Copper-Containing Nanoparticles and Organic Complexes: Metal Reduction Triggers Rapid Cell Death via Oxidative Burst
Abstract
:1. Introduction
2. Results
2.1. Synthesis and Characterization of CuO NPs
2.2. NAC Dramatically Increases the Cytotoxicity of CuO NPs, Leading to Rapid Cell Death
2.3. A Combination of Copper-Containing Compounds and the Reducing Agent Is the Requirement for Cell Sensitization
2.4. Electrophysiological Measurements of Membrane Conductance in the Presence of CuO NPs and NAC
2.5. Leakage of the Fluorescent Dye from Liposomes Modified by NAC and CuO NPs
2.6. DSC of Liposomal Suspensions
2.7. Electrochemical Monitoring of Copper Redox States in the Presence of NAC or Ascorbate
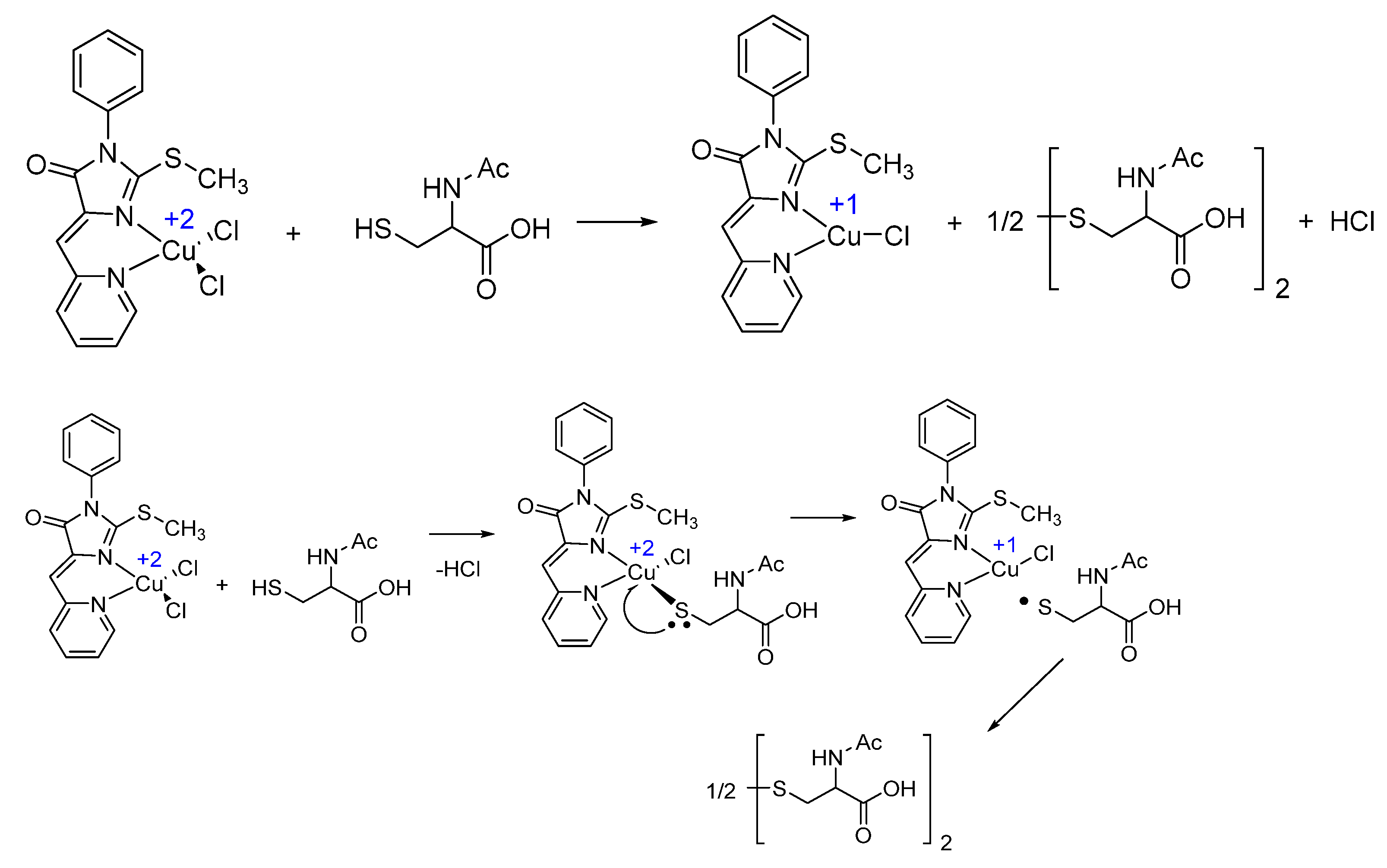
2.8. Analysis of Cu+2/NAC Interaction by Mass Spectroscopy
3. Discussion
4. Materials and Methods
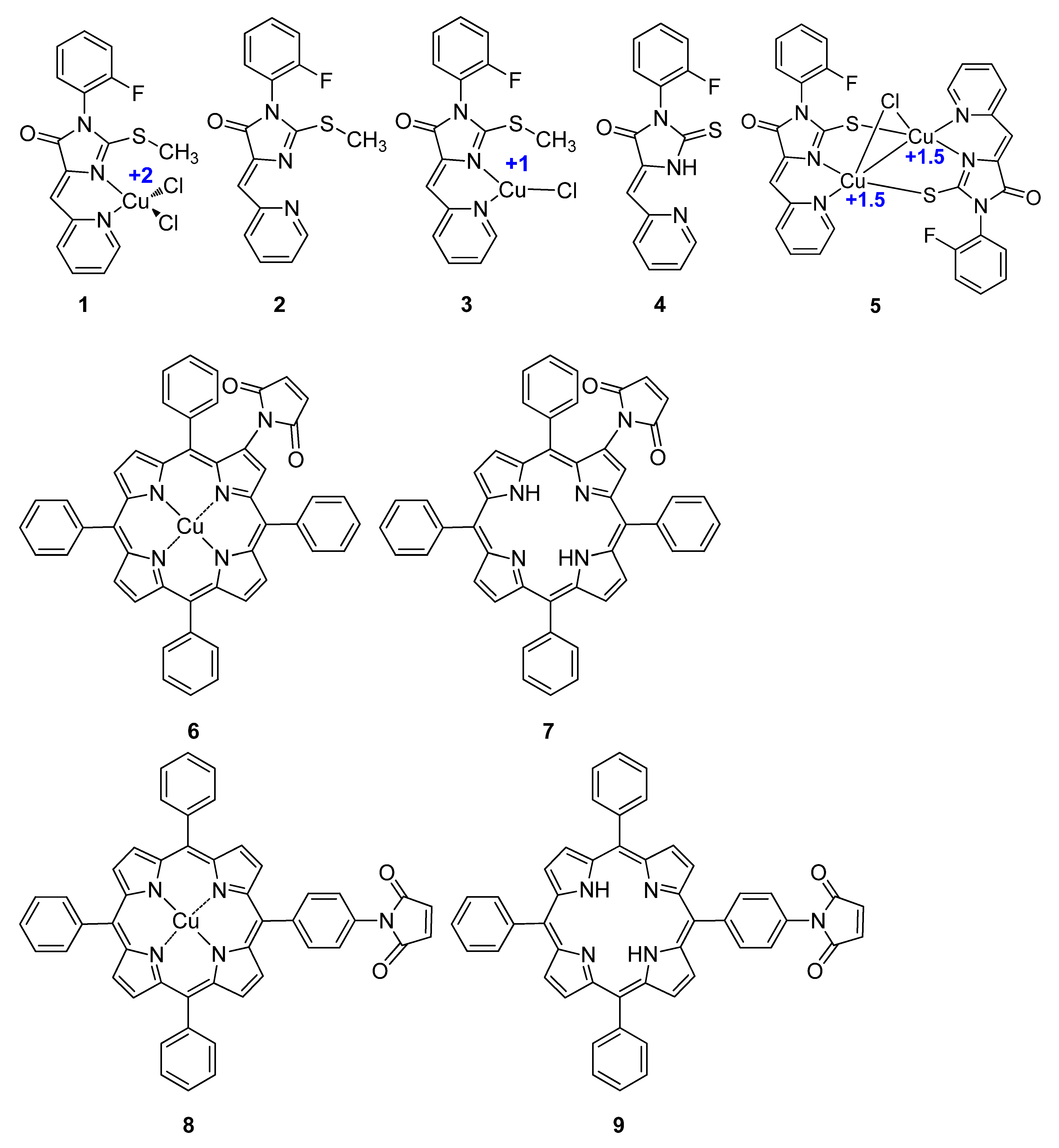
4.1. Metal (II)-Containing Agents
4.2. Cu (II)-Containing Organic Complexes
4.3. Cell Lines and Treatment
4.4. Cell Fluorescence
4.5. Time Course of Cell Death
4.6. Annexin V-FITC/PI Staining
4.7. Cell Cycle Distribution
4.8. Mitochondrial Transmembrane Potential
4.9. ROS Detection
4.10. Immunostaining
4.11. Immunoblotting
4.12. Planar Lipid Bilayer Setup, Recording System, and Mode of Calculations
4.13. Calcein Release from Liposomes
4.14. Differential Scanning Microcalorimetry (DSC) of Liposomal Suspensions
4.15. Electrochemical Measurements of Cu Redox State
4.16. Mass Spectrometry
4.17. Measurement of Thiol Group Content
4.18. Statistical Analysis
Supplementary Materials
Author Contributions
Funding
Institutional Review Board Statement
Informed Consent Statement
Data Availability Statement
Acknowledgments
Conflicts of Interest
References
- Samiei, M.; Farjami, A.; Dizaj, S.M.; Lotfipour, F. Nanoparticles for antimicrobial purposes in Endodontics: A systematic review of in vitro studies. Mater. Sci. Eng. C 2016, 58, 1269–1278. [Google Scholar] [CrossRef] [PubMed]
- Robinson, J.R.; Isikhuemhen, O.S.; Anike, F.N. Fungal–metal interactions: A review of toxicity and homeostasis. J. Fungi 2021, 7, 225. [Google Scholar] [CrossRef]
- Ermini, M.L.; Voliani, V. Antimicrobial nano-agents: The copper age. ACS Nano 2021, 15, 6008–6029. [Google Scholar] [CrossRef] [PubMed]
- Yang, M.; Li, J.; Gu, P.; Fan, X. The application of nanoparticles in cancer immunotherapy: Targeting tumor microenvironment. Bioact. Mater. 2021, 6, 1973–1987. [Google Scholar] [CrossRef]
- Lelièvre, P.; Sancey, L.; Coll, J.-L.; Deniaud, A.; Busser, B. The multifaceted roles of copper in cancer: A trace metal element with dysregulated metabolism, but also a target or a bullet for therapy. Cancers 2020, 12, 3594. [Google Scholar] [CrossRef] [PubMed]
- Skeeters, S.S.; Rosu, A.C.; Divyanshi, J.; Yang, J.; Zhang, K. Comparative determination of cytotoxicity of sub-10 nm copper nanoparticles to prokaryotic and eukaryotic systems. ACS Appl. Mater. Interfaces 2020, 12, 50203–50211. [Google Scholar] [CrossRef]
- Zou, L.; Cheng, G.; Xu, C.; Liu, H.; Wang, Y.; Li, N.; Fan, X.; Zhu, C.; Xia, W. Copper nanoparticles induce oxidative stress via the heme oxygenase 1 signaling pathway: In vitro studies. Int. J. Nanomed. 2021, 16, 1565–1573. [Google Scholar] [CrossRef]
- Na, I.; Kennedy, D.C. Size-specific copper nanoparticle cytotoxicity varies between human cell lines. Int. J. Mol. Sci. 2021, 22, 1548. [Google Scholar] [CrossRef]
- Siivola, K.M.; Suhonen, S.; Hartikainen, M.; Catalán, J.; Norppa, H. Genotoxicity and cellular uptake of nanosized and fine copper oxide particles in human bronchial epithelial cells in vitro. Mutat. Res. Toxicol. Environ. Mutagen. 2020, 856–857, 503217. [Google Scholar] [CrossRef]
- Krasnovskaya, O.O.; Guk, D.A.; Naumov, A.E.; Nikitina, V.N.; Semkina, A.S.; Vlasova, K.Y.; Pokrovsky, V.; Ryabaya, O.O.; Karshieva, S.S.; Skvortsov, D.A.; et al. Novel copper-containing cytotoxic agents based on 2-hioxoimidazolones. J. Med. Chem. 2020, 63, 13031–13063. [Google Scholar] [CrossRef]
- Esteban, L.I.; Cadavid-Vargas, F.J.; Di Virgilio, L.A.; Etcheverry, B.S. Vanadium, ruthenium and copper compounds: A new class of nonplatinum metallodrugs with anticancer activity. Curr. Med. Chem. 2017, 24, 112–148. [Google Scholar]
- Krasnovskaya, O.; Naumov, A.; Guk, D.; Gorelkin, P.; Erofeev, A.; Beloglazkina, E.; Majouga, A. Copper coordination compounds as biologically active agents. Int. J. Mol. Sci. 2020, 21, 3965. [Google Scholar] [CrossRef]
- Chen, Z.-F.; Orvig, C.; Liang, H. Multi-target metal-based anticancer agents. Curr. Top. Med. Chem. 2017, 17, 3131–3145. [Google Scholar] [CrossRef] [PubMed]
- Icsel, C.; Yilmaz, V.T.; Aydinlik, Ş.; Aygun, M. New manganese(II), iron(II), cobalt(II), nickel(II) and copper(II) saccharinate complexes of 2,6-bis(2-benzimidazolyl)pyridine as potential anticancer agents. Eur. J. Med. Chem. 2020, 202, 112535. [Google Scholar] [CrossRef] [PubMed]
- Sharma, A.; Goyal, A.K.; Rath, G. Recent advances in metal nanoparticles in cancer therapy. J. Drug Target. 2018, 26, 617–632. [Google Scholar] [CrossRef]
- Gaetke, L.M.; Chow, C.K. Copper toxicity, oxidative stress, and antioxidant nutrients. Toxicology 2003, 189, 147–163. [Google Scholar] [CrossRef]
- Sharma, P.; Goyal, D.; Baranwal, M.; Chudasama, B. Oxidative stress induced cytotoxicity of colloidal copper nanoparticles on RAW 264.7 macrophage cell line. J. Nanosci. Nanotechnol. 2021, 21, 5066–5074. [Google Scholar] [CrossRef]
- Wu, L.; Kang, Z.; Qiao, N.; Wang, C.; Tang, Z. Cu-induced mitochondrial dysfunction is mediated by abnormal mitochondrial fission through oxidative stress in primary chicken embryo hepatocytes. J. Trace Elem. Med. Biol. Organ Soc. Miner. Trace Elem. 2021, 65, 126721. [Google Scholar] [CrossRef] [PubMed]
- Cai, D.-H.; Zhang, C.-L.; Liu, Q.-Y.; He, L.; Liu, Y.-J.; Xiong, Y.-H.; Le, X.-Y. Synthesis, DNA binding, antibacterial and anticancer properties of two novel water-soluble copper(II) complexes containing gluconate. Eur. J. Med. Chem. 2021, 213, 113182. [Google Scholar] [CrossRef]
- Zheng, J.; Lou, J.R.; Zhang, X.X.; Benbrook, D.M.; Hanigan, M.H.; Lind, S.E.; Ding, W.Q. N-Acetylcysteine interacts with copper to generate hydrogen peroxide and selectively induce cancer cell death. Cancer Lett. 2010, 298, 186–194. [Google Scholar] [CrossRef] [Green Version]
- Phiwdang, K.; Suphankij, S.; Mekprasart, W.; Pecharapa, W. Synthesis of CuO nanoparticles by precipitation method using different precursors. Energy Proc. 2013, 34, 740–745. [Google Scholar] [CrossRef] [Green Version]
- Vasilichin, V.A.; Tsymbal, S.A.; Fakhardo, A.F.; Anastasova, E.I.; Marchenko, A.S.; Shtil, A.A.; Vinogradov, V.V.; Koshel, E.I. Effects of metal oxide nanoparticles on toll-like receptor mRNAs in human monocytes. Nanomaterials 2020, 10, 127. [Google Scholar] [CrossRef] [PubMed] [Green Version]
- Ingle, A.P.; Duran, N.; Rai, M. Bioactivity, mechanism of action, and cytotoxicity of copper-based nanoparticles: A review. Appl. Microbiol. Biotechnol. 2014, 98, 1001–1009. [Google Scholar] [CrossRef] [PubMed]
- Ol’shevskaya, V.A.; Alpatova, V.M.; Radchenko, A.S.; Ramonova, A.A.; Petrova, A.S.; Tatarskiy, V.V.; Zaitsev, A.V.; Kononova, E.G.; Ikonnikov, N.S.; Kostyukov, A.A.; et al. β-Maleimide substituted meso-arylporphyrins: Synthesis, transformations, physico-chemical and antitumor properties. Dyes Pigment. 2019, 171, 107760. [Google Scholar] [CrossRef]
- Shchekotikhin, A.E.; Dezhenkova, L.G.; Tsvetkov, V.B.; Luzikov, Y.N.; Volodina, Y.L.; Tatarskiy, V.V.; Kalinina, A.A.; Treshalin, M.I.; Treshalina, H.M.; Romanenko, V.I.; et al. Discovery of antitumor anthra[2,3-b]furan-3-carboxamides: Optimization of synthesis and evaluation of antitumor properties. Eur. J. Med. Chem. 2016, 112, 114–129. [Google Scholar] [CrossRef]
- Ol’shevskaya, V.A.; Zaitsev, A.V.; Petrova, A.S.; Arkhipova, A.Y.; Moisenovich, M.M.; Kostyukov, A.A.; Egorov, A.E.; Koroleva, O.A.; Golovina, G.V.; Volodina, Y.L.; et al. The synthetic fluorinated tetracarboranylchlorin as a versatile antitumor photoradiosensitizer. Dye. Pigment. 2021, 186, 108993. [Google Scholar] [CrossRef]
- Kessel, D. Death pathways associated with photodynamic therapy. Med. Laser Appl. 2006, 21, 219–224. [Google Scholar] [CrossRef] [Green Version]
- Ivanova, S.E.; Tatarskiy, V.V.; Yastrebova, A.M.; Khamidullina, I.A.; Shunaev, V.A.; Kalinina, A.A.; Zeifman, A.A.; Novikov, N.F.; Dutikova, V.Y.; Chilov, G.G.; et al. PF-114, a novel selective inhibitor of BCR-ABL tyrosine kinase, is a potent inducer of apoptosis in chronic myelogenous leukemia cells. Int. J. Oncol. 2019, 55, 289–297. [Google Scholar] [CrossRef]
- Ol’shevskaya, V.A.; Makarenkov, A.V.; Korotkova, N.S.; Kononova, E.G.; Konovalova, N.V.; Kalinin, V.N. Synthesis of carborane conjugates based on the maleimide derivative of 5,10,15,20-tetraphenylporphyrin. Dokl. Chem. 2014, 458, 165–168. [Google Scholar] [CrossRef]
- Li, X.; Hao, S.; Han, A.; Yang, Y.; Fang, G.; Liu, J.; Wang, S. Intracellular Fenton reaction based on mitochondria-targeted copper(ii)–peptide complex for induced apoptosis. J. Mater. Chem. B 2019, 7, 4008–4016. [Google Scholar] [CrossRef]
- Markowitsch, S.D.; Juetter, K.M.; Schupp, P.; Hauschulte, K.; Vakhrusheva, O.; Slade, K.S.; Thomas, A.; Tsaur, I.; Cinatl, J.J.; Michaelis, M.; et al. Shikonin reduces growth of docetaxel-resistant prostate cancer cells mainly through necroptosis. Cancers 2021, 13, 882. [Google Scholar] [CrossRef]
- Krysko, O.; Aaes, T.L.; Kagan, V.E.; D’Herde, K.; Bachert, C.; Leybaert, L.; Vandenabeele, P.; Krysko, D.V. Necroptotic cell death in anti-cancer therapy. Immunol. Rev. 2017, 280, 207–219. [Google Scholar] [CrossRef]
- Wu, W.; Yu, L.; Jiang, Q.; Huo, M.; Lin, H.; Wang, L.; Chen, Y.; Shi, J. Enhanced tumor-specific disulfiram chemotherapy by in situ Cu2+ chelation-initiated nontoxicity-to-toxicity transition. J. Am. Chem. Soc. 2019, 141, 11531–11539. [Google Scholar] [CrossRef]
- Anastasova, E.I.; Ivanovski, V.; Fakhardo, A.F.; Lepeshkin, A.I.; Omar, S.; Drozdov, A.S.; Vinogradov, V.V. A pure magnetite hydrogel: Synthesis, properties and possible applications. Soft Matter. 2017, 13, 8651–8660. [Google Scholar] [CrossRef] [Green Version]
- Bunz, F.; Hwang, P.M.; Torrance, C.; Waldman, T.; Zhang, Y.; Dillehay, L.; Williams, J.; Lengauer, C.; Kinzler, K.W.; Vogelstein, B.; et al. Disruption of p53 in human cancer cells alters the responses to therapeutic agents. J. Clin. Investig. 1999, 104, 263–269. [Google Scholar] [CrossRef] [PubMed] [Green Version]
- Tikhomirov, A.S.; Litvinova, V.A.; Andreeva, D.V.; Tsvetkov, V.B.; Dezhenkova, L.G.; Volodina, Y.L.; Kaluzhny, D.N.; Treshalin, I.D.; Schols, D.; Ramonova, A.A.; et al. Amides of pyrrole- and thiophene-fused anthraquinone derivatives: A role of the heterocyclic core in antitumor properties. Eur. J. Med. Chem. 2020, 199, 112294. [Google Scholar] [CrossRef]
- Van Straten, D.; Mashayekhi, V.; De Bruijn, H.S.; Oliveira, S.; Robinson, D.J. Oncologic photodynamic therapy: Basic principles, current clinical status and future directions. Cancers 2017, 9, 19. [Google Scholar] [CrossRef] [PubMed]
- Montal, M.; Mueller, P. Formation of bimolecular membranes from lipid monolayers and a study of their electrical properties. Proc. Natl. Acad. Sci. USA 1972, 65, 3561–3566. [Google Scholar] [CrossRef] [PubMed] [Green Version]








| Cell Line | CuO * | CuO + 1 mM NAC * | Fold Sensitization ** |
|---|---|---|---|
| K562 | 8.5 | 0.01 | 850 |
| K562/4 | 16.2 | 0.01 | 1620 |
| MDA-MB-231 | 18.3 | 0.06 | 305 |
| HCT116 | 26.8 | 0.05 | 536 |
| HCT116p53КО | 15.2 | 0.04 | 380 |
| MOLM-6 | 5.7 | 0.02 | 285 |
| KU-812 | 7.0 | 0.02 | 350 |
| B16F10 | 17.6 | 0.06 | 293 |
| MCF-7 | 45.2 | 0.05 | 904 |
| SCOV-3 | 3.9 | 0.09 | 42 |
| SCOV-3/CDDP | 4.3 | 0.37 | 12 |
| hFB-hTERT6 | 9.1 | 0.02 | 455 |
| Compound | No NAC * | + 1 mM NAC * | Fold Sensitization ** |
|---|---|---|---|
| 1 | 109.2 | 0.3 | 364.0 |
| 3 | 6.9 | 0.5 | 13.8 |
| 4 | 6.3 | 3.1 | 2.0 |
| 5 | 4.2 | 0.6 | 7.0 |
| 6 | 759.0 | 37.4 | 20.3 |
| 8 | 474.5 | 44.4 | 10.7 |
Publisher’s Note: MDPI stays neutral with regard to jurisdictional claims in published maps and institutional affiliations. |
© 2021 by the authors. Licensee MDPI, Basel, Switzerland. This article is an open access article distributed under the terms and conditions of the Creative Commons Attribution (CC BY) license (https://creativecommons.org/licenses/by/4.0/).
Share and Cite
Tsymbal, S.A.; Moiseeva, A.A.; Agadzhanian, N.A.; Efimova, S.S.; Markova, A.A.; Guk, D.A.; Krasnovskaya, O.O.; Alpatova, V.M.; Zaitsev, A.V.; Shibaeva, A.V.; et al. Copper-Containing Nanoparticles and Organic Complexes: Metal Reduction Triggers Rapid Cell Death via Oxidative Burst. Int. J. Mol. Sci. 2021, 22, 11065. https://doi.org/10.3390/ijms222011065
Tsymbal SA, Moiseeva AA, Agadzhanian NA, Efimova SS, Markova AA, Guk DA, Krasnovskaya OO, Alpatova VM, Zaitsev AV, Shibaeva AV, et al. Copper-Containing Nanoparticles and Organic Complexes: Metal Reduction Triggers Rapid Cell Death via Oxidative Burst. International Journal of Molecular Sciences. 2021; 22(20):11065. https://doi.org/10.3390/ijms222011065
Chicago/Turabian StyleTsymbal, Sergey A., Anna A. Moiseeva, Nikol A. Agadzhanian, Svetlana S. Efimova, Alina A. Markova, Dmitry A. Guk, Olga O. Krasnovskaya, Victoria M. Alpatova, Andrei V. Zaitsev, Anna V. Shibaeva, and et al. 2021. "Copper-Containing Nanoparticles and Organic Complexes: Metal Reduction Triggers Rapid Cell Death via Oxidative Burst" International Journal of Molecular Sciences 22, no. 20: 11065. https://doi.org/10.3390/ijms222011065
APA StyleTsymbal, S. A., Moiseeva, A. A., Agadzhanian, N. A., Efimova, S. S., Markova, A. A., Guk, D. A., Krasnovskaya, O. O., Alpatova, V. M., Zaitsev, A. V., Shibaeva, A. V., Tatarskiy, V. V., Dukhinova, M. S., Ol’shevskaya, V. A., Ostroumova, O. S., Beloglazkina, E. K., & Shtil, A. A. (2021). Copper-Containing Nanoparticles and Organic Complexes: Metal Reduction Triggers Rapid Cell Death via Oxidative Burst. International Journal of Molecular Sciences, 22(20), 11065. https://doi.org/10.3390/ijms222011065

