Development of Metal Complexes for Treatment of Coronaviruses
Abstract
:1. Introduction
2. Prevalence and Epidemiology of COVID-19
3. History of Coronaviruses
4. Structure of the SARS-CoV-2 Virus
5. SARS-COV-2 Entry and Replication Mechanisms within Human Cells
6. Metal Complexes as Potential Compounds to Block SARS-CoV-2 from Entering Host Cells
7. Investigating Metallodrugs as Candidates against COVID-19
8. Overview of Docking Studies of the Metal Complexes against COVID-19
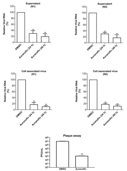
9. In Vitro and In Vivo Potency of Metallo-Compounds against SARS-CoV-2
10. Toxicity of Metals and Complex Inorganic Materials
11. Conclusions
Supplementary Materials
Author Contributions
Funding
Institutional Review Board Statement
Informed Consent Statement
Data Availability Statement
Acknowledgments
Conflicts of Interest
References
- Narasimharao, K.; Shiekh, R.A.; Malik, M.A.; Said, M.A.; Khan, Z.; Al-Thabaiti, S.A.; Khan, S.A. Design, Spectroscopic Characterization, Electrical Conductivity and Molecular Modelling Studies of Biologically Puissant Co (II) and Ni (II) Complexes of N, N’-bis (furan-2-ylmethyl) benzene-1, 2-dicarboxamide. Int. J. Electrochem. Sci. 2016, 11, 7282–7307. [Google Scholar] [CrossRef]
 - Abu-Dief, A.M.; Nassr, L.A.-M.E. Tailoring, physicochemical characterization, anti-bacterial and DNA binding mode studies of Cu (II) Schiff bases amino acid bioactive agents incorporating 5-bromo-2-hydroxybenzaldehyde. J. Iran. Chem. Soc. 2015, 12, 943–955. [Google Scholar] [CrossRef]
 - Madboly, W.E.; Shehata, M.G.; Nashed, M.S.M.; Abu-Dief, A.M. Using Safe Calculated Low Power of Electrons to Cut, Analyze and Exterminate the Outer and Inner Biological Elements of SARS-CoV-2, MERS-CoV-2 and Influenza viruses in Vitro. J. Scient. Res. Rep. 2022, 28, 1–15. [Google Scholar] [CrossRef]
 - Asai, A.; Konno, M.; Ozaki, M.; Otsuka, C.; Vecchione, A.; Arai, T.; Kitagawa, T.; Ofusa, K.; Yabumoto, M.; Hirotsu, T.; et al. COVID-19 Drug Discovery Using Intensive Approaches. Int. J. Mol. Sci. 2020, 21, 2839. [Google Scholar] [CrossRef] [Green Version]
 - World Health Organization. CoVID-19 Strategy Update; World Health Organization: Geneva, Switzerland, 2020; Volume 3, p. 18. [Google Scholar]
 - Al-Radadi, N.S.; Abu-Dief, A.M. Silver nanoparticles (AgNPs) as a metal nano-therapy: Possible mechanisms of antiviral action against COVID-19. Inorg. Nano-Metal Chem. 2022, 1–19. [Google Scholar] [CrossRef]
 - Zehra, S.; Roisnel, T.; Arjmand, F. Enantiomeric Amino Acid Schiff Base Copper(II) Complexes as a New Class of RNA-Targeted Metallo-Intercalators: Single X-ray Crystal Structural Details, Comparative in Vitro DNA/RNA Binding Profile, Cleavage, and Cytotoxicity. ACS Omega 2019, 4, 7691–7705. [Google Scholar] [CrossRef]
 - Abu-Dief, A.M.; El-Khatib, R.M.; Aljohani, F.S.; Alzahrani, S.O.; Khalifa, A.M.; Mohamed, E.; El-Metwaly, N.M. Synthesis and intensive characterization for novel Zn (II), Pd (II), Cr (III) and VO (II)-Schiff base complexes; DNA-interaction, DFT, drug-likeness and molecular docking studies. J. Mol. Struct. 2021, 1242, 130693. [Google Scholar] [CrossRef]
 - Salihovic, M.; Pazalja, M.; Špirtovic Halilovic, S.; Veljovic, E.; Mahmutovic Roca, S.; Novakovic, I.; Trifunovic, S. Synthesis, characterization, antimicrobial activity and DFT study of some novel Schiff bases. J. Mol. Struct. 2021, 1241, 130670. [Google Scholar] [CrossRef]
 - Abu-Dief, A.M.; El-Metwaly, N.M.; Alzahrani, S.O.; Alkhatib, F.M.; Abualnaja, M.; El-Dabea, T.; Ali, M.A.A. Synthesis and characterization of Fe (III), Pd (II) and Cu (II)-thiazole complexes; DFT, pharmacophore modeling, in-vitro assay and DNA binding studies. J. Mol. Liq. 2021, 326, 115277. [Google Scholar] [CrossRef]
 - Abu-Dief, A.M.; Abdel-Rahman, L.H.; Abdel-Mawgoud, A.A.H. A robust in vitro anticancer, antioxidant and antimicrobial agents based on new metal-azomethine chelates incorporating Ag (I), Pd (II) and VO (II) cations: Probing the aspects of DNA interaction. Appl. Organomet. Chem. 2020, 34, e5373. [Google Scholar] [CrossRef]
 - Abu-Dief, A.M.; El-Metwaly, N.M.; Alzahrani, S.O.; Alkhatib, F.M.; Abumelha, H.M.; El-Dabea, T.; Ali, M.A.A. Structural, conformational and therapeutic studies on new thiazole complexes: Drug-likeness and MOE-simulation assessments. Res. Chem. Intermed. 2021, 47, 1979–2002. [Google Scholar] [CrossRef]
 - Kargar, H.; Meybodi, F.A.; Ardakani, R.B.; Elahifard, M.R.; Torabi, V.; Mehrjardi, M.F.; Tahir, M.N.; Ashfaq, M.; Munaware, K.S. Synthesis, crystal structure, theoretical calculation, spectroscopic and antibacterial activity studies of copper (II) complexes bearing bidentate schiff base ligands derived from 4-aminoantipyrine: Influence of substitutions on antibacterial activity. J. Mol. Struct. 2021, 1230, 129908. [Google Scholar] [CrossRef]
 - Basak, T.; Ghosh, K.; Chattopadhyay, S. Synthesis, characterization and catechol oxidase mimicking activity of two iron (III) schiff base complexes. Polyhedron 2018, 146, 81–92. [Google Scholar] [CrossRef]
 - Thomas, F. Ten Years of a Biomimetic Approach to the Copper (II) Radical Site of Galactose Oxidase. Eur. J. Inorg. Chem. 2007, 17, 2379–2404. [Google Scholar] [CrossRef]
 - Mir, J.M.; Maurya, R.C.; Rajak, D.K.; Malik, B.A.; Jaget, P.S.; Jain, N. A novel Schiff base complex of brain fuel (sugar) coordinated with intelligence mineral (Zn): Synthesis, conjoint DFT-experimental evaluation and super oxide dismutation. Karbala Int. J. Mod. Sci. 2017, 3, 153–164. [Google Scholar] [CrossRef]
 - Dasgupta, S.; Karim, S.; Banerjee, S.; Saha, M.; Saha, K.D.; Das, D. Designing of novel zinc (II) Schiff base complexes having acyl hydrazone linkage: Study of phosphatase and anti-cancer activities. Dalton Trans. 2020, 49, 1232–1240. [Google Scholar] [CrossRef]
 - Nasr-Esfahani, M.; Moghadam, M.; Tangestaninejad, S.; Mirkhani, V.; Momeni, A.R. Rapid and efficient oxidation of Hantzsch 1, 4-dihydropyridines with sodium periodate catalyzed by manganese (III) Schiff base complexes. Bioorg. Med. Chem. 2006, 14, 2720–2724. [Google Scholar] [CrossRef]
 - Ghosh, K.; Harms, K.; Chattopadhyay, S. Synthesis, characterization and phenoxazinone synthase mimicking activity of cobalt (III) Schiff base complexes. Polyhedron 2017, 123, 162–175. [Google Scholar] [CrossRef]
 - Abu-Dief, A.M.; El-Sagher, H.M.; Shehata, M.R. Fabrication, spectroscopic characterization, calf thymus DNA binding investigation, antioxidant and anticancer activities of some antibiotic azomethine Cu (II), Pd (II), Zn (II) and Cr (III) complexes. Appl. Organomet. Chem. 2019, 33, e4943. [Google Scholar] [CrossRef]
 - Chaturvedi, D.; Kamboj, M. Role of Schiff Base in Drug Discovery Research. Chem. Sci. J. 2016, 7, 7–8. [Google Scholar] [CrossRef] [Green Version]
 - Schiff, H. Mittheilungen aus dem Universitätslaboratorium in Pisa: Eine neue Reihe organischer Basen. Justus Liebigs Ann. Chem. 1864, 131, 118–119. [Google Scholar] [CrossRef] [Green Version]
 - Abu-Dief, A.M.; Abdel-Rahman, L.H.; Shehata, M.R.; Abdel-Mawgoud, A.A.H. Novel azomethine Pd (II)-and VO (II)-based metallo-pharmaceuticals as anticancer, antimicrobial, and antioxidant agents: Design, structural inspection, DFT investigation, and DNA interaction. J. Phys. Org. Chem. 2019, 32, e4009. [Google Scholar] [CrossRef]
 - El-Naggar, M.; Abd El-All, A.S.; El-Naem, S.I.A.; Abdalla, M.M.; Rashdan, H.R.M. New potent 5α-Reductase and aromatase inhibitors derived from 1, 2, 3-triazole derivative. Molecules 2020, 25, 672. [Google Scholar] [CrossRef] [Green Version]
 - Kandile, N.G.; Mohamed, M.I.; Ismaeel, H.M. Synthesis of new Schiff bases bearing 1, 2, 4-triazole, thiazolidine and chloroazetidine moieties and their pharmacological evaluation. J. Enzym. Inhib. Med. Chem. 2017, 32, 119–129. [Google Scholar] [CrossRef]
 - Khalaf, M.M.; El-Lateef, H.M.A.; Alhadhrami, A.; Sayed, F.N.; Mohamed, G.G.; Gouda, M.; Shaaban, S.; Abu-Dief, A.M. Synthesis, Spectroscopic, Structural and Molecular Docking Studies of Some New Nano-Sized Ferrocene-Based Imine Chelates as Antimicrobial and Anticancer Agents. Materials 2022, 15, 3678. [Google Scholar] [CrossRef]
 - Alafeefy, A.M.; Bakht, M.A.; Ganaie, M.A.; Ansarie, M.N.; El-Sayed, N.N.; Awaad, A.S. Synthesis, analgesic, anti-inflammatory and anti-ulcerogenic activities of certain novel Schiff’s bases as fenamate isosteres. Bioorg. Med. Chem. Lett. 2015, 25, 179–183. [Google Scholar] [CrossRef]
 - Khalaj, A.; Rastegi, H.R.; Jorjani, M. Synthesis and muscle relaxant activity of two analogues of dantrolene sodium in mice. Pharm. Pharmacol. Commun. 1998, 4, 477–479. [Google Scholar]
 - Coxon, G.D.; Craig, D.; Corrales, R.M.; Vialla, E.; Gannoun-Zaki, L.; Kremer, L. Synthesis, antitubercular activity and mechanism of resistance of highly effective thiacetazone Analogues. PLoS ONE 2013, 8, e53162. [Google Scholar] [CrossRef] [Green Version]
 - Wang, Y.Y.; Xu, F.Z.; Zhu, Y.Y.; Song, B.; Luo, D.; Yu, G.; Chen, S.; Xue, W.; Wu, J. Pyrazolo [3, 4-d] pyrimidine derivatives containing a Schiff base moiety as potential antiviral agents. Bioorg. Med. Chem. Lett. 2018, 28, 2979–2984. [Google Scholar] [CrossRef]
 - Ashiru-Oredope, D.; Chan, A.H.Y.; Olaoye, O.; Rutter, V.; Babar, Z.U.D. Needs assessment and impact of COVID-19 on pharmacy professionals in 31 commonwealth countries. J. Pharm. Policy Pract. 2020, 13, 72. [Google Scholar] [CrossRef]
 - Ashiq, K.; Bajwa, M.A.; Ashiq, S. COVID-19 pandemic and its impact on pharmacy education. Turk. J. Pharm. Sci. 2021, 18, 122–123. [Google Scholar] [CrossRef] [PubMed]
 - Ashiq, K.; Ashiq, S.; Bajwa, M.A.; Tanveer, S.; Qayyum, M. Knowledge, attitude and practices among the inhabitants of Lahore, Pakistan towards the COVID-19 pandemic: An immediate online based cross-sectional survey while people are under the lockdown. Bangladesh J. Med. Sci. 2020, 19, S69–S76. [Google Scholar] [CrossRef]
 - Naureen, B.; Asghar, M. How to cope with COVID-19: Global health and economic crisis. Int. J. Integr. Health Sci. 2020, 1, 3–4. [Google Scholar]
 - Malone, B.; Urakova, N.; Snijder, E.J.; Campbell, E.A. Structures and functions of coronavirus replication–transcription complexes and their relevance for SARS-CoV-2 drug design. Nat. Rev. Mol. Cell Biol. 2022, 23, 21–39. [Google Scholar] [CrossRef]
 - Mohapatra, R.K.; Perekhoda, L.; Azam, M.; Suleiman, M.; Sarangi, A.K.; Semenets, A.; Pintilie, L.; Al-Resayes, S.I. Computational investigations of three main drugs and their comparison with synthesized compounds as potent inhibitors of SARS-CoV-2 main protease (Mpro): DFT, QSAR, molecular docking, and in silico toxicity analysis. J. King Saud Univ. 2021, 33, 101315. [Google Scholar] [CrossRef]
 - Sivaprakash, G.; Tharmaraj, P.; Jothibasu, M.; Arun, A. Antimicrobial Analysis of Schiff Base Ligands Pyrazole and Diketone Metal Complex against Pathogenic Organisms. Int. J. Adv. Res. 2017, 5, 2656–2663. [Google Scholar] [CrossRef] [Green Version]
 - WHO. WHO Director-General Opening Remarks at the Member State Briefing on the COVID-19 Pandemic Evaluation—9 July 2020. Available online: https://www.who.int/director-general/speeches/detail/who-director-general-opening-remarks-at-the-member-state-briefing-on-the-covid-19-pandemic-evaluation---9-july-2020 (accessed on 9 July 2020).
 - WHO. Weekly Operational Update on COVID19. Available online: https://www.who.int/docs/default-source/coronaviruse/situation-reports/wou-28-august-approved.pdf?sfvrsn=d9e49c20_2 (accessed on 28 August 2020).
 - Nicola, M.; Alsafi, Z.; Sohrabi, C.; Kerwan, A.; Al-Jabir, A.; Iosifidis, C.; Agha, M.; Agha, R. The socio-economic implications of the coronavirus pandemic (COVID-19). Int. J. Surg. 2020, 78, 185–193. [Google Scholar] [CrossRef]
 - Tabata, S.; Imai, K.; Kawano, S.; Ikeda, M.; Kodama, T.; Miyoshi, K.; Obinata, H.; Mimura, S.; Kodera, T.; Kitagaki, M.; et al. Clinical characteristics of COVID-19 in 104 people with SARS-CoV-2 infection on the Diamond Princess cruise ship: A retrospective analysis. Lancet Infect. Dis. 2020, 20, 1043–1050. [Google Scholar] [CrossRef]
 - Long, Q.X.; Tang, X.J.; Shi, Q.L.; Li, Q.; Deng, H.J.; Yuan, J.; Hu, J.L.; Xu, W.; Zhang, Y.; Lv, F.J.; et al. Clinical and immunological assessment of asymptomatic SARS-CoV-2 infections. Nat. Med. 2020, 26, 1200–1204. [Google Scholar] [CrossRef]
 - Wu, D.; Wu, T.; Liu, Q.; Yang, Z. The SARS-CoV-2 outbreak: What we know. Int. J. Infect. Dis. 2020, 94, 44–48. [Google Scholar] [CrossRef]
 - Cao, Y.; Liu, X.; Xiong, L.; Cai, K. Imaging and clinical features of patients with 2019 novel coronavirus SARS-CoV-2: A systematic review and meta-analysis. J. Med. Virol. 2020, 92, 1449–1459. [Google Scholar] [CrossRef] [Green Version]
 - Khan, S.; Liu, J.; Xue, M. Transmission of SARS-CoV-2, required developments in research and associated public health concerns. Front. Med. 2020, 7, 310. [Google Scholar] [CrossRef]
 - Sommerstein, R.; Fux, C.A.; Vuichard-Gysin, D.; Abbas, M.; Marschall, J.; Balmelli, C.; Troillet, N.; Harbarth, S.; Schlegel, M.; Widmer, A.; et al. Risk of SARS-CoV-2 transmission by aerosols, the rational use of masks, and protection of healthcare workers from COVID-19. Antimicrob. Resist. Infect. Control 2020, 9, 100. [Google Scholar] [CrossRef]
 - Chen, C.; Huang, J.; Cheng, Z.; Wu, J.; Chen, S.; Zhang, Y.; Chen, B.; Lu, M.; Luo, Y.; Yin, J.; et al. Favipiravir versus Arbidol for COVID-19: A Randomized Clinical Trial. medRxiv 2020, in press. [Google Scholar] [CrossRef] [Green Version]
 - CDC. Management of patients with confirmed 2019-nCoV. 2020. Available online: https://www.cdc.gov/coronavir (accessed on 1 March 2020).
 - Walls, A.C.; Park, Y.J.; Tortorici, M.A.; Wall, A.; McGuire, A.T.; Veesler, D. Structure, function, and antigenicity of the SARS-CoV-2 spike glycoprotein. Cell 2020, 181, 281–292. [Google Scholar] [CrossRef]
 - Wang, Q.; Zhang, Y.; Wu, L.; Niu, S.; Song, C.; Zhang, Z.; Lu, G.; Qiao, C.; Hu, Y.; Yuen, K.-Y.; et al. Structural and functional basis of SARS-CoV-2 entry by using human ACE2. Cell 2020, 181, 894–904. [Google Scholar] [CrossRef]
 - Shang, J.; Ye, G.; Shi, K.; Wan, Y.; Luo, C.; Aihara, H.; Geng, Q.; Auerbach, A.; Li, F. Structural basis of receptor recognition by SARS-CoV-2. Nature 2020, 581, 221–224. [Google Scholar] [CrossRef] [Green Version]
 - Boopathia, S.; Pomab, A.B.; Kolandaivel, P. Novel 2019 coronavirus structure, mechanism of action, antiviral drug promises and rule out against its treatment. J. Biomol. Struct. Dyn. 2020, 39, 3409–3418. [Google Scholar] [CrossRef] [Green Version]
 - Tortorici, M.A.; Veesler, D. Structural insights into coronavirus entry. Adv. Virus Res. 2019, 105, 93–116. [Google Scholar]
 - Kang, S.; Yang, M.; Hong, Z.; Zhang, L.; Huang, Z.; Chen, X.; He, S.; Zhou, Z.; Zhou, Z.; Chen, Q.; et al. Crystal structure of SARS-CoV-2 nucleocapsid protein RNA binding domain reveals potential unique drug targeting sites. Acta Pharm. Sinica. B 2020, 10, 1228–1238. [Google Scholar] [CrossRef]
 - Chan, J.F.W.; Kok, K.H.; Zhu, Z.; Chu, H.; To, K.K.W.; Yuan, S.; Yuen, K.Y. Genomic characterization of the 2019 novel human-pathogenic coronavirus isolated from a patient with atypical pneumonia after visiting Wuhan. Emerg. Microbes Infect. 2020, 9, 221–236. [Google Scholar] [CrossRef] [PubMed] [Green Version]
 - Huang, Y.; Yang, C.; Xu, X.-F.; Xu, W.; Liu, S.-W. Structural and functional properties of SARS-CoV-2 spike protein: Potential antivirus drug development for COVID-19. Acta Pharmacol. Sin. 2020, 41, 1141–1149. [Google Scholar] [CrossRef] [PubMed]
 - Zibaseresht, R. Metal Complexes as Potential Antiviral Compounds: A Commentary on Possible Approaches against SARS-Cov-2 (COVID-19). SSRN Electron. J. 2020, in press. [Google Scholar] [CrossRef]
 - Mirastschijski, U.; Dembinski, R.; Maedler, K. Lung surfactant for pulmonary barrier restoration in patients with COVID-19 pneumonia. Front. Med. 2020, 7, 254. [Google Scholar] [CrossRef]
 - Bombardini, T.; Picano, E. Angiotensin-converting enzyme 2 as the molecular bridge between epidemiologic and clinical features of COVID-19. Can. J. Cardiol. 2020, 36, 784.e1–784.e2. [Google Scholar] [CrossRef]
 - Lam, S.; Lombardi, A.; Ouanounou, A. COVID-19: A review of the proposed pharmacological treatments. Eur. J. Clin. Pharm. 2020, 886, 173451. [Google Scholar] [CrossRef]
 - Guzik, T.J.; Mohiddin, S.A.; DiMarco, A.; Patel, V.; Savvatis, K.; Marelli-Berg, F.M.; Madhur, M.S.; Tomaszewski, M.; Maffia, P.; D’Acquisto, F.; et al. COVID-19 and the cardiovascular system: Implications for risk assessment, diagnosis, and treatment options. Cardiovasc. Res. 2020, 116, 1666–1687. [Google Scholar] [CrossRef]
 - Hoffmann, M.; Kleine-Weber, H.; Schroeder, S.; Krüger, N.; Herrler, T.; Erichsen, S.; Schiergens, T.S.; Herrler, G.; Wu, N.H.; Nitsche, A.; et al. SARS-CoV-2 cell entry depends on ACE2 and TMPRSS2 and is blocked by a clinically proven protease inhibitor. Cell 2020, 181, 271–280. [Google Scholar] [CrossRef]
 - Joonaki, E.; Hassanpouryouzband, A.; Heldt, C.L.; Areo, O. Surface chemistry can unlock drivers of surface stability of SARS-CoV-2 in a variety of environmental conditions. Chem 2020, 6, 2135–2146. [Google Scholar] [CrossRef]
 - Choppin, P.W.; Scheid, A. The role of viral glycoproteins in adsorption, penetration, and pathogenicity of viruses. Rev. Infect Dis. 1980, 2, 40–61. [Google Scholar] [CrossRef]
 - Zhang, X.; Qi, Q.; Jing, Q.; Ao, S.; Zhang, Z.; Ding, M.; Wu, M.; Liu, K.; Wang, W.; Ling, Y.; et al. Electrical probing of COVID-19 spike protein receptor binding domain via a graphene field-effect transistor. arXiv 2020, in press. arXiv:2003.12529. [Google Scholar]
 - Prabakaran, P.; Xiao, X.; Dimitrov, D.S. A model of the ACE2 structure and function as a SARS-CoV receptor. Biochem. Biophys. Res. Commun. 2004, 314, 235–241. [Google Scholar] [CrossRef]
 - Vilar, R. Bioinorganic chemistry. Annu. Rep. Inorg. Chem. Sect. A 2009, 105, 477–504. [Google Scholar] [CrossRef]
 - Bienemann, O.; Hoffmann, A.; Herres-Pawlis, S. (Guanidine) copper complexes: Structural variety and application in bioinorganic chemistry and catalysis. Rev. Inorg. Chem. 2011, 31, 83–108. [Google Scholar] [CrossRef]
 - Carrano, C.J. A Family of Homo- and Heteroscorpionate Ligands: Applications to Bioinorganic Chemistry. Eur. J. Inorg. Chem. 2016, 2016, 377–2390. [Google Scholar] [CrossRef]
 - Boros, E.; Dyson, P.J.; Gasser, G. Classification of metal-based drugs according to their mechanisms of action. Chem 2020, 6, 41–60. [Google Scholar] [CrossRef]
 - Carter, D.E. Oxidation-reduction reactions of metal ions. Environ. Health Perspect. 1995, 103 (Suppl. 1), 17–19. [Google Scholar]
 - Nencioni, L.; Sgarbanti, R.; Amatore, D.; Checconi, P.; Celestino, I.; Limongi, D.; Anticoli, S.; Palamara, A.T.; Garaci, E. Intracellular Redox Signaling as Therapeutic Target for Novel Antiviral Strategy. Curr. Pharm. Des. 2011, 17, 3898–3904. [Google Scholar] [CrossRef]
 - Khomich, O.A.; Kochetkov, S.N.; Bartosch, B.; Ivanov, A.V. Redox Biology of Respiratory Viral Infections. Viruses 2018, 10, 392. [Google Scholar] [CrossRef] [Green Version]
 - Mahalingam, S.; Meanger, J.; Foster, P.S.; Lidbury, B.A.; Leukoc, J. The viral manipulation of the host cellular and immune environments to enhance propagation and survival: A focus on RNA viruses. J. Leukoc. Biol. 2002, 72, 429–439. [Google Scholar]
 - Gullberg, R.C.; Jordan Steel, J.; Moon, S.L.; Soltani, E.; Geiss, B.J. Oxidative stress influences positive strand RNA virus genome synthesis and capping. Virology 2015, 475, 219–229. [Google Scholar] [CrossRef] [Green Version]
 - Chen, K.K.; Minakuchi, M.; Wuputra, K.; Ku, C.C.; Pan, J.B.; Kuo, K.K.; Lin, Y.C.; Saito, S.; Lin, C.S.; Yokoyama, K.K. Redox control in the pathophysiology of influenza virus infection. BMC Microbiol. 2020, 20, 214. [Google Scholar] [CrossRef]
 - Vlahos, R.; Stambas, J.; Bozinovski, S.; Broughton, B.R.; Drummond, G.R.; Selemidis, S. Inhibition of Nox2 oxidase activity ameliorates influenza A virus-induced lung inflammation. PLoS Pathog. 2011, 7, e1001271. [Google Scholar] [CrossRef] [Green Version]
 - Amatore, D.; Sgarbanti, R.; Aquilano, K.; Baldelli, S.; Limongi, D.; Civitelli, L.; Nencioni, L.; Garcia, E.; Cirilo, M.R.; Palamara, A.T. Influenza virus replication in lung epithelial cells depends on redox-sensitive pathways activated by NOX4-derived ROS. Cell Microbiol. 2015, 17, 131–145. [Google Scholar] [CrossRef] [PubMed] [Green Version]
 - Meng, Y.; Li, T.; Zhou, G.-S.; Chen, Y.; Yu, C.-H.; Pang, M.-X.; Li, W.; Li, Y.; Zhang, W.-Y.; Li, X. The Angiotensin-Converting Enzyme 2/Angiotensin (1–7)/Mas Axis Protects Against Lung Fibroblast Migration and Lung Fibrosis by Inhibiting the NOX4-Derived ROS-Mediated RhoA/Rho Kinase Pathway. Antioxid. Redox Signal. 2015, 22, 241–258. [Google Scholar] [CrossRef] [PubMed]
 - Nencioni, L.; De Chiara, G.; Sgarbanti, R.; Amatore, D.; Aquilano, K.; Marcocci, M.E.; Serafino, A.; Torcia, M.; Cozzolino, F.; Ciriolo, M.R.; et al. Bcl-2 Expression and p38MAPK Activity in Cells Infected with Influenza A Virus. J. Biol. Chem. 2009, 284, 16004–16015. [Google Scholar] [CrossRef] [PubMed] [Green Version]
 - Damiano, S.; Sozio, C.; La Rosa, G.; Santillo, M. NOX-dependent signaling dysregulation in severe COVID-19: Clues to effective treatments. Front. Cell. Infect. Microbiol. 2020, 10, 608435. [Google Scholar] [CrossRef]
 - Ioannou, K.; Vlasiou, M.C. Metal-based complexes against SARS-CoV-2. Biometals 2022, 1–14, in press. [Google Scholar] [CrossRef]
 - Abbas, G.; Irfan, A.; Ahmed, I.; Al-Zeidaneen, F.K.; Muthu, S.; Fuhr, O.; Thomas, R. Synthesis and investigation of anti-COVID19 ability of ferrocene Schiff base derivatives by quantum chemical and molecular docking. J. Mol. Struct. 2021, 1253, 132242. [Google Scholar] [CrossRef]
 - El-Gammal, O.A.; Mohamed, F.S.; Rezk, G.N.; El-Bindary, A.A. Structural characterization and biological activity of a new metal complexes based of Schiff base. J. Mol. Liq. 2021, 330, 115522. [Google Scholar] [CrossRef]
 - El-Gammal, O.A.; Bekheit, M.M.; Tahoon, M. Synthesis, characterization and biological activity of 2-acetylpyridine-α-naphthoxyacetylhydrazone its metal complexes. Spectrochim. Acta A 2015, 135, 597–607. [Google Scholar] [CrossRef]
 - Li, D.-D.; Zhang, N.; Yang, Z.; Tao, Z.-W. Redox active and inactive binuclear cobalt (II) and zinc (II) complexes with N6O/N3O coordinating ligands: Synthesis, biological activities and cytotoxicity. Appl. Organomet. Chem. 2017, 31, e3548. [Google Scholar] [CrossRef]
 - El-Gammal, O.A.; El-Bindary, A.A.; Mohamed, F.S.; Rezk, G.N.; El-Bindary, M.A. Synthesis, characterization, design, molecular docking, anti COVID-19 activity, DFT calculations of novel Schiff base with some transition metal complexes. J. Mol. Liq. 2022, 346, 117850. [Google Scholar] [CrossRef]
 - Cirri, D.; Pratesi, A.; Marzo, T.; Messori, L. Metallo therapeutics for COVID-19. Exploiting metal-based compounds for the discovery of new antiviral drugs. Expert Opin. Drug Discov. 2021, 16, 39–46. [Google Scholar] [CrossRef]
 - Alexander, J.; Tinkov, A.; Strand, A.; Alehagen, U.; Skalny, A.; Aaseth, J. Early nutritional interventions with zinc, selenium and vitamin D for raising anti-viral resistance against progressive COVID-19. Nutrients 2020, 12, 2358. [Google Scholar] [CrossRef]
 - Skalny, A.V.; Rink, L.; Ajsuvakova, O.P.; Aschner, M.; Gritsenko, V.A.; Alekseenko, S.I.; Svistunov, A.A.; Petrakis, D.; Spandidos, D.A.; Aaseth, J.; et al. Zinc and respiratory tract infections: Perspectives for COVID-19. Int. J. Mol. Med. 2020, 46, 17–26. [Google Scholar] [CrossRef] [Green Version]
 - Mir, J.M.; Maurya, R.C. Nitric oxide as a therapeutic option for COVID-19 treatment: A concise perspective. New J. Chem. 2021, 45, 1774–1784. [Google Scholar] [CrossRef]
 - Mir, J.M.; Maurya, R.C. Nitric oxide boosters as defensive agents against COVID-19 infection: An opinion. J. Biomol. Struct. Dyn. 2020, 40, 4285–4291. [Google Scholar] [CrossRef]
 - Mir, J.M.; Majid, S.A.; Shalla, A.H. Enhancement of Schiff base biological efficacy by metal coordination and introduction of metallic compounds as anticovid candidates: A simple overview. Rev. Inorg. Chem. 2021, 41, 199–211. [Google Scholar] [CrossRef]
 - Pal, M.; Musib, D.; Roy, M. Transition metal complexes as potential tools against SARS-CoV-2: An in silico approach. New J. Chem. 2021, 45, 1924. [Google Scholar] [CrossRef]
 - Jamshidvand, A.; Sahihi, M.; Mirkhani, V.; Moghadam, M.; Mohammadpoor-Baltork, I.; Tangestaninejad, S.; Rudbari, H.A.; Kargar, H.; Keshavarzi, R.; Gharaghani, S. Studies on DNA binding properties of new Schiff base ligands using spectroscopic, electrochemical and computational methods: Influence of substitutions on DNA-binding. J. Mol. Liq. 2018, 253, 61–71. [Google Scholar] [CrossRef]
 - Kargar, H.; Behjatmanesh-Ardakani, R.; Torabi, V.; Kashani, M.; Chavoshpour-Natanzi, Z.; Kazemi, Z.; Mirkhani, V.; Sahraei, A.; Tahir, M.N.; Ashfaq, M.; et al. Synthesis, characterization, crystal structures, DFT, TD-DFT, molecular docking and DNA binding studies of novel copper (II) and zinc (II) complexes bearing halogenated bidentate N, O-donor Schiff base ligands. Polyhedron 2021, 195, 114988. [Google Scholar] [CrossRef]
 - Siddappa, K.; Mallikarjun, K.; Reddy, T.; Mallikarjun, M.; Reddy, C.V.; Tambe, M. Synthesis, Characterization and Antimicrobial Studies of N1-[(1E)-1-(2-Hydroxyphenyl) ethylidene]-2-oxo-2H-chromene-3-carbohydrazide and its Metal Complexes. E-J. Chem. 2009, 6, 615–624. [Google Scholar] [CrossRef] [Green Version]
 - Youdong, X.; Meng, X. Molecular simulation elaborating the mechanism of 1β-hydroxy alantolactone inhibiting ubiquitin-conjugating enzyme UbcH5s. Sci. Rep. 2020, 10, 141. [Google Scholar]
 - Mahmoud, W.H.; Deghadi, R.G.; Mohamed, G.G. Metal complexes of novel Schiff base derived from iron sandwiched organometallic and 4-nitro-1, 2-phenylenediamine: Synthesis, characterization, DFT studies, antimicrobial activities and molecular docking. Appl. Organomet. Chem. 2018, 32, e4289. [Google Scholar] [CrossRef]
 - Ahmed, Y.M.; Omar, M.M.; Mohamed, G.G. Synthesis, spectroscopic characterization, and thermal studies of novel Schiff base complexes: Theoretical simulation studies on coronavirus (COVID-19) using molecular docking. J. Iran. Chem. Soc. 2022, 19, 901–919. [Google Scholar] [CrossRef]
 - Irfan, A.; Imran, M.; Khalid, M.; Ullah, M.S.; Khalid, N.; Assiri, M.A.; Thomas, R.; Muthu, S.; Basra, M.A.R.; Hussein, M.; et al. Phenolic and flavonoid contents in Malva sylvestris and exploration of active drugs as antioxidant and anti-COVID19 by quantum chemical and molecular docking studies. J. Saudi Chem. Soc. 2021, 25, 101277. [Google Scholar] [CrossRef]
 - Jin, Z.; Du, X.; Xu, Y.; Deng, Y.; Liu, M.; Zhao, Y.; Zhang, B.; Li, X.; Zhang, L.; Peng, C. Structure of Mpro from SARS-CoV-2 and discovery of its inhibitors. Nature 2020, 582, 289. [Google Scholar] [CrossRef] [PubMed] [Green Version]
 - Abdel-Rahman, L.H.; Basha, M.T.; Al-Farhan, B.S.; Shehata, M.R.; Mohamed, S.K.; Ramli, Y. Cu (dipicolinoylamide)(NO3)(H2O)] as anti-COVID-19 and antibacterial drug candidate: Design, synthesis, crystal structure, DFT and molecular docking. J. Mol. Struct. 2022, 1247, 131348. [Google Scholar] [CrossRef]
 - Ghasemi, L.; Behzad, M.; Khaleghian, A.; Abbasi, A.; Abedi, A. Synthesis and characterization of two new mixed-ligand Cu (II) complexes of a tridentate NN’O type Schiff base ligand and N-donor heterocyclic co-ligands: In vitro anticancer assay, DNA/human leukemia/COVID-19 molecular docking studies, and pharmacophore modeling. Appl. Organomet. Chem. 2022, 36, e6639. [Google Scholar]
 - El-Lateef, H.M.A.; Khalaf, M.M.; Shehata, M.R.; Abu-Dief, A.M. Fabrication, DFT Calculation, and Molecular Docking of Two Fe (III) Imine Chelates as Anti-COVID-19 and Pharmaceutical Drug Candidate. Int. J. Mol. Sci. 2022, 23, 3994. [Google Scholar] [CrossRef]
 - Xu, Y.; Meng, X. Global identification and characterization of miRNA family members responsive to potassium deprivation in wheat (Triticum aestivum L.). Sci. Rep. 2020, 10, 15812. [Google Scholar]
 - Kamaci, U.D.; Kamaci, M.; Peksel, A. Thermally stable Schiff base and its metal complexes: Molecular docking and protein binding studies. J. Fluoresc. 2017, 27, 805–817. [Google Scholar] [CrossRef]
 - Mohapatra, R.K.; Mishra, S.; Azam, M.; Dhama, K. COVID-19, WHO guidelines, pedagogy, and respite. Open Med. 2021, 16, 491–493. [Google Scholar] [CrossRef]
 - Yu, R.; Chen, L.; Lan, R.; Shen, R.; Li, P. Computational screening of antagonists against the SARS-CoV-2 (COVID-19) coronavirus by molecular docking. Int. J. Antimicrob. Agents 2020, 56, 106012. [Google Scholar] [CrossRef]
 - Mahmoud, W.H.; Omar, M.M.; Ahmed, Y.M.; Mohamed, G.G. Transition metal complexes of Schiff base ligand based on 4, 6-diacetyl resorcinol. Appl. Organomet. Chem. 2020, 34, e5528. [Google Scholar] [CrossRef]
 - Mohamed, G.G.; Omar, M.M.; Ahmed, Y.M. Metal complexes of Tridentate Schiff base: Synthesis, Characterization, Biological Activity and Molecular Docking Studies with COVID-19 Protein Receptor. Z. Anorg. Allg. Chem. 2021, 647, 2201–2218. [Google Scholar] [CrossRef]
 - Alshammari, M.B.; Ramadan, M.; Aly, A.A.; El-Sheref, E.M.; Bakht, M.A.; Ibrahim, M.A.; Shawky, A.M. Synthesis of potentially new schiff bases of N-substituted-2-quinolonylacetohydrazides as anti-COVID-19 agents. J. Mol. Struct. 2021, 1230, 129649. [Google Scholar] [CrossRef]
 - Praski, A.; Jaworska, M.; Lodowski, P. Structure and electronic spectra of neutral and protonated forms of anticonvulsant drug lamotrigine. J. Mol. Model. 2020, 26, 53. [Google Scholar] [CrossRef]
 - Ali, A.; Sepay, N.; Afzal, M.; Alarifi, A.; Shahid, M.; Ahmad, M. Molecular designing, crystal structure determination and in silico screening of copper(II) complexes bearing 8-hydroxyquinoline derivatives as anti-COVID-19. Bioorg. Chem. 2021, 110, 104772. [Google Scholar] [CrossRef]
 - Almalki, S.A.; Bawazeer, T.M.; Asghar, B.; Alharbi, A.; Aljohani, M.M.; Khalifa, M.E.; El-Metwaly, N. Synthesis and characterization of new thiazole-based Co(II) and Cu(II) complexes; therapeutic function of thiazole towards COVID-19 in comparing to current antivirals in treatment protocol. J. Mol. Struct. 2021, 1244, 130961. [Google Scholar] [CrossRef]
 - Refat, M.S.; Gaber, A.; Alsanie, W.F. Utilization and simulation of innovative new binuclear Co (ii), Ni (ii), Cu (ii), and Zn (ii) diimine Schiff base complexes in sterilization and coronavirus resistance (Covid-19). Open Chem. 2021, 19, 772–784. [Google Scholar] [CrossRef]
 - Rad, A.S.; Ardjmand, M.; Esfahani, M.R.; Khodashenas, B. DFT calculations towards the geometry optimization, electronic structure, infrared spectroscopy and UV–Vis analyses of Favipiravir adsorption on the first-row transition metals doped fullerenes; a new strategy for COVID-19 therapy. Spectrochim. Acta A Mol. Biomol. Spectrosc. 2021, 247, 119082. [Google Scholar] [CrossRef]
 - Hecel, A.; Ostrowska, M.; Stokowa-Sołtys, K.; Wątły, J.; Dudek, D.; Miller, A.; Potocki, S.; Matera-Witkiewicz, A.; Dominguez-Martin, A.; Kozłowski, H.; et al. Zinc(II)—The Overlooked Éminence Grise of Chloroquine’s Fight against COVID-19? Pharmaceuticals 2020, 13, 228. [Google Scholar] [CrossRef]
 - Poupaert, J.H.; Aguida, B.; Hountondji, C. Study of the interaction of zinc cation with azithromycin and its significance in the COVID-19 treatment: A molecular approach. Open Biochem. J. 2020, 14, 33–40. [Google Scholar] [CrossRef]
 - Hadjiadamou, I.; Vlasiou, M.; Spanou, S.; Simos, Y.; Papanastasiou, G.; Kontargiris, E.; Dhima, I.; Ragos, V.; Karkabounas, S.; Drouza, C.; et al. Synthesis of vitamin E and aliphatic lipid vanadium (IV) and (V) complexes, and their cytotoxic properties. J. Inorg. Biochem. 2020, 208, 111074. [Google Scholar] [CrossRef]
 - Vlasiou, M.C.; Pafti, K.S. Screening possible drug molecules for Covid-19. The example of vanadium (III/IV/V) complex molecules with computational chemistry and molecular docking. Comput. Toxicol. 2021, 18, 100157. [Google Scholar] [CrossRef]
 - Hussein, R.; Elkhair, H. Molecular docking identification for the efficacy of some zinc complexes with chloroquine and hydroxychloroquine against main protease of COVID-19. J. Mol. Struct. 2021, 1231, 129979. [Google Scholar] [CrossRef]
 - Yang, N.; Tanner, J.A.; Zheng, B.-J.; Watt, R.M.; He, M.; Lu, L.-Y.; Jiang, J.-Q.; Shum, K.-T.; Lin, Y.-P.; Wong, K.-L.; et al. Bismuth Complexes Inhibit the SARS Coronavirus. Angew. Chem. Int. Ed. 2007, 46, 6464–6468. [Google Scholar] [CrossRef]
 - Yuan, S.; Wang, R.; Chan, J.F.W.; Zhang, A.J.; Cheng, T.; Chik, K.K.H.; Ye, Z.W.; Wang, S.; Lee, A.C.Y.; Jin, L.; et al. Metallodrug ranitidine bismuth citrate suppresses SARS-CoV-2 replication and relieves virus-associated pneumonia in Syrian hamsters. Nat. Microbiol. 2020, 5, 1439–1448. [Google Scholar] [CrossRef]
 - Grazia Martina, M.; Vicenti, I.; Bauer, L.; Crespan, E.; Rango, E.; Boccuto, A.; Olivieri, N.; Incerti, M.; Zwaagstra, M.; Allodi, M.; et al. Bithiazole Inhibitors of Phosphatidylinositol 4-Kinase (PI4KIIIβ) as Broad-Spectrum Antivirals Blocking the Replication of SARS-CoV-2, Zika Virus, and Human Rhinoviruses. Chem. Med. Chem. 2021, 16, 3548–3552. [Google Scholar] [CrossRef] [PubMed]
 - Vicenti, I.; Dragoni, F.; Giannini, A.; Giammarino, F.; Spinicci, M.; Saladini, F.; Boccuto, A.; Zazzi, M. Development of a Cell-Based Immunodetection Assay for Simultaneous Screening of Antiviral Compounds Inhibiting Zika and Dengue Virus Replication. SLAS Discov. Adv. Sci. Drug Discov. 2020, 25, 506–514. [Google Scholar] [CrossRef] [PubMed]
 - Cirri, D.; Marzo, T.; Tolbatov, I.; Marrone, A.; Saladini, F.; Vicenti, I.; Messori, L. In Vitro Anti-SARS-CoV-2 Activity of Selected Metal Compounds and Potential Molecular Basis for Their Actions Based on Computational Study. Biomolecules 2021, 11, 1858. [Google Scholar] [CrossRef] [PubMed]
 - Bernstein, L.R.; Zhang, L. Gallium maltolate has in vitro antiviral activity against SARS-CoV-2 and is a potential treatment for COVID-19. Antivir. Chem. Chemother. 2020, 28, 2040206620983780. [Google Scholar] [CrossRef]
 - Roder, C.; Thomson, M.J. Auranofin: Repurposing an old drug for a golden new age. Drugs R&D 2015, 15, 13–20. [Google Scholar]
 - Zhang, X.; Selvaraj, K.; Saei, A.A.; D’Arcy, P.; Zubarev, R.; Arnér, E.S.; Linder, S. Repurposing of auranofin: Thioredoxin reductase remains a primary target of the drug. Biochimie 2019, 162, 46–54. [Google Scholar] [CrossRef]
 - Liu, N.; Li, X.; Huang, H.; Zhao, C.; Liao, S.; Yang, C.; Liu, S.; Song, W.; Lu, X.; Lan, X.; et al. Clinically used antirheumatic agent auranofin is a proteasomal deubiquitinase inhibitor and inhibits tumor growth. Oncotarget 2014, 5, 5453–5471. [Google Scholar] [CrossRef] [Green Version]
 - Savarino, A.; Shytaj, I.L. Chloroquine and beyond: Exploring anti-rheumatic drugs to reduce immune hyperactivation in HIV/AIDS. Retrovirology 2015, 12, 51. [Google Scholar] [CrossRef] [Green Version]
 - Kim, N.-H.; Lee, M.-Y.; Park, S.-J.; Choi, J.-S.; Oh, M.-K.; Kim, I.-S. Auranofin blocks interleukin-6 signalling by inhibiting phosphorylation of JAK1 and STAT3. Immunology 2007, 122, 607–614. [Google Scholar] [CrossRef]
 - Rothan, H.A.; Stone, S.; Natekar, J.; Kumari, P.; Arora, K.; Kumar, M. The FDA-approved gold drug auranofin inhibits novel coronavirus (SARS-COV-2) replication and attenuates inflammation in human cells. Virology 2020, 547, 7–11. [Google Scholar] [CrossRef]
 - Marzo, T.; Messori, L. A Role for Metal-Based Drugs in Fighting COVID-19 Infection? The Case of Auranofin. ACS Med. Chem. Lett. 2020, 11, 1067–1068. [Google Scholar] [CrossRef]
 - Rothan, H.A.; Kumar, M. Role of Endoplasmic Reticulum-Associated Proteins in Flavivirus Replication and Assembly Complexes. Pathogens 2019, 8, 148. [Google Scholar] [CrossRef] [Green Version]
 - Kumar, M.; Krause, K.K.; Azouz, F.; Nakano, E.; Nerurkar, V.R. A guinea pig model of Zika virus infection. Virol. J. 2017, 14, 75. [Google Scholar] [CrossRef] [Green Version]
 - Liu, J.; Cao, R.; Xu, M.; Wang, X.; Zhang, H.; Hu, H.; Li, Y.; Hu, Z.; Zhong, W.; Wang, M. Hydroxychloroquine, a less toxic derivative of chloroquine, is effective in inhibiting SARS-CoV-2 infection in vitro. Cell Discov. 2020, 6, 16. [Google Scholar] [CrossRef] [Green Version]
 - Wang, M.; Cao, R.; Zhang, L.; Yang, X.; Liu, J.; Xu, M.; Shi, Z.; Hu, Z.; Zhong, W.; Xiao, G. Remdesivir and chloroquine effectively inhibit the recently emerged novel coronavirus (2019-nCoV) in vitro. Cell Res. 2020, 30, 269–271. [Google Scholar] [CrossRef]
 - Abdel-Rahman, L.H.; Adam, M.S.S.; Abu-Dief, A.M.; Moustafa, H.; Basha, M.T.; Aboraia, A.S.; Al-Farhan, B.S.; Ahmed, H.E.-S. Synthesis, theoretical investigations, biocidal screening, DNA binding, in vitro cytotoxicity and molecular docking of novel Cu (II), Pd (II) and Ag (I) complexes of chlorobenzylidene Schiff base: Promising antibiotic and anticancer agents. Appl. Organomet. Chem. 2018, 32, e4527. [Google Scholar] [CrossRef]
 - Abdel-Rahman, L.H.; Abu-Dief, A.M.; Abdel-Mawgoud, A.A.H. Development, structural investigation, DNA binding, anti-microbial screening and anticancer activities of two novel quari-dentate VO (II) and Mn (II) mononuclear complexes. J. King Saud Univ.-Sci. 2019, 31, 52–60. [Google Scholar] [CrossRef]
 - Mohamad, A.D.M.; Abualreish, M.; Abu-Dief, A.M. Antimicrobial and anticancer activities of cobalt (III)-hydrazone complexes: Solubilities and chemical potentials of transfer in different organic co-solvent-water mixtures. J. Mol. Liq. 2019, 290, 111162. [Google Scholar] [CrossRef]
 - Qasem, H.A.; Aouad, M.R.; Al-Abdulkarim, H.A.; Al-Farraj, E.S.; Attar, R.M.; El-Metwaly, N.M.; Abu-Dief, A.M. Tailoring of some novel bis-hydrazone metal chelates, spectral based characterization and DFT calculations for pharmaceutical applications and in-silico treatments for verification. J. Mol. Struct. 2022, 1264, 133263. [Google Scholar] [CrossRef]
 - Crichton, R.R. Metal Toxicity—An Introduction. In Metal Chelation in Medicine; Royal Society of Chemistry: London, UK, 2016. [Google Scholar] [CrossRef]
 - Hollenberg, P.F. Introduction: Mechanisms of metal toxicity special issue. Chem. Res. Toxicol. 2010, 23, 292–293. [Google Scholar] [CrossRef]
 - Verougstraete, V.; Danzeisen, R.; Burzlaff, A.; Oller, A.; Heim, K.; Vetter, D.; Lison, D. Mechanisms Underlying Toxicity of Complex Inorganic Materials. In Risk Management of Complex Inorganic Materials; Academic Press: Cambridge, UK, 2018; pp. 27–54. [Google Scholar]
 - Jomova, K.; Valko, M. Advances in metal-induced oxidative stress and human disease. Toxicology 2011, 283, 65–87. [Google Scholar] [CrossRef]
 - Pahonțu, E.; Ilieș, D.C.; Shova, S.; Oprean, C.; Păunescu, V.; Olaru, O.T.; Drăgănescu, D. Synthesis, characterization, antimicrobial and antiproliferative activity evaluation of Cu (II), Co (II), Zn (II), Ni (II) and Pt (II) complexes with isoniazid-derived compound. Molecules 2017, 22, 650. [Google Scholar] [CrossRef] [Green Version]
 









| Compounds | Binding Sequence | BE | 
|---|---|---|
| L1 | GLY143, CYS145 | −6.00 | 
| L2 | TRP218, ARG222 | −5.20 | 
| L3 | GLY278, ARG222, and ARG279 | −4.64 | 
| L4 | GLY143 | −5.01 | 
| hydroxychloroquine | LEU141, SER144, HIS163, and GLU166 | −5.07 | 
| remdesivir | TYR237, MET276, ASN277, and GLY278 | −1.43 | 
| favipiravir | GLN74, LEU75, VAL77, VAL68, LEU67, and PHE66 | −3.77 | 
| dexamethasone | THR26, ASN142, and GLU166 | −6.69 | 
| Receptor | 6 W41 | 
|---|---|
| Gibbs free energy binding (kcal/mol) | −5.88 | 
| Steady inhibition (Ki) (uM) | 48.92 | 
| vdW+ H bond + desolv energy (kCal/mol) | −7.09 | 
| Energy of electrostatic (kCal/mol) | −0.06 | 
| Total intermolecular energy (kCal/mol) | −7.15 | 
| Interaction at the surface | 603.803 | 
| Interaction | Distance (Å) | Receptor | E (kcal/mol) | |
|---|---|---|---|---|
| CPBS | ||||
| O 23 | H-donor | 2.94 (1.96) | O LEU 287 | −4.2 | 
| Br 26 | 3.35 | O THR 169 | −1.5 | |
| 6-ring | pi-H | 3.51 | CE LYS 137 | −0.5 | 
| 3.97 | CB ASP 197 | −0.7 | ||
| [FeCPBS(H2O)NO3] | ||||
| O 37 | H-donor | 2.79 (1.77) | OD1 ASN 142 | −15.7 | 
| Br 27 | 3.50 | O THR 26 | −0.7 | |
| O 40 | H-acceptor | 3.10 (2.17) | NE2 GLN 189 | −1.1 | 
| 6-ring | pi-H | 3.96 | CA ASN 142 | −0.5 | 
| PDBS | ||||
| O 24 | H-donor | 2.92 (1.94) | O THR 196 | −3.5 | 
| 6-ring | pi-H | 4.80 | CB PRO 132 | −0.6 | 
| 3.87 | CA ASN 133 | −0.5 | ||
| [FePDBS(H2O)NO3] | ||||
| O 37 | H-donor | 2.80 (1.90) | O LEU 272 | −13.3 | 
| Compound | Distance (Aο) | Moiety | Interaction | Receptor Site | E (kcal/mol) | 
|---|---|---|---|---|---|
| Ligand (H2L) | 2.88 | O 16 | H-donor | OE2 GLU 166 | −2.5 | 
| 3.45 | C2 26 | H-donor | SD MET 165 | −1.1 | |
| 3.36 | 5-ring | pi-H | NE2 GLN 189 | −0.9 | |
| (Fe(H2L)(H2O)2Cl)Cl2 | 2.86 | O 15 | H-donor | O GLU 166 | −5.0 | 
| 2.91 | O 54 | H-donor | OD1 ASN 142 | −3.6 | |
| (Cr(H2L)(H2O)2Cl)Cl2-2H2O | 3.09 | O15 | H-donor | O THR 24 | −1.0 | 
| 3.38 | O54 | H-donor | SD MET 49 | −28.6 | |
| 4.55 | 6-ring | pi-H | CG2 THR 25 | −0.7 | |
| (Cu(H2L)Cl)Cl-2H2O | 2.88 | O 15 | H-donor | O ASP 187 | −2.9 | 
| 3.34 | CL 50 | H-acceptor | CG GLN 189 | −0.8 | |
| 3.08 | CL 50 | H-acceptor | NE2 GLN 189 | −3.0 | |
| (Mn(H2L)(H2O)2Cl)Cl-2H2O | 4.03 | O 22 | H-donor | SD MET 165 | −0.4 | 
| 3.47 | CL45 49 | H-donor | SD MET 49 | −3.1 | |
| 3.07 | O46 50 | H-donor | SD MET 49 | −0.9 | |
| 2.70 | O 54 | H-donor | OG1 THR 25 | −1.4 | |
| 3.77 | CL45 49 | H-acceptor | NE2 GLN 189 | −3.3 | |
| 3.92 | 5-ring | pi-H | CG2 THR 25 | −0.7 | |
| 3.64 | 6-ring | pi-pi | 5-ring HIS 41 | −0.0 | |
| (Zn(H2L)(H2O)Cl2)-2H2O | 4.24 | CL45 49 | H-acceptor | CA ASN 142 | −0.6 | 
| 4.03 | CL46 50 | H-acceptor | CA ASN 142 | −0.9 | |
| 3.06 | CL46 50 | H-acceptor | N GLY 143 | −8.0 | |
| 4.27 | CL46 50 | H-acceptor | N CYS 145 | −1.9 | |
| 3.60 | CL46 50 | H-acceptor | SG CYS 145 | −0.9 | |
| 4.80 | 6-ring | pi-H | N GLU 166 | −0.7 | |
| (Ni(H2L)(H2O))Cl2-4H2O | 3.31 | O 50 | H-donor | SD MET 49 | −4.9 | 
| (Cd(H2L)(H2O)Cl2) | 3.51 | O 15 | H-donor | SD MET 165 | −2.6 | 
| 3.92 | CL45 49 | H-donor | SG CYS 145 | −3.8 | |
| 3.48 | CL45 49 | H-acceptor | CA MET 165 | −2.2 | |
| 4.16 | CL45 49 | H-acceptor | N GLU 166 | −1.1 | |
| 3.34 | CL46 50 | H-acceptor | N GLU 166 | −6.5 | |
| 3.64 | CL46 50 | H-acceptor | CB GLU 166 | −0.8 | 
| Compound | Main protease (Mpro) | |
|---|---|---|
| Docking Score (kcal/mol) | Binding Features (Hydrogen Bond Length in Å) | |
| 4a | −9.1 | HIS163 (1.97), SER144, GLU166 (1.89 Å), (2.31 Å), and LEU141 (1.97 Å) | 
| 4b | −9.0 | SER144 (2.24 Å), GLU166 (2.15 Å), and LEU141 (1.99 Å) | 
| 4c | −7.7 | GLU166 (2.13 Å), ARG188 (1.82 Å), and MET165 (2.52 Å) | 
| 4d | −9.7 | SER144 (2.22 Å), LEU141, GLU166 (2.07 Å), (2.02 Å), and HIS163 (1.83 Å) | 
| 4e | −7.5 | GLU166 (2.13 Å) | 
| 4f | −7.9 | GLN189 (2.23 Å), and GLY143 (1.75 Å) | 
| 4g | −8.2 | GLU166 (2.32 Å), and GLN192 (1.92 Å) | 
| 4h | −8.5 | GLU166 (1.86 Å), and GLN192 (1.99 Å) | 
| 4i | −8.6 | GLU166 (1.86 Å), GLN192 (2.24 Å), SER144 (2.21 Å), and CYS145 (2.37 Å) | 
| 4j | −8.7 | GLU166 (2.21 Å), and GLN192 (2.19 Å) | 
| 4k | −8.8 | GLU166 (2.02 Å), HIS163 (1.93 Å), and GLN192 (2.22 Å) | 
| Compound | Incubation Period | |||||
|---|---|---|---|---|---|---|
| 1 d | 2 d | d1 | 2 d | 1 d | 2 d | |
| LC50 (µM) | Goodness of Fit (r2) | CI 95% of LC50 (µM) | ||||
| HL | 53.09 | 52.60 | 0.9918 | 0.9849 | ND* | ND* | 
| (Cu(L)(CH3COO)).2H2O | 69.59 | 13.09 | 0.9021 | 0.9389 | 44.11–109.8 | 8.89–19.26 | 
| (Cu(L)(NO3)).H2O | 316.90 | 5.61 | 0.7842 | 0.8742 | 2.19–2.81 | 0.51–0.98 | 
| (Cu(L)(ClO4)).H2O | ND* | ND* | ND* | ND* | ND** | ND* | 
| (Cu(L)(Cl)).2H2O | 393.8 | 69.53 | 0.9966 | 0.8159 | 374.4–414.2 | 33.96–142.4 | 
| (Co(L)2) | 278.2 | 2.38 | 0.8655 | 0.9145 | 166.4–465.4 | 158.4–265.8 | 
| (Zn(L)2) | 33.91 | 0.84 | 0.9452 | 0.7553 | 23.27–49.4 | 0.33–2.12 | 
| (Ni(L)(Cl)) | 350.8 | 209.7 | 0.9935 | 0.9315 | 320.6–383.8 | 149.6–294.1 | 
| (Pt(L)(Cl)) | 468.60 | 78.19 | 0.9490 | 0.9546 | 400.6–548.3 | 57.44–106.5 | 
| Cu(CH3COO)2 | 9.86 | 0.44 | 0.9980 | ND* | ND** | ND** | 
| CuCl2 | 4.23 | 0.97 | 0.9890 | 0.9302 | 3.709–4.815 | ND** | 
| Cu(NO3)2 | 7.43 | 1.39 | 0.9586 | 0.9446 | 6.04–915 | 1.08–1.78 | 
| Cu(ClO4)2 | 0.39 | 0.31 | 0.9777 | 0.9794 | 2.34–3.76 | 0.99–1.22 | 
| CoCl2 | 205.20 | 31.37 | 0.9717 | 0.876 | 158.4–265.8 | 17.06–57.7 | 
| ZnCl2 | 15.39 | 0.89 | 0.9190 | 0.9691 | 9.42–25.15 | 0.79–1.02 | 
| NiCl2 | 100 | 16.25 | 0.9827 | 0.9624 | 98.31–101.7 | 11.86–22.27 | 
| K2PtCl4 | 27.70 | 5.63 | 0.9918 | 0.9364 | 21.86–35.11 | 3.953–8.012 | 
Publisher’s Note: MDPI stays neutral with regard to jurisdictional claims in published maps and institutional affiliations.  | 
© 2022 by the authors. Licensee MDPI, Basel, Switzerland. This article is an open access article distributed under the terms and conditions of the Creative Commons Attribution (CC BY) license (https://creativecommons.org/licenses/by/4.0/).
Share and Cite
Abd El-Lateef, H.M.; El-Dabea, T.; Khalaf, M.M.; Abu-Dief, A.M. Development of Metal Complexes for Treatment of Coronaviruses. Int. J. Mol. Sci. 2022, 23, 6418. https://doi.org/10.3390/ijms23126418
Abd El-Lateef HM, El-Dabea T, Khalaf MM, Abu-Dief AM. Development of Metal Complexes for Treatment of Coronaviruses. International Journal of Molecular Sciences. 2022; 23(12):6418. https://doi.org/10.3390/ijms23126418
Chicago/Turabian StyleAbd El-Lateef, Hany M., Tarek El-Dabea, Mai M. Khalaf, and Ahmed M. Abu-Dief. 2022. "Development of Metal Complexes for Treatment of Coronaviruses" International Journal of Molecular Sciences 23, no. 12: 6418. https://doi.org/10.3390/ijms23126418
APA StyleAbd El-Lateef, H. M., El-Dabea, T., Khalaf, M. M., & Abu-Dief, A. M. (2022). Development of Metal Complexes for Treatment of Coronaviruses. International Journal of Molecular Sciences, 23(12), 6418. https://doi.org/10.3390/ijms23126418
        
                                                
