Abstract
The spreading of antibiotic-resistant bacteria strains is one of the most serious problem in medicine to struggle nowadays. This triggered the development of alternative antimicrobial agents in recent years. One of such group is Gemini surfactants which are massively synthesised in various structural configurations to obtain the most effective antibacterial properties. Unfortunately, the comparison of antimicrobial effectiveness among different types of Gemini agents is unfeasible since various protocols for the determination of Minimum Inhibitory Concentration are used. In this work, we proposed alternative, computational, approach for such comparison. We designed a comprehensive database of 250 Gemini surfactants. Description of structure parameters, for instance spacer type and length, are included in the database. We parametrised modelled molecules to obtain force fields for the entire Gemini database. This was used to conduct in silico studies using the molecular dynamics to investigate the incorporation of these agents into model E. coli inner membrane system. We evaluated the effect of Gemini surfactants on structural, stress and mechanical parameters of the membrane after the agent incorporation. This enabled us to select four most likely membrane properties that could correspond to Gemini’s antimicrobial effect. Based on our results we selected several types of Gemini spacers which could demonstrate a particularly strong effect on the bacterial membranes.
1. Introduction
Antimicrobial resistance against available antibiotics has been acknowledged as one of the most serious problems in medicine nowadays. This resulted in a surge of new research works related to the synthesis of novel compounds that could serve as a potential modern-generation groups of antimicrobial particles. One of these groups are Gemini surfactants (initially referred to as bis-surfactants), which are heavily reported for their antimicrobial effect [1]. In recent years, Gemini surfactants have been heavily addressed in the world of science. Over the past five years, more than 130 articles dealing with the subject of Gemini surfactants have been published, among which researchers determined the methods of synthesis of new compounds, their physicochemical properties and even their potential use or application.
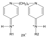
Gemini surfactants have unique structural properties. They consist of two amphiphilic groups connected by a spacer at the head level, which can be both hydrophilic and hydrophobic [2,3]. They have at least two hydrophobic chains and two ionic or polar groups. There is a great variety in their structure e.g., short and long methylene groups can be used as a linker, stiff (stilbene), polar (polyether) and nonpolar (aliphatic) groups can be used as a linker [2,3]. The ionic group can be positive (ammonium) or negative (phosphorus, sulfur, carboxylase), while the polar non-ionic groups can be polyether or sugar. Most Gemini surfactants have a symmetrical structure with two identical polar groups and two identical chains (but there are also Gemini that are asymmetrical or with three polar groups or chains) [4]. A universal scheme of Gemini is presented in Figure 1.
Figure 1.
General scheme of Gemini structure classification presented on QAS-type spacer Gemini molecule.
A major part of synthesised Gemini surfactants has performed exquisite antibacterial properties against both Gram-positive and Gram-negative bacteria [5,6,7]. The most common antibacterial particles of this group are based on quaternary ammonium salts (QAS). Such salts prevent the development of bacteria and fungi; therefore, they are used on a large scale for cleaning, maintenance and disinfection. There were several attempts to evaluate the effectiveness of antibacterial activity of Gemini surfactants. However, these are usually limited to the compound structure—it is directly associated with the type and length of spacer in the molecule and/or the length of hydrophobic chains [8,9,10]. Numerous scientists proved that number of carbon atoms is correlated with the antimicrobial activity [11,12]. It has been established that a greater number of carbons in the molecule’s structure increases its antibacterial activity, and the presence of 12 carbon atoms cause the greatest antibacterial response. It was proposed that the shorter chains might not interact with the hydrophobic region of the bilayer as smoothly and immediately as the longer ones [13]. However, very long tails might curve and twist disqualifying the interactions with negatively charged membrane surfaces by covering cationic head groups. Although it is believed that the major element in the surfactant antimicrobial properties is connected to the hydrophobic chain. It was confirmed that the head group type and structure are also essential factors of biological activity as in the case of QAS molecules [14]. Moreover, Moran et al. revealed that the structure of the hydrophilic core also plays an important role in antimicrobial effects [15,16].
Nevertheless, as mentioned earlier, all works focus only on the structural differences of Gemini surfactants. Furthermore, the conclusions are usually limited to one subgroup of Gemini compounds, hence when analysed more globally, are often mutually contradictory. The reported antimicrobial activity is based on minimum inhibitory concentration (MIC), which strongly depends on the protocol used [17]. The studies reporting the interactions and the effect of Gemini on membranes—with particular emphasis on their properties and potential rupture—are scarce in the literature. There are only available few studies on commercially available Gemini surfactants such as octenidine (OCT) [18,19,20]. This is quite surprising as membrane destruction was emphasised as one of the potential targets for antimicrobial effect [21,22]. To this end, in our work we have focused on systematic theoretical studies of Gemini agents. Specifically, we have reviewed available literature and recreated the structure of the synthesised Gemini particle groups. This was followed by the classification of molecules into subgroups and the parametrisation of the compounds to create force fields for molecular dynamics studies. As a result, we obtained 250 valid force fields of Gemini class surfactants. Finally, we have selected valid representatives of the subgroups and investigated their interaction with lipid membranes. The selection of representatives was partially determined by the conclusions of structural studies. We ended with 25 selected particles used in molecular dynamics studies. The model membrane system was based on the inner membrane of E. coli. In this work we report the theoretical effect of Gemini class surfactants on properties and behaviour of the membrane. Additionally, the incorporation and behaviour of the molecules were also assessed. Based on our systematic characterisation of membrane system, we selected four parameters that were strongly affected by Gemini agents’ incorporation. Those were: area compressibility, bending rigidity, lateral diffusion coefficient and surface tension. This selection of impactful parameters allowed us to make a preliminary selection of Gemini molecules groups that could show strong antimicrobial effect from those analysed. This work could provide a means for more detailed studies of Gemini class surfactants and their interaction with lipid membrane models. Such systematic computational analysis provides in silico method to select, from the group of molecules, the ones that are most likely candidates for antimicrobial compounds. It can result in decreasing the amount of expensive synthesis work, which can restrain this type of studies. In a further perspective, it could help in initial scanning of the molecules and facilitate comparison between different MIC studies to determine valid candidates for next-generation antimicrobial substances.
2. Results and Discussion
2.1. Parametrisation
Variety of different Gemini type molecules are synthesised and characterised every year in various literature reports. However, usually their antimicrobial effectiveness is described by a single MIC experiment using various protocols and bacteria families, after which they are left forgotten. Perhaps the new antimicrobial agents, more effective than currently available, have been already synthesised. Due to the shortcomings of the MIC experiments and the inability of systematic comparison it could be impossible to use them. Furthermore, these molecules have a specific biophysical effect on membranes, although are rarely used in molecular dynamic studies due to the missing of an appropriate parametrisation. To this end, we have collected the structures of synthesised Gemini molecules from a significant number of recent literature reports [1,3,7,10,23,24,25,26,27,28,29,30,31,32,33,34,35,36,37,38,39,40,41,42,43,44,45,46,47,48,49]. Using SCIGRESS software, these structures were designed and preliminarily optimised in the water solvent. It was followed by their equilibration and determination of the Hessian matrix was carried out using Gaussian software. Finally, data from both geometry and a Hessian matrix were used for parametrisation of modelled particles and the force fields creation. This approach was successfully used beforehand to create force fields for various particles [18,50,51]. In Supporting Materials (SM) we have delivered the detailed base of modelled 250 particles (see Microsoft Excel datasheet) with optimised force fields (see included zip file). Force fields are ready-to-use in NAMD software however, a detailed description on how to prepare them for GROMACS users was also included. Molecules were divided into groups based on the origin of the spacer. Each molecule is characterised by the molecular scheme, segment name, spacer formula, length of the spacer, length and formula of chain components and the presence of organic salt. Additionally, based on the modelled molecule structure, partition coefficient (logP) and critical micelle concentration (CMC) were determined. Several molecules were presented as a preview in Table 1 while the total selection is included in Table S1. The theoretical value of logP could be useful for molecule selection as it can indicate whether the molecule incorporates into the membrane in the first place. On the other hand, CMC value may suggest the aggregation behaviour of investigated agents. However, it should be noted that the algorithm is based on phenomenological values hence CMC should be only considered as an approximation.
Table 1.
Representation of selected modelled molecules from detailed base included in Supporting Materials.
2.2. Membrane Characterisation
As previously stated, Gemini molecules are well-known for their antimicrobial activity. It was considered by Epand et al. [21] as well as shown in the OCT studies, that this effect is related to membrane disruption [18]. The effect of those Gemini molecules on the membrane properties was assessed to determine the properties that most likely correspond to the antimicrobial effect. A number of molecules were selected to investigate the effect of Gemini particles on membrane’s behaviour. Specifically, at least one molecule from each group was selected. Since in several works [52,53,54,55,56] it was reported that strongest antimicrobial effect was observed for Gemini agents with chain length equal to 12 carbon atoms, such condition was adapted during molecule selection from the group. All of the investigated molecules, except diGalactose (dGl), were incorporated into the membrane during the simulation time. The dGl molecule fluctuated over the bilayer surface, maintaining a 30 ± 4 Å distance from phosphorous atoms in lipid heads. The explanation of a lack of incorporation for dGl most likely lies in the negative logP of the molecule. A detailed location of system components such as lipid fragments or Gemini molecules has been presented in the partial density chart in Figure S1–S5 in SM. Selected screenshots of the systems with anchored molecules are presented in Figure 2. The membrane composition was selected in such a way to most accurately reflect the inner membrane of E. coli [21,57].
Figure 2.
Selected screenshots of the systems with incorporated molecules, (A) Ole, (B) tQS, (C) hQS.
Membrane with incorporated Gemini molecules was thoroughly analysed to determine its properties such as area per lipid, membrane thickness, interdigitation, penetration depth, lateral diffusion, bending and tilt rigidities, area compressibility and surface tension. From such set of parameters four most likely candidates were chosen that could correspond to the antimicrobial effect. Those are membrane compressibility, bending rigidity, lateral diffusion and surface tension. The detailed characterisation of Gemini effect on the membrane, including all of the investigated parameters, is presented in SM Table S2. In this work, we additionally simulated the OCT molecule and we used it as a positive control. We assume that the effect on the membrane of these commercially available molecules could serve as a guidepost regarding desirable changes in selected properties. Since other molecules might indicate a much different mode of action therefore in our selection, we took into account the possible different mechanisms. Such a mechanism could induce a different magnitude of parameter change. As a result, we were also considering, in our selections, the extremum parameter changes, not only guided by the tendencies given by the effect of OCT. Concerning our analysis, we selected the four most changeable bilayer parameters reflecting membrane-agent interaction and potential antimicrobial activity. We deliver a total set of parameters in SM Table S2. The rest of the determined parameters were not selected due to insignificant differences between the analysed systems. Membrane thickness was, in general, determined to be between 39 and 41 Å. The difference of 2 Å between extreme particles with uncertainty equal to 1 Å was enough to exclude this parameter as an influential one. Similarly, tilt bending ranged from 9.9 up to 10.9 fold KbT with an uncertainty of 0.3 fold KbT. For APL, when the leaflet in which the Gemini agent incorporated is analysed, the values range between 58 and 62 Å2. Only two cases are extreme, which are 67.0 ± 3.3 Å2 for aryl bispiridine (Ary) and 64.8 ± 2.7 Å2 for glucose (Glu). Interestingly, both of those spacers were highlighted as possible antimicrobial based on analysis of other significant parameters.
The area compressibility is one of the most robust parameters in our dataset, hence we predict that it may be an adequate property reflecting antimicrobial effect on the membrane. This mechanical parameter quantifies the energetic cost associated with the membrane’s area stretching and/or compressing. For high values of area compressibility, the membrane is resistant to external pressure. For low values the membrane loses its resistivity. Both cases can result in inability of proper cell function. The determined values of area compressibility of bilayers with incorporated Gemini molecules are presented in Figure 3. The area compressibility of positive control—membrane with incorporated OCT—is almost seven times higher than in the case of the model membrane. Interestingly, membrane area compressibility with incorporated Adamantane (Adm) is higher than in the case of positive control. Four other molecules from the ester (Est), higher quaternary ammonium salt (hQAS), oligomeric QAS (o-QAS) and pyridine (Pyr) group also induced significant growth in the area compressibility. Furthermore, two Gemini molecules had a decreasing effect on the area compressibility of the membrane. Specifically, those from Saccharide (Sch) and Alkyl Bispyridinamine (Alk) group.
Figure 3.
Determined values of compressibility (KA) for membrane system with incorporated Gemini molecules.
In our previous work we highlighted that mechanical parameter such as bending rigidity play an important role in OCT mode of action [18]. To this end we selected this parameter as a likely and promising candidate that correspond to antimicrobial activity. Briefly, bending rigidity quantifies the energetic cost associated with the membrane bending. The determined values of bending rigidity of membranes with incorporated Gemini agents are presented in Figure 4. First, the difference between pure membrane and the positive control is not statistically significant. To our knowledge, the OCT effect on bending rigidity is closely related to the aggregation properties rather than the effect of a single molecule action [18]. Nevertheless, several Gemini molecules significantly affected the bending behaviour of membranes. Considering OCT as a positive control we found the activity of several agents such as ionic (Ion), alginine (Alg), Pyr, butene (But) and glucose (Glu) as not statistically significant, hence similar to OCT. If, however, the strongest difference between pure membrane is considered, aryl bispiridine (Ary), imino (Imo), oQAS, gluconamid (Glc) were the most active candidates.
Figure 4.
Calculated values of bending rigidity for membrane systems with incorporated Gemini molecules.
Lateral diffusion is a property that defines the mobility of lipid molecules in the membrane plane. Changes in lateral diffusion of the lipids could result in changes of movement of proteins, which can affect the activity of transporters and channel proteins [58]. Such an effect on proteins could significantly impede the functioning of microbe cells and correspond to antimicrobial effect of Gemini molecules. Although this dependency is not strictly related to the Gemini’s destructive effect on the membrane, it also should be considered as a factor. The values of lateral diffusion of lipid molecules are presented in Figure 5. Our positive control indicates that decreasing effect on lateral diffusion should be desirable however, the antimicrobial effect of OCT is based on membrane disruption and cannot be considered as a factor in this case. Results obtained for model membrane are in strong agreement with the GUVs E. coli mimicking studies, i.e., experimental diffusion coefficient equals D = 6.09 µm2/s [59]. Interestingly, different antimicrobial agent-thymol induced growth in lipids mobility, supporting the agent translocation [59]. To this end we selected three lowest and three highest values of lateral diffusion for selected agents that influence this membrane property. Gemini molecules that strongly increased the lateral diffusion of lipids on membranes were But, imidazolium (Imi) and Pyr. On the other hand, Gemini molecules that strongly decreased the lateral diffusion were o-QAS, Imo and Glu.
Figure 5.
Determined values of lateral diffusion (2D) for membrane systems with incorporated Gemini molecules.
Finally, the surface tension was determined for membranes with incorporated Gemini agents. Briefly, surface tension is defined as a cohesive force that keeps the cell membrane intact. Hence, its fluctuations may be very informative and extremely important for the determination of the antimicrobial mode of action based on the membrane disruption. Values of the membrane surface tension influenced by Gemini detergents are presented in Figure 6. The surface tension of membrane treated with OCT was twice as high than in the model membrane’s case. Interestingly, a significant number of investigated molecules had much stronger effect on membrane surface tension compared to the positive control. Three groups with the highest surface tension fluctuations were Ary, Aza and Alk. Additionally, the activity of several molecules such as hQS, Imo and Pyr led to decreased membrane tension. This should also be considered as change that could result in antimicrobial effect. Pure membrane exhibited natively certain surface tension hence, any strong deviation from this value could result in disruption of biological processes on the membrane.
Figure 6.
Surface tension, which was determined for membrane systems after the incorporation of investigated Gemini molecules.
Taking into account our results oQAS, Pyr, Imo groups from the Gemini family may exhibit strong antimicrobial effects. These molecules act as prominent candidates since three from four selected membrane parameters were significantly affected. Wang et al. in their experimental work [60] reported that presence of oxygen atom in oQAS spacer chain introduces higher flexibility and reduction of coulombic repulsion allows long side alkyl chain to tighter aggregation. This stays in line with our results since the oQAS molecules deeply penetrate the bilayer affecting membrane diffusion and mechanical properties. Moreover, Wettig et al. [61] highlighted unique transfection properties of Imo compared to other synthesised molecules since additional flexibility from extra methylene unit between nitrogen centres and readily protonated imino group is present. In our opinion, given molecule properties may influence the membrane resulting in limited tension and diffusion. Interestingly, both oQAS and Imo agents have similarities in structures (latter has additional nitrogen and methylene units in the spacer region) and induce comparable change in the membrane’s properties. Similarly, Quagliotto et al. [31] in the experimental work reported that increased Pyr concentration reduced the surface tension. This is in accordance with our theoretical approach where we observed significant limitations in membrane surface tension. Other vital candidates, that were selected based on two from four parameters, are Ary, Glu, hQAS and Alk. In the experimental work, Bailey et al. [1] concluded that Ary and Alk agents showed antimicrobial effectiveness, according to MIC. However, the latter showed weaker activity when compared to Ary. The authors emphasised that in the case of alkyl series the most effective agents are those with 22 up to 30 carbon atoms in the molecule. These could influence the character of membrane–molecule interactions and thus result in the fluctuation of membrane parameters. Our results also highlighted hQAS, which may be associated with molecule rigid spacer and three-charged headgroup indicating affinity to negative membranes [24]. Finally, Kumar et al. [38] reported that Glu shows excellent surface-active properties and low cytotoxicity, which stay in agreement with our findings based on membrane parameters variation. This selection was presented in Table 2. Despite suggested membrane thinning in reported experimental works we did not observe significant occurrence nor changes in acyl chain interdigitation in our studies (see Table S2) [62,63]. Moreover, in a significant part of analysed molecules, we observed their preferential localisation in the carbonyl-glycerol region. This was influenced by neither how long the alkyl chain nor the spacer were (see Figure S1–S5). Nevertheless, experimental comparison studies using uniformed protocol are required to confirm whether selected parameters directly correspond to the discussed antimicrobial effect.
Table 2.
Selected potential antimicrobial candidates from each parameter group. It is suggested to compare those in experimental studies. Frequently appearing molecules were bolded to emphasise their repetition between different parameters consideration.
3. Materials and Methods
3.1. Molecule Parametrisation
Quantum level calculations were performed using the Gaussian 2016 software package [64]. The equilibrium geometry of investigated Gemini molecules was calculated using density functional theory (DFT) (B3LYP)/6-31++G (d) level of theory; first with Loose Self Consistent Field (SCF) procedure, then with Tight. The solvent effect was taken into consideration using the integral equation formalism of the polarisable continuum model IEFPCM. Temperature was set to 300 K. Supplementary analysis based on the construction of the Hessian matrix (the matrix of second derivatives of the energy with respect to geometry) was also performed for further use in the force field parameterisation. The specific geometric and electronic data, such as bond lengths, angles, dihedrals and charge distribution were extracted from a Hessian matrix. The charge distribution was determined from the RESP charge calculations as being the most adapted to reproduce the molecular behaviour with the subsequently used CHARMM force field. For logP determination, the octanol/water partitioning coefficient was calculated using SCIGRESS software (SCIGRESS, Molecular modeling software, FQS Poland, ver. FJ-3.3.3). For CMC determination, the algorithm proposed by Mozrzymas was used [65]. It is based on phenomenological values and second-order connectivity index, that was determined using SCIGRESS software. Molecule schemes were prepared using MoleculeSketch (v. 2.2.3).
3.2. Molecular Dynamics Simulations
The all-atom models of the membranes were generated using CHARMM-GUI membrane builder [66]. The bacterial membrane model consisted of 80% PYPE, 15% PYPG, 5% PVCL2 [21,57]. The lipid bilayer was solvated with TIP3P water molecules (100 water molecules per lipid) and 240 mM NaCl were added based on literature data [67].
MD simulations were performed using the GROMACS (version 2020.4) package with the CHARMM36 force field [68,69]. Membrane systems were first minimised with the steepest descent algorithm for energy minimisation. Further calculations were carried out in the NPT ensemble (constant Number of particles, Pressure and Temperature) with Berendsen thermostat and barostat using semi-isotropic coupling at T = 303.15 K with time constant τ = 1 ps and p = 1 bar with τ = 5 ps. The primary part of the NPT calculations was performed using the leap-frog integrator with a 1 fs timestep. Afterwards, for the further NPT ensemble at T = 303.15 K, τ = 1 ps and p = 1 bar, τ = 5 ps, a Nose-Hoover thermostat [70] and Parrinello-Rahman barostat [71] were used. The second part of long-run production was carried out for 500 ns using the leap-frog integrator. Chemical bonds between hydrogen and heavy atoms were constrained to their equilibrium values with the LINCS algorithm, while long-range electrostatic forces were evaluated using the particle mesh Ewald (PME) method [72] with the integration timestep of 2 fs. Based on simulated pure membranes, the behaviour of Gemini surfactants was investigated. Molecules were placed on average 2.5 nm above the membrane leaflet and the same MD procedure was employed. For visualisation purpose, Visual Molecular Dynamics (VMD) was used [73].
3.3. Membrane System Characteristics
Membrane Thickness and Area per Lipid. Both area per lipid and membrane thickness were determined using self-made MATLAB scripts (Matlab R2019a). Briefly, for each leaflet Z-position on all phosphorus atoms were averaged, and distance between average Z-positions between each of leaflets was calculated for each frame. The final membrane thickness value is an average over analysed trajectory. Similarly, for each frame position of phosphorus atoms (or Gemini atom on the Z-level corresponding to phosphorus atoms) each leaflet was subjected to Voronoi tessellation. The average area for all lipid molecules was calculated for each leaflet and frame and was averaged over the analysed trajectory.
Bending rigidity and Tilt rigidity. Both bending rigidity and tilt rigidities were determined using self-made Matlab scripts that were based on the works of Doktorova et al. [74]. Briefly, a probability distribution for both tilt and splay are determined for all lipids over all analysed time steps. Tilt is defined as an angle between the lipid director (vector between lipid head–midpoint between C2 and P atoms–and lipid tail–midpoint between 16th carbon atoms) and bilayer normal. Lipid splay Sr is defined as divergence of an angle formed by the directors of neighbouring lipids providing that they are weakly correlated.
Compressibility. Compressibility was determined using self-made Matlab scripts based on the work of Doktorova et al. [75]. Briefly, a real-space analysis of local thickness fluctuations is sampled from the simulations for carbon atoms. This is followed by determination of reference surface and calculation of potential mean force from fluctuations from whole analysed trajectory to determine compressibility for given leaflet.
Lateral Diffusion Coefficient. The diffusion coefficient from the 2D mean square displacement (MSD) equation was calculated Diffusion Coefficient Tool [76] from the slope of the MSD curve through Einstein’s relation. This relation is presented in Equation (1), where M (t) is the MSD at a range of lag time tau and E represents the dimensionality (XY). For the computation accuracy, only phosphorous atoms (in the range of 20 Å from surfactant) of all lipids were considered.
Interdigitation. For all provided systems the fluctuation of lipid interdigitation was determined using MEMBPLUGIN available in VMD software [77]. It is given in length units and reflects the interdigitation between opposite leaflets in the system—unless no interdigitation occurs it is equal to zero.
Penetration Depth. The depth of surfactant penetration was measured with respect to the membrane centre. From the last 50 ns of the trajectory the positions of the deepest placed carbon atoms on each alkyl chain were taken and evaluated with respect to the distance between phosphorous atoms divided by two, which represent the membrane centre.
Surface tension. The surface tension of membranes with anchored Gemini surfactants was computed using gmx energy function build-in GROMACS software using pressure tensor (Pxx, Pyy, Pzz values according to the Irving-Kirkwood method [78,79,80] and Equation (2), where L is the length of the simulation box in z dimension and represents an ensemble average given from gmx energy.
Significance test. Significance tests were performed using OriginLab OriginPro 9.0 software. Specifically, one-way ANOVA was performed and was supplemented with post-hoc Tukey test to determine significance between individual populations.
4. Conclusions
In this work, we optimised and parametrised 250 Gemini molecules. We described each of those molecules with theoretical values of logP and log (CMC) as well as provided a detailed description of those molecules in the attached spreadsheet. Additionally, we included those parametrised force fields in SM for future simulation studies. This may be remarkably helpful in further antimicrobial action studies, as a significant number of Gemini cationic molecules with various spacers were modelled and parametrised. Such systematic summarisation may be extensively used not only for theoretical studies but also for experimental ones with the aim to deliver comprehensive knowledge and molecular mechanism of surfactant effectiveness. Furthermore, we selected 25 molecules from various groups and simulated their behaviour in systems with membrane mimicking the inner membrane of E. coli. This detailed characterisation of parameters allowed us to extract four types of parameters—area compressibility, bending rigidity, lateral diffusion coefficient and membrane surface tension—that could correspond to the antimicrobial effect of those molecules. Based on our preliminary screening we concluded that the type of Gemini molecules that could exhibit strong antimicrobial effects are oQAS, Pyr, Imo. Additionally, other possible candidates are Ary, Glu, hQAS and Alk. In this work we proposed and deliver a uniform theoretical approach to compare Gemini surfactant effectiveness. Nevertheless, this systematic approach should be confirmed experimentally to provide solid biological relevance.
Supplementary Materials
The following are available online at https://www.mdpi.com/article/10.3390/ijms222010939/s1: (1) Gemini molecules database (.xls). (2) Complete force-fields for Gemini molecules from the database (.zip). (3) Supporting materials (.docx) including system density profiles of investigated agents, table with membrane system characterisation and instruction for NAMD FF to GROMACS FF conversion.
Author Contributions
Conceptualisation, M.R. and D.D.; methodology, M.R., A.K. and D.D.; validation, M.R. and D.D.; formal analysis, M.R. and D.D.; investigation, M.R., A.K. and D.D.; resources, S.K.; data curation, M.R., A.K. and D.D.; writing—original draft preparation, M.R. and D.D.; writing—review and editing, M.R., A.K. and D.D.; visualisation, M.R. and D.D.; supervision, D.D.; project administration, S.K.; funding acquisition, S.K. All authors have read and agreed to the published version of the manuscript.
Funding
This work was possible thanks to the financial support from the National Science Centre (Poland) grant No. 2015/19/B/NZ7/02380. Additionally, D.D. acknowledge support from National Science Center (grant number 2018/30/E/NZ1/00099).
Data Availability Statement
Most of the data are available in the manuscript supplementary information, including force fields. The simulation data presented in this study are available on request from the corresponding author due to GBs files sizes.
Acknowledgments
We would like to thank both Kamila Szostak-Paluch and Beata Hanus-Lorenz from Wroclaw University of Science and Technology for valuable discussion regarding structures of cationic Gemini molecules.
Conflicts of Interest
The authors declare no conflict of interest.
References
- Bailey, D.M.; DeGrazia, C.G.; Hoff, S.J.; Schulenberg, P.L.; O’Connor, J.R.; Paris, D.A.; Slee, A.M. Bispyridinamines: A new class of topical antimicrobial agents as inhibitors of dental plaque. J. Med. Chem. 2002, 27, 1457–1464. [Google Scholar] [CrossRef]
- Brycki, B.E.; Kowalczyk, I.H.; Szulc, A.; Kaczerewska, O.; Pakiet, M. Multifunctional gemini surfactants: Structure, synthesis, properties and applications. Appl. Charact. Surfactants, Reza Najjar 2017, 97–155. [Google Scholar] [CrossRef]
- Hait, S.; Moulik, S. Gemini surfactants: A distinct class of self-assembling molecules. Curr. Sci. 2002, 82, 1101–1111. [Google Scholar]
- Zana, R. Dimeric and oligomeric surfactants. Behavior at interfaces and in aqueous solution: A review. Adv. Colloid Interface Sci. 2002, 97, 205–253. [Google Scholar] [CrossRef]
- Koziróg, A.; Brycki, B.; Pielech-Przybylska, K. Impact of cationic and neutral gemini surfactants on conidia and hyphal forms of Aspergillus brasiliensis. Int. J. Mol. Sci. 2018, 19, 873. [Google Scholar] [CrossRef]
- Kuperkar, K.; Modi, J.; Patel, K. Surface-active properties and antimicrobial study of conventional cationic and synthesized symmetrical gemini surfactants. J. Surfactants Deterg. 2012, 15, 107–115. [Google Scholar] [CrossRef]
- Menger, F.M.; Mbadugha, B.N.A. Gemini surfactants with a Disaccharide Spacer. J. Am. Chem. Soc. 2001, 123, 875–885. [Google Scholar] [CrossRef]
- Zhong, X.; Guo, J.; Fu, S.; Zhu, D.; Peng, J. Synthesis, surface property and antimicrobial activity of cationic gemini surfactants containing adamantane and amide groups. J. Surfactants Deterg. 2014, 17, 943–950. [Google Scholar] [CrossRef]
- Pernak, J.; Branicka, M. The properties of 1-alkoxymethyl-3-hydroxypyridinium and 1-alkoxymethyl-3-dimethylaminopyridinium chlorides. J. Surfactants Deterg. 2003, 6, 119–123. [Google Scholar] [CrossRef]
- Li, H.; Yu, C.; Chen, R.; Li, J.; Li, J. Novel ionic liquid-type Gemini surfactants: Synthesis, surface property and antimicrobial activity. Colloids Surf. A Physicochem. Eng. Asp. 2012, 395, 116–124. [Google Scholar] [CrossRef]
- Wang, L.; Qin, H.; Ding, L.; Huo, S.; Deng, Q.; Zhao, B.; Meng, L.; Yan, T. Preparation of a novel class of cationic gemini imidazolium surfactants containing amide groups as the spacer: Their surface properties and antimicrobial activity. J. Surfactants Deterg. 2014, 17, 1099–1106. [Google Scholar] [CrossRef]
- Tawfik, S.M.; Abd-Elaal, A.A.; Shaban, S.M.; Roshdy, A.A. Surface, thermodynamic and biological activities of some synthesized Gemini quaternary ammonium salts based on polyethylene glycol. J. Ind. Eng. Chem. 2015, 30, 112–119. [Google Scholar] [CrossRef]
- Bao, Y.; Guo, J.; Ma, J.; Li, M.; Li, X. Physicochemical and antimicrobial activities of cationic gemini surfactants with polyether siloxane linked group. J. Mol. Liq. 2017, 242, 8–15. [Google Scholar] [CrossRef]
- Gilbert, P.; Moore, L.E. Cationic antiseptics: Diversity of action under a common epithet. J. Appl. Microbiol. 2005, 99, 703–715. [Google Scholar] [CrossRef] [PubMed]
- Koch, A.L. Bacterial wall as target for attack past, present, and future research. Clin. Microbiol. Rev. 2003, 16, 673–687. [Google Scholar] [CrossRef] [PubMed]
- Morán, C.; Clapés, P.; Comelles, F.; García, T.; Pérez, L.; Vinardell, P.; Mitjans, M.; Infante, M.R. Chemical structure/property relationship in single-chain arginine surfactants. Langmuir 2001, 17, 5071–5075. [Google Scholar] [CrossRef]
- Schuurmans, J.; Nuri Hayali, A.; Koenders, B.; ter Kuile, B. Variations in MIC value caused by differences in experimental protocol. J. Microbiol. Methods 2009, 79, 44–47. [Google Scholar] [CrossRef] [PubMed]
- Rzycki, M.; Drabik, D.; Szostak-Paluch, K.; Hanus-Lorenz, B.; Kraszewski, S. Unraveling the mechanism of octenidine and chlorhexidine on membranes: Does electrostatics matter? Biophys. J. 2021, 120, 3392–3408. [Google Scholar] [CrossRef]
- Malanovic, N.; Ön, A.; Pabst, G.; Zellner, A.; Lohner, K. Octenidine: Novel insights into the detailed killing mechanism of Gram-negative bacteria at a cellular and molecular level. Int. J. Antimicrob. Agents 2020, 56. [Google Scholar] [CrossRef]
- Hübner, N.-O.; Siebert, J.; Kramer, A. Octenidine dihydrochloride, a modern antiseptic for skin, mucous membranes and wounds. Skin Pharmacol. Physiol. 2010, 23, 244–258. [Google Scholar] [CrossRef]
- Epand, R.M.; Epand, R.F. Bacterial membrane lipids in the action of antimicrobial agents. J. Pept. Sci. 2011, 17, 298–305. [Google Scholar] [CrossRef]
- Epand, R.M.; Epand, R.F. Lipid domains in bacterial membranes and the action of antimicrobial agents. Biochim. Biophys. Acta 2009, 1788, 289–294. [Google Scholar] [CrossRef] [PubMed]
- Silva, S.G.; Oliveira, I.S.; do Vale, M.L.C.; Marques, E.F. Serine-based gemini surfactants with different spacer linkages: From self-assembly to DNA compaction. Soft Matter 2014, 10, 9352–9361. [Google Scholar] [CrossRef] [PubMed]
- Han, Y.; Wang, Y. Aggregation behavior of gemini surfactants and their interaction with macromolecules in aqueous solution. Phys. Chem. Chem. Phys. 2011, 13, 1939–1956. [Google Scholar] [CrossRef] [PubMed]
- Ding, Z.; Hao, A. Synthesis and surface properties of novel cationic gemini surfactants. J. Dispers. Sci. Technol. 2010, 31, 338–342. [Google Scholar] [CrossRef]
- Di Meglio, C.; Rananavare, S.B.; Sönke Svenson, A.; Thompson, D.H. Bolaamphiphilic phosphocholines: Structure and phase behavior in aqueous media. Langmuir 1999, 16, 128–133. [Google Scholar] [CrossRef]
- Datta, S.; Biswas, J.; Bhattacharya, S. How does spacer length of imidazolium gemini surfactants control the fabrication of 2D-Langmuir films of silver-nanoparticles at the air–water interface? J. Colloid Interface Sci. 2014, 430, 85–92. [Google Scholar] [CrossRef] [PubMed]
- Brycki, B.; Szulc, A. Gemini alkyldeoxy-D-glucitolammonium salts as modern surfactants and microbiocides: Synthesis, antimicrobial and surface activity, biodegradation. PLoS ONE 2014, 9, e84936. [Google Scholar] [CrossRef]
- Sheikh, M.S.; Khanam, A.J.; Matto, R.U.H.; Kabir-Ud-Din. Comparative study of the micellar and antimicrobial activity of gemini-conventional surfactants in pure and mixed micelles. J. Surfactants Deterg. 2013, 16, 503–508. [Google Scholar] [CrossRef]
- Obłąk, E.; Piecuch, A.; Guz-Regner, K.; Dworniczek, E. Antibacterial activity of gemini quaternary ammonium salts. FEMS Microbiol. Lett. 2014, 350, 190–198. [Google Scholar] [CrossRef]
- Quagliotto, P.; Barolo, C.; Barbero, N.; Barni, E.; Compari, C.; Fisicaro, E.; Viscardi, G. Synthesis and characterization of highly fluorinated gemini pyridinium surfactants. European, J. Org. Chem. 2009, 2009, 3167–3177. [Google Scholar] [CrossRef]
- Marín-Menéndez, A.; Montis, C.; Díaz-Calvo, T.; Carta, D.; Hatzixanthis, K.; Morris, C.J.; McArthur, M.; Berti, D. Antimicrobial nanoplexes meet model bacterial membranes: The key role of cardiolipin. Sci. Rep. 2017, 7, 1–13. [Google Scholar] [CrossRef]
- Brycki, B.; Kowalczyk, I.; Kozirog, A. Synthesis, molecular structure, spectral properties and antifungal activity of polymethylene-α,ω-bis(n,n- dimethyl-n-dodecyloammonium bromides). Molecules 2011, 16, 319–335. [Google Scholar] [CrossRef] [PubMed]
- Gospodarczyk, W.; Kozak, M. Interaction of two imidazolium gemini surfactants with two model proteins BSA and HEWL. Colloid Polym. Sci. 2015, 293, 2855–2866. [Google Scholar] [CrossRef]
- Pietralik, Z.; Kołodziejska, Ż.; Weiss, M.; Kozak, M. Gemini surfactants based on bis-imidazolium alkoxy derivatives as effective agents for delivery of nucleic acids: A structural and spectroscopic study. PLoS ONE 2015, 10, e0144373. [Google Scholar] [CrossRef]
- Pietralik, Z.; Krzysztoń, R.; Kida, W.; Andrzejewska, W.; Kozak, M. Structure and conformational dynamics of DMPC/dicationic surfactant and DMPC/dicationic surfactant/DNA systems. Int. J. Mol. Sci. 2013, 14, 7642–7659. [Google Scholar] [CrossRef] [PubMed]
- Kamboj, R.; Singh, S.; Bhadani, A.; Kataria, H.; Kaur, G. Gemini imidazolium surfactants: Synthesis and their biophysiochemical study. Langmuir 2012, 28, 11969–11978. [Google Scholar] [CrossRef] [PubMed]
- Kumar, V.; Chatterjee, A.; Kumar, N.; Ganguly, A.; Chakraborty, I.; Banerjee, M. d-Glucose derived novel gemini surfactants: Synthesis and study of their surface properties, interaction with DNA, and cytotoxicity. Carbohydr. Res. 2014, 397, 37–45. [Google Scholar] [CrossRef] [PubMed]
- Sakai, K.; Umezawa, S.; Tamura, M.; Takamatsu, Y.; Tsuchiya, K.; Torigoe, K.; Ohkubo, T.; Yoshimura, T.; Esumi, K.; Sakai, H.; et al. Adsorption and micellization behavior of novel gluconamide-type gemini surfactants. J. Colloid Interface Sci. 2008, 318, 440–448. [Google Scholar] [CrossRef]
- Massi, L.; Guittard, F.; Levy, R.; Duccini, Y.; Géribaldi, S. Preparation and antimicrobial behaviour of gemini fluorosurfactants. Eur. J. Med. Chem. 2003, 38, 519–523. [Google Scholar] [CrossRef]
- Łuczyński, J.; Frąckowiak, R.; Włoch, A.; Kleszczyńska, H.; Witek, S. Gemini ester quat surfactants and their biological activity. Cell. Mol. Biol. Lett. 2013, 18, 89–101. [Google Scholar] [CrossRef]
- Tatsumi, T.; Zhang, W.; Nakatsuji, Y.; Miyake, K.; Matsushima, K.; Tanaka, M.; Furuta, T.; Ikeda, I. Preparation, surface-active properties, and antimicrobial activities of bis(alkylammonium) dichlorides having a butenylene or a butynylene spacer. J. Surfactants Deterg. 2001, 4, 271–277. [Google Scholar] [CrossRef]
- Tatsumi, T.; Imai, Y.; Kawaguchi, K.; Miyano, N.; Ikeda, I. Antimicrobial activity of cationic gemini surfactant containing an oxycarbonyl group in the lipophilic portion against gram-positive and gram-negative microorganisms. J. Oleo Sci. 2014, 63, 137–140. [Google Scholar] [CrossRef][Green Version]
- Ronsin, G.; Kirby, A.J.; Rittenhouse, S.; Woodnutt, G.; Camilleri, P. Structure and antimicrobial activity of new bile acid-based gemini surfactants. J. Chem. Soc. Perkin Trans. 2 2002, 7, 1302–1306. [Google Scholar] [CrossRef]
- Piętka-Ottlik, M.; Lewińska, A.; Jaromin, A.; Krasowska, A.; Wilk, K.A. Antifungal organoselenium compound loaded nanoemulsions stabilized by bifunctional cationic surfactants. Colloids Surf. A Physicochem. Eng. Asp. 2016, 510, 53–62. [Google Scholar] [CrossRef]
- Pérez, L.; Torres, J.L.; Manresa, A.; Solans, C.; Infante, M.R. Synthesis, aggregation, and biological properties of a new class of gemini cationic amphiphilic compounds from arginine, bis (Args). Langmuir 1996, 12, 5296–5301. [Google Scholar] [CrossRef]
- Zhong, X.; Guo, J.; Feng, L.; Xu, X.; Zhu, D. Cationic Gemini surfactants based on adamantane: Synthesis, surface activity and aggregation properties. Colloids Surf. A Physicochem. Eng. Asp. 2014, 441, 572–580. [Google Scholar] [CrossRef]
- Machuca, L.M.; Reno, U.; Plem, S.C.; Gagneten, A.M.; Murguía, M.C.; Machuca, L.M.; Reno, U.; Plem, S.C.; Gagneten, A.M.; Murguía, M.C. N-acetylated gemini surfactants: Synthesis, surface-active properties, antifungal activity, and ecotoxicity bioassays. Adv. Chem. Eng. Sci. 2015, 5, 215–224. [Google Scholar] [CrossRef]
- Silva, S.G.; Alves, C.; Cardoso, A.M.S.; Jurado, A.S.; de Lima, M.C.P.; Vale, M.L.C.; Marques, E.F. Synthesis of gemini surfactants and evaluation of their interfacial and cytotoxic properties: Exploring the multifunctionality of serine as headgroup. Eur. J. Org. Chem. 2013, 2013, 1758–1769. [Google Scholar] [CrossRef]
- Barucha-Kraszewska, J.; Kraszewski, S.; Ramseyer, C. Will C-Laurdan dethrone Laurdan in fluorescent solvent relaxation techniques for lipid membrane studies? Langmuir 2013, 29, 1174–1182. [Google Scholar] [CrossRef] [PubMed]
- Drabik, D.; Chodaczek, G.; Kraszewski, S. Effect of amyloid-β monomers on lipid membrane mechanical parameters–potential implications for mechanically driven neurodegeneration in Alzheimer’s disease. Int. J. Mol. Sci. 2021, 22, 18. [Google Scholar] [CrossRef]
- Shaban, S.M.; Aiad, I.; Moustafa, H.Y.; Hamed, A. Amidoamine Gemini surfactants based dimethylamino propyl amine: Preparation, characterization and evaluation as biocide. J. Mol. Liq. 2015, 212, 907–914. [Google Scholar] [CrossRef]
- Pérez, L.; Garcia, M.T.; Ribosa, I.; Vinardell, M.P.; Manresa, A.; Infante, M.R. Biological properties of arginine-based gemini cationic surfactants. Environ. Toxicol. Chem. 2002, 21, 1279–1285. [Google Scholar] [CrossRef] [PubMed]
- Pringle, M.J.; Brown, K.B.; Miller, K.W. Can the Lipid Theories of Anesthesia Account for the Cutoff in Anesthetic Potency in Homologous Series of Alcohols? Mol. Pharmacol. 1981, 19, 49–55. [Google Scholar] [PubMed]
- Chernomordik, L.; Kozlov, M.M.; Zimmerberg, J. Lipids in biological membrane fusion. J. Membr. Biol. 1995, 146, 1–14. [Google Scholar] [CrossRef] [PubMed]
- Piecuch, A.; Obłąk, E.; Guz-Regner, K. Antibacterial activity of alanine-derived gemini quaternary ammonium compounds. J. Surfactants Deterg. 2016, 19, 275–282. [Google Scholar] [CrossRef] [PubMed]
- Rzycki, M.; Kraszewski, S.; Drabik, D. Towards mimetic membrane system. In International Conference on Computational Science; Springer: Cham, Switzerland, 2021; pp. 551–563. [Google Scholar] [CrossRef]
- Ramadurai, S.; Duurkens, R.; Krasnikov, V.V.; Poolman, B. Lateral diffusion of membrane proteins: Consequences of hydrophobic mismatch and lipid composition. Biophys. J. 2010, 99, 1482–1489. [Google Scholar] [CrossRef]
- Sharma, P.; Parthasarathi, S.; Patil, N.; Waskar, M.; Raut, J.S.; Puranik, M.; Ayappa, K.G.; Basu, J.K. Assessing barriers for antimicrobial penetration in complex asymmetric bacterial membranes: A case study with thymol. Langmuir 2020, 36, 8800–8814. [Google Scholar] [CrossRef]
- Wang, X.; Wang, J.; Wang, Y.; Yan, H.; Li, P.; Thomas, R. Effect of the nature of the spacer on the aggregation properties of gemini surfactants in an aqueous solution. Langmuir 2003, 20, 53–56. [Google Scholar] [CrossRef] [PubMed]
- Wettig, S.D.; Wang, C.; Verrall, R.E.; Foldvari, M. Thermodynamic and aggregation properties of aza- and imino-substituted gemini surfactants designed for gene delivery. Phys. Chem. Chem. Phys. 2007, 9, 871–877. [Google Scholar] [CrossRef] [PubMed]
- Neubauer, D.; Jaśkiewicz, M.; Bauer, M.; Olejniczak-Kęder, A.; Sikorska, E.; Sikora, K.; Kamysz, W. Biological and physico-chemical characteristics of arginine-rich peptide gemini surfactants with lysine and cystine spacers. Int. J. Mol. Sci. 2021, 22, 3299. [Google Scholar] [CrossRef]
- Ruiz, A.; Pinazo, A.; Pérez, L.; Manresa, A.; Marqués, A.M. Green catanionic gemini surfactant–lichenysin mixture: Improved surface, antimicrobial, and physiological properties. ACS Appl. Mater. Interfaces 2017, 9, 22121–22131. [Google Scholar] [CrossRef] [PubMed]
- Frisch, M.J.; Trucks, G.W.; Schlegel, H.B.; Scuseria, G.E.; Robb, M.A.; Cheeseman, J.R.; Scalmani, G.; Barone, V.; Petersson, G.A.; Nakatsuji, H. Gaussian 16, Revision 2016; Gaussian Inc.: Wallingford, UK, 2016; Available online: https://gaussian.com/citation/ (accessed on 23 July 2019).
- Mozrzymas, A. Modelling of the critical micelle concentration of cationic gemini surfactants using molecular connectivity indices. J. Solution Chem. 2013, 42, 2187–2199. [Google Scholar] [CrossRef] [PubMed][Green Version]
- Wu, E.L.; Cheng, X.; Jo, S.; Rui, H.; Song, K.C.; Dávila-Contreras, E.M.; Qi, Y.; Lee, J.; Monje-Galvan, V.; Venable, R.M.; et al. CHARMM-GUI membrane builder toward realistic biological membrane simulations. J. Comput. Chem. 2014, 35, 1997–2004. [Google Scholar] [CrossRef] [PubMed]
- Szatmári, D.; Sárkány, P.; Kocsis, B.; Nagy, T.; Miseta, A.; Barkó, S.; Longauer, B.; Robinson, R.C.; Nyitrai, M. Intracellular ion concentrations and cation-dependent remodelling of bacterial MreB assemblies. Sci. Rep. 2020, 10, 1–13. [Google Scholar] [CrossRef]
- Klauda, J.B.; Venable, R.M.; Freites, J.A.; O’Connor, J.W.; Tobias, D.J.; Mondragon-Ramirez, C.; Vorobyov, I.; MacKerell, A.D.; Pastor, R.W. Update of the CHARMM all-atom additive force field for lipids: Validation on six lipid types. J. Phys. Chem. B 2010, 114, 7830–7843. [Google Scholar] [CrossRef] [PubMed]
- Abraham, M.J.; Murtola, T.; Schulz, R.; Páll, S.; Smith, J.C.; Hess, B.; Lindah, E. Gromacs: High performance molecular simulations through multi-level parallelism from laptops to supercomputers. SoftwareX 2015, 1–2, 19–25. [Google Scholar] [CrossRef]
- Evans, D.J.; Holian, B.L. The Nose–Hoover thermostat. J. Chem. Phys. 1998, 83, 4069. [Google Scholar] [CrossRef]
- Parrinello, M.; Rahman, A. Polymorphic transitions in single crystals: A new molecular dynamics method. J. Appl. Phys. 1998, 52, 7182. [Google Scholar] [CrossRef]
- Darden, T.; York, D.; Pedersen, L. Particle mesh Ewald: An N⋅log(N) method for Ewald sums in large systems. J. Chem. Phys. 1998, 98, 10089. [Google Scholar] [CrossRef]
- Humphrey, W.; Dalke, A.; Schulten, K. VMD: Visual molecular dynamics. J. Mol. Graph. 1996, 14, 33–38. [Google Scholar] [CrossRef]
- Doktorova, M.; Harries, D.; Khelashvili, G. Determination of bending rigidity and tilt modulus of lipid membranes from real-space fluctuation analysis of molecular dynamics simulations. Phys. Chem. Chem. Phys. 2017, 19, 16806–16818. [Google Scholar] [CrossRef] [PubMed]
- Doktorova, M.; LeVine, M.V.; Khelashvili, G.; Weinstein, H. A new computational method for membrane compressibility: Bilayer mechanical thickness revisited. Biophys. J. 2019, 116, 487–502. [Google Scholar] [CrossRef] [PubMed]
- Giorgino, T. Computing diffusion coefficients in macromolecular simulations: The diffusion coefficient tool for VMD. J. Open Source Softw. 2019, 4, 1698. [Google Scholar] [CrossRef]
- Guixà-González, R.; Rodriguez-Espigares, I.; Ramírez-Anguita, J.M.; Carrió-Gaspar, P.; Martinez-Seara, H.; Giorgino, T.; Selent, J. MEMBPLUGIN: Studying membrane complexity in VMD. Bioinformatics 2014, 30, 1478–1480. [Google Scholar] [CrossRef]
- Irving, J.H.; Kirkwood, J.G. The statistical mechanical theory of transport processes. IV. The equations of hydrodynamics. J. Chem. Phys. 2004, 18, 817. [Google Scholar] [CrossRef]
- Bacle, A.; Gautier, R.; Jackson, C.L.; Fuchs, P.F.J.; Vanni, S. Interdigitation between triglycerides and lipids modulates surface properties of lipid droplets. Biophys. J. 2017, 112, 1417–1430. [Google Scholar] [CrossRef]
- Bourasseau, E.; Homman, A.-A.; Durand, O.; Ghoufi, A.; Malfreyt, P. Calculation of the surface tension of liquid copper from atomistic Monte Carlo simulations. Eur. Phys. J. B 2013, 86, 251. [Google Scholar] [CrossRef][Green Version]
Publisher’s Note: MDPI stays neutral with regard to jurisdictional claims in published maps and institutional affiliations. |
© 2021 by the authors. Licensee MDPI, Basel, Switzerland. This article is an open access article distributed under the terms and conditions of the Creative Commons Attribution (CC BY) license (https://creativecommons.org/licenses/by/4.0/).







