New Inhibitors of Laccase and Tyrosinase by Examination of Cross-Inhibition between Copper-Containing Enzymes
Abstract
:1. Introduction
2. Results
2.1. No New Inhibitor of Ceruloplasmin and Dopamine-β-Hydroxylase Was Identified by Enzyme-Based Assays with Tyrosinase Inhibitors
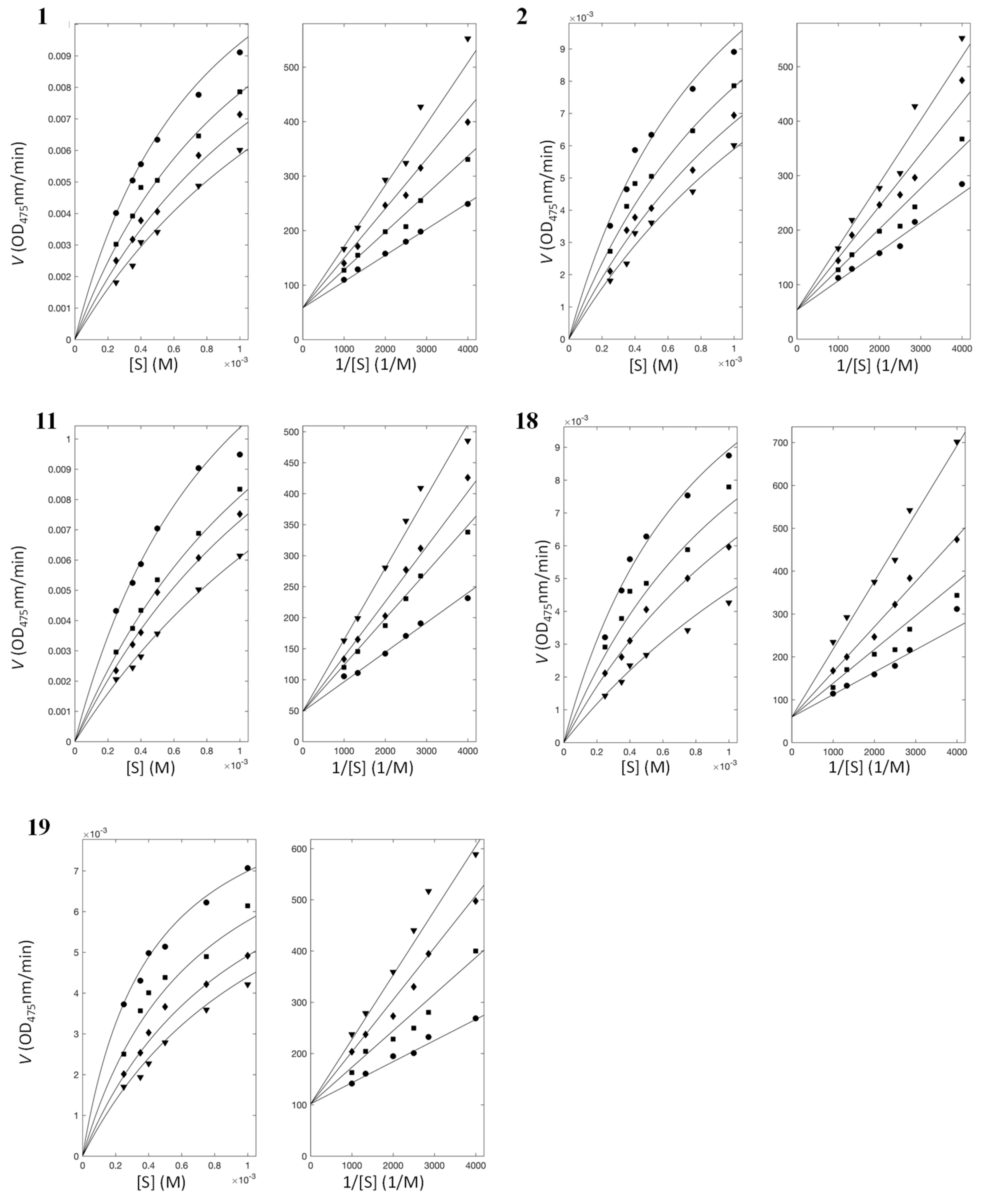
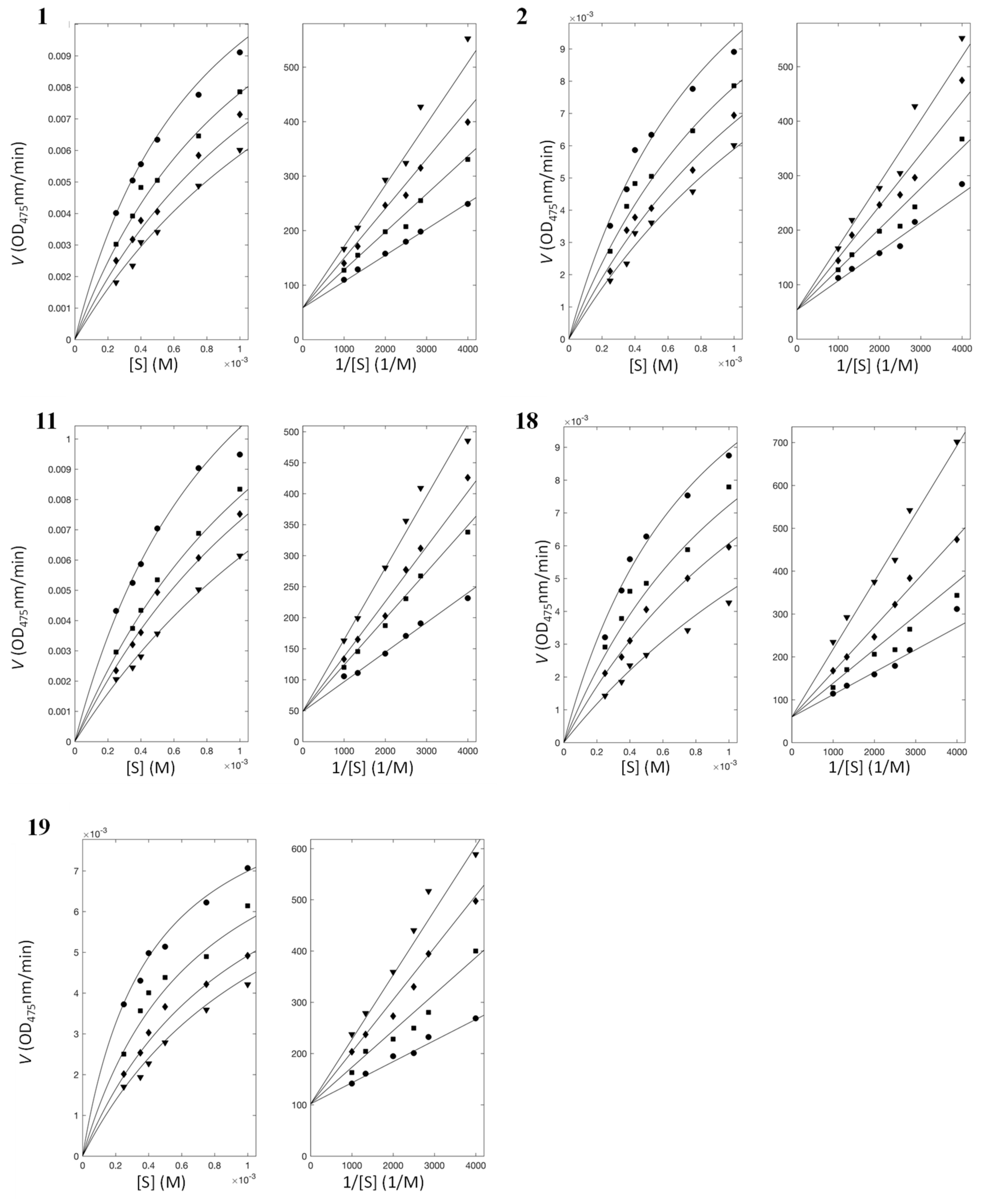
2.2. Enzyme-Based Assays Identified New Organic Laccase Inhibitors
2.3. Differential Scanning Fluorimetry and Fluorescence-Quenching Experiments Support Direct Interactions between Small Molecules and Laccases
2.4. Cheminformatics Analysis Revealed Differences between Tyrosinase and DBH Inhibitors and Suggested New Tyrosinase Inhibitors
3. Discussion
4. Materials and Methods
Supplementary Materials
Author Contributions
Funding
Conflicts of Interest
References
- Cohen, S.M. A bioinorganic approach to fragment-based drug discovery targeting metalloenzymes. Acc. Chem. Res. 2017, 50, 2007–2016. [Google Scholar] [CrossRef] [PubMed]
- Day, J.A.; Cohen, S.M. Investigating the selectivity of metalloenzyme inhibitors. J. Med. Chem. 2013, 56, 7997–8007. [Google Scholar] [CrossRef] [PubMed] [Green Version]
- Chen, A.Y.; Adamek, R.N.; Dick, B.L.; Credille, C.V.; Morrison, C.N.; Cohen, S.M. Targeting metalloenzymes for therapeutic intervention. Chem. Rev. 2019, 119, 1323–1455. [Google Scholar] [CrossRef] [PubMed]
- Weekley, C.M.; He, C. Developing drugs targeting transition metal homeostasis. Curr. Opin. Chem. Biol. 2017, 37, 26–32. [Google Scholar] [CrossRef] [PubMed]
- Riccardi, L.; Genna, V.; De Vivo, M. Metal—ligand interactions in drug design. Nat. Rev. Chem. 2018, 2, 100–112. [Google Scholar] [CrossRef]
- Caspi, R.; Billington, R.; Keseler, I.M.; Kothari, A.; Krummenacker, M.; Midford, P.E.; Ong, W.K.; Paley, S.; Subhraveti, P.; Karp, P.D. The MetaCyc database of metabolic pathways and enzymes—A 2019 update. Nucleic Acids Res. 2020, 48, 445–453. [Google Scholar] [CrossRef] [Green Version]
- Valasatava, Y.; Rosato, A.; Furnham, N.; Thornton, J.M.; Andreini, C. To what extent do structural changes in catalytic metal sites affect enzyme function? J. Inorg. Biochem. 2018, 179, 40–53. [Google Scholar] [CrossRef]
- Bowman, S.E.; Bridwell-Rabb, J.; Drennan, C.L. Metalloprotein crystallography: More than a structure. Acc. Chem. Res. 2016, 49, 695–702. [Google Scholar] [CrossRef] [Green Version]
- Zolghadri, S.; Bahrami, A.; Hassan Khan, M.T.; Munoz-Munoz, J.; Garcia-Molina, F.; Garcia-Canovas, F.; Saboury, A.A. A comprehensive review on tyrosinase inhibitors. J. Enzyme Inhib. Med. Chem. 2019, 34, 279–309. [Google Scholar] [CrossRef] [Green Version]
- Pillaiyar, T.; Manickam, M.; Namasivayam, V. Skin whitening agents: Medicinal chemistry perspective of tyrosinase inhibitors. J. Enzyme Inhib. Med. Chem. 2017, 32, 403–425. [Google Scholar] [CrossRef] [Green Version]
- Beliaev, A.; Learmonth, D.A.; Soares-da-Silva, P. Synthesis and biological evaluation of novel, peripherally selective chromanyl imidazolethione-based inhibitors of dopamine β-hydroxylase. J. Med. Chem. 2006, 49, 1191–1197. [Google Scholar] [CrossRef]
- McCarthy, J.R.; Matthews, D.P.; Broersma, R.J.; McDermott, R.D.; Kastner, P.R.; Hornsperger, J.M.; Demeter, D.A.; Weintraub, H.J.; Whitten, J.P. 1-(Thienylalkyl) imidazole-2 (3H)-thiones as potent competitive inhibitors of dopamine. beta.-hydroxylase. J. Med. Chem. 1990, 33, 1866–1873. [Google Scholar] [CrossRef]
- Kruse, L.I.; Kaiser, C.; DeWolf, W.E., Jr.; Frazee, J.S.; Erickson, R.W.; Ezekiel, M.; Ohlstein, E.H.; Ruffolo, R.R., Jr.; Berkowitz, B.A. Substituted 1-benzylimidazole-2-thiols as potent and orally active inhibitors of dopamine. Beta.-hydroxylase. J. Med. Chem. 1986, 29, 887–889. [Google Scholar] [CrossRef]
- Choi, J.; Choi, K.-E.; Park, S.J.; Kim, S.Y.; Jee, J.-G. Modeling. Ensemble-based virtual screening led to the discovery of new classes of potent tyrosinase inhibitors. J. Chem. Inf. Model 2016, 56, 354–367. [Google Scholar] [CrossRef]
- Choi, J.; Jee, J.-G. Repositioning of thiourea-containing drugs as tyrosinase inhibitors. Int. J. Mol. Sci. 2015, 16, 28534–28548. [Google Scholar] [CrossRef] [Green Version]
- Choi, J.; Lee, Y.-M.; Jee, J.-G. Thiopurine drugs repositioned as tyrosinase inhibitors. Int. J. Mol. Sci. 2018, 19, 77. [Google Scholar] [CrossRef] [Green Version]
- Choi, J.; Park, S.-J.; Jee, J.-G. Analogues of ethionamide, a drug used for multidrug-resistant tuberculosis, exhibit potent inhibition of tyrosinase. Eur. J Med. Chem. 2015, 106, 157–166. [Google Scholar] [CrossRef]
- Saghaie, L.; Pourfarzam, M.; Fassihi, A.; Sartippour, B. Synthesis and tyrosinase inhibitory properties of some novel derivatives of kojic acid. Res. Pharm. Sci. 2013, 8, 233–242. [Google Scholar]
- Sambasiva Rao, K.; Tripathy, N.; Srinivasa Rao, D.; Prakasham, R. Production, characterization, catalytic and inhibitory activities of tyrosinase. Res. J. Biotechnol. 2013, 8, 1. [Google Scholar]
- Bento, I.; Peixoto, C.; Zaitsev, V.N.; Lindley, P.F. Ceruloplasmin revisited: Structural and functional roles of various metal cation-binding sites. Acta Crystallogr. Sect. D Biol. Crystallogr. 2007, 63, 240–248. [Google Scholar] [CrossRef] [Green Version]
- Hellman, N.; Gitlin, J. Ceruloplasmin metabolism and function. Annu. Rev. Nutr. 2002, 22, 439–458. [Google Scholar] [CrossRef] [PubMed]
- Han, I.W.; Jang, J.-Y.; Kwon, W.; Park, T.; Kim, Y.; Lee, K.B.; Kim, S.-W. Ceruloplasmin as a prognostic marker in patients with bile duct cancer. Oncotarget 2017, 8, 29028. [Google Scholar] [CrossRef] [Green Version]
- Roberti, M.D.R.F.; Borges Filho, H.M.; Gonçalves, C.H.; Lima, F.L. Aceruloplasminemia: A rare disease-diagnosis and treatment of two cases. Rev. Bras. Hematol. Hemoter. 2011, 33, 389–392. [Google Scholar] [CrossRef] [PubMed] [Green Version]
- Rahman, M.K.; Rahman, F.; Rahman, T.; Kato, T. Dopamine-β-hydroxylase (DBH), its cofactors and other biochemical parameters in the serum of neurological patients in Bangladesh. Int. J. Biomed. Sci. 2009, 5, 395–401. [Google Scholar] [CrossRef] [PubMed]
- Vendelboe, T.V.; Harris, P.; Zhao, Y.; Walter, T.S.; Harlos, K.; El Omari, K.; Christensen, H.E. The crystal structure of human dopamine β-hydroxylase at 2.9 Å resolution. Sci. Adv. 2016, 2, e1500980. [Google Scholar] [CrossRef] [PubMed] [Green Version]
- Tishchenko, K.; Beloglazkina, E.; Mazhuga, A.; Zyk, N. Copper-containing enzymes: Site types and low-molecular-weight model compounds. Rev. J. Chem. 2016, 6, 49–82. [Google Scholar] [CrossRef]
- Strong, P.; Claus, H. Laccase: A review of its past and its future in bioremediation. Cri. Rev. Environ. Sci. Technol. 2011, 41, 373–434. [Google Scholar] [CrossRef]
- Martínez-Sotres, C.; Rutiaga-Quiñones, J.G.; Herrera-Bucio, R.; Gallo, M.; López-Albarrán, P.; Technology. Molecular docking insights into the inhibition of laccase activity by medicarpin. Wood Sci. Technol 2015, 49, 857–868. [Google Scholar] [CrossRef]
- Wang, T.; Xiang, Y.; Liu, X.; Chen, W.; Hu, Y. A novel fluorimetric method for laccase activities measurement using Amplex Red as substrate. Talanta 2017, 162, 143–150. [Google Scholar] [CrossRef]
- Shiro, Y. Structure and function of bacterial nitric oxide reductases: Nitric oxide reductase, anaerobic enzymes. Biochim. Biophys. Acta. Bioenerg. 2012, 1817, 1907–1913. [Google Scholar] [CrossRef] [Green Version]
- Jumper, J.; Evans, R.; Pritzel, A.; Green, T.; Figurnov, M.; Ronneberger, O.; Tunyasuvunakool, K.; Bates, R.; Zidek, A.; Potapenko, A.; et al. Highly accurate protein structure prediction with AlphaFold. Nature 2021, 596, 583–589. [Google Scholar] [CrossRef]
- Mendez, D.; Gaulton, A.; Bento, A.P.; Chambers, J.; De Veij, M.; Félix, E.; Magariños, M.P.; Mosquera, J.F.; Mutowo, P.; Nowotka, M. ChEMBL: Towards direct deposition of bioassay data. Nucleic Acids Res. 2019, 47, 930–940. [Google Scholar] [CrossRef]
- Davies, M.; Nowotka, M.; Papadatos, G.; Dedman, N.; Gaulton, A.; Atkinson, F.; Bellis, L.; Overington, J.P. ChEMBL web services: Streamlining access to drug discovery data and utilities. Nucleic Acids Res. 2015, 43, 612–620. [Google Scholar] [CrossRef] [Green Version]
- Kuo, T.; Ho, F. Competitive inhibition of mushroom tyrosinase by captopril. Res. J. Biotechnol. 2013, 8, 26. [Google Scholar]
- Espín, J.C.; Wichers, H.J. Effect of captopril on mushroom tyrosinase activity in vitro. Biochim. Biophys. Acta 2001, 1544, 289–300. [Google Scholar] [CrossRef]
- Meck, C.; D’Erasmo, M.P.; Hirsch, D.R.; Murelli, R.P. The biology and synthesis of α-hydroxytropolones. Med. Chem. Comm. 2014, 5, 842–852. [Google Scholar] [CrossRef]
- Keiser, M.J.; Roth, B.L.; Armbruster, B.N.; Ernsberger, P.; Irwin, J.J.; Shoichet, B.K. Relating protein pharmacology by ligand chemistry. Nat. Biotechnol. 2007, 25, 197–206. [Google Scholar] [CrossRef] [Green Version]
- Klabunde, T.; Eicken, C.; Sacchettini, J.C.; Krebs, B. Crystal structure of a plant catechol oxidase containing a dicopper center. Nat. Struct. Biol. 1998, 5, 1084–1090. [Google Scholar] [CrossRef]
- Holm, L.; Rosenstrom, P. Dali server: Conservation mapping in 3D. Nucleic Acids Res. 2010, 38, W545–W549. [Google Scholar] [CrossRef]
- Bertrand, T.; Jolivalt, C.; Briozzo, P.; Caminade, E.; Joly, N.; Madzak, C.; Mougin, C. Crystal structure of a four-copper laccase complexed with an arylamine: Insights into substrate recognition and correlation with kinetics. Biochemistry 2002, 41, 7325–7333. [Google Scholar] [CrossRef]
- Matera, I.; Gullotto, A.; Tilli, S.; Ferraroni, M.; Scozzafava, A.; Briganti, F. Crystal structure of the blue multicopper oxidase from the white-rot fungus Trametes trogii complexed with p-toluate. Inorganica Chim. Acta 2008, 361, 4129–4137. [Google Scholar] [CrossRef]
- Kozakov, D.; Grove, L.E.; Hall, D.R.; Bohnuud, T.; Mottarella, S.E.; Luo, L.; Xia, B.; Beglov, D.; Vajda, S. The FTMap family of web servers for determining and characterizing ligand-binding hot spots of proteins. Nat. Protoc. 2015, 10, 733–755. [Google Scholar] [CrossRef] [Green Version]
- Krivak, R.; Hoksza, D. P2Rank: Machine learning based tool for rapid and accurate prediction of ligand binding sites from protein structure. J. Cheminformatics 2018, 10, 39. [Google Scholar] [CrossRef]
- Bender, B.J.; Gahbauer, S.; Luttens, A.; Lyu, J.; Webb, C.M.; Stein, R.M.; Fink, E.A.; Balius, T.E.; Carlsson, J.; Irwin, J.J.; et al. A practical guide to large-scale docking. Nat. Protoc. 2021, 16, 4799–4832. [Google Scholar] [CrossRef]
- Irwin, J.J.; Shoichet, B.K.; Mysinger, M.M.; Huang, N.; Colizzi, F.; Wassam, P.; Cao, Y. Automated docking screens: A feasibility study. J. Med. Chem. 2009, 52, 5712–5720. [Google Scholar] [CrossRef] [Green Version]
- Yung-Chi, C.; Prusoff, W.H. Relationship between the inhibition constant (KI) and the concentration of inhibitor which causes 50 per cent inhibition (I50) of an enzymatic reaction. Biochem. Pharmacol. 1973, 22, 3099–3108. [Google Scholar] [CrossRef]
- Dias, A.A.; Pinto, P.A.; Fraga, I.; Bezerra, R.M. Diagnosis of enzyme inhibition using Excel Solver: A combined dry and wet laboratory exercise. J. Chem. Educ. 2014, 91, 1017–1021. [Google Scholar] [CrossRef]






| ID. | Chemical | DBH | Ceruloplasmin | T. versicolor | A. oryzae |
|---|---|---|---|---|---|
| 1 | Mercaptopurine | − | − | 18.3 ± 2.4 | 15.1 ± 4.6 |
| 2 | Thioguanine | − | − | 35.3 ± 4.6 | 21.2 ±1.7 |
| 11 | Captopril | − | − | 46.7 ± 3.2 | 26.3 ± 2.4 |
| 12 | Kojic acid | − | − | >1000 | >1000 |
| 18 | Dimercaptopropanol | 57.9 ± 7.6 | − | 16.1 ± 1.5 | 18.6 ± 3.3 |
| 19 | Dimercaptosuccinate | − | − | 48.1 ± 1.8 | 37.3 ± 5.6 |
| 24 | PTU | − | − | >1000 | >1000 |
| 26 | Tropolone | 9.3 ± 5.5 | − | >1000 | >1000 |
| 27 | Sodium azide | 70.6 ± 11.6 | 1.6 ± 0.3 | 4.2 ± 1.3 | 3.1 ± 1.7 |
| 28 | ATMD | 23.7 ± 2.7 | 10.9 ± 1.4 | 12.3 ± 1.3 | 10.5 ± 2.5 |
| ID | Chemical | Mechanism | * Ki (µM) | ** Ki (µM) |
|---|---|---|---|---|
| 1 | Mercaptopurine | Competitive | 2.4 | 17.2 |
| 2 | Thioguanine | Competitive | 23.4 | 26.2 |
| 11 | Captopril | Competitive | 5.2 | 32.4 |
| 18 | Dimercaptopropanol | Competitive | 9.5 | 18.0 |
| 19 | Dimercaptosucciniate | Competitive | 14.1 | 13.1 |
Publisher’s Note: MDPI stays neutral with regard to jurisdictional claims in published maps and institutional affiliations. |
© 2021 by the authors. Licensee MDPI, Basel, Switzerland. This article is an open access article distributed under the terms and conditions of the Creative Commons Attribution (CC BY) license (https://creativecommons.org/licenses/by/4.0/).
Share and Cite
Chaudhary, D.; Chong, F.; Neupane, T.; Choi, J.; Jee, J.-G. New Inhibitors of Laccase and Tyrosinase by Examination of Cross-Inhibition between Copper-Containing Enzymes. Int. J. Mol. Sci. 2021, 22, 13661. https://doi.org/10.3390/ijms222413661
Chaudhary D, Chong F, Neupane T, Choi J, Jee J-G. New Inhibitors of Laccase and Tyrosinase by Examination of Cross-Inhibition between Copper-Containing Enzymes. International Journal of Molecular Sciences. 2021; 22(24):13661. https://doi.org/10.3390/ijms222413661
Chicago/Turabian StyleChaudhary, Dinesh, Fangchen Chong, Trilok Neupane, Joonhyeok Choi, and Jun-Goo Jee. 2021. "New Inhibitors of Laccase and Tyrosinase by Examination of Cross-Inhibition between Copper-Containing Enzymes" International Journal of Molecular Sciences 22, no. 24: 13661. https://doi.org/10.3390/ijms222413661
APA StyleChaudhary, D., Chong, F., Neupane, T., Choi, J., & Jee, J.-G. (2021). New Inhibitors of Laccase and Tyrosinase by Examination of Cross-Inhibition between Copper-Containing Enzymes. International Journal of Molecular Sciences, 22(24), 13661. https://doi.org/10.3390/ijms222413661
