Abstract
The syntheses of some new sugar-based monocyclic β-lactams possessing several other functionalities in addition to the carbohydrate moiety are described. The key step was the Staudinger [2+2] cycloaddition of chiral carbohydrate Schiff base 5 with phthalimidoacetyl chloride to yield the sugar-based monocyclic β-lactam 6 as a single isomer. Treatment of protected β-lactams 6 and 8 with methylhydrazine afforded the free amino β-lactams 9 and 10. Acylation of these free amino β-lactams with benzoyl, phenoxyacetyl, cinnamoyl and phenylacetyl chloride in the presence of pyridine afforded β-lactams 11a-d and 12a-d. Some of these novel β-lactams were found to be active against Staphilococcus citrus, Klebsiella pneumoniae, Escherichia coli and Bacillus subtilis.
Introduction
β-Lactam antibiotics have been successfully used in the treatment of infectious diseases for many years [1]. Despite the large number of compounds containing a β-lactam moiety that have already been synthesized and tested, there is still a need for new compounds of this kind [2] due to the increasing resistance of bacterial strains to certain types of antibiotics [3]. A class of β-lactams known as the monocyclic β-lactams, which includes compounds such as the nocardicins, aztreonam and carumonam, has been described for their chemotherapeutic importance as antibiotics [4,5,6,7]. On the other hand, during the past few years carbohydrates have received increasing attention as stereodifferentiating auxiliaries in stereoselective syntheses [8]. Cephalosporin β-lactams containing carbohydrates have been prepared [9]. A monocyclic β-lactam containing a carbohydrate moiety resulting from the reaction of phthalimido-acetyl chloride with the imine of D-glucosamine and cinnamaldehyde has been reported [10]. The monocyclic β-lactam derived from the imine of the amino acid D-threonine upon treatment with azidoacetyl chloride and triethylamine has been reported by Bose [11]. Gunda has reported the synthesis of monocyclic β-lactams with high diastereoselectivity [12], while Palomo and his co-workers have synthesized monocyclic β-lactams bearing carbohydrate moieties with moderate diastereoselectivity [13]. The recent discovery of new biologically active monocyclic β-lactam compounds displaying activities other than the usual antibiotic one, such as Thrombin [14], Prostate Specific Antigen [15], Human Cytomegalovirus Protease [16] and the Cholesterol Absorption inhibitors [17] is also interesting. The presence of a carbohydrate moiety side chain in a drug may also overcome the frequently observed water insolubility problem [18]. With all this in mind, we focused on the synthesis of some novel sugar based monocyclic β-lactams. Of these new β-lactams, compounds 6, 7, 8, 11a-d and 12a-d were tested against Bacillus subtilis, Klebsiella pneumoniae, Escherichia coli and Staphilococcus citrus.
Results and Discussion
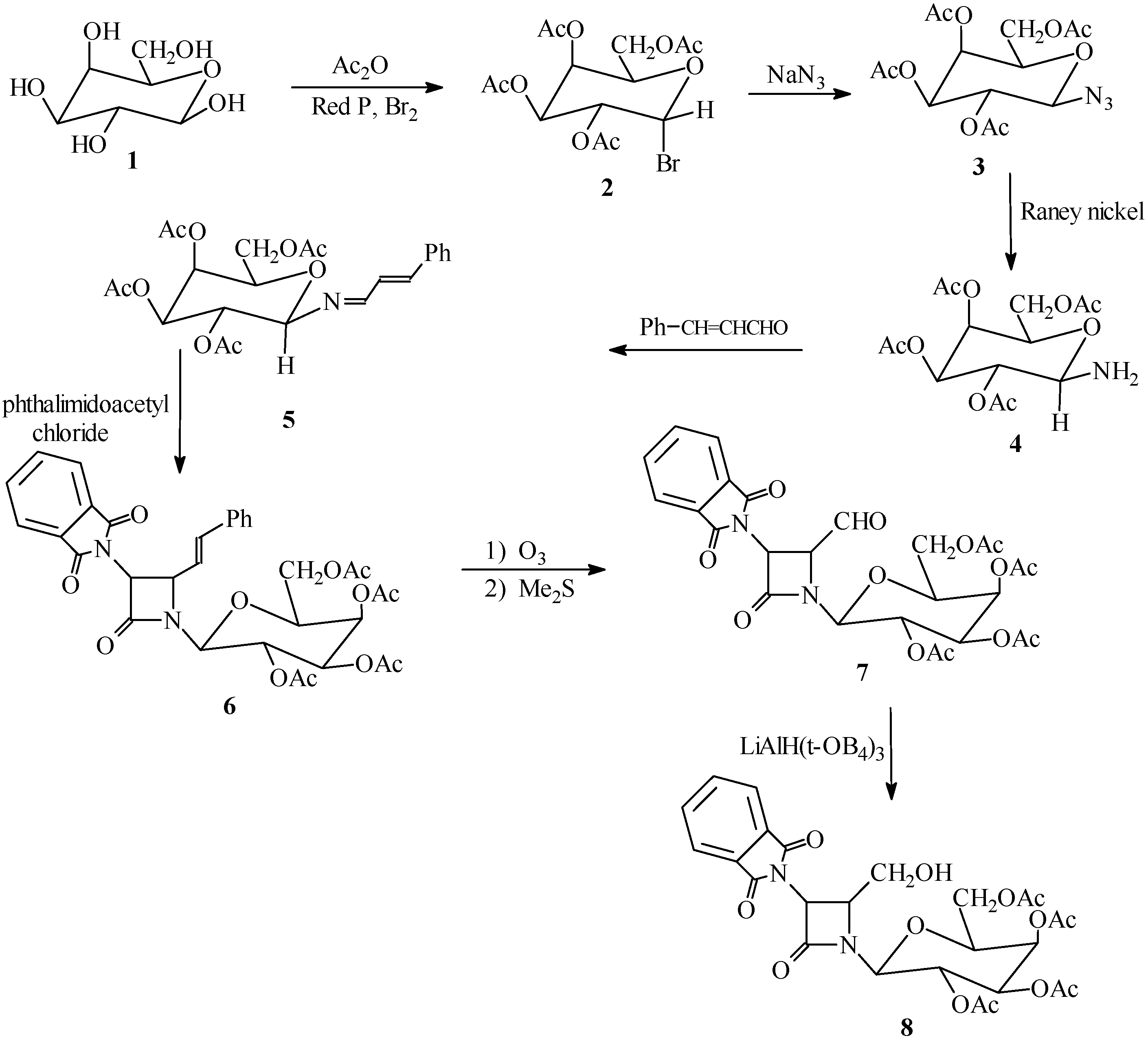
D-(+)-Galactose (1) was chosen as the starting material for these studies. It was converted into 2,3,4,6-tetra-O-acetyl-α-D-galactopyranosyl bromide (2) according to a reported method [19]. The thermodynamically more stable α-anomer was formed. The halogen in the acylgalactosyl halide is reactive and may be readily displaced by an azido group. Thus, treatment of 2 with sodium azide in 9:1 acetone-water for 5h at reflux temperature gave 2,3,4,6-tetra-O-acetyl-β-D-galactopyranosyl azide (3) as a white crystalline substance in 70% yield (Scheme 1). In the case of the D-galactose derivative, the replacement involves inversion of configuration at the anomeric site and thus the α-galactopyranosyl halide 2 yields a β‑galactosyl azide 3. The presence of the protecting acyl groups in the acylgalactosyl halide ensures that the pyranose ring structure is retained. Heterogeneous reduction of the azide group of 3 with Raney Nickel in ethyl acetate under reflux for 2.5h resulted in a 90% yield of 2,3,4,6-tetra-O-acetyl-β-D-galactopyranosyl amine (4). The Schiff base β-D-galactopyranosyl amino-(N-cinnamyl-idene)-2,3,4,6-tetra-O-acetate (5) was prepared in quantitative yield by treatment of 4 with cinnamaldehyde in refluxing dry dichloromethane in the presence of anhydrous Na2SO4. The β‑D-galactopyranosyl imine 5 has a predominant E-configuration [20]. Compound 5 was next treated with phthalimidoacetyl chloride in the presence of triethylamine in dry CH2Cl2 at -10 °C to give 1‑[(2,3,4,6-tetra-O-acetyl-β-D-galactopyranosyl)-3-phthalimido-4-styryl]azetidin-2-one (6) in 75% yield. The ozonolysis of the styryl group of 6 at -78 °C in dry CH2Cl2 afforded 1‑[(2,3,4,6-tetra-O-acetyl-β-D-galactopyranosyl-3-phthalimido-4-formyl]azetidin-2-one (7) in 90% yield. Reduction of 7 using LiAlH(t-OBu)3 in dry THF at 0 °C gave 1-[(2,3,4,6-tetra-O-acetyl-β-D-galactopyranosyl)-3-phthalimido-4-hydroxymethyl]-azetidin-2-one (8) in 60% yield (Scheme 1).
Scheme 1.
Scheme 1.

Next we turned our attention to the removal of the phthalimido protecting group. Methylhydrazine is the most suitable deprotecting agent [21,22,23,24] among the various different methods available for the removal of this protecting group. Indeed, a significant improvement in the yield and in the ease of isolation of the free amino β-lactam is achieved when methylhydrazine is employed instead of hydrazine. This is attributed to the fact that because of the decreased acidity of the by-product N‑methylphthalhydrazide (with respect to phthalhydrazide), no complex is formed with the free amine and therefore no heating or acid treatment of the reaction mixture is required. N-methylphthalhydrazide separates from a chloroform solution of the methylhydrazine-phthalisoimide adduct leaving the free amine in solution. The advantages of using methylphydrazine are thus particularly noticeable when applied to the dephthaloylation of more sensitive substrates [23].
Compounds 6 and 8 were thus converted into the free amino β-lactams 9 and 10, respectively, by treatment with methylhydrazine in ethanol [Scheme 2]. Finaly, treatment of these free amino monocyclic β-lactams with benzoyl, phenoxyacetyl, phenylacetyl and cinnamoyl chloride in the presence of pyridine afforded β-lactams 11a-d and 12a-d (Scheme 2).
Scheme 2.
Scheme 2.

Biological Screening: Antimicrobial Activity Tests.
There has been a suggestion that the bacteria may utilize a carbohydrate uptake mechanism, which allows for a better transport of the monocyclic β-lactams across the membrane. The antibacterial activities of compounds 6, 7, 8, 11a-d and 12a-d were tested against one strain each of a Gram +ve bacteria (Staphylococcus citrus), a Gram -ve bacteria (Escherichia Coli), a Gram ‑ve containing capsule (Klebsiella) and a Gram +ve spore (Bacillus subtilis). From the data presented in Table 1, it is clear that compound 6 was highly active against Staphilococcus citrus, Klebsiella pneumoniae, Escherichia coli and Bacillus subtilis and β-Lactams 12b and 12c were moderately active against these four microorganisms Compounds 8 and 11b were highly active against Bacillus subtilis, while compound 11d was moderately active against B. subtilis. Compounds 11a-d were slightly active against S. citrus. Finally, compounds 7 and 12a were found to be inactive against all microorganisms used.
Table 1.
Results of antimicrobial activity tests of the synthetic monocyclic β-lactams.
| Compound No. | Microorganism | |||
|---|---|---|---|---|
| B. Subtilis | K. Pneumoniae | E. coli | S. citrus | |
| Ampicillin | +++ | +++ | +++ | +++ |
| Gentamycin | +++ | +++ | +++ | +++ |
| 6 | +++ | +++ | +++ | +++ |
| 7 | - | - | - | - |
| 8 | +++ | - | - | + |
| 11a | - | - | - | + |
| 11b | +++ | - | - | + |
| 11c | + | - | - | + |
| 11d | ++ | - | - | + |
| 12a | - | - | - | - |
| 12b | ++ | ++ | ++ | ++ |
| 12c | ++ | ++ | ++ | ++ |
| 12d | + | - | - | - |
- Key to symbols:
- Highly active = +++ (inhibition zone>12 mm)
- Moderately active = ++ (inhibition zone 9-12 mm)
- Slightly active = + (inhibition zone 6-9 mm)
- Inactive = - (inhibition zone<6 mm)
Acknowledgements
The authors wish to express their thanks to Research Council of Shiraz University for financial support (Grant No.81-SC-1540-C-220).
Experimental
General
Melting points were taken in open capillaries on a Buchi 510 circulating oil melting point apparatus and are uncorrected. Infrared spectra (KBr disks) were recorded on a Perkin Elmer 781 spectrophotomer. NMR spectra were recorded on JEOL JNM-EX 90A FT-NMR and Bruker Avance DPX 250 MHz spectrometers. The mass spectra were recorded on a GCMS-QP 1000 EX Shimadzu Gas Chromatography-MS apparatus. The bacterial strains used are susceptible to β-lactam antibiotics.
Synthesis of compounds
2,3,4,6-Tetra-O-acetyl-α-D-galactopyranosyl bromide (2). This compound was prepared according to a literature procedure [19].
2,3,4,6-Tetra-O-acetyl-β-D-galactopyranosyl azide (3). Sodium azide (0.47 g, 7.30 mmol) was added to a solution of 2 (3.00 g, 7.30 mmol) in 9:1 acetone-water (30 mL) and the mixture was refluxed for 10 hours, then stirred at room temperature for 24 hours. The solvent was evaporated. The residue was taken up in CH2Cl2 (30 mL) and washed with H2O (3 x 30 mL), dried (Na2SO4) and filtered. Evaporation of the solvent under reduced pressure afforded a solid. Recrystallization from ether gave 3 as white crystals (70% yield); m.p. 91-92 °C; IR (cm–1): 2140 (N3), 1740-1750 (OCOCH3); 1H‑NMR (CDCl3) δ (ppm): 1.95-2.15 (12H, s, 4COCH3), 3.95-4.21 (3H, m, H2, CH2OAc), 4.35 (1H, t, H3), 5.05-5.20 (2H, m, H4, H5), 5.95(1H, d, H6 ); Anal.(C14H19N3O9), Calc. C, 45.04; H, 5.13; N, 11.26; O, 38.57%, found: C, 45.00; H, 5.18; N, 11.24; O, 38.55%; MS, m/z (%): 373.11 (M+, 100.00), 374.11 (M+1, 16.20).
2,3,4,6-Tetra-O-acetyl-β-D-galactopyranosyl amine (4). To a solution of 3 (6.00 g, 16.07 mmol) in ethyl acetate (50 mL) was added Raney Ni (6.00 g) and the reaction mixture was refluxed for 2.5 hours. The resulting solid was filtered and washed with ether. Recrystallization from ether gave 4 as yellow crystals in 90% yield; m.p. 120-122 °C. IR (cm–1): 3400, 3330 (NH2), 1730-1740 (OCOCH3); 1H-NMR (CDCl3) δ (ppm): 1.95-2.15 (12H, s, 4COCH3), 3.95-4.21 (3H, m, H2, CH2OAc), 4.35 (1H, t, H3), 4.55 (2H, d, NH2), 5.05-5.20 (2H, m, H4, H5), 5.95 (1H, d, H6); Anal., Calc. for C14H21NO9: C, 48.41; H, 6.09; N, 4.03; O, 41.46%, found: C, 48.38; H, 6.05; N, 4.01; O, 41.42%; MS, m/z (%): 347.12 (M+, 100.00), 348.12 (M+1, 15.90).
β-D-galactopyranosylamino-(N-cinnamylidene)-2,3,4,6-tetra-O-acetate (5). A mixture of compound 4 (3.47 g, 10.00 mmol), cinnamaldehyde (1.32 g, 10.00 mmol) and Na2SO4 (15.00 g, 105.61 mmol) in dry CH2Cl2 (40 mL) was refluxed for 5 hours. The resulting mixture was filtered and washed with H2O (3 x 30 mL). The organic layer was separated and dried (Na2SO4). Evaporation of the solvent under reduced pressure gave 5 as a solid which was recrystalized from ether-hexane (1:1) (3.69g, 80.00%); m.p.110-112 °C; IR (cm-1): 1740 (OCOCH3), 1685 (C=C), 1680 (C=N); 1H-NMR (CDCl3) δ (ppm): 1.95-2.15 (12H, s, 4COCH3), 4.20-4.25 (3H, m, H2 and CH2OAc), 4.35 (1H, t, H3), 5.05-5.2 (2H, m, H4, H5), 5.60 (1H, dd, J=8.00 and 16.00 Hz, CH=CHPh), 5.95 (1H, d, H6), 6.60 (1H, d, CH=CHPh), 7.10-7.30 (5H, m, Ph), 7.50 (1H, d, N=CH); Anal. Calc. for C23H27NO9: C, 59.86;H, 5.90; N, 3.04; O, 31.20%, found: C, 59.80; H, 6.10; N, 3.00; O, 31.10%; MS, m/z: 461.11 (M+).
1-[(2,3,4,6-tetra-O-acetyl-β-D-galactopyranosyl)-3-phthalimido-4-styryl]azetidin-2-one (6). A solution of phthalimidoacetyl chloride (7.00 g, 35.00 mmol) in dry CH2Cl2 (50 mL) was added dropwise to a solution of Schiff base 5 (4.61g, 10.00 mmol) and triethylamine (1.01g, 10 mmol) in dry CH2Cl2 (100 mL) at -10 °C. After the addition was complete, the solution was stirred at room temperature for 24 hours and then washed with saturated NaHCO3 solution (2 x 70 mL), water (3 x 50 mL) and brine (70 mL). The organic layer was separated, dried (Na2SO4), filtered and evaporated. Recrystallization from hexane-ether (1:1) gave 6 in 75% yield; m.p. 95-97 °C; IR (cm-1): 1780 (β‑lactam CO), 1760, 1735 (phthalimido CO), 1740 (OCOCH3); 1H-NMR (CDCl3) δ (ppm): 1.95-2.15 (12H, s, 4COCH3), 3.95-4.20 (3H, m, H2,CH2OAc), 4.35 (1H, t, H3), 4.50 (1H, dd, J=5 and J=8Hz, CH‑CH=CH), 4.90 (1H, d, J=5, CH-N(CO)2), 5.05-5.2 (2H, m, H4, H5), 5.95 (1H, d, H6), 6.20 (1H, dd, J=8 and J= 16, CH-CH=CHPh), 6.40 (1H, d, CH=CHPh), 7.10-7.25 (5H, m, Ph), 7.60-7.95 (4H, m, C6H4(CO)2N); Anal. Calc. for C33H33N2O12: C, 61.11; H, 4.97; N, 4.32; O, 29.60%, found: C, 61.02; H, 5.05; N, 4.28; O, 29.70%.
1-[(2,3,4,6-tetra-O-acetyl-β-D-galactopyranosyl)-3-phthalimido-4-formyl]azetidin-2-one (7). A solution of compound 6 (2.00 g, 3.00 mmol) in dry CH2Cl2 (50 mL) was cooled to -78 °C. A stream of ozone was passed through the reaction mixture until a pale blue coloration was observed and then it was purged with nitrogen. A solution of dimethyl sulfide (3 mL) in CH2Cl2 (10 mL) was added dropwise at -78 °C. When the addition was complete, the cooling bath was removed and the solution was stirred at room temperature. The reaction mixture was washed with H2O (3 x 40 mL) and saturated brine (2 x 30 mL). The organic layer was separated and dried (Na2SO4). Evaporation of the solvent gave a syrup. The oily residue was heated under high vacuum for 20 hours at 50 °C to remove the benzaldehyde formed during the ozonolysis. Compound 7 was isolated as a solid and was recrystalized from ether-hexane in 97% yield; m.p. 88-90 °C; IR (cm–1): 1780 (β-lactam CO), 1765, 1730 (phthalimido CO), 1750 (CHO), 1740 (OCOCH3); 1H-NMR (CDCl3) δ (ppm): 1.95-2.15 (12H, s, 4COCH3), 3.95-4.20 (3H, m, H2, CH2OAc), 4.35 (1H, t, H3), 4.70 (1H, dd, J=5Hz, CH-CHO), 4.90 (1H, d, J=5Hz, CH-N(CO)2), 5.05-5.2 (2H, m, H4, H5), 5.95 (1H, d, H6), 7.60-7.95 (4H, m, C6H4(CO)2N), 10.00 (1H, d, CHO); Anal. Calc. for C26H26N2O13: C, 54.36; H, 4.56; N, 4.88; O, 36.20%, found: C, 54.30; H, 5.01; N, 4.87; O, 36.27%.
1-[(2,3,4,6-tetra-O-acetyl-β-D-galactopyranosyl)-3-phthalimido-4-hydroxymethyl] azetidin-2-one (8): To aldehyde 7 (1.73 g, 3.00 mmol) in tetrahydrofuran (80 mL) at 0 °C was added lithium tri (tert-butoxy) aluminum hydride (1.53 g, 6.00 mmol). After stirring under nitrogen for 3 hours (0 °C), the mixture was acidified with dilute HCl (2%) to pH 5, and 1 g of silica gel was added. The suspension was stirred for 10 minutes, filtered, and evaporated under reduced pressure. The residue was taken up in ethyl acetate (60 mL), washed with water (3 x 40 mL), brine (3 x 20 mL), dried (Na2SO4), and the solvent was evaporated. Recrystallization from n-hexane gave 8 as yellow crystals in 60% yield; m.p. 85-87 °C; IR (cm-1): 3490, 3460 (OH), 1780 (β-lactam CO), 1760, 1730 (phthalimido CO), 1740(OCOCH3); 1H-NMR (CDCl3) δ (ppm): 1.95-2.15 (12H, s, 4COCH3), 3.75 (2H, m, CH2OH), 3.95-4.20 (3H, m, H2,CH2OAc), 4.35 (1H, t, H3), 4.45 (1H, br, OH), 4.70 (1H, dd, J=5Hz, CH-CH2OH), 4.90 (1H, d, J=5Hz, CH-N(CO)2), 5.05-5.2 (2H, m, H4, H5), 5.95 (1H, d, H6), 7.60-7.95 (4H, m, C6H4(CO)2N); Anal. Calc. for C26H28N2O13: C, 54.17; H, 4.90; N, 4.86; O, 36.08%, found: C, 54.10, H, 5.00; N, 4.80; O, 36.18%.
General procedure for dephthaloylation of protected β-lactams 6 and 8. The monocyclic β-lactam 6 (6.50 g, 10.00 mmol) (or 8) was dissolved in ethanol (25 mL) and methylhydrazine (0.046 g, 10.00 mmol) was added. After refluxing for 2 hours, the reaction mixture was stored overnight and then concentrated to dryness under vacuum. The methylphthalhydrazide residue was stirred for 2 hours with 25 mL of 5N HCl, and filtered. The aqueous and acid extracts were combined and 3 mL of concentrated HCl was added. After 2 hours, the aqueous solution was evaporated to give the product 1-[(2,3,4,6-tetra-O-acetyl-β-D-galactopyranosyl)-3-amino-4-styryl] azetidin-2-one (9, 3.64g, 70.0%) (or 1-[(2,3,4,6-tetra-O-acetyl-β-D-galactopyranosyl)-3-amino-4-hydroxymethyl]azetidin-2-one (10, 3.57g, 80.0%) as the corresponding hydrochloride salts.
(9) m.p.: 91-92 °C (free amine); IR (cm-1): 3250-3550 (br, N+H3), 1780 (β-lactam), 1740 (ester); 1-H-NMR (CDCl3) δ (ppm): 1.95-2.15 (12H, s, 4COCH3), 3.95-4.20 (3H, m, H2,CH2OAc), 4.35 (1H, t, H3), 4.50 (1H, dd, J=5 and J=8Hz, CH-CH=CH), 4.90 (1H, d, J=5Hz, CH-NH2), 5.05-5.2 (2H, m, H4, H5), 5.95 (1H, d, H6), 6.20 (1H, dd, J=8 and J=16Hz, CH‑CH=CHPh), 6.40 (1H, d, CH=CHPh), 7.10-7.25 (5H, m, Ph); Anal. Calc. for C25H30N2O10: C, 57.91; H, 5.83; N, 5.40; O, 30.86%, found: C, 57.99; H, 5.70; N, 5.35; O, 30.91%.
(10) m.p.: 110-112 °C (free amine); IR (cm-1): 3200-3550 (NH3 and OH), 1780 (β-lactam CO), 1740(OCOCH3); 1H-NMR (CDCl3) δ (ppm): 1.95-2.15 (12H, s, 4COCH3), 3.75 (2H, m, CH2OH), 3.95-4.20 (3H, m, H2,CH2OAc), 4.35 (1H, t, H3), 4.45 (1H, br, OH), 4.70 (1H, dd, J=5Hz, CH-CH2OH), 4.90 (1H, d, J=5Hz, CH-NH2), 5.05-5.2 (2H, m, H4, H5), 5.95 (1H, d, H6); Anal Calc. for C18H26N2O11 : C, 48.43; H, 5.87; N, 6.28; O, 39.42%, found: C, 48.64; H, 5.80; N, 6.18; O, 39.50
General procedure for acylation of free-amino β-lactams 11a-d and 12a-d. Pyridine (1.50 g, 18.96 mmol) was added to a solution of 9 (3.12 g, 6.00 mmol), followed by dropwise addition of phenylacetyl chloride (0.93 g 6.00 mmol) in CH2Cl2 (20 mL). The solution was stirred for 2h. at 25 °C. Then it was washed with 10% HCl, 10% NaHCO3 and water, dried (MgSO4), and the solvent was evaporated to give the impure amide which was recrystallized from ethanol to give 1-[(2,3,4,6-tetra-O-acetyl-β-D-galactopyranosyl)-3-phenylacetamido-4-styryl] azetidin-2-one ) 12c (2.00 g, 64.00%). M.p. 85-87 °C. IR (cm–1): 3410 (NH), 1770 (β‑lactam), 1740 (ester), 1685 (amide); 1H-NMR (DMSO-d6) δ (ppm): 1.95-2.15 (12H, s, 4COCH3), 3.45 (2H, s, PhCH2CO), 3.95-4.20 (3H, m, H2, CH2OAc), 4.35 (1H, t, H3), 4.50 (1H, dd, J=5 and J=8Hz, CH-CH=CH), 4.90 (1H, dd, J=5 and J=8Hz, CH-NH), 5.05-5.2 (2H, m, H4, H5), 5.95 (1H, d, H6), 6.20 (1H, dd, J=8 and J= 16Hz, CH-CH=CHPh), 6.40 (1H, d, CH=CHPh), 6.65 (1H, d, J=8Hz, NH), 7.00-7.30 (10H, m, 2Ph); Anal. Calc. for C33H36N2O11: C, 62.26; H, 5.70; N, 4.40; O, 27.64%, found: C, 62.20; H, 5.75; N, 4.42; O, 27.70%.
Compounds 11a-d, 12a-b and 12d were treated identically and their spectra were similar except for the expected variations due to the amide side chains.
Antibacterial Activity Tests
The antimicrobial activity tests were performed according to the disk diffusion method [25] using Ampicillin and Gentamycin as the reference compounds. The sterile disks were impregnated with different compounds (600 μg/disk). A nutrient agar medium was used and the disks were incubated at 37 °C for 24 hours. After incubation, the relative susceptibility of the microorganisms to the potential antimicrobial agent is demonstrated by a clear zone of growth inhibition around the disk. The inhibition zones caused by the various compounds on the microorganisms were measured and the activity rated on the basis of the size of the inhibition zone.
References
- Grafe, U. Biochemie der Antibiotika; Spektrum Akademischer Verlag: Heidelberg, 1992; p. 359. [Google Scholar] Jones, R.N.; Barry, A.L.; Thornsberry, C. J. Antimicrob.Chemother. 1989, 24 (Suppl.A), 9.
- Chu, D.T.W.; Plattner, J.; Katz, L. J. Med. Chem. 1996, 39, 3853. [CrossRef]
- Page, M.I. The Chemistry of ß-Lactams; Blackie Academic & Professional: London, 1992. [Google Scholar]
- Hashimoto, M.; Komori, T.; Kamiya, T. J. Am. Chem. Soc. 1976, 98, 3023. Aoki, H.; Sakai, H.; Kohsaka, M.; Konomi, T.; Hosoda, J.; Kuboch, Y.; Iguch, E.; Imanka, H. J. Antibiot. 1976, 29, 492.
- Sykes, R.B.; Bonner, D.P. Am. J. Med. 1985, 7, 2.
- Bose, A.K.; Manhas, M.S.; Kapur, J.C.; Sharma, S.D.; Amin, S.G. J. Med. Chem. 1974, 17, 541. [CrossRef]
- Fujisawa, T.; Shibuya, A.; Sato, D.; Shimitzu, M. Synlett 1995, 1067.
- Ricci, A. Modern Amination Methods; WILEY-VCH Verlag: Weinheim (FRG), 2000; p. 103. [Google Scholar]
- Miskolczi, I.; Sztaricskai, F.; Herczegh, P.; Bognar, R.; Koczka, I. J. Antibiot. 1985, 38, 1273. [CrossRef]
- Barton, D.H.R.; Getau-Olesker, A.; Anaya-Mateos, J.; Cleophax, J.; Gero, S.D.; Chiaroni, A.; Riche, C. J. Chem. Soc., Perkin Trans.1 1990, 3211. Hernando, J.I.M.; Laso, N.M.; Anaya, J.; Gero, S.D.; Grande, M. Synlett 1997, 281. Anaya, J.; Gero, S.D.; Grande, M.; Hernando, J.I.M.; Laso, N.M. Bioorg. Med. Chem. 1999, 7, 837.
- Bose, A.K.; Manhas, M.S.; van der Veen, J.M.; Bari, S.S.; Wagle, D.R. Tetrahedron 1992, 48, 4831.
- Gunda, T.E.; Sztaricskai, F. Tetrahedron 1997, 53, 7985.
- Palomo, C.; Oiarbide, M.; Esnal, A.; Miranda, J. I.; Linden, A. J. Org. Chem. 1998, 63, 5838.
- Han, W.T.; Trehan, A.K.; Wright, J.J.K.; Federici, M.E.; Seiler, S.M.; Meanwell, N.A. Bioorg. Med. Chem Lett. 1995, 3, 1123. [CrossRef]
- Adlington, R.M.; Baldwin, J.E.; Chen, B.; Cooper, S.L.; McCoull, W.; Pritchard, G.J.; Howe, T.J. Bioorg. Med. Chem. Lett. 1997, 7, 1689. [CrossRef]
- Borthwick, A.D.; Weingarten, G.; Haley, T.M.; Tomaszewski, W.; Wang, W.; Hu, Z.; Bedard, J.; Jim, H.; Yuen, L.; Mansour, T.S. Bioorg. Med. Chem. Lett. 1998, 8, 365. [CrossRef]
- Palomo, C.; Aizpurua, J.M.; Gamboa, I.; Oiarbide, M. Amino Acids 1999, 16, 321.
- Kamel, M.M.; Naser, M.E. Die Pharmazie 1979, 34(7), 440.
- Furniss, B.S.; Hannaford, A.J.; Smith, P.W.G.; Tartchel, A.R. Textbook of Practical Organic Chemistry (Vogel’s), 5th ed.; John Wiley & Sons, Inc.: New York, 1991; p. 648. [Google Scholar]
- Ricci, A. ref. [8]; p. 106.
- Wolfe, S.; Hasan, S.K. Can. J. Chem. 1970, 48, 3572.
- Kukolja, S.; Lammert, S.R. J. Am. Chem. Soc. 1975, 97, 5582.
- Sheehan, J.C.; Ryan, J.J. J. Am. Chem. Soc. 1951, 73, 4367. [CrossRef]
- Sheehan, J.C.; Dadic, M. J. Heterocycl. Chem. 1968, 5, 779. [CrossRef]
- Finegold, S.M.; Martin, W.J. Diagnostic Microbiology, 6th ed.; Louis S.: London, 1982; p. 450. [Google Scholar]
- Sample availability: Available from the authors
© 2004 by MDPI (http://www.mdpi.org). Reproduction is permitted for noncommercial purposes.