Abstract
Three optically active Schiff-base ligands have been prepared by condensation of 2-hydroxyacetophenone with (1R,2R)-(-)-1,2-diaminocyclohexane, (1S,2S)-(-)- 1,2-diphenylethylenediamine or R-(+)-2,2’-diamino-1,1’-binaphthalene, respectively. The products have been characterized by their IR, 1H- and 13C-NMR spectra.
Introduction
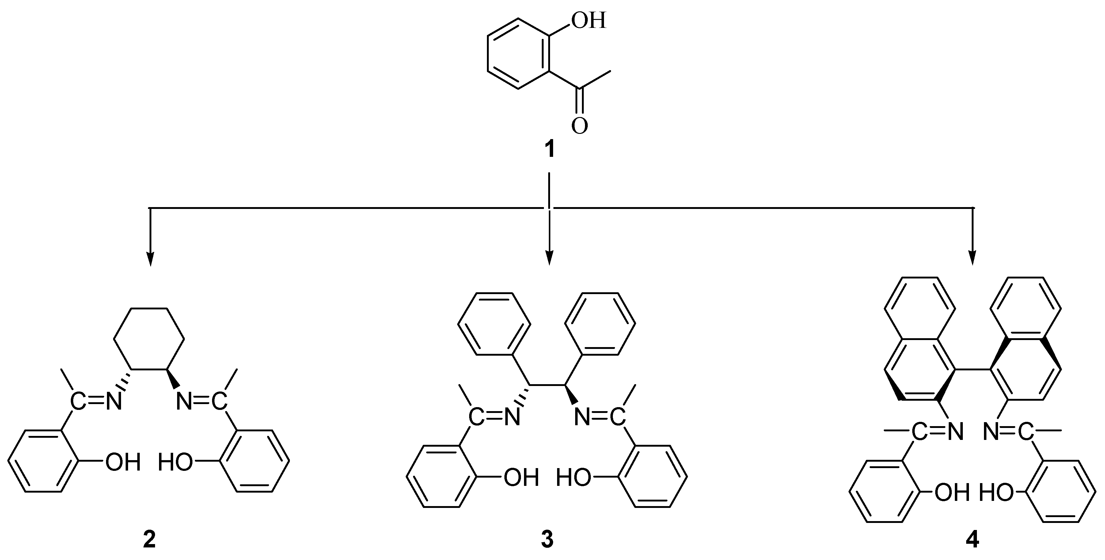
Schiff-base ligands derived from salicylaldehyde and chiral amines have been widely applied in enantioselective cyclopropanation of styrenes [1], asymmetric aziridination of olefins [2], enantioselective epoxidation [2,3], enantioselective ring opening of epoxides [3,4], borohydride reduction of aromatic ketones [4], asymmetric oxidation of methyl phenyl sulfide [5], enantioselective oxidation of silyl enol [6] and trimethylsilylcyanation of benzaldehydes [4,7]. In particular the Merck company has successfully developed a process for the industrial manufacture of antibacterial drug Cilastatin using chiral copper (II) Schiff-base complexes derived from salicylaldehyde and chiral amine [8]. However, so far there have been few reports about the synthesis and application of Schiff-base ligands derived from 2-hydroxyacetophenone and chiral amines. In order to investigate the electronic, steric and geometric effect of a methyl group on an imine carbon on asymmetric catalytic reactions, 2-hydroxyacetophenone (1) was chosen to synthesize Schiff-base ligands 2, 3, 4 by the condensation with chiral diamines such as 1,2-diaminocyclohexane, 1,2-diphenylethylenediamine and 2,2’-diamino-1,1’-binaphthalene (Scheme 1).
Scheme 1.
Scheme 1.

Results and discussion
The Schiff-base ligand 2 was easily prepared in 70.5% yield by refluxing two equivalents of 2-hydroxyacetophenone (1) with (1R,2R)-(-)-1,2-diaminocyclohexane in anhydrous ethanol. Complete condensation of all primary amino groups is confirmed by the lack of N-H stretching bands in the 3150-3450cm-1 IR region and the presence of strong C=N stretching bonds. The 1H-, 13C-NMR, and infrared data for 2 are completely consistent with the formulation indicated in Scheme 1. After we failed to synthesize the Schiff-base ligands of 2-hydroxyacetophenone and chiral 1,2-diphenylethylenediamine and 2,2’-diamino-1,1’-binaphthalene using the method described above, we tried replacing the solvent anhydrous ethanol with butanol to increase the reaction temperature and adding 4-methylbenzenesulfonic acid as catalyst, but the expected products were still not obtained. Compounds 3 and 4 were finally obtained in 69.6% and 25.1% yield, respectively, by using activated alkaline aluminum oxide as dehydrating agent and anhydrous toluene as solvent.
Experimental
General
Melting points were determined on a YAZAWA instrument and are uncorrected. Infrared spectra were recorded as KBr pellets on a PERKIN-ELMER 683. NMR spectra were recorded on a BRUKER BRX 400 spectrometer and chemical shifts are expressed in ppm using TMS as internal standard. Elemental analysis was performed on a PE-2400 elemental analyzer.
Synthesis of N,N’-(1R,2R)-(-)-1,2-cyclohexylenebis(2-hydroxyacetophenonylideneimine) (2).
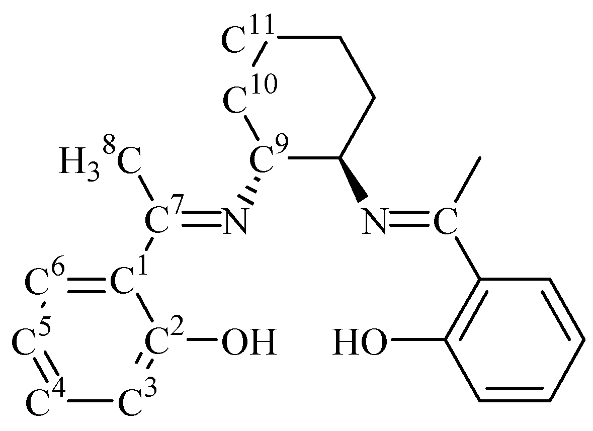
To a solution of (1R,2R)-(-)-1,2-diaminocyclohexane(140mg, 1.23mmol) in absolute ethanol (1mL) was added 2-hydroxyacetophenone 1 (334mg, 2.46mmol). The resulting mixture was then refluxed for 36 h. After cooling to room temperature, water (5mL) was added and the mixture stirred for 30 min, the yellow precipitate formed was filtered, washed with water and dried. Recrystallization from absolute ethanol afforded yellow needles (303mg, 70.5%); mp: 144-145°C; [α]D24=-788.12° (c =1.1×10-3 in CH2Cl2); IR (neat) cm-1: 3060 (OH), 1618 (C=N); 1H-NMR(CDCl3): 16.40 (s, 2H, OH), 7.37-6.67 (m, 8H, Ar-H), 3.86 (dd, 2H, CH), 3.05 (s, 6H, CH3), 1.92-1.46 (m, 8H, CH2CH2); 13C-NMR (CDCl3) (see Figure 1 for numbering system): 170.72 (C7), 163.54 (C2), 132.24 (C4), 128.27 (C6), 119.11(C1), 118.36 (C5), 117.00 (C3), 62.84 (C9), 32.23 (C10), 24.06 (C11), 14.25 (C8); Anal.: Calcd. for C22H26N2O2: C, 75.40; H, 7.48; N, 7.99; Found: C, 75.25; H, 7.26; N, 7.85.
Synthesis of (1S,2S)-(-)- 1,2-diphenylethylenebis(2-hydroxyacetophenonylideneimine) (3).
To a solution of (1S,2S)-(-)-1,2-diphenylethylenediamine (212mg, 1.00mmol) in absolute toluene (3mL) was added 2-hydroxyacetophenone 1 (272mg, 2.00mmol) and activated alkaline aluminum oxide (100mg, 0.98mmol). The resulting mixture was refluxed with stirring for 24 h. After the aluminum oxide was filtered off, the solvent was evaporated in vacuo to gave a yellow solid. Chromatography on silica (elution with 10% EtOAc/petroleum ether) afforded bright yellow crystals (312mg, 69.6%), mp: 173-175°C; [α]D19=-138.03°(c=1 in CHCl3); IR (neat) cm-1: 3062 (OH), 1618(C=N); 1H-NMR(CDCl3): 16.06 (s, 2H, OH), 7.39-6.68 (m, 18H, Ar-H); 5.26 (s, 2H, CH), 2.26 (s, 6H, CH3); 13C-NMR (CDCl3) (see Figure 2): 172.35 (C7), 162.79 (C2), 139.16 (C10), 132.38 (C4), 128.33 (C6), 127.97 (C11,12), 127.48 (C13), 119.58 (C1), 118.18 (C5), 117.41 (C3), 71.01 (C9), 15.16 (C8); Anal.: Calcd. for C30H28N2O2: C, 80.33; H, 6.29; N, 6.25; Found: C, 80.12; H, 6.26; N, 6.10.
Synthesis of R-(+)-1,1’-binaphthalene-2,2’-diaminobis(2-hydroxyacetophenonylideneimine) (4).
To a solution of R-(+)-2,2’-diamino-1,1’-binaphthalene (284mg, 1.00mmol) in absolute toluene (3mL) was added 2-hydroxyacetophenone 1 (272mg, 2.00mmol) and activated alkaline aluminum oxide (125mg, 1.23mmol). The resulting mixture was refluxed with stirring for 72 h. After the aluminum oxide was filtered off, the solvent was evaporated in vacuo to gave a yellow solid. Chromatography on silica (10% EtOAc/petroleum ether) afforded bright yellow needles (118mg, 25.1%), mp: 262-264°; [α]D18=15.87°(c=0.232 in CHCl3); IR (neat) cm-1: 3065 (OH), 1618 (C=N); 1H-NMR (CDCl3): 15.58 (s, 2H, OH), 7.89-6.67 (m, 20H, Ar-H), 2.17 (s, 6H, CH3); 13C-NMR (CDCl3)(Figure 3): 170.65 (C7), 161.40 (C2), 143.27 (C9), 133.07 (C11), 132.63 (C16), 131.29 (C4), 128.86 (C6), 128.50 (C10), 128.23 (C17), 126.70 (C15), 125.60 (C12), 125.50 (C13), 125.21 (C14), 121.50 (C5), 119.66 (C1), 117.99 (C18), 117.69 (C3), 18.05 (C8); Anal.: Calcd. for C36H28N2O2: C, 83.05; H, 5.42; N, 5.38; Found: C, 83.01; H, 5.11; N, 5.13.
Fig.1.
NMR numbering of ligand 2
Fig.1.
NMR numbering of ligand 2

Fig.2.
NMR numbering of ligand 3
Fig.2.
NMR numbering of ligand 3

Fig.3.
NMR numbering of ligand 4
Fig.3.
NMR numbering of ligand 4

Acknowledgements
We are grateful for the financial support provided by the National Natural Science Foundation of China (No.29933050).
References and Notes
- Zhang, J.X.; Zhou, Y.; Cai, G. Preparation of Schiff base-Cu complex and their application in the asymmetric synthesis of chrysanthemate. J. Mol. Catal (China) 1997, 11, 41–44. [Google Scholar] Holland, D; Laidler, D.A.; Milner, D.J. Catalytic asymmetric synthesis of cyclopropane carboxylates: Ligand-reagent interaction in diazoacetate reactions catalysed by copper(II)species bearing sugar-Schiff base ligands. J. Mol. Catal. 1981, 11, 119–127. [Google Scholar] Chen, G.M.; Chen, F.; Zhou, C. Synthesis of chiral copper(II) compounds and their application in asymmetric cyclopropanation of olefins. Chem. J. Chin. Univ. 1995, 16, 216–219. [Google Scholar] Qiu, M.; Liu, G.; Yiao, X. Chiral copper (II)-Schiff base complexes as catalysts for asymmetric cyclopropanation of styrene. Chin. J. Catal. 2001, 22, 77–80. [Google Scholar] Li, C.; Zhang, W.; Yao, X. Synthesis of a new C2-symmetric chiral Schiff base and its catalytic performance in asymmetric cyclopropanation. Chin. J. Catal. 2000, 21, 77–80. [Google Scholar] Li, Z.N.; Liu, G.; Zheng, Z. Asymmetric cyclopropanation of styrene catalyzed by Cu-(chiral Schiff-base) complexes. Tetrahedron 2000, 56, 7187–7191. [Google Scholar]
- Kenneth, J.O.; Shiow, J.W.; Cynthia, J.B. Alkene aziridination and epoxidation catalyzed by chiral metal salen complexes. Tetrahedron Lett. 1992, 33, 1001–1004. [Google Scholar]
- Jacobsen, E.J.; Zhang, W.; Guler, M.L. Electronic tuning of asymmetric catalysts. J. Am. Chem. Soc. 1991, 113, 6703–6704. [Google Scholar] [CrossRef] Jacobsen, E.J.; Zhang, W.; Muci, A.R. Highly enantioselective epoxidation catalysts derived from 1,2-diaminocyclohexane. J. Am. Chem. Soc. 1991, 113, 7063–7064. [Google Scholar] Kureshy, R.I.; Khan, N.H.; Abdi, S.T. Synthesis, Physico-chemical studies and solvent-dependent enantioselective epoxidation of 1,2-dihydronaphthalene catalyzed by chiral ruthenium(II) Schiff base complexes. I. J. Mol. Catal. 1999, 150, 163–173. [Google Scholar] Kureshy, R.I.; Khan, N.H.; Abdi, S.T. Synthesis, physico-chemical studies and solvent-dependent enantio-selective epoxidation of 1,2-dihydronaphthalene catalyzed by chiral ruthenium(II) Schiff base complexes. II. J. Mol. Catal. 1999, 150, 175–183. [Google Scholar] Rukhsana, I.K.; Noor-ul, H.K.; Sayed, H.R. Asymmetric epoxidation of styrene by novel chiral ruthenium(II) Schiff base complexes-Synthesis and characterization. Tetrahedron: Asymmetry 1993, 4, 1693–1701. [Google Scholar] Hosoya, N.; Hatayama, A.; Irie, R. Rational design of Mn-Salen epoxidation catalysts: Preliminary results. Tetrahedron 1994, 50, 4311–4322. [Google Scholar] Fernandez, I.; Pedro, J.R.; Salud, R. Aerobic catalytic epoxidation of unfunctionalized olifens using a new (Salen)manganese(III) complex bearing sesquiterpene salicyladehyde derivative. Tetrahedron 1996, 52, 12031–12038. [Google Scholar] Kureshy, R.I.; Khan, N.H.; Abdi, S.T. Enantioselective catalytic epoxidation of nonfunctionalized prochiral olefins by dissymmetric chiral Schiff base complexes of Mn(III) and Ru(III) metal ions. J. Mol. Catal. 1997, 120, 101–108. [Google Scholar] Kureshy, R.I.; Khan, N.H.; Abdi, S.T. Synthesis, physicochemical studies and aerobic Enantioselective epoxidation of nonfunctionalized olefins catalyzed by new Co (II) chiral salen complexes. J. Mol. Catal. 1997, 121, 25–31. [Google Scholar] Kureshy, R.I.; Khan, N.H.; Abdi, S.T. Eenantioselective catalytic epoxidation of styrenes by iodosylbenzene using chiral ruthenium (II) Schiff base complexes. J. Mol. Catal. 1995, 96, 117–122. [Google Scholar] Kureshy, R.I.; Khan, N.H.; Abdi, S.H.R.; Patel, S.T.; Lyer, P. Asymmetric catalytic epoxidation of styrene by dissymmetric Mn(III) and Ru(III) chiral Schiff base complexes. Synthesis and physicochemical studies. J. Mol. Catal. 1996, 110, 33–40. [Google Scholar]
- Kim, G.J.; Shin, J.H. Application of new unsymmetrical chiral Mn(III), Co(II,III) and Ti(IV) salen complexes in enantioselective catalytic reactions. Cat. Lett. 1999, 63, 83–89. [Google Scholar] [CrossRef]
- Sasaki, C.; Nakajima, K.; Kojima, M. Preparation and characterization of optically active quadridentate Schiff base-Titanium (IV) complexes and the catalytic properties of these complexes on asymmetric oxidation of methyl phenyl sulfide with organic hydro peroxides. Bull. Chem. Soc. Jpn. 1991, 64, 1318–1324. [Google Scholar] [CrossRef]
- Waldemar, A.; Rainer, T.; Veit, R.S. Synthesis of optically active carbonyl compounds by the catalytic, Enantiselective oxidation of silyl enol ethers and ketene acetals with (salen) manganese (III) complexes. J. Am. Chem. Soc. 1998, 120, 708–714. [Google Scholar]
- Hayashi, M.; Inoue, T.; Miyamoto, Y. Asymmetric carbon-carbon bond formation reactions catalyzed by chiral Schiff base-Titanium alkoxide complexes. Tetrahedron 1994, 50, 4385–4398. [Google Scholar] [CrossRef]
- Aratani, T.; Yoneyoshi, Y.; Nagase, T. Tetrahedron Lett. 1975, 1707. 1977, 2599. 1982, 23, 685. Aratani, T. Pure Appl. Chem. 1985, 57, 1839.
- Sample Availability: Samples of the ligands 2 and 3 are available from the MDPI.
© 2002 by MDPI (http://www.mdpi.org). Reproduction is permitted for noncommercial purposes.