Epigenome Wide Association and Stochastic Epigenetic Mutation Analysis on Cord Blood of Preterm Birth
Abstract
1. Introduction
2. Results
2.1. Clinical and Immunological Characteristic of Subjects
2.2. DNA Methylation Profiling Using Multi Dimensional Scaling (MDS)
2.3. Differential Methylation Analysis
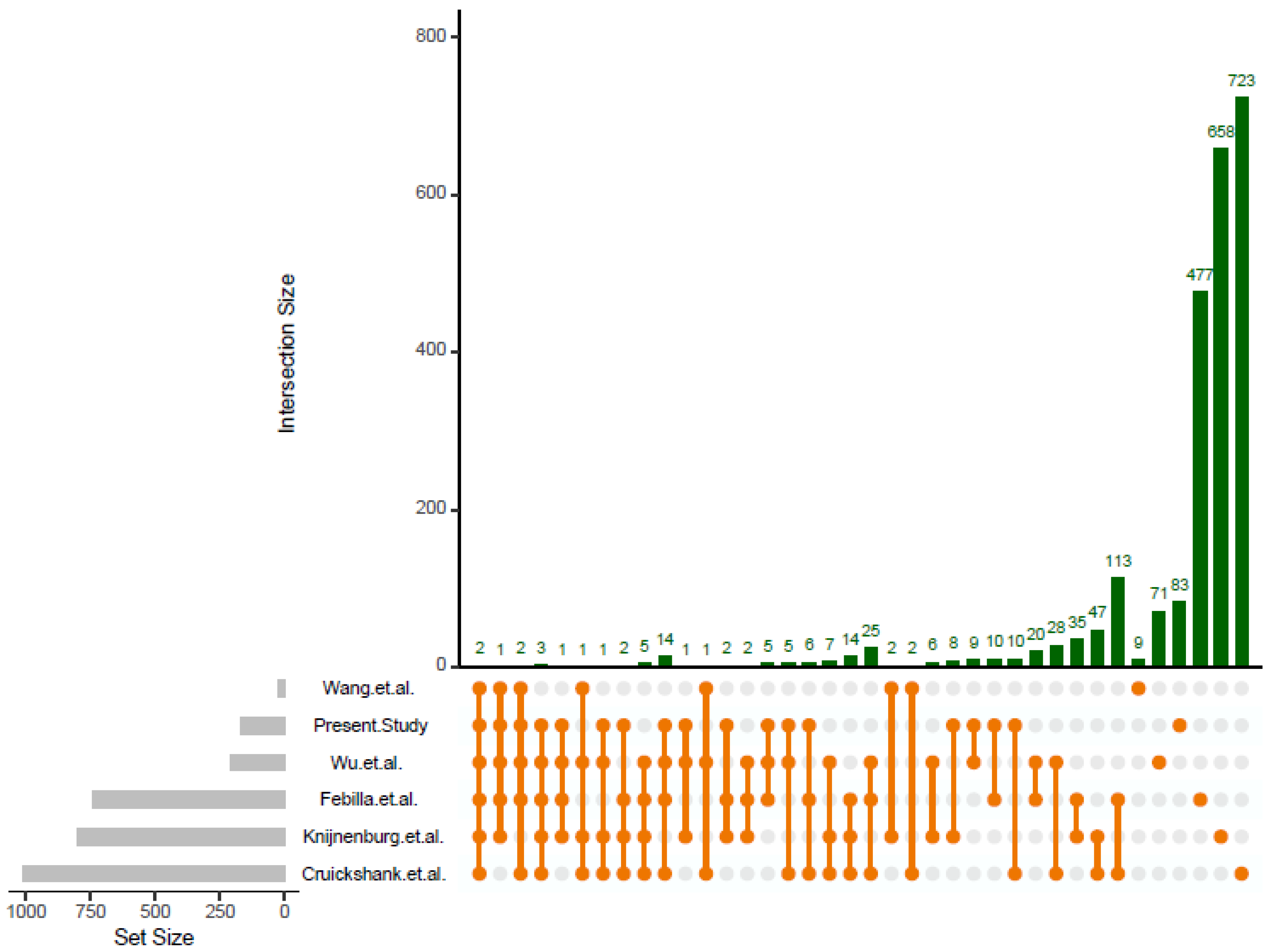
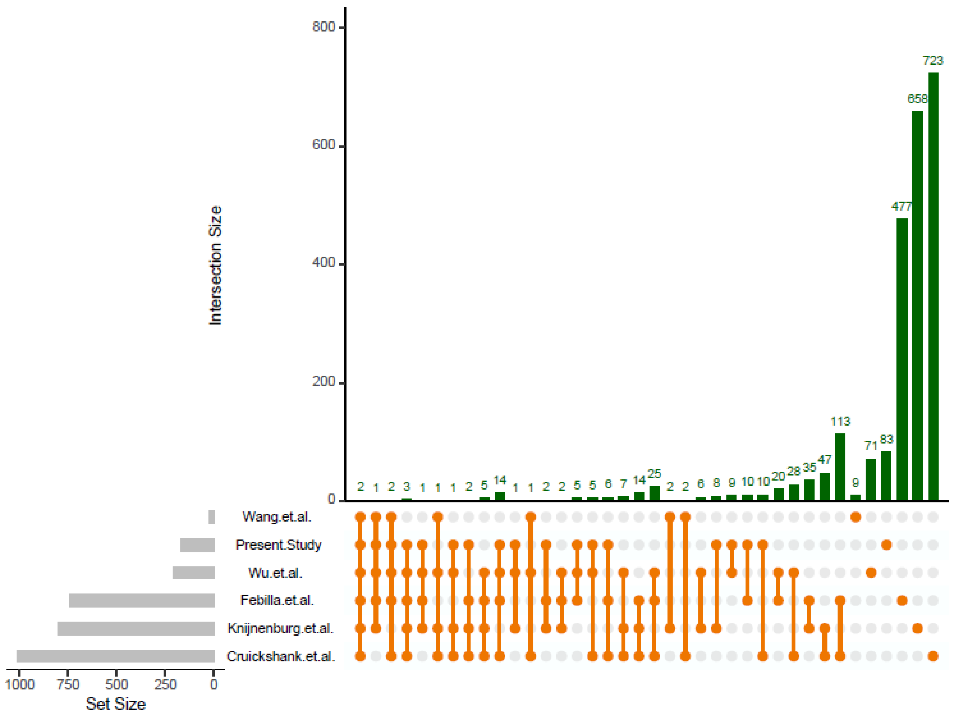
2.4. Comparative Analysis of Differences in Methylation Status With Previous Epigenomic Wide Association Studies EWAS
2.5. Gene Ontology and Functional Analysis
2.6. Stochastic Epigenetic Mutation Analysis
3. Discussion
4. Materials and Methods
4.1. Study Design and Study Population
4.2. Data Management, Pre-Processing, Normalization and Quality Control
4.3. Blood Cell Type Counts
4.4. Differential Methylation Analysis
4.5. Comparative Analysis with Previous EWAS and Gene Ontology Analysis
4.6. Stochastic Epigenetic Mutation Detection
4.7. Validation of the SEMs Analysis
4.8. Statistical Analysis
4.9. Data visualization
5. Conclusions
Supplementary Materials
Author Contributions
Funding
Conflicts of Interest
Abbreviations
| EWAS | Epigenomic Wide Association Study |
| PTB | Preterm Birth |
| SEM | Stochastic Epigenetic Mutation |
| PCA | Principal Component Analysis |
| IQR | Interquartile Range |
| SVA | Surrogate Variable Analysis |
| MDS | Multi-Dimensional Scaling |
| NK | Natural Killer Cells |
References
- Chauhan, S.P.; Scardo, J.A.; Hayes, E.; Abuhamad, A.Z.; Berghella, V. Twins: Prevalence, problems, and preterm births. Am. J. Obstet. Gynecol. 2010, 203, 305–315. [Google Scholar] [CrossRef] [PubMed]
- Goldenberg, R.L.; Culhane, J.F.; Iams, J.D.; Romero, R. Epidemiology and causes of preterm birth. Lancet 2008, 371, 75–84. [Google Scholar] [CrossRef]
- Varner, M.W.; Esplin, M.S. Current understanding of genetic factors in preterm birth. BJOG Int. J. Obstet. Gynaecol. 2005, 112, 28–31. [Google Scholar] [CrossRef] [PubMed]
- Luu, T.M.; Katz, S.L.; Leeson, P.; Thebaud, B.; Nuyt, A.-M. Preterm birth: Risk factor for early-onset chronic diseases. Can. Med. Assoc. J. 2015, 188, 736–746. [Google Scholar] [CrossRef] [PubMed]
- Thomas, E.L.; Al Saud, N.B.; Durighel, G.; Frost, G.; Bell, J.D. The effect of preterm birth on adiposity and metabolic pathways and the implications for later life. Clin. Lipidol. 2012, 7, 275–288. [Google Scholar] [CrossRef]
- Kerkhof, G.F.; E Breukhoven, P.; Leunissen, R.W.; Willemsen, R.; Hokken-Koelega, A.C. Does Preterm Birth Influence Cardiovascular Risk in Early Adulthood? J. Pediatr. 2012, 161, 390–396.e1. [Google Scholar] [CrossRef] [PubMed]
- Parkinson, J.R.C.; Hyde, M.; Gale, C.; Santhakumaran, S.; Modi, N. Preterm Birth and the Metabolic Syndrome in Adult Life: A Systematic Review and Meta-analysis. Pediatrics 2013, 131. [Google Scholar] [CrossRef]
- Fraser, J.; Walls, M.; McGuire, W. Respiratory complications of preterm birth. BMJ 2004, 329, 962–965. [Google Scholar] [CrossRef]
- Abbott, A. Neuroscience: The brain, interrupted. Nature 2015, 518, 24–26. [Google Scholar] [CrossRef]
- Merid, S.K.; Novoloaca, A.; Sharp, G.C.; Küpers, L.K.; Kho, A.T.; Roy, R.; Gao, L.; Annesi-Maesano, I.; Jain, P.; Plusquin, M.; et al. Epigenome-wide meta-analysis of blood DNA methylation in newborns and children identifies numerous loci related to gestational age. Genome Med. 2020, 12, 25. [Google Scholar] [CrossRef] [PubMed]
- Fernando, F.; Keijser, R.; Henneman, P.; Van Der Kevie-Kersemaekers, A.-M.F.; Mannens, M.M.; Van Der Post, J.A.M.; Afink, G.B.; Ris-Stalpers, C. The idiopathic preterm delivery methylation profile in umbilical cord blood DNA. BMC Genom. 2015, 16, 736. [Google Scholar] [CrossRef] [PubMed]
- Knijnenburg, T.A.; Vockley, J.G.; Chambwe, N.; Gibbs, D.L.; Humphries, C.; Huddleston, K.C.; Klein, E.; Kothiyal, P.; Tasseff, R.; Dhankani, V.; et al. Genomic and Molecular Characterization of Preterm Birth. Proc. Natl. Acad. Sci. USA 2019, 116, 5819–5827. [Google Scholar] [CrossRef]
- Cruickshank, M.N.; Oshlack, A.; Theda, C.; Davis, P.G.; Martino, D.; Sheehan, P.; Dai, Y.; Saffery, R.; Doyle, L.W.; Craig, J.M. Analysis of epigenetic changes in survivors of preterm birth reveals the effect of gestational age and evidence for a long term legacy. Genome Med. 2013, 5, 96. [Google Scholar] [CrossRef] [PubMed]
- Wang, X.; Tian, F.-Y.; Fan, L.-J.; Xie, C.; Niu, Z.-Z.; Chen, W.-Q. Comparison of DNA methylation profiles associated with spontaneous preterm birth in placenta and cord blood. BMC Med. Genom. 2019, 12, 1. [Google Scholar] [CrossRef]
- Wu, Y.; Lin, X.; Lim, I.Y.; Chen, L.; Teh, A.L.; MacIsaac, J.L.; Tan, K.-H.; Kobor, M.S.; Chong, Y.S.; Gluckman, P.D.; et al. Analysis of two birth tissues provides new insights into the epigenetic landscape of neonates born preterm. Clin. Epigenet. 2019, 11, 1–12. [Google Scholar] [CrossRef] [PubMed]
- Fiorito, G.; Polidoro, S.; Dugué, P.-A.; Kivimaki, M.; Ponzi, E.; Matullo, G.; Guarrera, S.; Assumma, M.B.; Georgiadis, P.; Kyrtopoulos, S.A.; et al. Social adversity and epigenetic aging: A multi-cohort study on socioeconomic differences in peripheral blood DNA methylation. Sci. Rep. 2017, 7, 16266. [Google Scholar] [CrossRef] [PubMed]
- Gentilini, D.; Somigliana, E.; Pagliardini, L.; Rabellotti, E.; Garagnani, P.; Bernardinelli, L.; Papaleo, E.; Candiani, M.; Di Blasio, A.M.; Viganò, P. Multifactorial analysis of the stochastic epigenetic variability in cord blood confirmed an impact of common behavioral and environmental factors but not of in vitro conception. Clin. Epigenet. 2018, 10, 77. [Google Scholar] [CrossRef] [PubMed]
- Baschant, U.; Lane, N.E.; Tuckermann, J. The multiple facets of glucocorticoid action in rheumatoid arthritis. Nat. Rev. Rheumatol. 2012, 8, 645–655. [Google Scholar] [CrossRef]
- Richards, S.; Aziz, N.; Bale, S.; Bick, D.; Das, S.; Gastier-Foster, J.; Grody, W.W.; Hegde, M.; Lyon, E.; Spector, E.; et al. Standards and guidelines for the interpretation of sequence variants: A joint consensus recommendation of the American College of Medical Genetics and Genomics and the Association for Molecular Pathology. Genet. Med. 2015, 17, 405–423. [Google Scholar] [CrossRef] [PubMed]
- He, J.-J.; Ma, J.; Wang, J.-L.; Zhang, N.-Z.; Li, J.-X.; Zhai, B.-T.; Elsheikha, H.M.; Zhu, X.-Q. iTRAQ-based Quantitative Proteomics Analysis Identifies Host Pathways Modulated during Toxoplasma gondii Infection in Swine. Microorganisms 2020, 8, 518. [Google Scholar] [CrossRef]
- Freeman, K.; Oakley, L.; Pollak, A.; Buffolano, W.; Petersen, E.; Semprini, A.E.; Salt, A.; Gilbert, R. Association between congenital toxoplasmosis and preterm birth, low birthweight and small for gestational age birth. BJOG Int. J. Obstet. Gynaecol. 2005, 112, 31–37. [Google Scholar] [CrossRef]
- Chabrun, F.; Huetz, N.; Dieu, X.; Rousseau, G.; Bouzillé, G.; De La Barca, J.M.C.; Procaccio, V.; Lenaers, G.; Blanchet, O.; Legendre, G.; et al. Placental Multi-Omics Data-Mining in Intrauterine Growth Restriction. SSRN Electron. J. 2018. [Google Scholar] [CrossRef]
- Tilley, S.; Joseph, R.; Kuban, K.C.K.; Dammann, O.U.; O’Shea, T.M.; Fry, R.C. Genomic biomarkers of prenatal intrauterine inflammation in umbilical cord tissue predict later life neurological outcomes. PLoS ONE 2017, 12, e0176953. [Google Scholar] [CrossRef] [PubMed]
- Huang, X.; Mu, X.; Deng, L.; Fu, A.; Pu, E.; Tang, T.; Kong, X. The etiologic origins for chronic obstructive pulmonary disease. Int. J. Chronic Obstr. Pulm. Dis. 2019, 14, 1139–1158. [Google Scholar] [CrossRef]
- Tokumura, A.; Kanaya, Y.; Miyake, M.; Yamano, S.; Irahara, M.; Fukuzawa, K. Increased production of bioactive lysophosphatidic acid by serum lysophospholipase D in human pregnancy. Biol. Reprod. 2002, 67, 1386–1392. [Google Scholar] [CrossRef] [PubMed]
- Tokumura, A.; Fukuzawa, K.; Yamada, S.; Tsukatani, H. Stimulatory effect of lysophosphatidic acids on uterine smooth muscles of non-pregant rats. Arch. Int. Pharmacodyn. Ther. 1980, 245, 74–83. [Google Scholar]
- Ye, X.; Chun, J. Lysophosphatidic acid (LPA) signaling in vertebrate reproduction. Trends Endocrinol. Metab. 2010, 21, 17–24. [Google Scholar] [CrossRef]
- Palma-Gudiel, H.; Eixarch, E.; Crispi, F.; Morán, S.; Zannas, A.S.; Fañanás, L. Prenatal adverse environment is associated with epigenetic age deceleration at birth and hypomethylation at the hypoxia-responsive EP300 gene. Clin. Epigenet. 2019, 11, 73. [Google Scholar] [CrossRef]
- Melville, J.M.; Moss, T. The immune consequences of preterm birth. Front. Mol. Neurosci. 2013, 7, 79. [Google Scholar] [CrossRef]
- Risnes, K.R.; Pape, K.; Bjørngaard, J.H.; Moster, D.; Bracken, M.B.; Romundstad, P.R. Premature Adult Death in Individuals Born Preterm: A Sibling Comparison in a Prospective Nationwide Follow-Up Study. PLoS ONE 2016, 11, e0165051. [Google Scholar] [CrossRef] [PubMed]
- Solves, P.; Moraga, R.; Saucedo, E.; Perales, A.; A Soler, M.; Larrea, L.; Mirabet, V.; Planelles, D.; Carbonell-Uberos, F.; Monleón, J.; et al. Comparison between two strategies for umbilical cord blood collection. Bone Marrow Transplant. 2003, 31, 269–273. [Google Scholar] [CrossRef] [PubMed]
- Gentilini, D.; Garagnani, P.; Pisoni, S.; Bacalini, M.G.; Calzari, L.; Mari, D.; Vitale, G.; Franceschi, C.; Di Blasio, A.M. Stochastic epigenetic mutations (DNA methylation) increase exponentially in human aging and correlate with X chromosome inactivation skewing in females. Aging 2015, 7, 568–576. [Google Scholar] [CrossRef] [PubMed]
- Assenov, Y.; Müller, F.; Lutsik, P.; Walter, J.; Lengauer, T.; Bock, C. Comprehensive analysis of DNA methylation data with RnBeads. Nat. Methods 2014, 11, 1138–1140. [Google Scholar] [CrossRef] [PubMed]
- Auton, A.; Brooks, L.D.; Durbin, R.M.; Garrison, E.P.; Kang, H.M.; Korbel, J.O.; Marchini, J.L.; McCarthy, S.; McVean, G.A.; Abecasis, G.R. A global reference for human genetic variation. Nature 2015, 526, 68–74. [Google Scholar] [CrossRef]
- Aryee, M.J.; E Jaffe, A.; Bravo, H.C.; Ladd-Acosta, C.; Feinberg, A.P.; Hansen, K.D.; Irizarry, R.A. Minfi: A flexible and comprehensive Bioconductor package for the analysis of Infinium DNA methylation microarrays. Bioinformatics 2014, 30, 1363–1369. [Google Scholar] [CrossRef]
- Bakulski, K.M.; Feinberg, J.I.; Andrews, S.V.; Yang, J.; Brown, S.; McKenney, S.L.; Witter, F.; Walston, J.; Feinberg, A.P.; Fallin, M.D. DNA methylation of cord blood cell types: Applications for mixed cell birth studies. Epigenetics 2016, 11, 354–362. [Google Scholar] [CrossRef]
- Gentilini, D.; Scala, S.; Gaudenzi, G.; Garagnani, P.; Capri, M.; Cescon, M.; Grazi, G.L.; Bacalini, M.G.; Pisoni, S.; Dicitore, A.; et al. Epigenome-wide association study in hepatocellular carcinoma: Identification of stochastic epigenetic mutations through an innovative statistical approach. Oncotarget 2017, 8, 41890–41902. [Google Scholar] [CrossRef]
- Supek, F.; Bosnjak, M.; Skunca, N.; Šmuc, T. REVIGO Summarizes and Visualizes Long Lists of Gene Ontology Terms. PLoS ONE 2011, 6, e21800. [Google Scholar] [CrossRef]
- Conway, J.R.; Lex, A.; Gehlenborg, N. UpSetR: An R package for the visualization of intersecting sets and their properties. Bioinformatics 2017, 33, 2938–2940. [Google Scholar] [CrossRef] [PubMed]





| Characteristics of Pregnancy | Preterm Babies (n = 18) | Full-Term Babies (n = 72) | p-Value |
|---|---|---|---|
| Sex M | 11 (61%) | 33 (46%) | ns |
| Age | 33.27 (6.49) | 34.77 (5.03) | ns |
| BMI | 21.49 (2.47) | 22.42 (3.88) | ns |
| Weight before pregnancy | 56.16 (7.40) | 60.40 (12.12) | ns |
| Increase of weight during pregnancy | 10.66 (4.15) | 12.22 (4.57) | ns |
| Diseases during pregnancy | 4 (22%) | 26 (36%) | ns |
| Diabetes | 2 (11%) | 4 (6%) | ns |
| Hypothyroidism | 1 (6%) | 10 (14%) | ns |
| Smoke | 4 (22%) | 16 (22%) | ns |
| Assumption of folic acid | 17 (94%) | 68 (94%) | ns |
| Pregnancy expressed in days | 243.16 (18.81) | 275.58 (8.39) | <0.01 |
| Birth weight | 2366.11 (520.69) | 3251.18(456.15) | <0.01 |
| Eutocic delivery | 18 (100%) | 53 (74%) | <0.05 |
© 2020 by the authors. Licensee MDPI, Basel, Switzerland. This article is an open access article distributed under the terms and conditions of the Creative Commons Attribution (CC BY) license (http://creativecommons.org/licenses/by/4.0/).
Share and Cite
Spada, E.; Calzari, L.; Corsaro, L.; Fazia, T.; Mencarelli, M.; Di Blasio, A.M.; Bernardinelli, L.; Zangheri, G.; Vignali, M.; Gentilini, D. Epigenome Wide Association and Stochastic Epigenetic Mutation Analysis on Cord Blood of Preterm Birth. Int. J. Mol. Sci. 2020, 21, 5044. https://doi.org/10.3390/ijms21145044
Spada E, Calzari L, Corsaro L, Fazia T, Mencarelli M, Di Blasio AM, Bernardinelli L, Zangheri G, Vignali M, Gentilini D. Epigenome Wide Association and Stochastic Epigenetic Mutation Analysis on Cord Blood of Preterm Birth. International Journal of Molecular Sciences. 2020; 21(14):5044. https://doi.org/10.3390/ijms21145044
Chicago/Turabian StyleSpada, Elena, Luciano Calzari, Luigi Corsaro, Teresa Fazia, Monica Mencarelli, Anna Maria Di Blasio, Luisa Bernardinelli, Giulia Zangheri, Michele Vignali, and Davide Gentilini. 2020. "Epigenome Wide Association and Stochastic Epigenetic Mutation Analysis on Cord Blood of Preterm Birth" International Journal of Molecular Sciences 21, no. 14: 5044. https://doi.org/10.3390/ijms21145044
APA StyleSpada, E., Calzari, L., Corsaro, L., Fazia, T., Mencarelli, M., Di Blasio, A. M., Bernardinelli, L., Zangheri, G., Vignali, M., & Gentilini, D. (2020). Epigenome Wide Association and Stochastic Epigenetic Mutation Analysis on Cord Blood of Preterm Birth. International Journal of Molecular Sciences, 21(14), 5044. https://doi.org/10.3390/ijms21145044

