Inhibition of E. coli RecQ Helicase Activity by Structurally Distinct DNA Lesions: Structure—Function Relationships
Abstract
1. Introduction
2. Materials and Methods
2.1. Materials
2.2. DNA Substrates
2.3. Monitoring Unwinding Kinetics by Fluorescence Methods
3. Results and Discussion
3.1. Overview
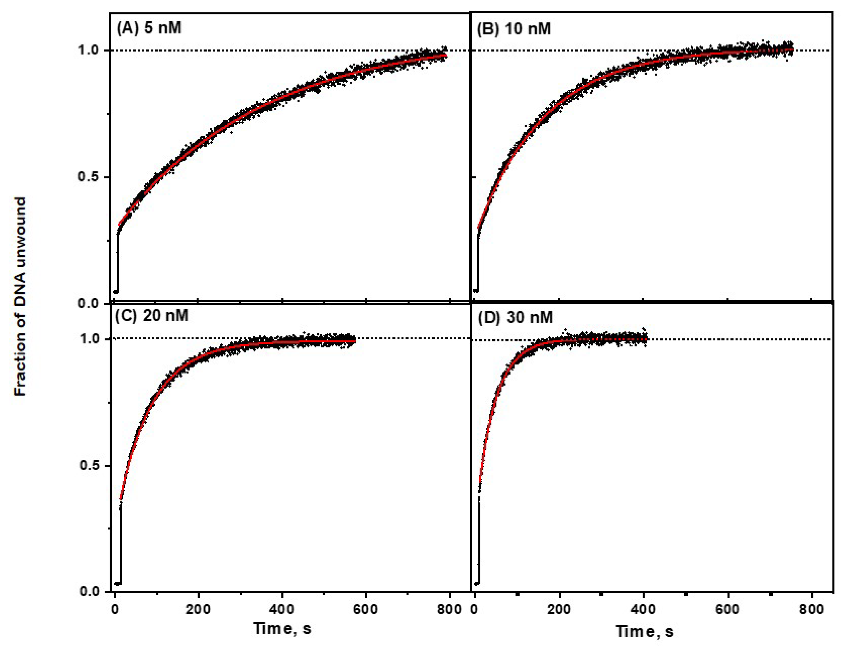
3.2. Determination of Helicase-Catalyzed Unmodified DNA Unwinding Parameters
3.2.1. Kinetic Parameters
3.2.2. RecQ-Catalyzed Unwinding of Unmodified DNA
3.3. Unwinding DNA Containing Bulky DNA Lesions
3.3.1. Intercalated (+)-trans-BP-A:T Adenine Duplexes
3.3.2. Minor Groove (+) and (−)-trans-BP-G:C Adducts
3.3.3. Base-Displaced Intercalation of the (+)-cis-BP-G:C Adduct
3.3.4. Intercalated ‘Deletion’ Duplexes, BP-G:Del
3.3.5. Intercalated (+)- and (−)-trans-G:Del Duplexes
3.3.6. Intercalated (+)-cis-BP-G:Del Deletion Duplexes
4. Non-Bulky DNA Lesions
4.1. Unwinding DNA Containing an Oxidative DNA Lesion
4.2. Cis-Syn Cyclobutanepyrimidine (Thymine) Dimer (CPD) and the T(6−4)T UV Irradiation Products
5. Summary and Conclusions
Supplementary Materials
Author Contributions
Funding
Institutional Review Board Statement
Informed Consent Statement
Data Availability Statement
Conflicts of Interest
References
- Lohman, T.M.; Tomko, E.J.; Wu, C.G. Non-hexameric DNA helicases and translocases: Mechanisms and regulation. Nat. Rev. Mol. Cell Biol. 2008, 9, 391–401. [Google Scholar] [CrossRef] [PubMed]
- Hall, M.C.; Matson, S.W. Helicase motifs: The engine that powers DNA unwinding. Mol. Microbiol. 1999, 34, 867–877. [Google Scholar] [CrossRef]
- Croteau, D.L.; Popuri, V.; Opresko, P.L.; Bohr, V.A. Human RecQ helicases in DNA repair, recombination, and replication. Annu. Rev. Biochem. 2014, 83, 519–552. [Google Scholar] [CrossRef] [PubMed]
- Bohr, V.A. Rising from the RecQ-age: The role of human RecQ helicases in genome maintenance. Trends Biochem. Sci. 2008, 33, 609–620. [Google Scholar] [CrossRef] [PubMed]
- Bernstein, K.A.; Gangloff, S.; Rothstein, R. The RecQ DNA helicases in DNA repair. Annu. Rev. Genet. 2010, 44, 393–417. [Google Scholar] [CrossRef] [PubMed]
- Brosh, R.M., Jr.; Bohr, V.A. Human premature aging, DNA repair and RecQ helicases. Nucleic Acids Res. 2007, 35, 7527–7544. [Google Scholar] [CrossRef]
- Manthei, K.A.; Hill, M.C.; Burke, J.E.; Butcher, S.E.; Keck, J.L. Structural mechanisms of DNA binding and unwinding in bacterial RecQ helicases. Proc. Natl. Acad. Sci. USA 2015, 112, 4292–4297. [Google Scholar] [CrossRef]
- Datta, A.; Brosh, R.M., Jr. New Insights Into DNA Helicases as Druggable Targets for Cancer Therapy. Front. Mol. Biosci. 2018, 5, 59. [Google Scholar] [CrossRef]
- Zhang, X.D.; Dou, S.X.; Xie, P.; Hu, J.S.; Wang, P.Y.; Xi, X.G. Escherichia coli RecQ is a rapid, efficient, and monomeric helicase. J. Biol. Chem. 2006, 281, 12655–12663. [Google Scholar] [CrossRef]
- Newman, J.A.; Gileadi, O. RecQ helicases in DNA repair and cancer targets. Essays Biochem 2020, 64, 819–830. [Google Scholar] [CrossRef]
- Brosh, R.M., Jr.; Matson, S.W. History of DNA Helicases. Genes 2020, 11, 255. [Google Scholar] [CrossRef] [PubMed]
- Dou, S.X.; Wang, P.Y.; Xu, H.Q.; Xi, X.G. The DNA binding properties of the Escherichia coli RecQ helicase. J. Biol. Chem. 2004, 279, 6354–6363. [Google Scholar] [CrossRef] [PubMed]
- Boström, C.E.; Gerde, P.; Hanberg, A.; Jernström, B.; Johansson, C.; Kyrklund, T.; Rannug, A.; Törnqvist, M.; Victorin, K.; Westerholm, R. Cancer risk assessment, indicators, and guidelines for polycyclic aromatic hydrocarbons in the ambient air. Environ. Health Perspect. 2002, 110, 451–488. [Google Scholar] [PubMed]
- Jeffrey, A.M.; Jennette, K.W.; Blobstein, S.H.; Weinstein, I.B.; Beland, F.A.; Harvey, R.G.; Kasal, H.; Miura, I.; Nakanishi, K. Letter: Benzo[a]pyrene-nucleic acid derivative found in vivo: Structure of a benzo[a]pyrenetetrahydrodiol epoxide-guanosine adduct. J. Am. Chem. Soc. 1976, 98, 5714–5715. [Google Scholar] [CrossRef]
- Levin, W.; Wood, A.; Chang, R.; Ryan, D.; Thomas, P.; Yagi, H.; Thakker, D.; Vyas, K.; Boyd, C.; Chu, S.Y.; et al. Oxidative metabolism of polycyclic aromatic hydrocarbons to ultimate carcinogens. Drug Metab. Rev. 1982, 13, 555–580. [Google Scholar] [CrossRef]
- Geacintov, N.E.; Cosman, M.; Hingerty, B.E.; Amin, S.; Broyde, S.; Patel, D.J. NMR solution structures of stereoisometric covalent polycyclic aromatic carcinogen-DNA adduct: Principles, patterns, and diversity. Chem. Res. Toxicol. 1997, 10, 111–146. [Google Scholar] [CrossRef]
- Cosman, M.; de los Santos, C.; Fiala, R.; Hingerty, B.E.; Ibanez, V.; Luna, E.; Harvey, R.; Geacintov, N.E.; Broyde, S.; Patel, D.J. Solution conformation of the (+)-cis-anti-[BP]dG adduct in a DNA duplex: Intercalation of the covalently attached benzo[a]pyrenyl ring into the helix and displacement of the modified deoxyguanosine. Biochemistry 1993, 32, 4145–4155. [Google Scholar] [CrossRef]
- Cosman, M.; Fiala, R.; Hingerty, B.E.; Amin, S.; Geacintov, N.E.; Broyde, S.; Patel, D.J. Solution conformation of the (+)-trans-anti-[BP]dG adduct opposite a deletion site in a DNA duplex: Intercalation of the covalently attached benzo[a]pyrene into the helix with base displacement of the modified deoxyguanosine into the major groove. Biochemistry 1994, 33, 11507–11517. [Google Scholar] [CrossRef]
- Cai, Y.; Ding, S.; Geacintov, N.E.; Broyde, S. Intercalative conformations of the 14R (+)- and 14S (−)-trans-anti-DB[a,l]P-N(6)-dA adducts: Molecular modeling and MD simulations. Chem. Res. Toxicol. 2011, 24, 522–531. [Google Scholar] [CrossRef][Green Version]
- Cosman, M.; de los Santos, C.; Fiala, R.; Hingerty, B.E.; Singh, S.B.; Ibanez, V.; Margulis, L.A.; Live, D.; Geacintov, N.E.; Broyde, S.; et al. Solution conformation of the major adduct between the carcinogen (+)-anti-benzo[a]pyrene diol epoxide and DNA. Proc. Natl. Acad. Sci. USA 1992, 89, 1914–1918. [Google Scholar] [CrossRef]
- de los Santos, C.; Cosman, M.; Hingerty, B.E.; Ibanez, V.; Margulis, L.A.; Geacintov, N.E.; Broyde, S.; Patel, D.J. Influence of benzo[a]pyrene diol epoxide chirality on solution conformations of DNA covalent adducts: The (−)-trans-anti-[BP]G.C adduct structure and comparison with the (+)-trans-anti-[BP]G.C enantiomer. Biochemistry 1992, 31, 5245–5252. [Google Scholar] [CrossRef] [PubMed]
- Luo, W.; Muller, J.G.; Rachlin, E.M.; Burrows, C.J. Characterization of spiroiminodihydantoin as a product of one-electron oxidation of 8-oxo-7,8-dihydroguanosine. Org. Lett. 2000, 2, 613–616. [Google Scholar] [PubMed]
- Geacintov, N.E.; Broyde, S. Repair-Resistant DNA Lesions. Chem. Res. Toxicol. 2017, 30, 1517–1548. [Google Scholar] [CrossRef]
- Pradhan, P.; Tirumala, S.; Liu, X.; Sayer, J.M.; Jerina, D.M.; Yeh, H.J. Solution structure of a trans-opened (10S)-dA adduct of (+)-(7S,8R,9S,10R)-7,8-dihydroxy-9,10-epoxy-7,8,9,10-tetrahydrobenzo[a]pyrene in a fully complementary DNA duplex: Evidence for a major syn conformation. Biochemistry 2001, 40, 5870–5881. [Google Scholar] [CrossRef] [PubMed]
- Kropachev, K.; Kolbanovskii, M.; Cai, Y.; Rodriguez, F.; Kolbanovskii, A.; Liu, Y.; Zhang, L.; Amin, S.; Patel, D.; Broyde, S.; et al. The sequence dependence of human nucleotide excision repair efficiencies of benzo[a]pyrene-derived DNA lesions: Insights into the structural factors that favor dual incisions. J. Mol. Biol. 2009, 386, 1193–1203. [Google Scholar] [CrossRef] [PubMed]
- Khan, I.; Sommers, J.A.; Brosh, R.M., Jr. Close encounters for the first time: Helicase interactions with DNA damage. DNA Repair 2015, 33, 43–59. [Google Scholar] [CrossRef][Green Version]
- Adedeji, A.O.; Marchand, B.; Te Velthuis, A.J.; Snijder, E.J.; Weiss, S.; Eoff, R.L.; Singh, K.; Sarafianos, S.G. Mechanism of nucleic acid unwinding by SARS-CoV helicase. PLoS ONE 2012, 7, e36521. [Google Scholar] [CrossRef]
- Adedeji, A.O.; Lazarus, H. Biochemical Characterization of Middle East Respiratory Syndrome Coronavirus Helicase. mSphere 2016, 1, e0023516. [Google Scholar] [CrossRef]
- Xu, R.; Mao, B.; Amin, S.; Geacintov, N.E. Bending and circularization of site-specific and stereoisomeric carcinogen-DNA adducts. Biochemistry 1998, 37, 769–778. [Google Scholar] [CrossRef]
- Tsao, H.; Mao, B.; Zhuang, P.; Xu, R.; Amin, S.; Geacintov, N.E. Sequence dependence and characteristics of bends induced by site-specific polynuclear aromatic carcinogen-deoxyguanosine lesions in oligonucleotides. Biochemistry 1998, 37, 4993–5000. [Google Scholar] [CrossRef]
- Reeves, D.A.; Mu, H.; Kropachev, K.; Cai, Y.; Ding, S.; Kolbanovskiy, A.; Kolbanovskiy, M.; Chen, Y.; Krzeminski, J.; Amin, S.; et al. Resistance of bulky DNA lesions to nucleotide excision repair can result from extensive aromatic lesion-base stacking interactions. Nucleic Acids Res. 2011, 39, 8752–8764. [Google Scholar] [CrossRef]
- Bebenek, K.; Joyce, C.M.; Fitzgerald, M.P.; Kunkel, T.A. The fidelity of DNA synthesis catalyzed by derivatives of Escherichia coli DNA polymerase I. J. Biol. Chem. 1990, 265, 13878–13887. [Google Scholar] [CrossRef] [PubMed]
- Shibutani, S.; Margulis, L.A.; Geacintov, N.E.; Grollman, A.P. Translesional synthesis on a DNA template containing a single stereoisomer of dG-(+)- or dG-(−)-anti-BPDE (7,8-dihydroxy-anti-9,10-epoxy-7,8,9,10-tetrahydrobenzo[a]pyrene). Biochemistry 1993, 32, 7531–7541. [Google Scholar] [CrossRef] [PubMed]
- Feng, B.; Gorin, A.; Kolbanovskiy, A.; Hingerty, B.E.; Geacintov, N.E.; Broyde, S.; Patel, D.J. Solution conformation of the (−)-trans-anti-[BP]dG adduct opposite a deletion site in a DNA duplex: Intercalation of the covalently attached benzo[a]pyrene into the helix with base displacement of the modified deoxyguanosine into the minor groove. Biochemistry 1997, 36, 13780–13790. [Google Scholar] [CrossRef] [PubMed]
- Cosman, M.; Fiala, R.; Hingerty, B.E.; Amin, S.; Geacintov, N.E.; Broyde, S.; Patel, D.J. Solution conformation of the (+)-cis-anti-[BP]dG adduct opposite a deletion site in a DNA duplex: Intercalation of the covalently attached benzo[a]pyrene into the helix with base displacement of the modified deoxyguanosine into the minor groove. Biochemistry 1994, 33, 11518–11527. [Google Scholar] [CrossRef]
- Fleming, A.M.; Muller, J.G.; Dlouhy, A.C.; Burrows, C.J. Structural context effects in the oxidation of 8-oxo-7,8-dihydro-2′-deoxyguanosine to hydantoin products: Electrostatics, base stacking, and base pairing. J. Am. Chem. Soc. 2012, 134, 15091–15102. [Google Scholar] [CrossRef]
- Lonkar, P.; Dedon, P.C. Reactive species and DNA damage in chronic inflammation: Reconciling chemical mechanisms and biological fates. Int. J. Cancer 2011, 128, 1999–2009. [Google Scholar] [CrossRef]
- Khutsishvili, I.; Zhang, N.; Marky, L.A.; Crean, C.; Patel, D.J.; Geacintov, N.E.; Shafirovich, V. Thermodynamic profiles and nuclear magnetic resonance studies of oligonucleotide duplexes containing single diastereomeric spiroiminodihydantoin lesions. Biochemistry 2013, 52, 1354–1363. [Google Scholar] [CrossRef]
- Kim, J.K.; Choi, B.S. The solution structure of DNA duplex-decamer containing the (6-4) photoproduct of thymidylyl(3′-->5’)thymidine by NMR and relaxation matrix refinement. Eur. J. Biochem. 1995, 228, 849–854. [Google Scholar] [CrossRef]
- Kim, J.K.; Patel, D.; Choi, B.S. Contrasting structural impacts induced by cis-syn cyclobutane dimer and (6-4) adduct in DNA duplex decamers: Implication in mutagenesis and repair activity. Photochem. Photobiol. 1995, 62, 44–50. [Google Scholar] [CrossRef]










| Publisher’s Note: MDPI stays neutral with regard to jurisdictional claims in published maps and institutional affiliations. | 
© 2022 by the authors. Licensee MDPI, Basel, Switzerland. This article is an open access article distributed under the terms and conditions of the Creative Commons Attribution (CC BY) license (https://creativecommons.org/licenses/by/4.0/).
Share and Cite
Sales, A.H.; Zheng, V.; Kenawy, M.A.; Kakembo, M.; Zhang, L.; Shafirovich, V.; Broyde, S.; Geacintov, N.E. Inhibition of E. coli RecQ Helicase Activity by Structurally Distinct DNA Lesions: Structure—Function Relationships. Int. J. Mol. Sci. 2022, 23, 15654. https://doi.org/10.3390/ijms232415654
Sales AH, Zheng V, Kenawy MA, Kakembo M, Zhang L, Shafirovich V, Broyde S, Geacintov NE. Inhibition of E. coli RecQ Helicase Activity by Structurally Distinct DNA Lesions: Structure—Function Relationships. International Journal of Molecular Sciences. 2022; 23(24):15654. https://doi.org/10.3390/ijms232415654
Chicago/Turabian StyleSales, Ana H., Vincent Zheng, Maya A. Kenawy, Mark Kakembo, Lu Zhang, Vladimir Shafirovich, Suse Broyde, and Nicholas E. Geacintov. 2022. "Inhibition of E. coli RecQ Helicase Activity by Structurally Distinct DNA Lesions: Structure—Function Relationships" International Journal of Molecular Sciences 23, no. 24: 15654. https://doi.org/10.3390/ijms232415654
APA StyleSales, A. H., Zheng, V., Kenawy, M. A., Kakembo, M., Zhang, L., Shafirovich, V., Broyde, S., & Geacintov, N. E. (2022). Inhibition of E. coli RecQ Helicase Activity by Structurally Distinct DNA Lesions: Structure—Function Relationships. International Journal of Molecular Sciences, 23(24), 15654. https://doi.org/10.3390/ijms232415654
 
        


