The Osmotin-Like Protein Gene PdOLP1 Is Involved in Secondary Cell Wall Biosynthesis during Wood Formation in Poplar
Abstract
1. Introduction
2. Results
2.1. Isolation and Characterization of PdOLP1
2.2. Expression Pattern and Subcellular Localization of PdOLP1
2.3. Verification of PdOLP1 Overexpression and Downregulation in Transgenic Poplar Plants
2.4. Overexpression of PdOLP1 Delayed Primary Growth and Repressed Secondary Wall Biosynthesis in Poplars
2.5. Downregulation of PdOLP1 Promotes Vigorous Growth and Causes Ectopic Thickening of the Secondary Wall in Poplar
2.6. Wood Index, Total Biomass, and Carbon Storage Is Obviously Changed in PdOLP1-DR Poplars
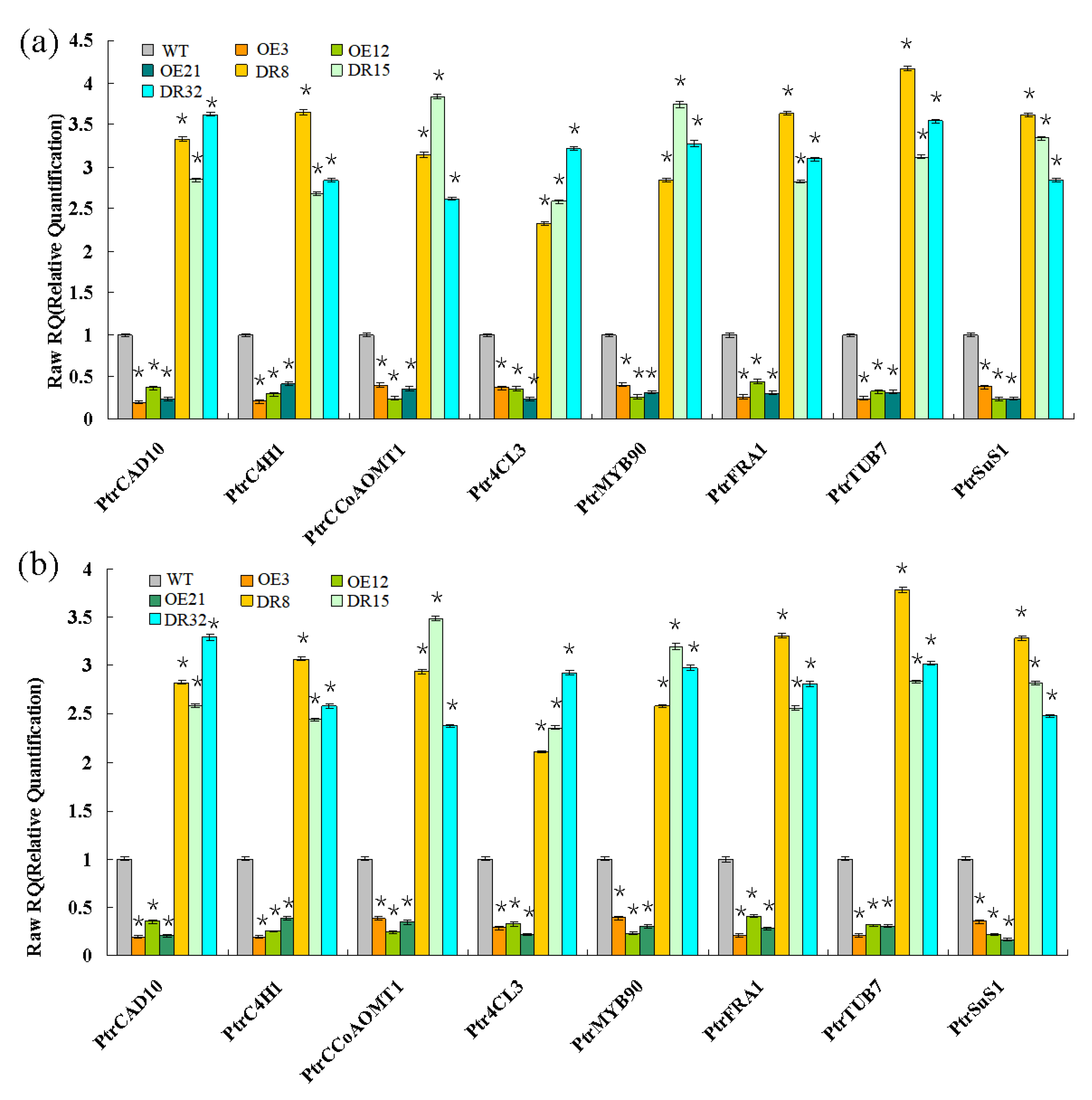
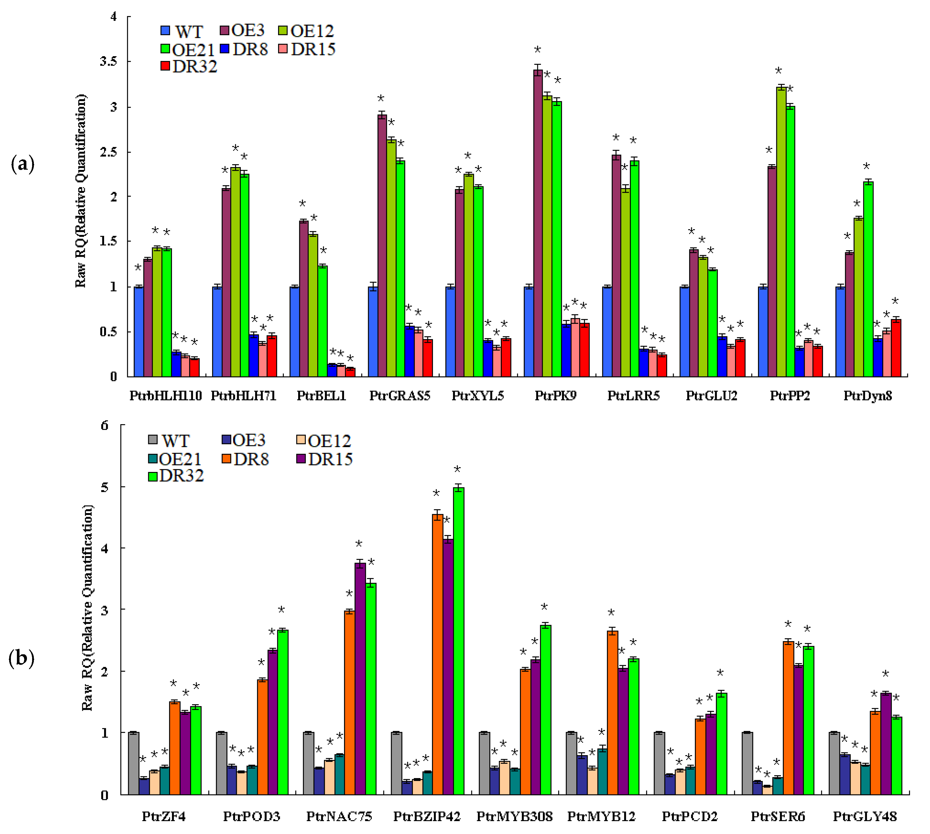
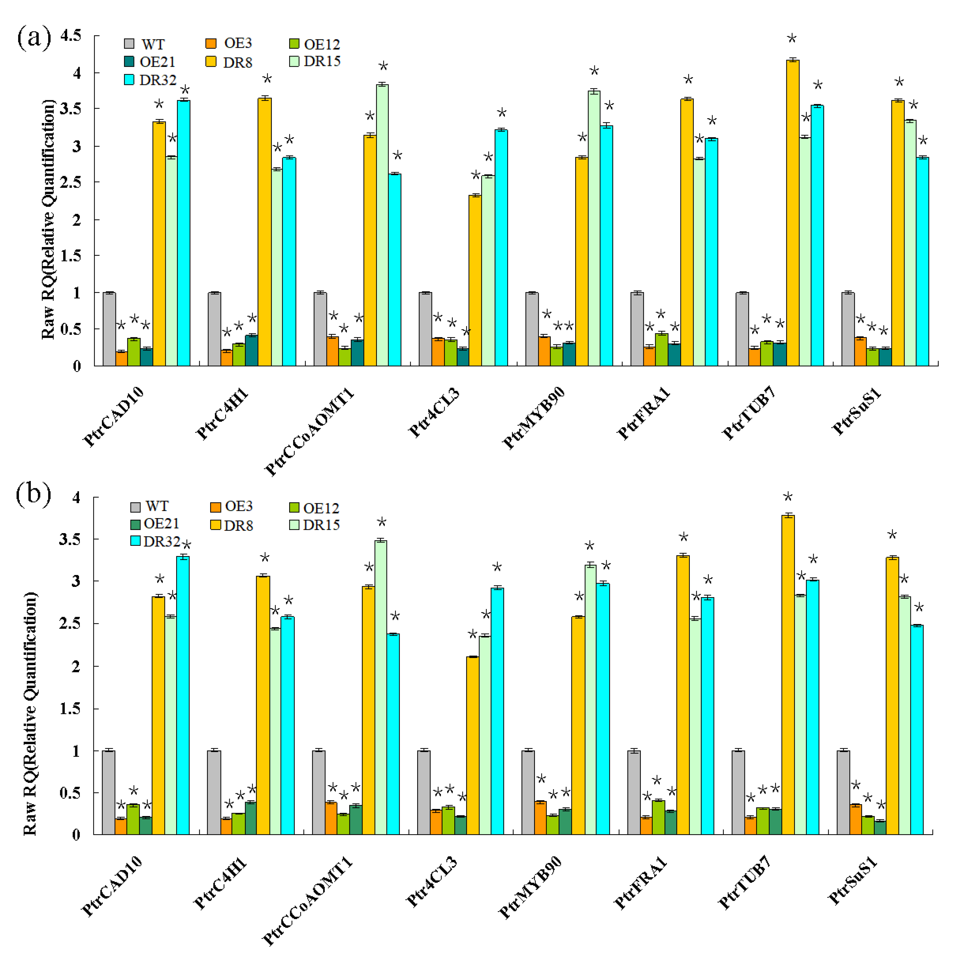
2.7. Overexpression or Downregulation of PdOLP1 Affects Expression of Cell Wall Biosynthetic Genes in Transgenic Poplars
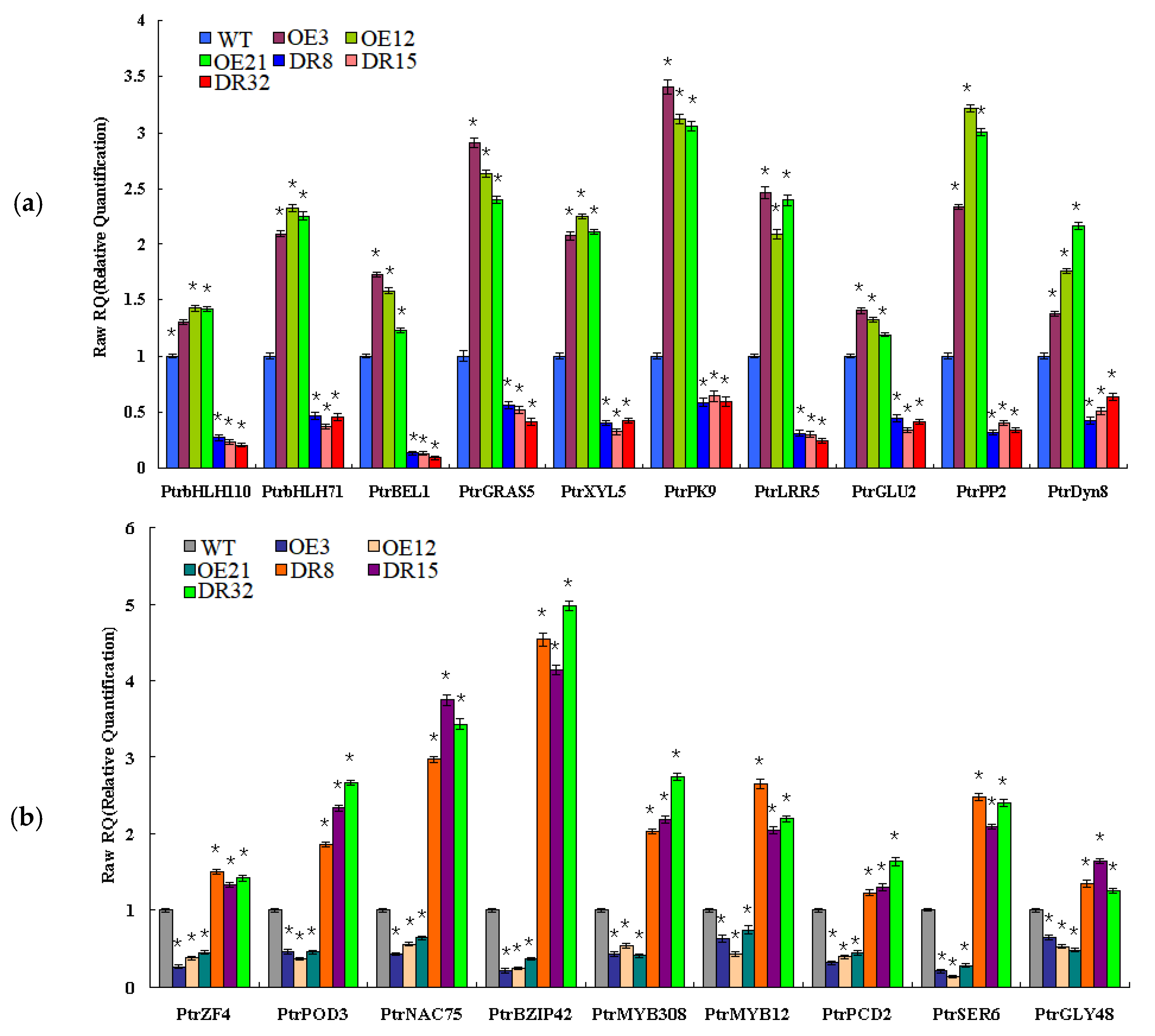
2.8. Coexpression Network of PdOLP1 in Poplars
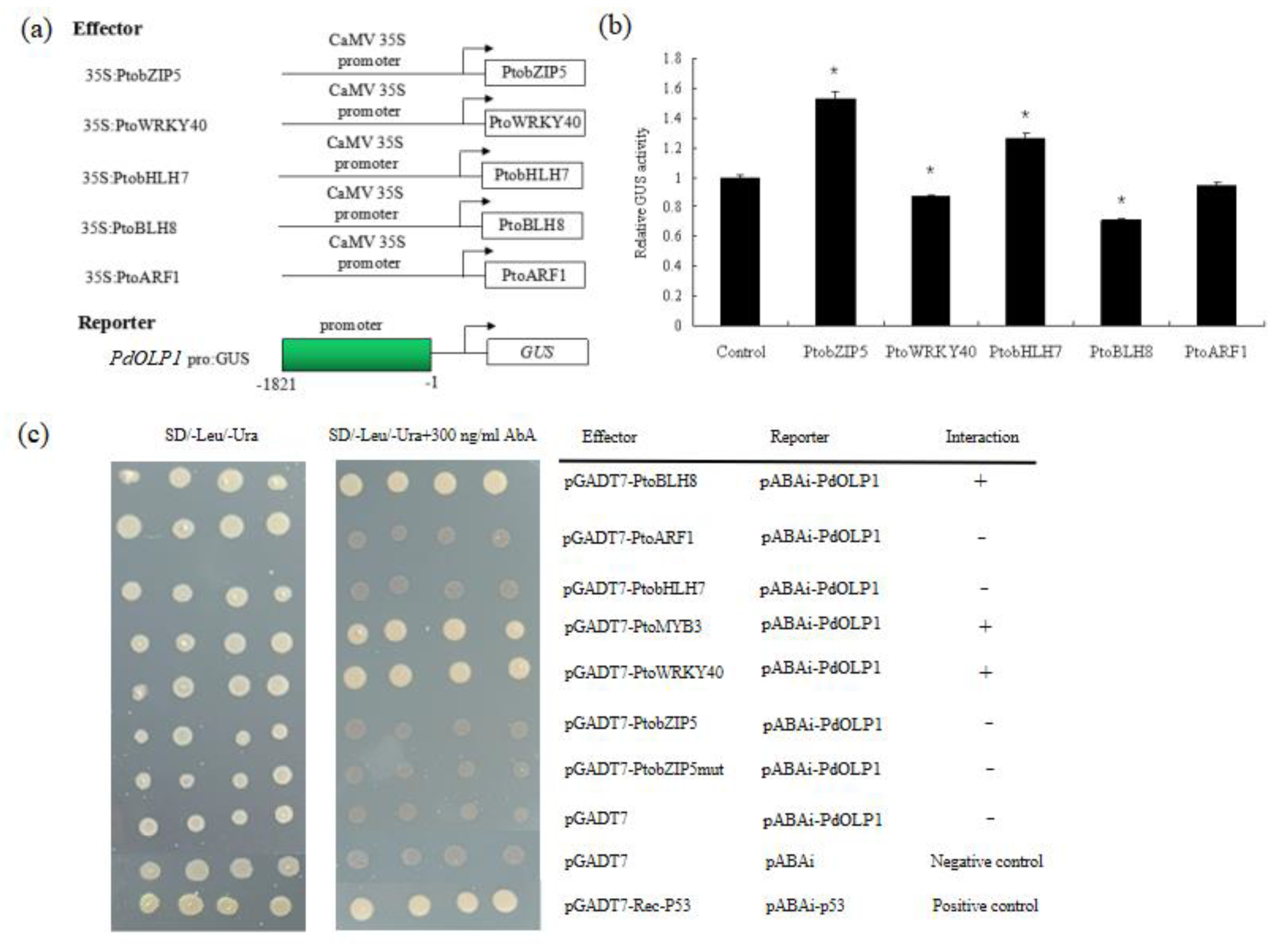
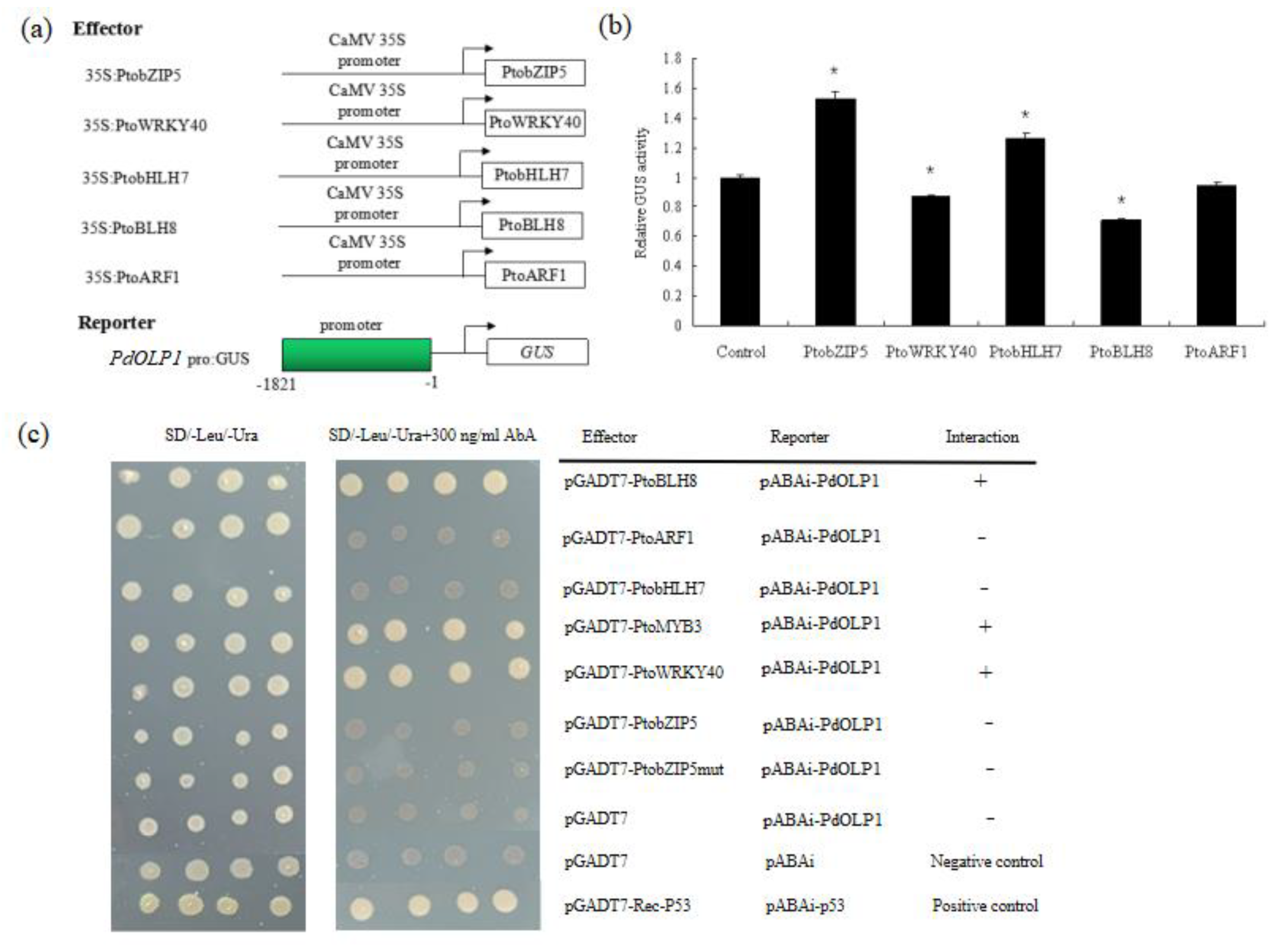
2.9. The PdOLP1 Promoter Is Activated by PtobZIP5 and PtobHLH7, and Inhibited by PtoBLH8 and PtoWRKY40
3. Discussion
4. Materials and Methods
4.1. Plant Materials and Growth Conditions
4.2. In Situ Hybridization
4.3. Cloning of PdOLP1, Vector Construction and Genetic Transformation
4.4. Detection of Transgenic Plants
4.5. Gene Expression Analyzed by Quantitative Real-Time PCR (qRT-PCR)
4.6. Subcellular Localization
4.7. Histological Analysis and Microscopy
4.8. Microfibril Angle Measurement
4.9. Determination of Lignin Content, Wood Density, Total Biomass, and Carbon Storage
4.10. Phylogenetic Analysis and Statistical Analyses
4.11. Transient Expression Assay
4.12. Yeast One-Hybrid Assay
4.13. Coexpression Network Analysis
Supplementary Materials
Author Contributions
Funding
Acknowledgments
Conflicts of Interest
References
- Gorshkova, T.; Brutch, N.; Chabbert, B.; Deyholos, M.; Hayashi, T.; Lev-Yadun, S.; Mellerowicz, E.J.; Morvan, C.; Neutelings, G.; Pilate, G. Plant Fiber Formation: State of the Art, Recent and Expected Progress, and Open Questions. Crit. Rev. Plant Sci. 2012, 31, 201–228. [Google Scholar] [CrossRef]
- Schuetz, M.; Smith, R.; Ellis, B. Xylem tissue specification, patterning, and differentiation mechanisms. J. Exp. Bot. 2012, 64, 11–31. [Google Scholar] [CrossRef] [PubMed]
- Hertzberg, M.; Aspeborg, H.; Schrader, J.; Andersson, A.; Erlandsson, R.; Blomqvist, K.; Bhalerao, R.; Uhlén, M.; Teeri, T.T.; Lundeberg, J.; et al. A transcriptional roadmap to wood formation. Proc. Natl. Acad. Sci. USA 2001, 98, 14732–14737. [Google Scholar] [CrossRef]
- Yang, J.; Park, S.; Kamdem, D.P.; Keathley, D.E.; Retzel, E.; Paule, C.; Kapur, V.; Han, K.-H. Novel gene expression profiles define the metabolic and physiological processes characteristic of wood and its extractive formation in a hardwood tree species, Robinia pseudoacacia. Plant Mol. Biol. 2003, 52, 935–956. [Google Scholar] [CrossRef]
- Dungey, H.S.; Matheson, A.C.; Kain, D.; Evans, R. Genetics of wood stiffness and its component traits inPinus radiata. Can. J. For. Res. 2006, 36, 1165–1178. [Google Scholar] [CrossRef]
- Choi, D.S.; Hong, J.K.; Hwang, B.K. Pepper osmotin-like protein 1 (CaOSM1) is an essential component for defense response, cell death, and oxidative burst in plants. Planta 2013, 238, 1113–1124. [Google Scholar] [CrossRef]
- Byoun, B.H.; Kim, S.G. Isolation and Molecular Characterization of the Osmotin gene in Petunia hybrida. Genes Genom. 1997, 19, 340. [Google Scholar]
- Xue, X.; Cao, Z.X.; Zhang, X.T.; Wang, Y.; Zhang, Y.F.; Chen, Z.X.; Pan, X.B.; Zuo, S.M. Overexpression of OsOSM1 Enhances Resistance to Rice Sheath Blight. Plant Dis. 2016, 100, 1634–1642. [Google Scholar] [CrossRef]
- Wang, L.; Yang, L.; Zhang, J.; Dong, J.; Yu, J.; Zhou, J.; Zhuge, Q. Cloning and characterization of a thaumatin-like protein gene PeTLP in Populus deltoides × P. euramericana cv. ‘Nanlin895’. Acta Physiol. Plant. 2013, 35, 2985–2998. [Google Scholar] [CrossRef]
- Dafoe, N.J.; Gowen, B.E.; Constabel, C.P. Thaumatin-like proteins are differentially expressed and localized in phloem tissues of hybrid poplar. BMC Plant Biol. 2010, 10, 191. [Google Scholar] [CrossRef]
- Gimeno, J.; Gadea, J.; Forment, J.; Valle, J.P.; Santiago, J.; Martínez-Godoy, M.A.; Yenush, L.; Bellés, J.M.; Brumos, J.; Colmenero-Flores, J.; et al. Shared and novel molecular responses of mandarin to drought. Plant Mol. Biol. 2009, 70, 403–420. [Google Scholar] [CrossRef] [PubMed]
- Vasavirama, K.; Kirti, P.B. Increased resistance to late leaf spot disease in transgenic peanut using a combination of PR genes. Funct. Integr. Genom. 2012, 12, 625–634. [Google Scholar] [CrossRef] [PubMed]
- Kumar, S.A.; Kumari, P.H.; Jawahar, G.; Prashanth, S.; Suravajhala, P.; Katam, R.; Sivan, P.; Rao, K.S.; Kirtie, P.B.; Kishora, P.B.K. Beyond just being foot soldiers-osmotin like protein (OLP) and chitinase (Chi11) genes act as sentinels to confront salt, drought, and fungal stress tolerance in tomato. Environ. Exp. Bot. 2016, 132, 53–65. [Google Scholar] [CrossRef]
- Abdin, M.Z.; Kiran, U.; Alam, A. Analysis of osmotin, a PR protein as metabolic modulator in plants. Bioinformation 2011, 5, 336–340. [Google Scholar] [CrossRef]
- Campos, M.D.; Silva, M.S.; Magalhaes, C.P.; Ribeiro, S.G.; Sarto, R.P.D.; Vieira, E.A.; Grossi, M.F.S. Expression in Escherichia coli, purification, refolding and anti-fungal activity of an osmotin from Solanum nigrum. Microb. Cell Factories 2008, 7, 7. [Google Scholar] [CrossRef]
- Zhong, R.; Lee, C.; Zhou, J.; McCarthy, R.L.; Ye, Z. A Battery of Transcription Factors Involved in the Regulation of Secondary Cell Wall Biosynthesis in Arabidopsis. Plant Cell 2008, 20, 2763–2782. [Google Scholar] [CrossRef]
- Zhong, R.; Ye, Z. The poplar PtrWNDs are transcriptional activators of secondary cell wall biosynthesis. Plant Signal. Behav. 2010, 5, 469–472. [Google Scholar] [CrossRef]
- Zhong, R.; McCarthy, R.L.; Lee, C.; Ye, Z. Dissection of the transcriptional program regulating secondary wall biosynthesis during wood formation in poplar. Plant Physiol. 2011, 157, 1452–1468. [Google Scholar] [CrossRef]
- Yang, L.; Zhao, X.; Yang, F.; Fan, D.; Jiang, Y.; Luo, K. PtrWRKY19, a novel WRKY transcription factor, contributes to the regulation of pith secondary wall formation in Populus trichocarpa. Sci. Rep. 2016, 6, 18643. [Google Scholar] [CrossRef]
- Li, C.; Wang, X.; Ran, L.; Tian, Q.; Fan, D.; Luo, K. PtoMYB92 is a Transcriptional Activator of the Lignin Biosynthetic Pathway During Secondary Cell Wall Formation in Populus tomentosa. Plant Cell Physiol. 2015, 56, 2436–2446. [Google Scholar] [CrossRef]
- Liu, Y.; You, S.; Taylor-Teeples, M.; Li, W.L.; Schuetz, M.; Brady, S.M.; Douglas, C.J. BEL1-LIKE HOMEODOMAIN6 and KNOTTED ARABIDOPSIS THALIANA7 Interact and Regulate Secondary Cell Wall Formation via Repression of REVOLUTA. Plant Cell 2014, 26, 4843–4861. [Google Scholar] [CrossRef]
- Sun, X.; Wang, C.; Xiang, N.; Li, X.; Yang, S.; Du, J.; Yang, Y.; Yang, Y. Activation of secondary cell wall biosynthesis by miR319-targeted TCP4 transcription factor. Plant Biotechnol. J. 2017, 15, 1284–1294. [Google Scholar] [CrossRef] [PubMed]
- Scully, E.; Gries, T.; Palmer, N.A.; Sarath, G.; Funnell-Harris, D.L.; Baird, L.M.; Twigg, P.; Seravalli, J.; Clemente, T.E.; Sattler, S.E. Overexpression of SbMyb60 in Sorghum bicolor impacts both primary and secondary metabolism. New Phytol. 2017, 217, 82–104. [Google Scholar] [CrossRef] [PubMed]
- Li, S.; Zhang, Y.; Ding, C.; Gao, X.; Wang, R.; Mo, W.; Lv, F.; Wang, S.; Liu, L.; Tang, Z.; et al. Proline-rich protein gene PdPRP regulates secondary wall formation in poplar. J. Plant Physiol. 2019, 233, 58–72. [Google Scholar] [CrossRef] [PubMed]
- Qiu, D.; Bai, S.; Ma, J.; Zhang, L.; Shao, F.; Zhang, K.; Yang, Y.; Sun, T.; Huang, J.; Zhou, Y.; et al. The genome of Populus alba × Populus tremula var. glandulosa clone 84K. DNA Res. 2019, 26, 423–431. [Google Scholar] [CrossRef] [PubMed]
- Lemus, R.; Lal, R. Bioenergy Crops and Carbon Sequestration. Crit. Rev. Plant Sci. 2005, 24, 1–21. [Google Scholar] [CrossRef]
- Showalter, A.M. Structure and function of plant cell wall proteins. Plant Cell 1993, 5, 9–23. [Google Scholar]
- Li, S.-F.; Huang, Q.; Zhang, B.; Zhang, J.; Liu, X.; Lu, M.; Hu, Z.; Ding, C.; Su, X. Small GTP-binding protein PdRanBP regulates vascular tissue development in poplar. BMC Genet. 2016, 17, 96. [Google Scholar] [CrossRef]
- Pluskota, W.; Pupel, P.; Głowacka, K.; Okorska, S.B.; Jerzmanowski, A.; Nonogaki, H.; Górecki, R.J. Jasmonic acid and ethylene are involved in the accumulation of osmotin in germinating tomato seeds. J. Plant Physiol. 2019, 232, 74–81. [Google Scholar] [CrossRef]
- Raghothama, K.G.; Maggio, A.; Narasimhan, M.L.; Kononowicz, A.K.; Wang, G.; D’Urzo, M.P.; Hasegawa, P.M.; Bressan, R.A. Tissue-specific activation of the osmotin gene by ABA, C2H4 and NaCl involves the same promoter region. Plant Mol. Biol. 1997, 34, 393–402. [Google Scholar] [CrossRef]
- Chowdhury, S.; Basu, A.; Kundu, S. Overexpression of a New Osmotin-Like Protein Gene (SindOLP) Confers Tolerance against Biotic and Abiotic Stresses in Sesame. Front. Plant Sci. 2017, 8, 410. [Google Scholar] [CrossRef] [PubMed]
- Ibragimova, N.N.; Mokshina, N.E.; Gorshkova, T. Cell wall proteins of flax phloem fibers. Russ. J. Bioorg. Chem. 2012, 38, 117–125. [Google Scholar] [CrossRef] [PubMed]
- Chalfie, M.; Tu, Y.; Euskirchen, G.; Ward, W.W.; Prasher, D.C. Green fluorescent protein as a marker for gene expression. Science 1994, 263, 802–805. [Google Scholar] [CrossRef] [PubMed]
- Reichel, C.; Mathur, J.; Eckes, P.; Langenkemper, K.; Koncz, C.; Schell, J.; Reiss, B.; Maas, C. Enhanced green fluorescence by the expression of an Aequorea victoria green fluorescent protein mutant in mono- and dicotyledonous plant cells. Proc. Natl. Acad. Sci. USA 1996, 93, 5888–5893. [Google Scholar] [CrossRef]
- Zhang, D.; Xu, Z.; Cao, S.; Chen, K.; Li, S.; Liu, X.; Gao, C.; Zhang, B.; Zhou, Y. An uncanonical CCCH tandem Zinc-Finger protein represses secondary wall synthesis and controls mechanical strength in rice. Mol. Plant 2018, 11, 163–174. [Google Scholar] [CrossRef]
- DeVantier, Y.A.; Moffatt, B.; Jones, C.; Charest, P.J. Microprojectile-mediated DNA delivery to the Salicaceae family. Can. J. Bot. 1993, 71, 1458–1466. [Google Scholar] [CrossRef]
- Su, X.; Chu, Y.; Li, H.; Hou, Y.; Zhang, B.; Huang, Q.; Hu, Z.; Huang, R.; Tian, Y. Expression of multiple resistance genes enhances tolerance to environmental stressors in transgenic poplar (Populus × euramericana ‘Guariento’). PLoS ONE 2011, 6, e24614. [Google Scholar] [CrossRef]
- Ikea, J.; Ingelbrecht, I.; Uwaifo, A.; Thottappilly, G. Stable gene transformation in cowpea (Vigna unguiculata L. Walp.) using particle gun method. Afr. J. Biotechnol. 2003, 2, 211–218. [Google Scholar]
- Brar, G.S.; Cohen, B.A.; Vick, C.L.; Johnson, G.W. Recovery of transgenic peanut (Arachis hypogaea L.) plants from elite cultivars utilizing ACCELLR technology. Plant J. 1994, 5, 745–753. [Google Scholar] [CrossRef]
- Russell, D.; Wallace, K.; Bathe, J.; Martinell, B.; McCabe, D. Stable transformation of Phaseolus vulgaris via electric-discharge mediated particle acceleration. Plant Cell Rep. 1993, 12, 165–169. [Google Scholar] [CrossRef]
- Christou, P.; McCabe, D.E.; Swain, W.F. Stable Transformation of Soybean Callus by DNA-Coated Gold Particles. Plant Physiol. 1988, 87, 671–674. [Google Scholar] [CrossRef] [PubMed]
- Kim, B.-G.; Fukumoto, T.; Tatano, S.; Gomi, K.; Ohtani, K.; Tada, Y.; Akimitsu, K. Molecular cloning and characterization of a thaumatin-like protein-encoding cDNA from rough lemon. Physiol. Mol. Plant Pathol. 2009, 74, 3–10. [Google Scholar] [CrossRef]
- He, G.; Wang, M.; Chen, H.; Zhao, S.; Lu, M. Cloning and functional analysis of a vascular tissue-specific promoter from Populus tomentosa. For. Res. 2010, 23, 77–183. [Google Scholar]
- Li, S.F.; Fan, C.M.; Li, Y.; Zhang, J.H.; Sun, J.S.; Chen, Y.H.; Tian, C.Y.; Su, X.H.; Lu, M.Z.; Liang, C.Z.; et al. Effects of drought and salt-stresses on gene expression in Caragana korshinskii seedlings revealed by RNA-seq. BMC Genom. 2016, 17, 200. [Google Scholar] [CrossRef]
- Han, X.; He, G.; Zhao, S.; Guo, C.; Lu, M. Expression Analysis of Two NAC Transcription Factors PtNAC068 and PtNAC154 from Poplar. Plant Mol. Biol. Rep. 2011, 30, 370–378. [Google Scholar] [CrossRef]
- Guo, H.; Wang, Y.; Wang, L.; Hu, P.; Wang, Y.; Jia, Y.; Zhang, C.; Zhang, Y.; Zhang, Y.; Wang, C.; et al. Expression of the MYB transcription factor gene BplMYB46 affects abiotic stress tolerance and secondary cell wall deposition in Betula platyphylla. Plant Biotechnol. J. 2016, 15, 107–121. [Google Scholar] [CrossRef]
- Cave, I.D.; Walker, J.C.F. Stiffness of wood in fast-grown plantation softwoods, the influence of microfibril angle. For. Prod. J. 1994, 44, 43–48. [Google Scholar]
- Evans, R.; Ilic, J. Rapid prediction of wood stiffness from microfibril angle and density. For. Prod. J. 2001, 51, 53–57. [Google Scholar]
- Wessels, B.; Malan, F.S.; Kidd, M.; Rypstra, T. The variation of microfibril angle in South African grown Pinus patula and its influence on the stiffness of structural lumber. South. For. J. For. Sci. 2015, 77, 213–219. [Google Scholar] [CrossRef]
- Derba-Maceluch, M.; Awano, T.; Takahashi, J.; Lucenius, J.; Ratke, C.; Kontro, I.; Busse-Wicher, M.; Kosík, O.; Tanaka, R.; Winzell, A.; et al. Suppression of xylan endotransglycosylasePtxtXyn10Aaffects cellulose microfibril angle in secondary wall in aspen wood. New Phytol. 2014, 205, 666–681. [Google Scholar] [CrossRef]
- Li, S.F.; Su, X.H.; Zhang, B.Y.; Huang, Q.J.; Chu, Y.G.; Ding, C.J. Functional identification of wood-property candidate gene PdCYTOB in Populus deltoides. Chin. Bull. Bot. 2011, 46, 642–651. [Google Scholar]
- Li, S.; Su, X.; Zhang, B.; Huang, Q.; Hu, Z.; Lu, M. Molecular cloning and functional analysis of the Populus deltoides remorin gene PdREM. Tree Physiol. 2013, 33, 1111–1121. [Google Scholar] [CrossRef] [PubMed][Green Version]
- Coleman, H.D.; Yan, J.; Mansfield, S.D. Sucrose synthase affects carbon partitioning to increase cellulose production and altered cell wall ultrastructure. Proc. Natl. Acad. Sci. USA 2009, 106, 13118–13123. [Google Scholar] [CrossRef] [PubMed]
- Zhong, R.; Burk, D.H.; Morrison, W.H.; Ye, Z.-H. A Kinesin-Like Protein Is Essential for Oriented Deposition of Cellulose Microfibrils and Cell Wall Strength. Plant Cell 2002, 14, 3101–3117. [Google Scholar] [CrossRef] [PubMed]
- Spokevicius, A.V.; Southerton, S.G.; Macmillan, C.; Qiu, D.; Gan, S.; Tibbits, J.F.; Moran, G.F.; Bossinger, G. β-tubulin affects cellulose microfibril orientation in plant secondary fibre cell walls. Plant J. 2007, 51, 717–726. [Google Scholar] [CrossRef]
- Thumma, B.; Nolan, M.F.; Evans, R.; Moran, G.F. Polymorphisms in Cinnamoyl CoA Reductase (CCR) Are Associated With Variation in Microfibril Angle in Eucalyptus spp. Genetics 2005, 171, 1257–1265. [Google Scholar] [CrossRef]
- Zhou, G.K.; Zhong, R.; Richardson, E.; Morrison, W.; Nairn, C.; Wood-Jones, A.; Ye, Z.H. The Poplar Glycosyltransferase GT47C is Functionally Conserved with Arabidopsis Fragile Fiber8. Plant Cell Physiol. 2006, 47, 1229–1240. [Google Scholar] [CrossRef]
- Sasaki, S.; Baba, K.; Nishida, T.; Tsutsumi, Y.; Kondo, R. The cationic cell-wall-peroxidase having oxidation ability for polymeric substrate participates in the late stage of lignification of Populus alba L. Plant Mol. Biol. 2006, 62, 797–807. [Google Scholar] [CrossRef]
- Yan, L.; Xu, C.; Kang, Y.; Gu, T.; Wang, D.; Zhao, S.; Xia, G. The heterologous expression in Arabidopsis thaliana of sorghum transcription factor SbbHLH1 downregulates lignin synthesis. J. Exp. Bot. 2013, 64, 3021–3032. [Google Scholar] [CrossRef]
- He, Z.-H.; Fujiki, M.; Kohorn, B.D. A Cell Wall-associated, Receptor-like Protein Kinase. J. Biol. Chem. 1996, 271, 19789–19793. [Google Scholar] [CrossRef]
- Hematy, K.; Sado, P.-E.; Van Tuinen, A.; Rochange, S.; Desnos, T.; Balzergue, S.; Pelletier, S.; Renou, J.-P.; Höfte, H. A Receptor-like Kinase Mediates the Response of Arabidopsis Cells to the Inhibition of Cellulose Synthesis. Curr. Biol. 2007, 17, 922–931. [Google Scholar] [CrossRef]
- Chai, G.; Qi, G.; Cao, Y.; Wang, Z.; Yu, L.; Tang, X.; Yu, Y.; Wang, D.; Kong, Y.; Zhou, G. Poplar PdC3H17 and PdC3H18 are direct targets of PdMYB3 and PdMYB21, and positively regulate secondary wall formation in Arabidopsis and poplar. New Phytol. 2014, 203, 520–534. [Google Scholar] [CrossRef] [PubMed]
- Scheible, W.-R.; Pauly, M. Glycosyltransferases and cell wall biosynthesis: Novel players and insights. Curr. Opin. Plant Biol. 2004, 7, 285–295. [Google Scholar] [CrossRef] [PubMed]
- Li, Y.-L.; Sun, J.; Xia, G.-X. Cloning and characterization of a gene for an LRR receptor-like protein kinase associated with cotton fiber development. Mol. Genet. Genom. 2005, 273, 217–224. [Google Scholar] [CrossRef]
- Kobayashi, H.; Fukuda, H. Involvement of calmodulin and calmodulin-binding proteins in the differentiation of tracheary elements in Zinnia cells. Planta 1994, 194, 388–394. [Google Scholar] [CrossRef]
- Barcelo, A.R. Peroxidase and not laccase is the enzyme responsible for cell wall lignification in the secondary thickening of xylem vessels in Lupinus. Protoplasma 1995, 186, 41–44. [Google Scholar]
- Yin, Y.F.; Jiang, X.M. Effect of peroxidase location in cell wall on lignification progress of secondary xylem cell of Populus tomentosa Carr. J. Chin. Electron Microsc. Soc. 2007, 1, 49–54. [Google Scholar]
- Fukuda, H. Programmed cell death during vascular system formation. Cell Death Differ. 1997, 4, 684–688. [Google Scholar] [CrossRef][Green Version]
- Ohashi-lto, K.; Oda, Y.; Fukuda, H. Arabidopsis VASCULAR-RELATED NAG-DOMAIN6 Directly Regulates the Genes That Govern Programmed Cell Death and Secondary Wall Formation during Xylem Differentiation. Plant Cell 2010, 22, 3461–3473. [Google Scholar] [CrossRef] [PubMed]
- Engstrom, E.M.; Andersen, C.M.; Gumulak-Smith, J.; Hu, J.; Orlova, E.; Sozzani, R.; Bowman, J.L. Arabidopsis homologs of the petunia hairy meristem gene are required for maintenance of shoot and root indeterminacy. Plant Physiol. 2010, 155, 735–750. [Google Scholar] [CrossRef] [PubMed]
- Stuurman, J.; Jaggi, F.; Kuhlemeier, C. Shoot meristem maintenance is controlled by a GRAS-gene mediated signal from differentiating cells. Genes Dev. 2002, 16, 2213–2218. [Google Scholar] [CrossRef] [PubMed]
- Ye, Z.; York, W.S.; Darvill, A.G. Important new players in secondary wall synthesis. Trends Plant Sci. 2006, 11, 162–164. [Google Scholar] [CrossRef] [PubMed]
- Zhong, R.; Richardson, E.A.; Ye, Z. Two NAC domain transcription factors, SND1 and NST1, function redundantly in regulation of secondary wall synthesis in fibers of Arabidopsis. Planta 2007, 225, 1603–1611. [Google Scholar] [CrossRef]
- Pyo, H.; Demura, T.; Fukuda, H. Vascular cell expression patterns of Arabidopsis bZIP group I genes. Plant Biotechnol. 2006, 23, 497–501. [Google Scholar] [CrossRef]
- Yang, L.; Zhao, X.; Ran, L.; Li, C.; Fan, D.; Luo, K. PtoMYB156 is involved in negative regulation of phenylpropanoid metabolism and secondary cell wall biosynthesis during wood formation in poplar. Sci. Rep. 2017, 7, 41209. [Google Scholar] [CrossRef] [PubMed]
- McCarthy, R.L.; Zhong, R.; Fowler, S.; Lyskowski, D.; Piyasena, H.; Carleton, K.; Spicer, C.; Ye, Z. The Poplar MYB Transcription Factors, PtrMYB3 and PtrMYB20, are Involved in the Regulation of Secondary Wall Biosynthesis. Plant Cell Physiol. 2010, 51, 1084–1090. [Google Scholar] [CrossRef] [PubMed]
- Hirano, K.; Kotake, T.; Kamihara, K.; Tsuna, K.; Aohara, T.; Kaneko, Y.; Takatsuji, H.; Tsumuraya, Y.; Kawasaki, S. Rice BRITTLE CULM 3 (BC3) encodes a classical dynamin OsDRP2B essential for proper secondary cell wall synthesis. Planta 2010, 232, 95–108. [Google Scholar] [CrossRef]
- Xiong, G.; Li, R.; Qian, Q.; Song, X.; Liu, X.; Yu, Y.; Zeng, D.; Wan, J.; Li, J.; Zhou, Y. The rice dynamin-related protein DRP2B mediates membrane trafficking, and thereby plays a critical role in secondary cell wall cellulose biosynthesis. Plant J. 2010, 64, 56–70. [Google Scholar] [CrossRef]
- Zhang, B.; Su, X.; Zheng, S. Establishment of a highly efficient plant regeneration system of Populus davidiana × P. bolleana and study of its genetic stability. J. Beijing For. Univ. 2008, 30, 68–73. [Google Scholar]
- Brunner, A.M.; Yakovlev, I.; Strauss, S.H. Validating internal controls for quantitative plant gene expression studies. BMC Plant Biol. 2004, 4, 14. [Google Scholar] [CrossRef]
- Livak, K.J.; Schmittgen, T.D. Analysis of Relative Gene Expression Data Using Real-Time Quantitative PCR and the 2−ΔΔCT Method. Methods 2001, 25, 402–408. [Google Scholar] [CrossRef]
- Radonic, A.; Thulke, S.; Mackay, I.M.; Landt, O.; Siegert, W.; Nitsche, A. Guideline to reference gene selection for quantitative real-time PCR. Biochem. Biophys. Res. Commun. 2004, 313, 856–862. [Google Scholar] [CrossRef]
- Iida, A.; Seki, M.; Kamada, M.; Yamada, Y.; Morikawa, H. Gene delivery into cultured plant cells by DNA-coated gold particles accelerated by a pneumatic particle gun. Theor. Appl. Genet. 1990, 80, 813–816. [Google Scholar] [CrossRef]
- Franklin, G.L. Preparation of Thin Sections of Synthetic Resins and Wood-Resin Composites, and a New Macerating Method for Wood. Nature 1945, 155, 51. [Google Scholar] [CrossRef]
- Whiting, P.; Favis, B.D.; St-Germain, F.G.T.; Goring, D.A.I. Fractional Separation of Middle Lamella and Secondary Wall Tissue From Spruce Wood. J. Wood Chem. Technol. 1981, 1, 29–42. [Google Scholar] [CrossRef]
- Chen, T. Uncertainty evaluation of determination of nitrogen, carbon and hydrogen in fir with elemental analyzer. Shandong Chem. Ind. 2015, 44, 70–71. [Google Scholar]
- Kumar, S.; Stecher, G.; Tamura, K. MEGA7, Molecular evolutionary genetics analysis version 7.0 for bigger datasets. Mol. Biol. Evol. 2016, 33, 1870. [Google Scholar] [CrossRef]
- Yang, Y.; Li, R.; Qi, M. In vivo analysis of plant promoters and transcription factors by agroinfiltration of tobacco leaves. Plant J. 2000, 22, 543–551. [Google Scholar] [CrossRef]
- Jefferson, R.; Kavanagh, T.A.; Bevan, M. GUS fusions: Beta-glucuronidase as a sensitive and versatile gene fusion marker in higher plants. EMBO J. 1987, 6, 3901–3907. [Google Scholar] [CrossRef]
- Tuskan, G.A.; DiFazio, S.; Jansson, S.; Bohlmann, J.; Grigoriev, I.V.; Hellsten, U.; Putnam, N.H.; Ralph, S.; Rombauts, S.; Salamov, A.; et al. The Genome of Black Cottonwood, Populus trichocarpa (Torr. & Gray). Science 2006, 313, 1596–1604. [Google Scholar] [CrossRef]
- Shannon, P.; Markiel, A.; Ozier, O.; Baliga, N.S.; Wang, J.T.; Ramage, D.; Amin, N.; Schwikowski, B.; Ideker, T. Cytoscape: A Software Environment for Integrated Models of Biomolecular Interaction Networks. Genome Res. 2003, 13, 2498–2504. [Google Scholar] [CrossRef] [PubMed]









| Gene Name | Gene ID | Arabidopsis Orthologs | Description | Reference |
|---|---|---|---|---|
| PtrXYL5 | Potri.018G009300 | AT4G31590 | Poplar glycosyltransferase is involved in the process of wood formation. | [57] |
| PtrbHLH110 | Potri.005G230800 | AT1G27660 | The bHLH transcription factor regulates early xylem development. | [59] |
| PtrbHLH71 | Potri.005G071100 | AT3G24140 | ||
| PtrSER6 | Potri.014G026100 | AT4G02630 | The protein kinase family protein is associated with cell wall formation. | [60,61] |
| PtrZF4 | Potri.008G055100 | AT5G02460 | Zinc finger protein inducing secondary cell wall thickening in stem. | [62] |
| PtrGLY48 | Potri.005G058300 | AT2G13680 | Glycosyl transferases participate in cell wall biosynthesis. | [63] |
| PtrPK9 | Potri.001G117800 | AT4G22730 | Leucine-rich-repeat receptor-like kinase associated with fiber development and secondary cell wall formation. | [64] |
| PtrLRR5 | Potri.003G179100 | AT1G80630 | A calmodulin-binding proteins involved in the differentiation of tracheary elements. | [65] |
| PtrPOD3 | Potri.003G214700 | AT5G06720 | Peroxidase is responsible for cell wall lignification. | [58,66,67] |
| PtrPCD2 | Potri.011G001800 | AT4G21890 | Differentiation of procambial or cambial cells to tracheary elements is a typical example of programmed cell death in higher plants. | [68,69] |
| PtrGRAS5 | Potri.003G202100 | AT1G50420 | GRAS proteins are required for maintenance of shoots and root indeterminacy. | [70,71] |
| PtrGLU2 | Potri.006G116900 | AT5G03760 | Glucomannan-synthases are believed to have a role in hemicellulose biosynthesis. | [72] |
| PtrPP2 | Potri.012G120400 | AT4G19840 | Several phloem proteins are cell-wall proteins. | [32] |
| PtrNAC75 | Potri.018G068700 | AT4G29230 | NACs are involved in the regulation of secondary cell wall biosynthesis. | [18,73] |
| PtrBEL1 | Potri.010G197300 | AT5G02030 | BEL1 interacts with proteins related to wood formation to regulate secondary cell wall formation. | [21] |
| PtrbZIP42 | Potri.017G106700 | AT3G30530 | BZIPs show vascular cell expression patterns and can bind to a regulatory element that controls xylem-specific gene expression. | [74] |
| PtrMYB12 | Potri.002G168900 | AT5G53200 | MYB is involved in the regulation of secondary cell wall biosynthesis. | [75,76] |
| PtrMYB308 | Potri.018G005300 | AT5G35550 | ||
| PtrDyn8 | Potri.003G024900 | AT1G60500 | Dynamin is essential for proper secondary cell wall synthesis. | [77,78] |
© 2020 by the authors. Licensee MDPI, Basel, Switzerland. This article is an open access article distributed under the terms and conditions of the Creative Commons Attribution (CC BY) license (http://creativecommons.org/licenses/by/4.0/).
Share and Cite
Li, S.; Zhang, Y.; Xin, X.; Ding, C.; Lv, F.; Mo, W.; Xia, Y.; Wang, S.; Cai, J.; Sun, L.; et al. The Osmotin-Like Protein Gene PdOLP1 Is Involved in Secondary Cell Wall Biosynthesis during Wood Formation in Poplar. Int. J. Mol. Sci. 2020, 21, 3993. https://doi.org/10.3390/ijms21113993
Li S, Zhang Y, Xin X, Ding C, Lv F, Mo W, Xia Y, Wang S, Cai J, Sun L, et al. The Osmotin-Like Protein Gene PdOLP1 Is Involved in Secondary Cell Wall Biosynthesis during Wood Formation in Poplar. International Journal of Molecular Sciences. 2020; 21(11):3993. https://doi.org/10.3390/ijms21113993
Chicago/Turabian StyleLi, Shaofeng, Yaoxiang Zhang, Xuebing Xin, Changjun Ding, Fuling Lv, Wenjuan Mo, Yongxiu Xia, Shaoli Wang, Jingyan Cai, Lifang Sun, and et al. 2020. "The Osmotin-Like Protein Gene PdOLP1 Is Involved in Secondary Cell Wall Biosynthesis during Wood Formation in Poplar" International Journal of Molecular Sciences 21, no. 11: 3993. https://doi.org/10.3390/ijms21113993
APA StyleLi, S., Zhang, Y., Xin, X., Ding, C., Lv, F., Mo, W., Xia, Y., Wang, S., Cai, J., Sun, L., Du, M., Dong, C., Gao, X., Dai, X., Zhang, J., & Sun, J. (2020). The Osmotin-Like Protein Gene PdOLP1 Is Involved in Secondary Cell Wall Biosynthesis during Wood Formation in Poplar. International Journal of Molecular Sciences, 21(11), 3993. https://doi.org/10.3390/ijms21113993
