Metabolomics Comparison of Drug-Resistant and Drug-Susceptible Pseudomonas aeruginosa Strain (Intra- and Extracellular Analysis)
Abstract
:1. Introduction
2. Results
2.1. Antibiotic Resistance Test
2.2. Metabolites Identification
2.2.1. Intracellular Metabolites
2.2.2. Intracellular Metabolites
2.3. Multivariate Data Analysis
2.3.1. Intracellular Metabolites
2.3.2. Extracellular Metabolites
2.4. Statistical Analysis
2.4.1. Intracellular Metabolites
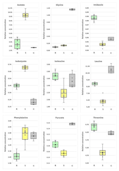
2.4.2. Extracellular Metabolites
2.5. Bioinformatics Analysis
2.5.1. Intracellular Metabolites
2.5.2. Extracellular Metabolites
3. Discussion
4. Conclusions
5. Materials and Methods
5.1. Bacterial Strains and Culture Conditions
5.2. Antibiotic Resistance
5.3. Extraction and Samples Preparation
5.3.1. Intracellular Metabolites
5.3.2. Extracellular Metabolites
5.4. 1H NMR Spectroscopy Analysis of the Bacterial Metabolites
5.5. Data Processing and Multivariate Statistical Data Analysis
5.6. Bioinformatics Analysis
Supplementary Materials
Author Contributions
Funding
Institutional Review Board Statement
Informed Consent Statement
Data Availability Statement
Conflicts of Interest
References
- Paterson, D.L.; Kim, B.N. Pseudomonas aeruginosa. In Antimicrobial Drug Resistance; Humana Press: Totowa, NJ, USA, 2009; pp. 811–817. [Google Scholar]
- Ciofu, O.; Tolker-Nielsen, T. Tolerance and Resistance of Pseudomonas aeruginosa Biofilms to Antimicrobial Agents—How P. aeruginosa Can Escape Antibiotics. Front. Microbiol. 2019, 10, 913. [Google Scholar] [CrossRef] [Green Version]
- Behzadi, P.; Barath, Z.; Gajdacs, M. It’s not easy being green: A narrative review on the microbiology, virulence and therapeutic prospects of mlutidrag-resistant Pseudomonas aeruginosa. Antibiotics 2021, 10, 42. [Google Scholar] [CrossRef]
- Bonomo, R.A.; Szabo, D. Mechanisms of multidrug resistance in Acinetobacter species and Pseudomonas aeruginosa. Clin. Infect. Dis. 2006, 43, 49–56. [Google Scholar] [CrossRef] [PubMed] [Green Version]
- WHO Report. Available online: https://www.who.int/news/item/27-02-2017-who-publishes-list-of-bacteria-for-which-new-antibiotics-are-urgently-needed (accessed on 20 May 2021).
- De Oliveira, D.M.P.; Forde, B.M.; Kidd, T.J.; Harris, P.N.A.; Schembri, M.A.; Beatson, S.A.; Paterson, D.L.; Walker, M.J. Antimicrobial resistance in ESKAPE pathogens. Clin. Microbiol. Rev. 2020, 33. [Google Scholar] [CrossRef]
- Tiwari, V. Post-translational modification of ESKAPE pathogens as a potential target in drug discovery. Drug Discov. Today 2019, 24, 814–822. [Google Scholar] [CrossRef] [PubMed]
- Santajit, S.; Indrawattana, N. Mechanisms of Antimicrobial Resistance in ESKAPE Pathogens. Biomed Res. Int. 2016, 2016, 2475067. [Google Scholar] [CrossRef] [PubMed] [Green Version]
- Morita, Y.; Tomida, J.; Kawamura, Y. Responses of Pseudomonas aeruginosa to antimicrobials. Front. Microbiol. 2014, 4, 1–8. [Google Scholar] [CrossRef] [Green Version]
- Livermore, D.M. Of Pseudomonas, porins, pumps and carbapenems. J. Antimicrob. Chemother. 2001, 47, 247–250. [Google Scholar] [CrossRef] [PubMed]
- Lambert, P.A. Bacterial resistance to antibiotics: Modified target sites. Adv. Drug Deliv. Rev. 2005, 57, 1471–1485. [Google Scholar] [CrossRef]
- Grajdacs, M. Carbapenem-resistance but cephalosporin susceptible Pseudomonas aeruginosa in urinary tract infections: Opportunity for colistin sparing. Antibiotics 2020, 9, 153. [Google Scholar] [CrossRef] [Green Version]
- Ishida, H.; Ishida, Y.; Kurosaka, Y.; Otani, T.; Sato, K.; Kobayashi, H. In Vitro and In Vivo Activities of Levofloxacin against Biofilm-Producing Pseudomonas aeruginosa. Antimicrob. Agents Chemother. 1998, 42, 1641–1645. [Google Scholar] [CrossRef] [Green Version]
- Meylan, S.; Porter, C.B.M.; Yang, J.H.; Belenky, P.; Gutierrez, A.; Lobritz, M.A.; Park, J.; Kim, S.H.; Moskowitz, S.M.; Collins, J.J. Carbon Sources Tune Antibiotic Susceptibility in Pseudomonas aeruginosa via Tricarboxylic Acid Cycle Control. Cell Chem. Biol. 2017, 24, 195–206. [Google Scholar] [CrossRef]
- Nguyen, D.; Joshi-Datar, A.; Lepine, F.; Bauerle, E.; Olakanmi, O.; Beer, K.; McKay, G.; Siehnel, R.; Schafhauser, J.; Wang, Y.; et al. Active Starvation Responses Mediate Antibiotic Tolerance in Biofilms and Nutrient-Limited Bacteria. Science 2011, 334, 982–986. [Google Scholar] [CrossRef] [PubMed] [Green Version]
- Aldridge, B.B.; Rhee, K.Y. Microbial metabolomics: Innovation, application, insight. Curr. Opin. Microbiol. 2014, 19, 90–96. [Google Scholar] [CrossRef] [PubMed]
- Tang, J. Microbial Metabolomics. Curr. Genomics 2011, 12, 391–403. [Google Scholar] [CrossRef]
- Patti, G.J.; Yanes, O.; Siuzdak, G. Metabolomics: The apogee of the omics trilogy. Nat. Rev. Mol. Cell Biol. 2012, 13, 263–269. [Google Scholar] [CrossRef]
- Mielko, K.A.; Jabłoński, S.J.; Wojtowicz, W.; Milczewska, J.; Sands, D.; Łukaszewicz, M.; Młynarz, P. Possible metabolic switch between environmental and pathogenic Pseudomonas aeruginosa strains: 1H NMR based metabolomics study. J. Pharm. Biomed. Anal. 2020, 188, 113369. [Google Scholar] [CrossRef] [PubMed]
- Welker, M.; Van Belkum, A.; Girard, V.; Charrier, J.P.; Pincus, D. An update on the routine application of MALDI-TOF MS in clinical microbiology. Expert Rev. Proteom. 2019, 16, 695–710. [Google Scholar] [CrossRef] [PubMed]
- Palama, T.L.; Canard, I.; Rautureau, G.J.P.; Mirande, C.; Chatellier, S.; Elena-Herrmann, B. Identification of bacterial species by untargeted NMR spectroscopy of the exo-metabolome. Analyst 2016, 141, 4558–4561. [Google Scholar] [CrossRef]
- Zhao, X.; Shen, M.; Jiang, X.; Shen, W.; Zhong, Q.; Yang, Y.; Tan, Y.; Agnello, M.; He, X.; Hu, F.; et al. Transcriptomic and Metabolomics Profiling of Phage–Host Interactions between Phage PaP1 and Pseudomonas aeruginosa. Front. Microbiol. 2017, 8, 1–10. [Google Scholar] [CrossRef] [Green Version]
- Han, M.-L.; Zhu, Y.; Creek, D.J.; Lin, Y.-W.; Anderson, D.; Shen, H.-H.; Tsuji, B.; Gutu, A.D.; Moskowitz, S.M.; Velkov, T.; et al. Alterations of Metabolic and Lipid Profiles in Polymyxin-Resistant Pseudomonas aeruginosa. Antimicrob. Agents Chemother. 2018, 62. [Google Scholar] [CrossRef] [Green Version]
- Gupta, A.; Bansal, N.; Houston, B. Metabolomics of urinary tract infection: A new uroscope in town. Expert Rev. Mol. Diagn. 2012, 12, 361–369. [Google Scholar] [CrossRef]
- Traxler, M.F.; Summers, S.M.; Nguyen, H.-T.; Zacharia, V.M.; Hightower, G.A.; Smith, J.T.; Conway, T. The global, ppGpp-mediated stringent response to amino acid starvation in Escherichia coli. Mol. Microbiol. 2008, 68, 1128–1148. [Google Scholar] [CrossRef] [Green Version]
- Picart-Armada, S.; Fernández-Albert, F.; Vinaixa, M.; Yanes, O.; Perera-Lluna, A. FELLA: An R package to enrich metabolomics data. BMC Bioinform. 2018, 19, 538. [Google Scholar] [CrossRef] [Green Version]
- Guo, Q.; Wei, Y.; Xia, B.; Jin, Y.; Liu, C.; Pan, X.; Shi, J.; Zhu, F.; Li, J.; Qian, L.; et al. Identification of a small molecule that simultaneously suppresses virulence and antibiotic resistance of Pseudomonas aeruginosa. Sci. Rep. 2016, 6, 1–15. [Google Scholar] [CrossRef] [Green Version]
- La Rosa, R.; Johansen, H.K.; Molin, S. Adapting to the Airways: Metabolic Requirements of Pseudomonas aeruginosa during the Infection of Cystic Fibrosis Patients. Metabolites 2019, 9, 234. [Google Scholar] [CrossRef] [Green Version]
- Nicholson, J.K.; Wilson, I.D. Understanding “global” systems biology: Metabonomics and the continuum of metabolism. Nat. Rev. Drug Discov. 2003, 2, 668–676. [Google Scholar] [CrossRef]
- Wang, Y.; Han, B.; Xie, Y.; Wang, H.; Wang, R.; Xia, W.; Li, H.; Sun, H. Combination of gallium III with acetate for combating antibiotic resistant Pseudomonas aeruginosa. Chem. Sci. 2019, 10, 6099–6106. [Google Scholar] [CrossRef] [Green Version]
- Palmer, K.L.; Aye, L.M.; Whiteley, M. Nutritional cues control Pseudomonas aeruginosa multicellular behavior in cystic fibrosis sputum. J. Bacteriol. 2007, 189, 8079–8087. [Google Scholar] [CrossRef] [Green Version]
- Amorim Franco, T.M.; Blanchard, J.S. Bacterial Branched-Chain Amino Acid Biosynthesis: Structures, Mechanisms, and Drugability. Biochemistry 2017, 56, 5849–5865. [Google Scholar] [CrossRef] [Green Version]
- Aliashkevich, A.; Alvarez, L.; Cava, F. New insights into the mechanisms and biological roles of D-amino acids in complex eco-systems. Front. Microbiol. 2018, 9, 683. [Google Scholar] [CrossRef] [Green Version]
- Behrends, V.; Ryall, B.; Zlosnik, J.E.A.; Speert, D.P.; Bundy, J.G.; Williams, H.D. Metabolic adaptations of Pseudomonas aeruginosa during cystic fibrosis chronic lung infections. Environ. Microbiol. 2013. [Google Scholar] [CrossRef]
- Liu, Y.; Yang, K.; Zhang, H.; Jia, Y.; Wang, Z. Combating Antibiotic Tolerance Through Activating Bacterial Metabolism. Front. Microbiol. 2020, 11, 577564. [Google Scholar] [CrossRef]
- Kanehisa, M.; Furumichi, M.; Tanabe, M.; Sato, Y.; Morishima, K. KEGG: New perspectives on genomes, pathways, diseases and drugs. Nucleic Acids Res. 2017, 45, D353–D361. [Google Scholar] [CrossRef] [Green Version]
- Radkov, A.D.; Moe, L.A. Bacterial synthesis of d-amino acids. Appl. Microbiol. Biotechnol. 2014, 98, 5363–5374. [Google Scholar] [CrossRef]
- Nyyssölä, A.; Reinikainen, T.; Leisola, M. Characterization of Glycine Sarcosine N -Methyltransferase and Sarcosine Dimethylglycine N-Methyltransferase. Appl. Environ. Microbiol. 2001, 67, 2044–2050. [Google Scholar] [CrossRef] [Green Version]
- Favia, M.; Gallo, C.; Guerra, L.; De Venuto, D.; Diana, A.; Polizzi, A.M.; Montemurro, P.; Mariggiò, M.A.; Leonetti, G.; Manca, A.; et al. Treatment of Cystic Fibrosis Patients Homozygous for F508del with Lumacaftor-Ivacaftor (Orkambi®) Restores Defective CFTR Channel Function in Circulating Mononuclear Cells. Int. J. Mol. Sci. 2020, 21, 2398. [Google Scholar] [CrossRef] [Green Version]
- Biemer, J.J. Antimicrobial susceptibility testing by the Kirby-Bauer disc diffusion method. Ann. Clin. Lab. Sci. 1973, 3, 135–140. [Google Scholar]
- Savorani, F.; Tomasi, G.; Engelsen, S.B. icoshift: A versatile tool for the rapid alignment of 1D NMR spectra. J. Magn. Reson. 2010, 202, 190–202. [Google Scholar] [CrossRef]
- Tomasi, G.; van den Berg, F.; Andersson, C. Correlation optimized warping and dynamic time warping as preprocessing methods for chromatographic data. J. Chemom. 2004, 18, 231–241. [Google Scholar] [CrossRef]
- Dieterle, F.; Ross, A.; Schlotterbeck, G.; Senn, H.; Hoffman, F. Probabilistic Quotient Normalization as Robust Method to Account for Dilution of Complex Biological Mixtures. Application in 1 H NMR Metabonomics. Anal. Chem. 2006. [Google Scholar] [CrossRef] [PubMed]
- FELLA in R-package. Available online: https://github.com/b2slab/FELLA (accessed on 23 September 2021).









| Antibiotic Name | Class | PAW17 | PAW23 |
|---|---|---|---|
| amikacin | aminoglycoside | S | R |
| gentamicin | aminoglycoside | S | R |
| netilmicin | aminoglycoside | S | R |
| tobramycin | aminoglycoside | S | R |
| imipenem | beta-lactam | S | R |
| meropenem | beta-lactam | S | R |
| piperacillin | beta-lactam | S | R |
| piperacillin/tazobactam | beta-lactam | S | R |
| ticarcillin/clavulanic acid | beta-lactam | S | R |
| ceftazidime | beta-lactam | S | R |
| cefepime | beta-lactam | S | R |
| ciprofloxacin | quinolone | S | S |
| levofloxacin | quinolone | S | R |
| colistin | polymyxin (peptide) | S | S |
| Compound Group | Metabolite | VIP Score for OPLS-DA Model | Mean/Median * Relative Concentration R | Mean/Median * Relative Concentration S | RSD R [%] | RSD S [%] | Fold Change R/S | p Value | FDR ** |
|---|---|---|---|---|---|---|---|---|---|
| Amino acids | Histidine | 1.238 | 0.030 | 0.022 | 7.096 | 12.502 | 1.376 | 6.22 × 10−7 | 6.63 × 10−6 |
| Alanine | 1.282 | 0.206 | 0.152 | 11.021 | 8.278 | 1.358 | 3.23 × 10−6 | 1.72 × 10−5 | |
| Glutamate | 1.247 | 0.308 | 0.371 | 10.271 | 5.964 | 0.830 | 6.48 × 10−5 | 2.71 × 10−4 | |
| Valine | 1.246 | 0.185 | 0.140 | 13.759 | 9.833 | 1.323 | 1.06 × 10−4 | 3.40 × 10−4 | |
| Isoleucine | 1.322 | 0.095 # | 0.056 # | 18.228 | 11.873 | 1.692 | 1.83 × 10−4 | 4.87 × 10−4 | |
| Leucine | 1.359 | 0.383 # | 0.203 # | 18.323 | 8.907 | 1.887 | 1.83 × 10−4 | 4.87 × 10−4 | |
| Methionine | 0.912 | 0.022 | 0.015 | 25.325 | 20.409 | 1.453 | 3.18 × 10−3 | 7.27 × 10−3 | |
| Glycine | 1.029 | 0.202 | 0.229 | 10.051 | 7.502 | 0.881 | 4.38 × 10−3 | 8.76 × 10−3 | |
| Threonine | 1.034 | 0.042 | 0.038 | 10.142 | 5.496 | 1.109 | 1.62 × 10−2 | 2.88 × 10−2 | |
| Aspartate | 0.707 | 0.068 | 0.062 | 15.953 | 14.564 | 1.093 | 2.11 × 10−1 | 2.81 × 10−1 | |
| Phenylalanine | 0.705 | 0.113 # | 0.121 # | 14.269 | 7.127 | 0.933 | 5.21 × 10−1 | 6.02 × 10−1 | |
| Tyrosine | 0.508 | 0.115 | 0.118 | 10.702 | 10.218 | 0.970 | 5.26 × 10−1 | 6.02 × 10−1 | |
| Amino acid metabolism | Homoserine | 1.358 | 0.619 | 0.392 | 9.718 | 5.487 | 1.578 | 1.85 × 10−7 | 2.96 × 10−6 |
| Histamine | 1.300 | 0.016 | 0.009 | 16.267 | 16.722 | 1.725 | 1.50 × 10−6 | 1.13 × 10−5 | |
| Sarcosine | 1.048 | 0.022 | 0.016 | 19.383 | 28.508 | 1.386 | 5.94 × 10−3 | 1.12 × 10−2 | |
| 5-aminopentanoate | 0.786 | 0.266 | 0.279 | 11.883 | 8.474 | 0.954 | 3.22 × 10−1 | 3.96 × 10−1 | |
| Maim metabolism | Succinate | 1.382 | 0.669 | 0.401 | 9.236 | 7.523 | 1.669 | 1.43 × 10−8 | 4.57 × 10−7 |
| Pyruvate | 1.231 | 0.199 | 0.238 | 10.392 | 5.611 | 0.834 | 7.63 × 10−5 | 2.71 × 10−4 | |
| Isocitrate | 0.885 | 0.169 | 0.193 | 16.536 | 3.586 | 0.873 | 2.18 × 10−2 | 3.51 × 10−2 | |
| Glucose | 0.602 | 0.031 | 0.036 | 25.176 | 14.910 | 0.864 | 1.22 × 10−1 | 1.77 × 10−1 | |
| Cofactor | NAD+ | 0.559 | 0.031 | 0.034 | 7.776 | 11.658 | 0.938 | 1.71 × 10−1 | 2.38 × 10−1 |
| Nucleotide processing pathways | UMP | 1.104 | 0.009 | 0.012 | 13.476 | 6.289 | 0.799 | 7.52 × 10−5 | 2.71 × 10−4 |
| Adenine | 0.54 | 0.011 # | 0.010 # | 8.239 | 13.275 | 1.103 | 1.21 × 10−1 | 1.77 × 10−1 | |
| AMP | 0.797 | 0.067 | 0.072 | 12.569 | 12.192 | 0.932 | 2.21 × 10−1 | 2.83 × 10−1 | |
| Uracil | 0.364 | 0.010 | 0.010 | 26.399 | 19.769 | 0.964 | 7.31 × 10−1 | 8.06 × 10−2 | |
| Others | Lactate | 1.284 | 0.274 | 0.186 | 12.175 | 11.863 | 1.471 | 1.76 × 10−6 | 1.13 × 10−5 |
| Betaine | 1.083 | 8.428 | 7.200 | 11.685 | 7.209 | 1.171 | 2.63 × 10−3 | 6.47 × 10−3 | |
| Formate | 0.908 | 0.009 | 0.007 | 13.181 | 16.178 | 1.237 | 4.33 × 10−3 | 8.76 × 10−3 | |
| Ethanol | 0.991 | 0.075 | 0.065 | 14.898 | 6.110 | 1.153 | 2.19 × 10−2 | 3.51 × 10−2 | |
| Isobutyrate | 0.711 | 0.018 # | 0.017 # | 19.107 | 12.686 | 1.078 | 8.50 × 10−1 | 9.07 × 10−1 | |
| Oxypurinol | 0.1 | 0.034 # | 0.034 # | 9.793 | 9.363 | 0.997 | 9.10 × 10−1 | 9.39 × 10−1 | |
| Acetate | 0.59 | 0.066 | 0.065 | 13.588 | 25.511 | 1.006 | 9.48 × 10−1 | 9.48 × 10−1 |
| Group | Metabolites | Mean/Median RC R * | Mean/Median RC S * | Mean/Median RC C * | RSD R [%] | RSD R [%] | RSD K [%] | R vs. S | C vs. R | C vs. S | |||||||||
|---|---|---|---|---|---|---|---|---|---|---|---|---|---|---|---|---|---|---|---|
| VIP Score | Fold Change R/S | p Value | FDR ** | VIP Score | Fold Change C/R | p Value | FDR ** | VIP Score | Fold Change C/S | p Value | FDR ** | ||||||||
| Amino acids (AA) | Threonine | 6.583 | 4.868 | 6.128 | 3.623 | 5.620 | 1.900 | 1.197 | 1.352 | 1.37 × 10−11 | 8.24 × 10−11 | 0.886 | 0.931 | 1.57 × 10−3 | 2.22 × 10−3 | 1.083 | 1.259 | 2.49 × 10−7 | 7.46 × 10−7 |
| Leucine | 8.607 | 6.050 | 10.65 | 2.352 | 8.221 | 5.513 | 1.201 | 1.423 | 4.14 × 10−9 | 1.99 × 10−8 | 1.133 | 1.237 | 1.03 × 10−3 | 1.54 × 10−3 | 1.118 | 1.76 | 6.48 × 10−80 | 2.22 × 10−9 | |
| Isoleucine | 2.676 | 2.191 | 2.516 | 4.134 | 8.724 | 8.159 | 1.115 | 1.221 | 1.75 × 10−6 | 6.00 × 10−6 | 0.584 | 0.94 | 6.76 × 10−2 | 8.54 × 10−2 | 0.881 | 1.148 | 9.65 × 10−3 | 1.22 × 10−2 | |
| Glycine | 0.093 | 0.138 | 1.155 | 16.681 | 11.456 | 1.660 | 1.080 | 0.678 | 5.93 × 10−6 | 1.78 × 10−5 | 1.203 | 12.363 | 5.73 × 10−21 | 4.93 × 10−20 | 1.14 | 8.387 | 1.10 × 10−20 | 1.78 × 10−19 | |
| Phenylalanine | 2.015 | 2.407 | 2.352 | 2.981 | 8.182 | 2.468 | 1.078 | 0.837 | 9.95 × 10−5 | 2.39 × 10−4 | 1.146 | 1.167 | 1.22 × 10−7 | 2.94 × 10−7 | 0.696 | 0.977 | 4.31 × 10−1 | 4.50 × 10−1 | |
| Histidine | 0.155 | 0.195 | 0.142 | 14.571 | 11.601 | 4.770 | 0.944 | 0.796 | 9.54 × 10−4 | 1.76 × 10−3 | 0.376 | 0.916 | 1.19 × 10−1 | 1.36 × 10−1 | 0.947 | 0.729 | 2.15 × 10−5 | 4.68 × 10−5 | |
| Alanine | 1.993 | 1.835 | 6.954 | 3.342 | 5.546 | 1.453 | 0.974 | 1.086 | 2.20 × 10−3 | 3.78 × 10−3 | 1.204 | 3.489 | 6.17 × 10−21 | 4.93 × 10−20 | 1.139 | 3.79 | 6.66 × 10−4 | 9.40 × 10−4 | |
| Lysine | 10.993 | 10.17 | 11.918 | 2.894 | 6.608 | 1.520 | 0.949 | 1.081 | 4.00 × 10−3 | 6.00 × 10−3 | 1.042 | 1.084 | 4.71 × 10−5 | 8.69 × 10−5 | 1.026 | 1.172 | 8.28 × 10−6 | 1.99 × 10−5 | |
| Valine | 3.985 | 4.177 # | 3.493 | 3.649 | 5.396 | 4.115 | 0.752 | 0.954 | 8.90 × 10−2 | 1.19 × 10−1 | 1.038 | 0.877 | 3.23 × 10−5 | 6.45 × 10−5 | 1.031 | 0.836 | 6.66 × 10−4 | 9.40 × 10−4 | |
| Methionine | 0.949 | 0.202 # | 1.205 | 5.045 | 97.014 | 1.313 | 0.943 | 4.706 | 1.40 × 10−1 | 1.61 × 10−1 | 1.154 | 1.27 | 2.82 × 10−9 | 9.66 × 10−9 | 0.943 | 5.977 | 1.27 × 10−2 | 1.52 × 10−2 | |
| Tryptophan | 0.078 | 0.026 # | 0.212 | 6.533 | 97.715 | 2.961 | 0.752 | 2.959 | 1.40 × 10−1 | 1.61 × 10−1 | 1.200 | 2.719 | 1.31 × 10−15 | 7.85 × 10−15 | 1.041 | 8.046 | 6.66 × 10−4 | 9.40 × 10−4 | |
| Tyrosine | 0.861 | 0.861 # | 0.599 | 4.827 | 15.001 | 0.640 | 0.817 | 1.000 | 4.73 × 10−1 | 4.73 × 10−1 | 1.160 | 0.696 | 6.50 × 10−9 | 1.73 × 10−8 | 1.022 | 0.696 | 6.66 × 10−4 | 9.40 × 10−4 | |
| AA metabolism | Histamine | 0.283 | 0.167 # | 0.273 | 4.487 | 38.007 | 2.369 | 0.900 | 1.700 | 1.40 × 10−1 | 1.61 × 10−1 | 0.518 | 0.965 | 1.30 × 10−1 | 1.42 × 10−1 | 0.809 | 1.641 | 2.54 × 10−1 | 2.78 × 10−1 |
| Others | Imidazole | 0.078 | 0.047 | 0.055 # | 3.930 | 5.241 | 72.63 | 1.221 | 1.672 | 1.63 × 10−15 | 3.91 × 10−14 | 0.463 | 0.712 | 5.94 × 10−1 | 5.94 × 10−1 | 0.681 | 1.19 | 6.66 × 10−4 | 9.40 × 10−4 |
| Oxypurinol | 0.096 | 0.100 | 0.226 # | 3.293 | 11.458 | 52.044 | 0.768 | 0.961 | 3.22 × 10−1 | 3.52 × 10−1 | 0.690 | 2.347 | 5.94 × 10−1 | 5.94 × 10−1 | 0.662 | 2.255 | 5.94 × 10−1 | 5.94 × 10−1 | |
| Isobutyrate | 0.436 | 0.692 | 0.204 | 6.416 | 3.999 | 19.06 | 1.221 | 0.630 | 5.94 × 10−14 | 7.12 × 10−13 | 1.164 | 0.468 | 5.73 × 10−9 | 1.72 × 10−8 | 1.134 | 0.295 | 4.70 × 10−13 | 2.82 × 10−12 | |
| Acetate | 3.486 | 10.284 | 2.589 | 32.191 | 7.080 | 2.005 | 1.200 | 0.339 | 4.04 × 10−12 | 3.23 × 10−11 | 0.522 | 0.743 | 3.24 × 10−2 | 4.32 × 10−2 | 1.135 | 0.252 | 6.94 × 10−11 | 2.77 × 10−10 | |
| Pyruvate | 0.184 | 0.153 | 0.256 | 5.221 | 5.938 | 1.400 | 1.131 | 1.203 | 7.16 × 10−7 | 2.86 × 10−6 | 1.178 | 1.388 | 7.05 × 10−10 | 2.82 × 10−9 | 1.129 | 1.669 | 3.91 × 10−12 | 1.88 × 10−11 | |
| Betaine | 5.167 | 5.667 | 6.108 | 4.576 | 4.925 | 1.544 | 0.970 | 0.912 | 4.17 × 10−4 | 9.10 × 10−4 | 1.111 | 1.182 | 1.26 × 10−6 | 2.74 × 10−6 | 0.818 | 1.078 | 4.91 × 10−3 | 6.55 × 10−3 | |
| Formate | 0.048 | 0.017 | 0.092 # | 40.445 | 24.975 | 49.725 | 0.989 | 2.816 | 6.25 × 10−4 | 1.25 × 10−3 | 0.58 | 1.924 | 7.53 × 10−2 | 9.03 × 10−2 | 0.94 | 5.419 | 7.53 × 10−2 | 8.60 × 10−2 | |
| Trehalose | 0.121 # | 0.084 | 0.317 | 27.213 | 7.319 | 3.308 | 0.744 | 1.444 | 3.85 × 10−1 | 4.01 × 10−1 | 1.174 | 2.613 | 6.66 × 10−4 | 1.07 × 10−3 | 1.137 | 3.773 | 8.92 × 10−17 | 7.14 × 10−16 | |
| Methanol | 0.035 | 0.043 | 0.062 | 6.492 | 13.301 | 2.112 | 0.859 | 0.826 | 2.45 × 10−3 | 3.92 × 10−3 | 1.193 | 1.741 | 5.12 × 10−12 | 2.46 × 10−11 | 1.03 | 1.439 | 9.90 × 10−7 | 2.64 × 10−6 | |
| 6-Hydroxynicotinate | 0.113 | 0.126 | 0.054 # | 3.153 | 10.280 | 35.106 | 0.813 | 0.899 | 1.28 × 10−2 | 1.80 × 10−2 | 1.078 | 0.478 | 6.66 × 10−4 | 1.07 × 10−8-3 | 1.038 | 0.43 | 6.66 × 10−4 | 9.40 × 10−4 | |
Publisher’s Note: MDPI stays neutral with regard to jurisdictional claims in published maps and institutional affiliations. |
© 2021 by the authors. Licensee MDPI, Basel, Switzerland. This article is an open access article distributed under the terms and conditions of the Creative Commons Attribution (CC BY) license (https://creativecommons.org/licenses/by/4.0/).
Share and Cite
Mielko, K.A.; Jabłoński, S.J.; Pruss, Ł.; Milczewska, J.; Sands, D.; Łukaszewicz, M.; Młynarz, P. Metabolomics Comparison of Drug-Resistant and Drug-Susceptible Pseudomonas aeruginosa Strain (Intra- and Extracellular Analysis). Int. J. Mol. Sci. 2021, 22, 10820. https://doi.org/10.3390/ijms221910820
Mielko KA, Jabłoński SJ, Pruss Ł, Milczewska J, Sands D, Łukaszewicz M, Młynarz P. Metabolomics Comparison of Drug-Resistant and Drug-Susceptible Pseudomonas aeruginosa Strain (Intra- and Extracellular Analysis). International Journal of Molecular Sciences. 2021; 22(19):10820. https://doi.org/10.3390/ijms221910820
Chicago/Turabian StyleMielko, Karolina Anna, Sławomir Jan Jabłoński, Łukasz Pruss, Justyna Milczewska, Dorota Sands, Marcin Łukaszewicz, and Piotr Młynarz. 2021. "Metabolomics Comparison of Drug-Resistant and Drug-Susceptible Pseudomonas aeruginosa Strain (Intra- and Extracellular Analysis)" International Journal of Molecular Sciences 22, no. 19: 10820. https://doi.org/10.3390/ijms221910820
APA StyleMielko, K. A., Jabłoński, S. J., Pruss, Ł., Milczewska, J., Sands, D., Łukaszewicz, M., & Młynarz, P. (2021). Metabolomics Comparison of Drug-Resistant and Drug-Susceptible Pseudomonas aeruginosa Strain (Intra- and Extracellular Analysis). International Journal of Molecular Sciences, 22(19), 10820. https://doi.org/10.3390/ijms221910820

