. 2016, 6, 28838–28843. [Google Scholar] [CrossRef]
- Bahadorikhalili, S.; Ashtari, A.; Ma’mani, L.; Ranjbar, P.R.; Mahdavi, M. Copper-supported β-cyclodextrin-functionalized magnetic nanoparticles: Efficient multifunctional catalyst for one-pot ‘green’ synthesis of 1,2,3-triazolylquinazolinone derivatives. Appl. Organometal. Chem. 2018, 32, e4212. [Google Scholar] [CrossRef]
- Darroudi, M.; Ranjbar, S.; Esfandiar, M.; Khoshneviszadeh, M.; Hamzehloueian, M.; Khoshneviszadeh, M.; Sarrafi, Y. Synthesis of Novel Triazole Incorporated Thiazolone Motifs Having Promising Antityrosinase Activity through Green Nanocatalyst CuI-Fe3O4@ SiO2 (TMS-EDTA). Appl. Organometal. Chem. 2020, 34, e5962. [Google Scholar] [CrossRef]
- Banan, A.; Bayat, A.; Valizadeh, H. Copper immobilized onto polymer-coated magnetic nanoparticles as recoverable catalyst for ‘click’ reaction. Appl. Organometal. Chem. 2017, 31, e3604. [Google Scholar] [CrossRef]
- Bahrami, K.; Arabi, M.S. Copper immobilized ferromagnetic nanoparticle triazine dendrimer (FMNP@TD-Cu(II))-catalyzed regioselective synthesis of 1,4-disubstituted 1,2,3-triazoles. New. J. Chem. 2016, 40, 3447–3455. [Google Scholar] [CrossRef]
- Sardarian, A.R.; Mohammadi, F.; Esmaeilpour, M. Dendrimer-encapsulated copper(II) immobilized on Fe3O4@SiO2 NPs: A robust recoverable catalyst for click synthesis of 1,2,3-triazole derivatives in water under mild conditions. Res. Chem. Intermed. 2019, 45, 1437–1456. [Google Scholar] [CrossRef]
- Kal-Koshvandi, A.T.; Ahghari, M.R.; Maleki, A. Design and antibacterial activity assessment of “green” synthesized 1,4-disubstituted 1,2,3-triazoles via an Fe3O4/silicalite-1/PVA/Cu(I) nanocomposite catalyzed three component reaction. New J. Chem. 2020, 44, 12619–12632. [Google Scholar] [CrossRef]
- Pazoki, F.; Salamatmanesh, A.; Bagheri, S.; Heydari, A. Synthesis and Characterization of Copper (I)-Cysteine Complex Supported on Magnetic Layered Double Hydroxide as an Efficient and Recyclable Catalyst System for Click Chemistry Using Choline Azide as Reagent and Reaction Medium. Catal. Lett. 2020, 150, 1186–1195. [Google Scholar] [CrossRef]
- Khalili, D.; Rezaee, M. Impregnated copper ferrite on mesoporous graphitic carbon nitride: An efficient and reusable catalyst for promoting ligand-free click synthesis of diverse 1,2,3-triazoles and tetrazoles. Appl. Organometal. Chem. 2019, 33, e5219. [Google Scholar] [CrossRef]
- Deilam, R.; Moeinpour, F.; Mohseni-Shahri, F.S. Catalytic performance of Cu(II)-supported graphene quantum dots modified NiFe2O4 as a proficient nanocatalyst in the synthesis of 1,2,3-triazoles. Monatsh. Chem. 2020, 151, 1153–1162. [Google Scholar] [CrossRef]
- Rafiee, F.; Khavari, P. Preparation of aryl azides of aryl boronic acids and one-pot synthesis of 1,4-diaryl-1,2,3-triazoles by a magnetic cysteine functionalized GO–CuI/II nanocomposite. Appl. Organomet. Chem. 2020, 34, e5789. [Google Scholar] [CrossRef]
- Shaabani, A.; Afshari, R.; Hooshmand, S.E.; Tabatabaei, A.T.; Hajishaabanha, F. Copper supported on MWCNT-guanidine acetic acid@Fe3O4: Synthesis, characterization and application as a novel multi-task nanocatalyst for preparation of triazoles and bis(indolyl) methanes in water. RSC Adv. 2016, 6, 18113–18125. [Google Scholar] [CrossRef]
- Prakash, P.; Kumar, R.A.; Miserque, F.; Geertsen, V.; Gravel, E.; Doris, E. Carbon nanotube-copper ferrite-catalyzed aqueous 1,3-dipolar cycloaddition of in situ-generated organic azides with alkynes. Chem. Commun. 2018, 54, 3644–3647. [Google Scholar] [CrossRef]
- Mahdavinasab, M.; Hamzehloueian, M.; Sarrafi, Y. Preparation and application of magnetic chitosan/graphene oxide composite supported copper as a recyclable heterogeneous nanocatalyst in the synthesis of triazoles. Int. J. Biol. Macromol. 2019, 138, 764–772. [Google Scholar] [CrossRef]
- Saini, P.; Sonika; Singh, G.; Kaur, G.; Singh, J.; Singh, H. Robust and versatile Cu(I) metal frameworks as potential catalysts for azide-alkyne cycloaddition reactions: Review. Mol. Catal. 2021, 504, 111432. [Google Scholar] [CrossRef]



































| Entry | Support | Catalyst * | Substrats | Conditions | Time | Yield (%) | N° Run | Ref. |
|---|---|---|---|---|---|---|---|---|
| 1 | Cationic clay | CuI-MMT | Alkyl azide, alkyne | 5 mg of catalyst; H2O; r.t. | 2 h | 88–98% (9 examples) | 5 | [77] |
| 2 | Claycop (Clay Cu(II)) | Organic azide, alkyne | 20 mg of catalyst; Solvent free; r.t.; NH2NH2, H2O as additive | 5–50 min | 81–98% (13 examples) | 4 | [78] | |
| 3 | Clay-Cu(II) | Azide, propargylated alloxan | 5 mol% of catalyst; H2O/MeOH (1:10 v/v); r.t. | 4 h | 92–96% (14 examples) | 5 | [79] | |
| 4 | Alumina | CuI/Al2O3 | Organic halide, NaN3, alkyne | 3 mol% of catalyst; H2O; MW (100 W), 70 °C | 6–13 min | 70–98% (16 examples) | 8 | [80] |
| 5 | Cu–Co/ZSM-5 | Organic halide, NaN3, propargyl alcohol | Catalyst; H2O; 70 °C | 2 h | 86–93% (7 examples) | 8 | [81] | |
| 6 | Cu–Co/ZSM-5 | Organic halide, NaN3, propargyl alcohol | Catalyst; H2O; MW, r.t. | 5 min | 83–99% (7 examples) | 8 | [81] | |
| 7 | Titane | Cu/6b/SM/A | Organic azide, alkyne | 1 mol% of catalyst; THF; 60 °C; NEt3 as additive | 3 h | 92–99% (8 examples) | 10 | [82] |
| 8 | Natural phosphate | Cu(II)/NP | Organic halide, NaN3, aromatic alkyne | 50 mg of catalyst; MeOH; r.t. | 1–25 min | 95–99% (15 examples) | 6 | [83] |
| 9 | FBPs-CuBr | Azide, amine, propargyl bromide | 5.5 mg of catalyst; H2O; MW (400 W), 80 °C | 30 min | 70–98% (9 examples) | 7 | [84] |
Publisher’s Note: MDPI stays neutral with regard to jurisdictional claims in published maps and institutional affiliations. |
© 2022 by the authors. Licensee MDPI, Basel, Switzerland. This article is an open access article distributed under the terms and conditions of the Creative Commons Attribution (CC BY) license (https://creativecommons.org/licenses/by/4.0/).
Share and Cite
Aflak, N.; Ben El Ayouchia, H.; Bahsis, L.; Anane, H.; Julve, M.; Stiriba, S.-E. Recent Advances in Copper-Based Solid Heterogeneous Catalysts for Azide–Alkyne Cycloaddition Reactions. Int. J. Mol. Sci. 2022, 23, 2383. https://doi.org/10.3390/ijms23042383
Aflak N, Ben El Ayouchia H, Bahsis L, Anane H, Julve M, Stiriba S-E. Recent Advances in Copper-Based Solid Heterogeneous Catalysts for Azide–Alkyne Cycloaddition Reactions. International Journal of Molecular Sciences. 2022; 23(4):2383. https://doi.org/10.3390/ijms23042383
Chicago/Turabian StyleAflak, Noura, Hicham Ben El Ayouchia, Lahoucine Bahsis, Hafid Anane, Miguel Julve, and Salah-Eddine Stiriba. 2022. "Recent Advances in Copper-Based Solid Heterogeneous Catalysts for Azide–Alkyne Cycloaddition Reactions" International Journal of Molecular Sciences 23, no. 4: 2383. https://doi.org/10.3390/ijms23042383
APA StyleAflak, N., Ben El Ayouchia, H., Bahsis, L., Anane, H., Julve, M., & Stiriba, S.-E. (2022). Recent Advances in Copper-Based Solid Heterogeneous Catalysts for Azide–Alkyne Cycloaddition Reactions. International Journal of Molecular Sciences, 23(4), 2383. https://doi.org/10.3390/ijms23042383

