Kidney-Protector Lipidic Cilastatin Derivatives as Structure-Directing Agents for the Synthesis of Mesoporous Silica Nanoparticles for Drug Delivery
Abstract
1. Introduction
2. Materials and Methods
2.1. Chemicals
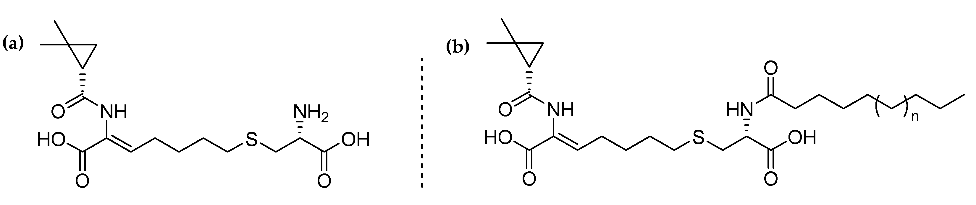
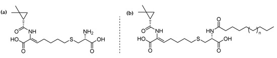
2.2. Synthesis of Anionic DSDAs from Cilastatin
2.3. Synthesis of Mesoporous Silica Nanoparticles with DSDAs from Cilastatin (Cilastatin@MSNs)
2.4. Characterization
2.5. Drug Delivery Studies
3. Results and Discussion
3.1. Synthesis and Characterization of the Anionic DSDAs of Cilastatin
3.2. Synthesis and Characterization of Mesoporous Silica Nanoparticles with DSDAs of Cilastatin (cilastatin@MSNs)
3.3. Release Experiments of Mesoporous Silica Nanoparticles with DSDAs of Cilastatin (cilastatin@MSNs)
4. Conclusions
Supplementary Materials
Author Contributions
Funding
Institutional Review Board Statement
Informed Consent Statement
Data Availability Statement
Acknowledgments
Conflicts of Interest
References
- McCusker, L.B.; Liebau, F.; Engelhardt, G. Nomenclature of structural and compositional characteristics of ordered microporous and mesoporous materials with inorganic hosts (IUPAC Recommendations 2001). Pure Appl. Chem. 2001, 73, 381–394. [Google Scholar] [CrossRef]
- Liebau, F. Ordered microporous and mesoporous materials with inorganic hosts: Definitions of terms, formula notation, and systematic classification. Microp. Mesoporous Mater. 2003, 58, 15–72. [Google Scholar] [CrossRef]
- Suib, S.L. A review of recent developments of mesoporous materials. Chem. Rec. 2017, 17, 1169–1183. [Google Scholar] [CrossRef]
- Pal, N.; Bhaumik, A. Mesoporous materials: Versatile supports in heterogeneous catalysis for liquid phase catalytic transformations. RSC Adv. 2015, 5, 24363–24391. [Google Scholar] [CrossRef]
- García, R.A.; Morales, V.; Garcés, T. One-step synthesis of a thioester chiral PMO and its use as a catalyst in asymmetric oxidation reactions. J. Mater. Chem. 2012, 22, 2607–2615. [Google Scholar] [CrossRef]
- García, R.A.; Morales, V.; Villajos, J.A. Simultaneous synthesis of modified Binol-PMO SBA-15 type material. Application as catalysts in asymmetric sulfoxidation reactions. J. Mater. Sci. 2013, 48, 5990–6000. [Google Scholar]
- Perego, C.; Millini, R. Porous materials in catalysis: Challenges for mesoporous materials. Chem. Soc. Rev. 2013, 42, 3956–3976. [Google Scholar] [CrossRef] [PubMed]
- Li, W.; Liu, J.; Zhao, D. Mesoporous materials for energy conversion and storage devices. Nat. Rev. Mater. 2016, 1, 16023. [Google Scholar] [CrossRef]
- Miricioiu, M.G.; Niculescu, V.C. Fly Ash, from Recycling to Potential Raw Material for Mesoporous Silica Synthesis. Nanomaterials 2020, 10, 474. [Google Scholar] [CrossRef]
- Miricioiu, M.G.; Niculescu, V.C.; Filote, C.; Raboaca, M.S.; Nechifor, G. Coal Fly Ash Derived Silica Nanomaterial for MMMs—Application in CO2/CH4 Separation. Membranes 2021, 11, 78. [Google Scholar] [CrossRef]
- Tao, Z. Mesoporous silica-based nanodevices for biological applications. RSC Adv. 2014, 36, 18961–18980. [Google Scholar] [CrossRef]
- Cha, B.G.; Kim, J. Functional mesoporous silica nanoparticles for bio-imaging applications. WIREs Nanomed. Nanobiotechnol. 2019, 11, 1515. [Google Scholar] [CrossRef] [PubMed]
- Pal, N.; Lee, J.-H.; Cho, E.-B. Recent trends in morphology-controlled synthesis and application of mesoporous silica nanoparticles. Nanomaterials 2020, 10, 2122. [Google Scholar] [CrossRef]
- Watermann, A.; Briegwer, J. Mesoporous silica nanoparticles as drug delivery vehicles in cancer. Nanomaterials 2017, 7, 189. [Google Scholar] [CrossRef] [PubMed]
- Jadhav, K.S.; Dumbare, P.S.; Pande, V.V. Mesoporous silica nanoparticles (MSN): A nanonetwork and hierarchical structure in drug delivery. J. Nanomed. Res. 2015, 5, 00043. [Google Scholar] [CrossRef][Green Version]
- García-Muñoz, R.A.; Morales, V.; Linares, M.; González, P.E.; Sanz, R.; Serrano, D.P. Influence of structural and textural properties of ordered mesoporous materials and hierarchical zeolitic supports on the controlled release of methylprednisolone hemisuccinate. J. Mater. Chem. B 2014, 2, 7996–8004. [Google Scholar] [CrossRef]
- Morales, V.; Mcconnell, J.; Pérez-Garnes, M.; Almendro, N.; Sanz, R.; García-Muñoz, R.A. L-Dopa release from mesoporous silica nanoparticles engineered thorugh the concept of drug-structure-directing agents for Parkinson’s disease. J. Mater. Chem. B 2021, 9, 4178–4189. [Google Scholar] [CrossRef] [PubMed]
- Narayan, R.; Nayal, U.Y.; Raichur, A.M.; Garg, S. Mesoporous Silica Nanoparticles: A comprehensive review on synthesis and recent advances. Pharmaceutics 2018, 10, 118. [Google Scholar] [CrossRef] [PubMed]
- Ghaferi, M.; Esfahani, M.K.M.; Raza, A.; Harthi, S.A.; Shahmabadi, H.E.; Alavi, S.E. Mesoporous silica nanoparticles: Synthesis methods and their therapeutic use-recent advances. J. Drug Target. 2021, 29, 131–154. [Google Scholar] [CrossRef]
- Asefa, T.; Tao, Z. Biocompatibility of mesoporous silica nanoparticles. Chem. Res. Toxicol. 2012, 25, 2265–2284. [Google Scholar] [CrossRef]
- Singh, P.; Srivastava, S.; Singh, S.K. Nanosilica: Recent progress in synthesis, functionalization, biocompatibility, and biomedical applications. ACS Biomater. Sci. Eng. 2019, 5, 4882–4898. [Google Scholar] [CrossRef] [PubMed]
- Ghafelehbashi, R.; Akbarzadeh, I.; Yaraki, M.T.; Lajevardi, A.; Fatemizadeh, M.; Saremi, L.H. Preparation, physicochemical properties, in vitro evaluation and release behavior of cephalexin-loaded niosomes. Int. J. Pharm. 2019, 569, 118580. [Google Scholar] [CrossRef] [PubMed]
- Ghafelehbashi, R.; Yaraki, M.T.; Saremi, L.H.; Lajevardi, A.; Haratian, M.; Astinchap, B.; Rashidi, A.M.; Moradian, R. A pH-responsive citric-acid/α-cyclodextrin-functionalized Fe3O4 nanoparticles as a nanocarrier for quercetin: An experimental and DFT study. Mater. Sci. Eng. C 2020, 109, 190597. [Google Scholar] [CrossRef]
- Akbarzadeh, I.; Yaraki, M.T.; Bourbour, M.; Noorbazargan, H.; Lajevardi, A.; Shilsar, S.M.S.; Heidari, F.; Mousavian, S.M. Optimized doxycycline-loaded niosomal formulation for treatment of infection-associated prostate cancer: An in-vitro investigation. J. Drug Deliv. Sci. Technol. 2020, 57, 101715. [Google Scholar]
- Slowing, I.I.; Trewyn, B.G.; Lin, V.S.-Y. Mesoporous silica nanoparticles for intracellular delivery of membrane-impermeable proteins. J. Am. Chem. Soc. 2007, 129, 8845–8849. [Google Scholar] [CrossRef]
- Liu, H.-J.; Xu, P. Smart mesoporous silica nanoparticles for protein delivery. Nanomaterials 2019, 9, 511. [Google Scholar] [CrossRef]
- AbouAitah, K.; Lojkowski, W. Delivery of natural agents by means of mesoporous silica nanospheres as a promising anticancer strategy. Pharmaceutics 2021, 13, 143. [Google Scholar] [CrossRef]
- Cha, W.; Fan, R.; Miao, Y.; Zhou, Y.; Qin, C.; Shan, X.; Wan, X.; Li, J. Mesoporous silica nanoparticles as carriers for Intracellular delivery of nucleic acids and subsequent therapeutic applications. Molecules 2017, 22, 782. [Google Scholar] [CrossRef]
- Möller, K.; Müller, K.; Engelke, H.; Bräuchle, C.; Wagner, E.; Bein, T. Highly efficient siRNA delivery from core–shell mesoporous silica nanoparticles with multifunctional polymer caps. Nanoscale 2016, 8, 4007–4019. [Google Scholar] [CrossRef] [PubMed]
- Coelho, J.F.; Ferreira, P.C.; Alves, P.; Cordeiro, R.; Fonseca, A.C.; Góis, J.R.; Gil, M.H. Drug delivery systems: Advanced technologies potentially applicable in personalized treatments. EPMA J. 2010, 1, 164–209. [Google Scholar] [CrossRef]
- Kakkar, A.; Traverso, G.; Farokhzad, O.C.; Weissleder, R.; Langer, R. Evolution of macromolecular complexity in drug delivery systems. Nat. Rev. Chem. 2017, 1, 0063. [Google Scholar] [CrossRef]
- Martín, A.; García, R.A.; Sen Karaman, D.; Rosenholm, J.M. Polyethyleneimine-functionalized large pore ordered silica materials for poorly water-soluble drug delivery. J. Mater. Sci. 2014, 49, 1437–1447. [Google Scholar] [CrossRef]
- Riikonen, J.; Xu, W.; Lehto, V.-P. Mesoporous systems for poorly soluble drugs—Recent trends. Int. J. Pharm. 2018, 536, 178–186. [Google Scholar] [CrossRef]
- Albanese, A.; Tang, P.S.; Chan, W.C.W. The Effect of Nanoparticle Size, Shape, and Surface Chemistry on Biological Systems. Annu. Rev. Biomed. Eng. 2012, 14, 1–16. [Google Scholar] [CrossRef]
- Li, J.; Shen, S.; Kong, F.; Jiang, T.; Tang, C.; Yin, C. Effects of pore size on in vitro and in vivo anticancer efficacies of mesoporous silica nanoparticles. RSC Adv. 2018, 8, 24633–24640. [Google Scholar] [CrossRef]
- Sher, P.; Ingavle, G.; Ponrathnam, S.; Pawar, A.P. Low density porous carrier drug adsorption and release study by response surface methodology using different solvents. Int. J. Pharm. 2007, 331, 72–83. [Google Scholar] [CrossRef] [PubMed]
- Latifi, L.; Sohrabnezhad, S.; Hadavi, M. Mesoporous silica as a support for poorly soluble drug: Influence of pH and amino group on the drug release. Microp. Mesoporous Mater. 2017, 250, 148–157. [Google Scholar] [CrossRef]
- Morales, V.; Gutiérrez-Salmerón, M.; Balabasquer, M.; Ortiz-Bustos, J.; Chocarro-Calvo, A.; García-Jiménez, C.; García-Muñoz, R.A. New drug-structure-directing agent concept: Inherent pharmacological activity combined with templating solid and hollow-shell mesostructured silica nanoparticles. Adv. Funct. Mater. 2016, 26, 7291–7303. [Google Scholar] [CrossRef]
- Morales, V.; Pérez-Garnes, M.; Balabasquer, M.; González-Casablanca, J.; García-Muñoz, R.A. Oil-in-water synthesis of hollow-shell mesoporous peapod-like silicates: Electron microscopy insights. Microp. Mesoporous Mater. 2018, 264, 43–54. [Google Scholar] [CrossRef]
- Kahan, F.M.; Kropp, H.; Sundelof, J.G.; Birnbaum, J. Thienamycin: Development of imipenen-cilastatin. J. Antimicrob. Chemother. 1983, 12, 1–35. [Google Scholar] [CrossRef]
- Hori, Y.; Aoki, N.; Kuwahara, S.; Hosojima, M.; Kaseda, R.; Goto, S.; Iida, T.; De, S.; Kabasawa, K.; Kaneko, R.; et al. Megalin Blockade with Cilastatin Suppresses Drug-Induced Nephrotoxicity. J. Am. Soc. Nephrol. 2017, 28, 1783–1791. [Google Scholar] [CrossRef]
- Humanes, B.; Camaño, S.; Lara, J.M.; Sabbisetti, V.; González-Nicolás, M.A.; Bonventre, J.V.; Tejedor, A.; Lázaro, A. Cisplatin-induced renal inflammation is ameliorated by cilastatin nephroprotection. Nephrol. Dial. Transplant. 2017, 32, 1645–1655. [Google Scholar] [CrossRef] [PubMed]
- Arita, M.; Watanabe, S.; Aoki, N.; Kuwahara, S.; Suzuki, R.; Goto, S.; Abe, Y.; Takahashi, M.; Sato, M.; Hokari, S.; et al. Combination therapy of cisplatin with cilastatin enables an increased dose of cisplatin, enhancing its antitumor effect by suppression of nephrotoxicity. Sci. Rep. 2021, 12, 750. [Google Scholar] [CrossRef] [PubMed]
- Launay-Vacher, V.; Oudard, S.; Janus, N.; Gligorov, J.; Pourrat, X.; Rixe, O.; Morere, J.-F.; Beuzeboc, P.; Deray, G. Prevalence of Renal Insufficiency in cancer patients and implications for anticancer drug management. Cancer 2007, 110, 1376–1384. [Google Scholar] [CrossRef] [PubMed]
- Hoshyar, N.; Gray, S.; Han, H.; Bao, G. The effect of nanoparticle size on in vivo pharmacokinetics and cellular interaction. Nanomedicine 2016, 11, 673–692. [Google Scholar] [CrossRef]
- Pérez-Garnes, M.; Gutiérrez-Salmerón, M.; Morales, V.; Chocarro-Calvo, A.; Sanz, R.; García-Jiménez, C.; García-Muñoz, R.A. Engineering hollow mesoporous silica nanoparticles to increase cytotoxicity. Mater. Sci. Eng. C 2020, 112, 110935. [Google Scholar] [CrossRef]
- Yang, X.; Chen, L.; Li, Y.; Rooke, J.C.; Sanchez, C.; Su, B. Hierarchically porous materials: Synthesis strategies and structure design. Chem. Soc. Rev. 2017, 46, 481–558. [Google Scholar] [CrossRef] [PubMed]
- Qiu, H.; Inoue, Y.; Che, S. Supramolecular chiral transcription and recognition by mesoporous silica prepared by chiral imprinting of a helical micelle. Angew. Chem. Int. Ed. 2009, 48, 3069. [Google Scholar] [CrossRef] [PubMed]
- Issa, A.A.; Luyt, A.S. Kinetics of alkoxysilanes and organoalkoxysilanes polymerization: A review. Polymers 2019, 11, 537. [Google Scholar] [CrossRef]
- Gan, Q.; Dai, D.; Yuan, Y.; Qian, J.; Sha, S.; Shi, J.; Liu, C. Effect of size on the cellular endocytosis and controlled release of mesoporous silica nanoparticles for intracellular delivery. Biomed. Microdevices 2012, 14, 259–270. [Google Scholar] [CrossRef]
- Choi, H.S.; Liu, W.; Misra, P.; Tanaka, E.; Zimmer, J.P.; Ipe, B.I.; Bawendi, M.G.; Frangioni, J.V. Renal clearance of quantum dots. Nat. Biotechnol. 2007, 25, 1165–1170. [Google Scholar] [CrossRef]





| Entry | Nanomaterial | Equiv. of CSDA | Stirring Rate | Conditions 1 |
|---|---|---|---|---|
| 1 | Cilastatin-C18@MSN-1 | 3.3 equiv. of APTMS | 500 rpm | 60 °C o.n. then 100 °C 1 day |
| 2 | Cilastatin-C18@MSN-2 | 1.65 equiv. of APTMS | 500 rpm | 60 °C o.n. then 100 °C 1 day |
| 3 | Cilastatin-C18@MSN-3 | 1.65 equiv. of APTES | 500 rpm | 60 °C o.n. then 100 °C 1 day |
| 4 | Cilastatin-C18@MSN-4 | 1.65 equiv. of APTES | 500 rpm | 60 °C o.n. |
| 5 | Cilastatin-C10@MSN-5 | 1.65 equiv. of APTES | 500 rpm | 60 °C o.n. then 100 °C 1 day |
| 6 | Cilastatin-C10@MSN-6 | 1.65 equiv. of APTES | 500 rpm | 60 °C o.n. |
| 7 | Cilastatin-C18@MSN-7 | 1.65 equiv. of APTES | 800 rpm | 60 °C o.n. |
| 8 | Cilastatin-C10@MSN-8 | 1.65 equiv. of APTES | 800 rpm | 60 °C o.n. |
| Entry | Nanomaterial | BET (m2 g−1) | Vp [cm3 g−1] | PSD [nm] 1 | DN (nm) 2 |
|---|---|---|---|---|---|
| 1 | Cilastatin-C18@MSN-1 | 606 | 0.42 | 4.5 (3.5–5.0) | n.d. |
| 2 | Cilastatin-C18@MSN-2 | 375 | 0.26 | 4.7 (2.5–5.5) | n.d. |
| 3 | Cilastatin-C18@MSN-3 | 685 | 0.80 | 4.9 (4.5–5.5) | 373 ± 75 |
| 4 | Cilastatin-C18@MSN-4 | 1073 | 0.83 | 4.1 (3.0–4.5) | 744 ± 165 |
| 5 | Cilastatin-C10@MSN-5 | 496 | 0.35 | 2.0 (1.5–2.5) | 553 ± 149 |
| 6 | Cilastatin-C10@MSN-6 | 632 | 0.32 | 2.8 (2.2–3.5) | 406 ± 177 |
| 7 | Cilastatin-C18@MSN-7 | 383 | 0.35 | 5.0 (4.5–5.5) | 50 ± 20 |
| 8 | Cilastatin-C10@MSN-8 | 673 | 0.47 | 3.1 (2.5–3.5) | 69 ± 29 |
Publisher’s Note: MDPI stays neutral with regard to jurisdictional claims in published maps and institutional affiliations. |
© 2021 by the authors. Licensee MDPI, Basel, Switzerland. This article is an open access article distributed under the terms and conditions of the Creative Commons Attribution (CC BY) license (https://creativecommons.org/licenses/by/4.0/).
Share and Cite
Martinez-Erro, S.; Navas, F.; Romaní-Cubells, E.; Fernández-García, P.; Morales, V.; Sanz, R.; García-Muñoz, R.A. Kidney-Protector Lipidic Cilastatin Derivatives as Structure-Directing Agents for the Synthesis of Mesoporous Silica Nanoparticles for Drug Delivery. Int. J. Mol. Sci. 2021, 22, 7968. https://doi.org/10.3390/ijms22157968
Martinez-Erro S, Navas F, Romaní-Cubells E, Fernández-García P, Morales V, Sanz R, García-Muñoz RA. Kidney-Protector Lipidic Cilastatin Derivatives as Structure-Directing Agents for the Synthesis of Mesoporous Silica Nanoparticles for Drug Delivery. International Journal of Molecular Sciences. 2021; 22(15):7968. https://doi.org/10.3390/ijms22157968
Chicago/Turabian StyleMartinez-Erro, Samuel, Francisco Navas, Eva Romaní-Cubells, Paloma Fernández-García, Victoria Morales, Raul Sanz, and Rafael A. García-Muñoz. 2021. "Kidney-Protector Lipidic Cilastatin Derivatives as Structure-Directing Agents for the Synthesis of Mesoporous Silica Nanoparticles for Drug Delivery" International Journal of Molecular Sciences 22, no. 15: 7968. https://doi.org/10.3390/ijms22157968
APA StyleMartinez-Erro, S., Navas, F., Romaní-Cubells, E., Fernández-García, P., Morales, V., Sanz, R., & García-Muñoz, R. A. (2021). Kidney-Protector Lipidic Cilastatin Derivatives as Structure-Directing Agents for the Synthesis of Mesoporous Silica Nanoparticles for Drug Delivery. International Journal of Molecular Sciences, 22(15), 7968. https://doi.org/10.3390/ijms22157968

