High Mitochondrial DNA Copy Number and Bioenergetic Function Are Associated with Tumor Invasion of Esophageal Squamous Cell Carcinoma Cell Lines
Abstract
:1. Introduction
2. Results and Discussion
2.1. The Distribution of Relative mtDNA Copy Numbers of the 7 ESCC Cell Lines
2.2. Relative mtDNA Copy Number and Mitochondrial Bioenergetic Function of the Seven ESCC Cell Lines
2.3. Expression Levels of Proteins and mtDNA Encoded mRNAs Related to Mitochondrial Biogenetic Function among the Seven ESCC Cell Lines
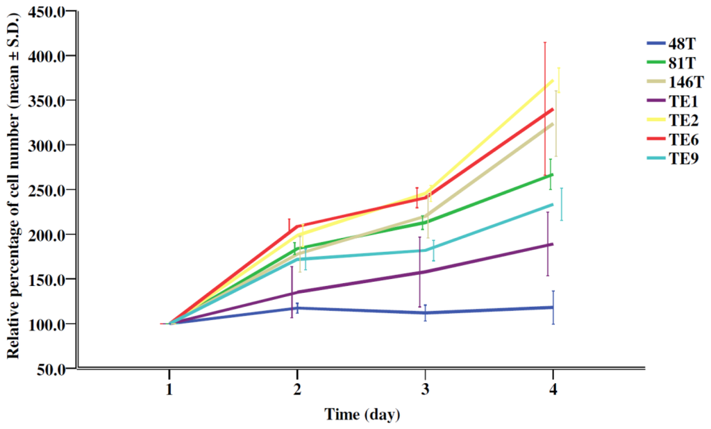
2.4. Trans-Well Migration Activity, Expression of Epithelial-Mesenchymal Transition (EMT) Markers and Growth Kinetics of the 7 ESCC Cell Lines
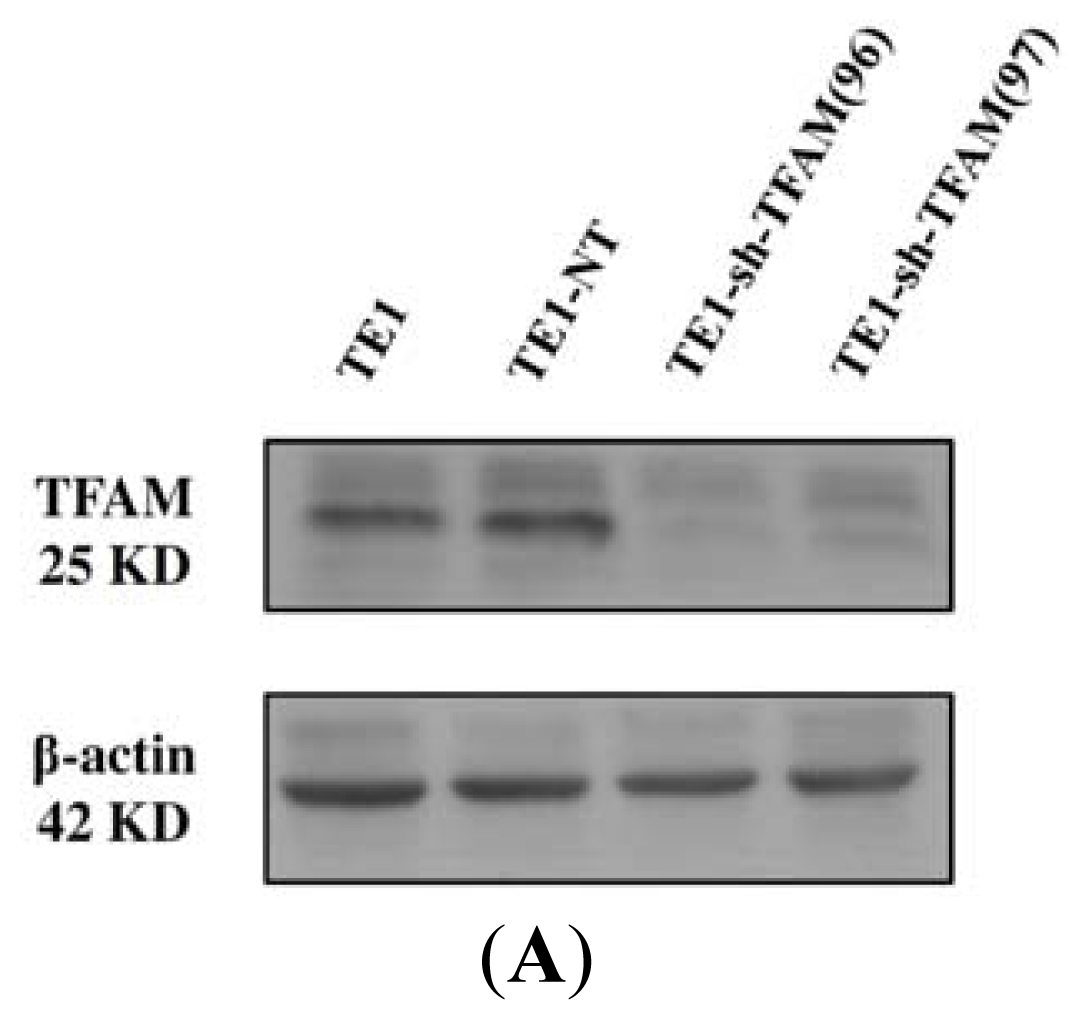
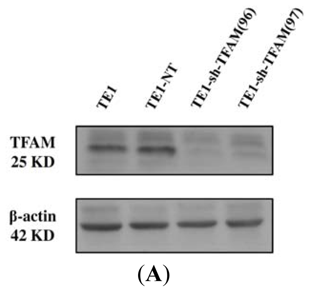
2.5. Knockdown Efficiency of TFAM and Its Effect on Growth Kinetics of ESCC
2.6. Comparisons of Mitochondrial Bioenergetic Function among Parental TE1, Control TE1-NT and TFAM Knockdown TE1-sh-TFAM(97) Cells
2.7. Alterations in Metabolism, Trans-Well Migration and Expression of Epithelial–Mesenchymal Transition Markers in Parental TE1, Control TE1-NT and TFAM Knockdown TE1-sh-TFAM(97) Cells
3. Experimental Section
3.1. Extraction of Total Cellular DNA, DNA Free RNA and Protein
3.2. Determination of the Relative mtDNA Copy Number, mtDNA-Encoded mRNA and Protein Expression Levels
3.3. Oxygen Consumption Rate
3.4. Lactate Concentration
3.5. Intracellular ATP Content
3.6. Trans-Well Migration Activity
3.7. Growth Kinetics
3.8. Virus Infection to Set up TFAM Knockdown ESCC Cells
3.9. Statistical Analysis
4. Conclusions
Acknowledgments
References
- Li, J.Y.; Liu, B.Q.; Li, G.Y.; Chen, Z.J.; Sun, X.I.; Rong, S.D. Atlas of cancer mortality in the People’s Republic of China. An aid for cancer control and research. Int. J. Epidemiol 1981, 10, 127–133. [Google Scholar]
- Li, J.Y. Cancer mapping as an epidemiologic research resource in China. Recent Results Cancer Res 1989, 114, 115–136. [Google Scholar]
- Law, S.; Wong, J. Esophageal cancer surgery: Lessons from 1200 resections. Hawaii Med. J 2004, 63, 203–205. [Google Scholar]
- Wu, I.C.; Lu, C.Y.; Kuo, F.C.; Tsai, S.M.; Lee, K.W.; Kuo, W.R.; Cheng, Y.J.; Kao, E.L.; Yang, M.S.; Ko, Y.C. Interaction between cigarette, alcohol and betel nut use on esophageal cancer risk in Taiwan. Eur. J. Clin. Invest 2006, 36, 236–241. [Google Scholar]
- Lin, C.S.; Chang, S.C.; Wei, Y.H.; Chou, T.Y.; Wu, Y.C.; Lin, H.C.; Wang, L.S.; Hsu, W.H. Prognostic variables in thoracic esophageal squamous cell carcinoma. Ann. Thorac. Surg 2009, 87, 1056–1065. [Google Scholar]
- Lin, C.S.; Chang, S.C.; Wang, L.S.; Chou, T.Y.; Hsu, W.H.; Wu, Y.C.; Wei, Y.H. The role of mitochondrial DNA alterations in esophageal squamous cell carcinomas. J. Thorac. Cardiovascular Surg 2010, 139, 189–197. [Google Scholar]
- Lee, H.C.; Wei, Y.H. Mitochondrial role in life and death of the cell. J. Biomed. Sci 2000, 7, 2–15. [Google Scholar]
- Lodish, H.; Berk, A.; Matsudaira, P.; Kaiser, C.A.; Krieger, M.; Scott, M.P.; Zipursky, S.L.; Darnell, J. Molecular Cell Biology; WH Freeman: New York, NY, USA, 2004; pp. 301–347. [Google Scholar]
- Warburg, O. On respiratory impairment in cancer cells. Science 1956, 124, 269–270. [Google Scholar]
- Warburg, O. On the origin of cancer cells. Science 1956, 123, 309–314. [Google Scholar]
- Warburg, O. Origin of cancer cells. Oncologia 1956, 9, 75–83. [Google Scholar]
- Kim, J.W.; Dang, C.V. Cancer’s molecular sweet tooth and the Warburg effect. Cancer Res 2006, 66, 8927–8930. [Google Scholar]
- Chan, D.C. Mitochondria: Dynamic organelles in disease, aging, and development. Cell 2006, 125, 1241–1252. [Google Scholar]
- Lee, H.C.; Wei, Y.H. Mitochondrial biogenesis and mitochondrial DNA maintenance of mammalian cells under oxidative stress. Int. J. Biochem. Cell Biol 2005, 37, 822–834. [Google Scholar]
- Andrews, R.M.; Kubacka, I.; Chinnery, P.F.; Lightowlers, R.N.; Turnbull, D.M.; Howell, N. Reanalysis and revision of the Cambridge reference sequence for human mitochondrial DNA. Nat. Genet 1999, 23, 147. [Google Scholar]
- Lecrenier, N.; Foury, F. New features of mitochondrial DNA replication system in yeast and man. Gene 2000, 246, 37–48. [Google Scholar]
- Moraes, C.T. What regulates mitochondrial DNA copy number in animal cells? Trends Genet 2001, 17, 199–205. [Google Scholar]
- Asin-Cayuela, J.; Gustafsson, C.M. Mitochondrial transcription and its regulation in mammalian cells. Trends Biochem. Sci 2007, 32, 111–117. [Google Scholar]
- Ekstrand, M.I.; Falkenberg, M.; Rantanen, A.; Park, C.B.; Gaspari, M.; Hultenby, K.; Rustin, P.; Gustafsson, C.M.; Larsson, N.G. Mitochondrial transcription factor A regulates mtDNA copy number in mammals. Hum. Mol. Genet 2004, 13, 935–944. [Google Scholar]
- Lee, H.C.; Yin, P.H.; Lin, J.C.; Wu, C.C.; Chen, C.Y.; Wu, C.W.; Chi, C.W.; Tam, T.N.; Wei, Y.H. Mitochondrial genome instability and mtDNA depletion in human cancers. Ann. N. Y. Acad. Sci 2005, 1042, 109–122. [Google Scholar]
- Wu, C.W.; Yin, P.H.; Hung, W.Y.; Li, A.F.; Li, S.H.; Chi, C.W.; Wei, Y.H.; Lee, H.C. Mitochondrial DNA mutations and mitochondrial DNA depletion in gastric cancer. Genes Chromosom. Cancer 2005, 44, 19–28. [Google Scholar]
- Tseng, L.M.; Yin, P.H.; Chi, C.W.; Hsu, C.Y.; Wu, C.W.; Lee, L.M.; Wei, Y.H.; Lee, H.C. Mitochondrial DNA mutations and mitochondrial DNA depletion in breast cancer. Genes Chromosom. Cancer 2006, 45, 629–638. [Google Scholar]
- Kim, M.M.; Clinger, J.D.; Masayesva, B.G.; Ha, P.K.; Zahurak, M.L.; Westra, W.H.; Califano, J.A. Mitochondrial DNA quantity increases with histopathologic grade in premalignant and malignant head and neck lesions. Clin. Cancer Res 2004, 10, 8512–8515. [Google Scholar]
- Hu, C.P.; Hsieh, H.G.; Chien, K.Y.; Wang, P.Y.; Wang, C.I.; Chen, C.Y.; Lo, S.J.; Wuu, K.D.; Chang, C.M. Biologic properties of three newly established human esophageal carcinoma cell lines. J. Natl. Cancer Inst 1984, 72, 577–583. [Google Scholar]
- Nishihira, T.; Hashimoto, Y.; Katayama, M.; Mori, S.; Kuroki, T. Molecular and cellular features of esophageal cancer cells. J. Cancer Res. Clin. Oncol 1993, 119, 441–449. [Google Scholar]
- Heddi, A.; Lestienne, P.; Wallace, D.C.; Stepien, G. Mitochondrial DNA expression in mitochondrial myopathies and coordinated expression of nuclear genes involved in ATP production. J. Biol. Chem 1993, 268, 12156–12163. [Google Scholar]
- Inoue, S.; Yokota, M.; Nakada, K.; Miyoshi, H.; Hayashi, J. Pathogenic mitochondrial DNA-induced respiration defects in hematopoietic cells result in anemia by suppressing erythroid differentiation. FEBS Lett 2007, 581, 1910–1916. [Google Scholar]
- Gladden, L.B. Lactate metabolism: A new paradigm for the third millennium. J. Physiol 2004, 558, 5–30. [Google Scholar]
- Goldman, R.D.; Kaplan, N.O.; Hall, T.C. Lactic dehydrogenase in human neoplastic tissues. Cancer Res 1964, 24, 389–399. [Google Scholar]
- Giatromanolaki, A.; Sivridis, E.; Gatter, K.C.; Turley, H.; Harris, A.L.; Koukourakis, M.I. Lactate dehydrogenase 5 (LDH-5) expression in endometrial cancer relates to the activated VEGF/VEGFR2(KDR) pathway and prognosis. Gynecol. Oncol 2006, 103, 912–918. [Google Scholar]
- Koukourakis, M.I.; Giatromanolaki, A.; Sivridis, E.; Gatter, K.C.; Harris, A.L. Lactate dehydrogenase 5 expression in operable colorectal cancer: Strong association with survival and activated vascular endothelial growth factor pathway—A report of the tumour angiogenesis research group. J. Clin. Oncol 2006, 24, 4301–4308. [Google Scholar]
- Koukourakis, M.I.; Giatromanolaki, A.; Sivridis, E.; Gatter, K.C.; Harris, A.L. Pyruvate dehydrogenase and pyruvate dehydrogenase kinase expression in non small cell lung cancer and tumor-associated stroma. Neoplasia N. Y 2005, 7, 1–6. [Google Scholar]
- Yilmaz, M.; Christofori, G. EMT, the cytoskeleton, and cancer cell invasion. Cancer Metastasis Rev 2009, 28, 15–33. [Google Scholar]
- Gogvadze, V.; Orrenius, S.; Zhivotovsky, B. Mitochondria in cancer cells: What is so special about them? Trends Cell Biol 2008, 18, 165–173. [Google Scholar]
- Gogvadze, V.; Zhivotovsky, B.; Orrenius, S. The Warburg effect and mitochondrial stability in cancer cells. Mol. Asp. Med 2010, 31, 60–74. [Google Scholar]
- Pedersen, P.L. Warburg, me and Hexokinase 2: Multiple discoveries of key molecular events underlying one of cancers’ most common phenotypes, the “Warburg Effect”, i.e., elevated glycolysis in the presence of oxygen. J. Bioenerget. Biomembr 2007, 39, 211–222. [Google Scholar]
- Gogvadze, V.; Zhivotovsky, B. Alteration of mitochondrial function and cell sensitization to death. J. Bioenerget. Biomembr 2007, 39, 23–30. [Google Scholar]
- DeBerardinis, R.J.; Cheng, T. Q’s next: The diverse functions of glutamine in metabolism, cell biology and cancer. Oncogene 2010, 29, 313–324. [Google Scholar]
- Liu, C.S.; Kuo, C.L.; Cheng, W.L.; Huang, C.S.; Lee, C.F.; Wei, Y.H. Alteration of the copy number of mitochondrial DNA in leukocytes of patients with hyperlipidemia. Ann. N. Y. Acad. Sci 2005, 1042, 70–75. [Google Scholar]
- Chomczynski, P.; Mackey, K. Short technical reports. Modification of the TRI reagent procedure for isolation of RNA from polysaccharide- and proteoglycan-rich sources. BioTechniques 1995, 19, 942–945. [Google Scholar]
- Chen, C.T.; Shih, Y.R.; Kuo, T.K.; Lee, O.K.; Wei, Y.H. Coordinated changes of mitochondrial biogenesis and antioxidant enzymes during osteogenic differentiation of human mesenchymal stem cells. Stem Cells 2008, 26, 960–968. [Google Scholar]
- Lin, C.S.; Wang, L.S.; Tsai, C.M.; Wei, Y.H. Low copy number and low oxidative damage of mitochondrial DNA are associated with tumor progression in lung cancer tissues after neoadjuvant chemotherapy. Interact. Cardio.Vasc. Thorac. Surg 2008, 7, 954–958. [Google Scholar]
- Ma, Y.S.; Wu, S.B.; Lee, W.Y.; Cheng, J.S.; Wei, Y.H. Response to the increase of oxidative stress and mutation of mitochondrial DNA in aging. Biochim. Biophys. Acta 2009, 1790, 1021–1029. [Google Scholar]
- Bai, R.K.; Perng, C.L.; Hsu, C.H.; Wong, L.J. Quantitative PCR analysis of mitochondrial DNA content in patients with mitochondrial disease. Ann. N. Y. Acad. Sci 2004, 1011, 304–309. [Google Scholar]
- Chang, C.C.; Yang, S.H.; Chien, C.C.; Chen, S.H.; Pan, S.; Lee, C.L.; Lin, C.M.; Sun, H.L.; Huang, C.C.; Wu, Y.Y.; et al. Clinical meaning of age-related expression of fecal cytokeratin 19 in colorectal malignancy. BMC Cancer 2009, 9, 376. [Google Scholar]
- Jeng, J.Y.; Yeh, T.S.; Lee, J.W.; Lin, S.H.; Fong, T.H.; Hsieh, R.H. Maintenance of mitochondrial DNA copy number and expression are essential for preservation of mitochondrial function and cell growth. J. Cell. Biochem 2008, 103, 347–357. [Google Scholar]
- Senger, D.R.; Perruzzi, C.A.; Streit, M.; Koteliansky, V.E.; de Fougerolles, A.R.; Detmar, M. The alpha(1)beta(1) and alpha(2)beta(1) integrins provide critical support for vascular endothelial growth factor signaling, endothelial cell migration, and tumor angiogenesis. Am. J. Pathol 2002, 160, 195–204. [Google Scholar]
- Larson, E.M.; Doughman, D.J.; Gregerson, D.S.; Obritsch, W.F. A new, simple, nonradioactive, nontoxic in vitro assay to monitor corneal endothelial cell viability. Invest. Ophthalmol. Vis. Sci 1997, 38, 1929–1933. [Google Scholar]






| Cell lines | p-Value | |||||||
|---|---|---|---|---|---|---|---|---|
| Biological variables | 48T | 81T | 146T | TE1 | TE2 | TE6 | TE9 | ANOVA |
| Relative mtDNA copy number (%) * | 108.9 ± 43.8 | 79.4 ± 3.5 | 79.7 ± 7.9 | 240.7 ± 54.2 | 73.2 ± 14.0 | 98.0 ± 42.9 | 121.8 ± 26.0 | <0.001 |
| Relative mRNA expression level † | ||||||||
| ND1 (mtDNA encoded ND1 gene) | 1.71 ± 0.29 | 0.74 ± 0.32 | 0.91 ± 0.30 | 2.80 ± 0.73 | 0.75 ± 0.20 | 0.53 ± 0.16 | 1.65 ± 0.59 | <0.001 |
| Oxygen consumption (nmol/min/106 cells) | - | - | - | - | - | - | - | - |
| Succinate-supported | 6.86 ± 0.56 | 10.03 ± 0.16 | 10.22 ± 1.10 | 11.21 ± 0.11 | 8.10 ± 0.69 | 10.52 ± 0.82 | 8.18 ± 0.41 | <0.001 |
| ATP content (fmol/cell) | 8.10 ± 0.36 | 8.50 ± 0.40 | 5.57 ± 0.21 | 10.67 ± 0.51 | 7.17 ± 0.29 | 5.20 ± 0.10 | 6.50 ± 0.30 | <0.001 |
| Lactate concentration (mM) | 4.02 ± 0.03 | 4.79 ± 0.10 | 4.06 ± 0.27 | 3.34 ± 0.05 | 3.58 ± 0.12 | 4.37 ± 0.18 | 6.29 ± 0.29 | <0.001 |
| Transwell migration (cells/field) | 54.7 ± 2.3 | 41.7 ± 3.5 | 5.7 ± 1.5 | 223.0 ± 15.9 | 3.7 ± 1.5 | 4.0 ± 1.0 | 103.0 ± 12.3 | <0.001 |
| Biological variables | Cell line | p-Value, t-test | p-Value, t-test | ||
|---|---|---|---|---|---|
| TE1 | TE1-NT | TE1-sh-TFAM(97) | TE1 vs. TE1-NT | TE1-NT vs. TE1-sh-TFAM(97) | |
| Relative mtDNA copy number (%) * | 221.7 ± 9.8 | 227.8 ± 5.1 | 152.5 ± 13.4 | 0.403 | 0.001 |
| Relative mRNA expression levels † | - | - | - | - | - |
| ND1 (mtDNA encoded ND1 gene) | 3.12 ± 1.04 | 2.90 ± 1.13 | 1.70 ± 0.11 | 0.823 | 0.050 |
| Oxygen consumption (nmol/min/106 cells) | - | - | - | - | - |
| Succinate-supported | 8.36 ± 0.94 | 8.66 ± 1.16 | 6.36 ± 1.07 | 0.747 | 0.065 |
| ATP content (fmol/cell) | 10.13 ± 0.67 | 9.90 ± 0.44 | 7.27 ± 0.76 | 0.642 | 0.007 |
| Lactate concentration (mM) | 3.39 ± 0.19 | 3.36 ± 0.12 | 4.31 ± 0.34 | 0.826 | 0.010 |
| Trans-well migration (cells/field) | 230.7 ± 9.6 | 224.7 ± 6.5 | 95.7 ± 7.2 | 0.428 | <0.001 |
© 2012 by the authors; licensee Molecular Diversity Preservation International, Basel, Switzerland. This article is an open-access article distributed under the terms and conditions of the Creative Commons Attribution license (http://creativecommons.org/licenses/by/3.0/).
Share and Cite
Lin, C.-S.; Lee, H.-T.; Lee, S.-Y.; Shen, Y.-A.; Wang, L.-S.; Chen, Y.-J.; Wei, Y.-H. High Mitochondrial DNA Copy Number and Bioenergetic Function Are Associated with Tumor Invasion of Esophageal Squamous Cell Carcinoma Cell Lines. Int. J. Mol. Sci. 2012, 13, 11228-11246. https://doi.org/10.3390/ijms130911228
Lin C-S, Lee H-T, Lee S-Y, Shen Y-A, Wang L-S, Chen Y-J, Wei Y-H. High Mitochondrial DNA Copy Number and Bioenergetic Function Are Associated with Tumor Invasion of Esophageal Squamous Cell Carcinoma Cell Lines. International Journal of Molecular Sciences. 2012; 13(9):11228-11246. https://doi.org/10.3390/ijms130911228
Chicago/Turabian StyleLin, Chen-Sung, Hui-Ting Lee, Shu-Yu Lee, Yao-An Shen, Liang-Shun Wang, Yann-Jang Chen, and Yau-Huei Wei. 2012. "High Mitochondrial DNA Copy Number and Bioenergetic Function Are Associated with Tumor Invasion of Esophageal Squamous Cell Carcinoma Cell Lines" International Journal of Molecular Sciences 13, no. 9: 11228-11246. https://doi.org/10.3390/ijms130911228
APA StyleLin, C.-S., Lee, H.-T., Lee, S.-Y., Shen, Y.-A., Wang, L.-S., Chen, Y.-J., & Wei, Y.-H. (2012). High Mitochondrial DNA Copy Number and Bioenergetic Function Are Associated with Tumor Invasion of Esophageal Squamous Cell Carcinoma Cell Lines. International Journal of Molecular Sciences, 13(9), 11228-11246. https://doi.org/10.3390/ijms130911228
