You are currently viewing a new version of our website. To view the old version click .
Molecules
  • Review
  • Open Access

28 February 2002

1,3-Dipolar Cycloaddition Reactions of Substituted Benzyl Azides with Acetylenic Compounds

Chemistry Department, Yarmouk University, Irbid, Jordan

Abstract

We review in this article some of our work which has been published over the last fifteen years in the area of 1,3-dipolar cycloaddition reactions of substituted benzyl azides with acetylenic compounds to form the corresponding 1,2-3-triazoles. Several triazole derivatives were transformed into triazolopyridazine and triazolo-1,3,4-oxadiazole derivatives upon their reactions with hydrazine.

Introduction

Azides are considered very important compounds due to both their industrial as well as biological applications [1]. Azide derivatives have been used in rubber vulcanization, polymer crosslinking, dyes, tire cored adhesives, foaming of plastics, pharmaceuticals, pesticides and herbicides [1]. Many azide compounds show mutagenic activities [2,3,4].
The chemistry of azides has thus attracted the attention of many chemists, since many of these compounds play an important role in organic chemistry [5,6,7]. One of the more useful synthetic applications of azides is the preparation of 1,2,3-triazoles via 1,3-dipolar cycloaddition reactions of azides with substituted acetylene compounds [8,9,10,11,12,13].
The chemistry of 1,2,3-triazoles has also received much attention because of their wide range of applications. They have been used as fungicides, herbicides, light stabilizers, fluorescent whiteners, optical brightening agents, and corrosion retardants [14,15,16]. Moreover 1,2,3-triazole derivatives show significant antimicrobial, cytostatic, virostatic, and anti-inflamatory activities [17].
Over the last fifteen years we have contributed extensively to this field. Thus, in 1986 we reported the preparation of bis(azidomethyl)benzenes 1a-c and their reaction with acetylendicarboxaldehyde bisdiethylacetal to form the phenylenebis(methylene)bis(triazole-4,5-dicarboxaldehyde)tetrakis(ethyl acetals) 2a-c as shown in Scheme 1 [18].
Scheme 1.
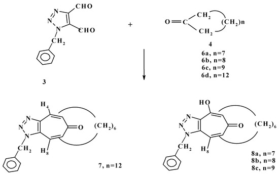
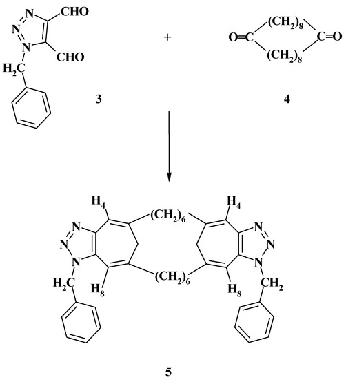
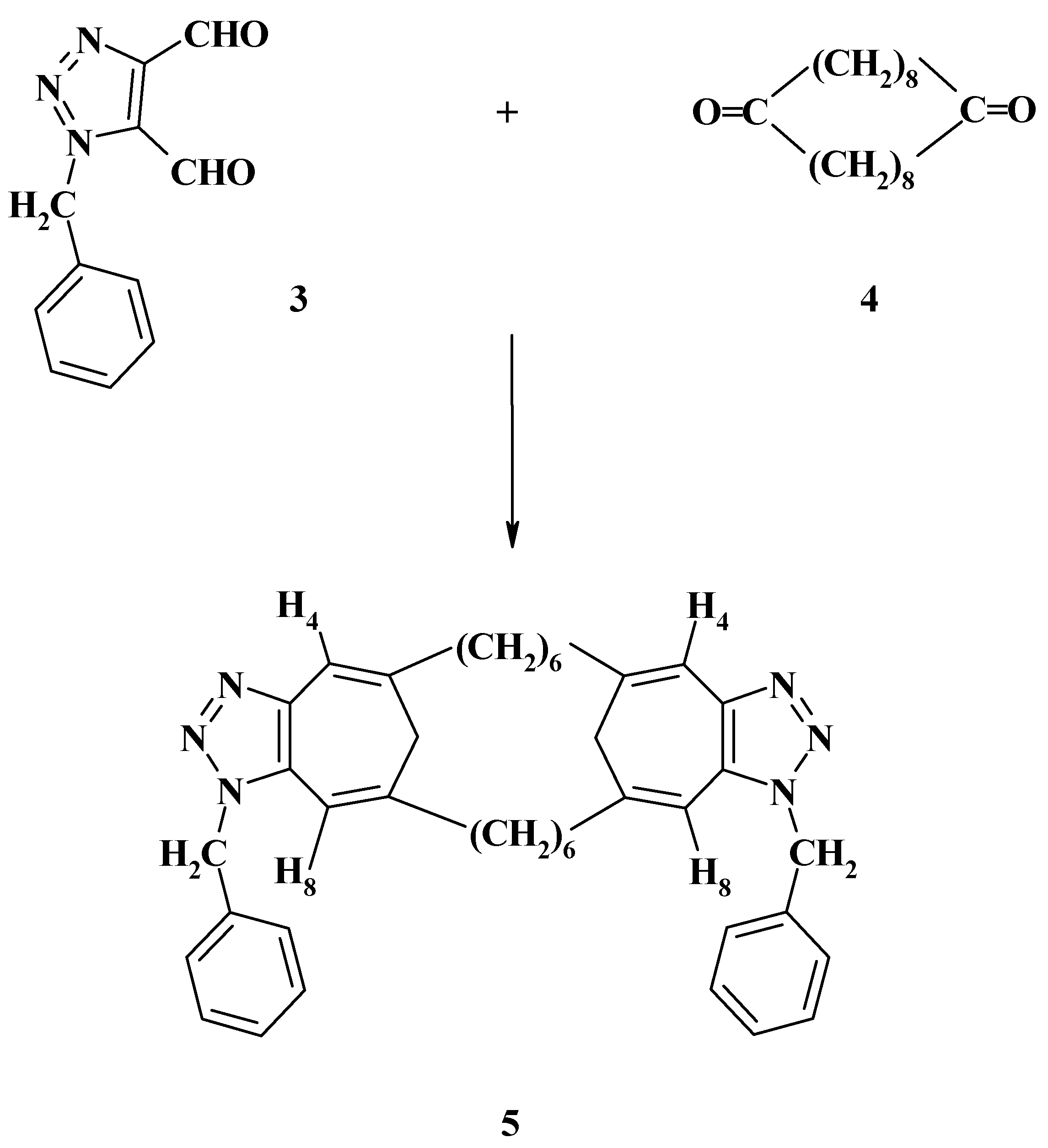
The same year we reported the synthesis of the novel ring system, 1,1΄-dibenzyl-5,5΄,7,7΄-bis(hexamethyleno)bis[6(2H)-cycloheptatriazolone] (5) from the condensation reaction of 2 moles of 1-benzyl-1H-triazole-4,5-dicarboxaldehyde (3) with 1,10-cyclooctadecanedione (4) as shown in Scheme 2 [19]. The aim of this synthesis was to study the effect of a polymethylene bridge on the aromaticity and planarity of a system containing two triazoletropone systems within the same molecule [19].
Scheme 2.
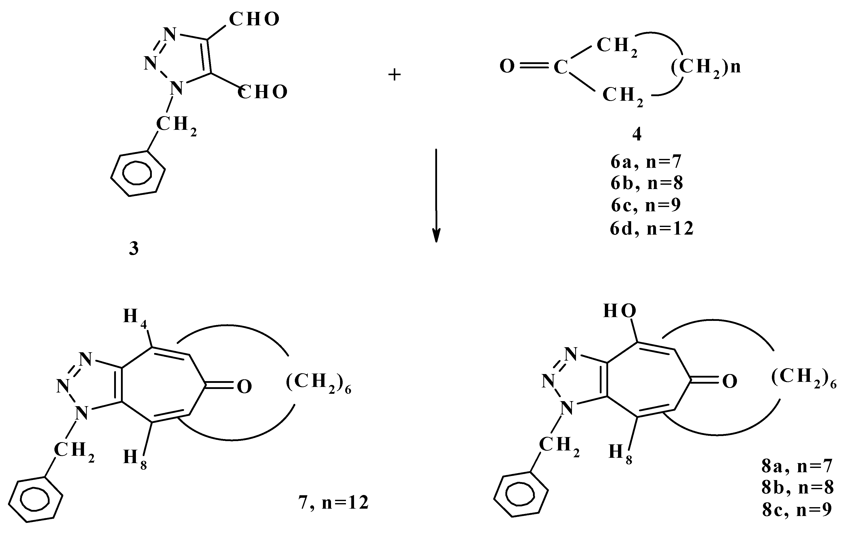
A year later we reported the condensation reaction of 1-benzyl-1H-triazole-4,5-dicarboxaldehyde (3) with cyclic ketones 6a-d to form 1-benzyl-5,7-polymethyleno-6-(2H)-cyclo-heptatriazolone (7) or 4-hydroxy-1-benzyl-4,5-dihydro-5,7-polymethyleno-6-(2H)-cycloheptatriazol-ones (8a-c) as shown in Scheme 3 [20].
Scheme 3.
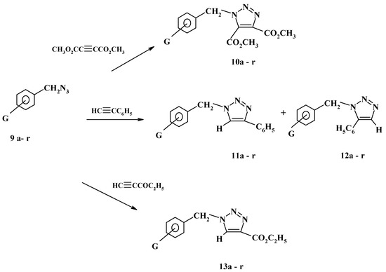
In 1988, we described the interaction of synthetic organic azides with highly purified camel gluathione S-transferase in an attempt to elucidate the role of these enzymes in the detoxification of organic azides [21]. A year later our group described the reaction of substituted benzyl azides with some acetylenic esters and with phenylacetylene [22]. Thus, substituted benzyl azides 9a-r were reacted with dimethyl acetylenedicarboxylate in boiling ethanol to give the corresponding triazoles 10a-r in more than 80% yield as shown in Scheme 4.
Scheme 4.
On the other hand, the reactions of azides 9a-r with phenylacetylene afforded, as expected and revealed by thin layer chromatography, a mixture of two isomeric products in over 85% overall yield. The isomeric triazoles 11a-r, 12a-r are shown in Scheme 4. The product mixtures were separated by preparative thin layer chromatography using silica gel and a toluene-ethyl acetate mixture as eluent. The relative ratios of the two isomeric products was found to be in the range of 10:90 to 40:60. Surprisingly, the isomers separated in each reaction gave identical IR and 1H-NMR spectral data and melting points. This might be due to the similarity of the chemical environment of the protons in either position 4 or 5 in the triazole ring. The less hindered triazoles 11a-r are believed to be the major products on the basis of steric considerations. This assignment is quite compatible with the reported results of Tsypin and Mihelcic and their co-workers on the addition of heterocyclic and aliphatic azides to phenylacetylene [23,24]. Unlike the reactions with phenylacetylene, the reactions of azides 9a-r with ethyl propiolate were found to be completely regiospecific. Thin layer chromatography using different solvent systems confirmed the presence of a single product in each reaction. These products are believed to be triazoles 13a-r as depicted in Scheme 4.
Reactions of 10a-r with excess hydrazine hydrated under reflux conditions gave the corresponding bis (hydrazinocarbonyl) derivatives 14a-r. Heating compounds 14a-r at 200 °C for about 4-5 hrs was found to be a convenient method for the synthesis of 1-substituted benzyl-1H-1,2,3-triazolo [4,5-d] pyridazidine-4,7-diones 15a-r as shown in Scheme 5 [25].
Scheme 5.
In 1991, we reported the reactions of bis(azidomethyl) benzenes 1a-c with several substituted acetylenes that formed the corresponding bistriazoles [26]. Thus 1,2-, 1,3- and 1,4-bis (azidomethyl) benzenes (1a-c) underwent cycloaddition reactions with dimethyl-, diethyl- and di-tert-butyl acetylenedicarboxylate, respectively, in methanol or ethanol at reflux temperature to form the corresponding tetramethyl, tetraethyl and tetra-tert-butyl 1,1΄-(phenylenedimethylene) bis-1H-1,2,3-triazole-4,5-dicarboxylates 16a-c, 17a-c and 18a-c, respectively, in quantitative yields as shown in Scheme 6. The completion of the reaction was monitored by the disappearance of the azide IR absorption in the range 2170-2220 cm-1.
Scheme 6.
Likewise, bis-azides 1a-c reacted with phenylacetylene to give a mixture of two isomeric products as revealed by thin-layer chromatography, although three isomeric products are theoretically possible as shown in Scheme 7.
Scheme 7.
1H-NMR spectroscopy did not differentiate between the two isomeric bistriazoles. Thus, the four benzylic protons in the product mixture appeared as a sharp singlet in the range 5.52-5.70 ppm. This is quite consistent with our previously reported results on the reactions of monoazides with phenylacetylene [22]. Although the two products were not separated, it is believed that the major products are the less sterically hindered 1,1΄- (phenylendimethylene) bis-[4-phenyl-1H-1,2,3-triazoles] 19a-c while the minor products should be the isomers 20a-c on the basis of steric and statistical considerations. The isomeric bistriazoles 21a-c are excluded on the same basis. This regiochemical assignment is compatible with the literature reports, one of the recent reports being published by Fouli and co-workers [27].
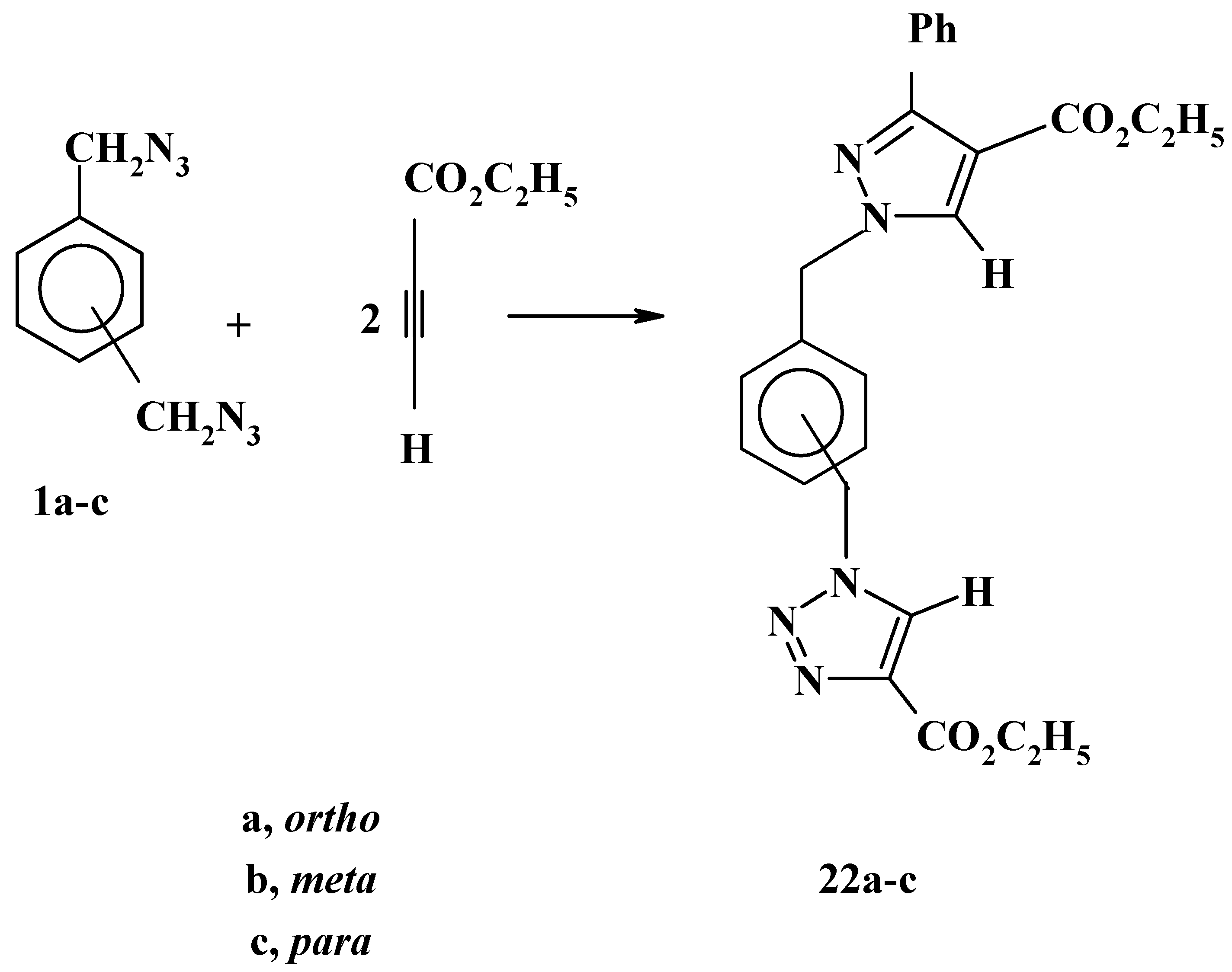
In great contrast with the latter reactions, the reactions of bis-azides 1a-c with ethyl propiolate, have displayed complete regiospecificity under similar conditions. Only one product was obtained in a high yield, again, this result is consistent with our previous findings [22]. In addition, on the basis of steric and electronic factors, the products are assigned structures 22a-c as shown in Scheme 8. The remarkable difference in the reactivities of the three bis-azides 1a-c is worthy of comment. The trend is quite clear. The 1,4-isomer 1c is the most reactive whereas the 1,2-isomer 1a is the least reactive. indeed, the decisive factor is the steric hindrance which is lowest in the 1,4-bis-azide 1c and highest in the 1,2-isomer 1a [26].
Scheme 8.
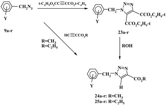
Moreover, we have studied the effect of solvent and reaction time on the products of the 1,3-dipolar cycloaddition of substituted benzyl azides with di-tert-butyl acetylenedicarboxylate [28]. Substituted benzyl azides 9a-r underwent cycloaddition reactions with di-tert-butyl acetylenedicarboxylate, in refluxing methanol or ethanol for 3-20 hrs producing di-tert-butyl 1-(substituted benzyl)-1H-1,2,3-triazole-4,5-dicarboxylates 23a-r in 73-94% yield, as shown in Scheme 9.
Scheme 9.
The reactions of azides 9a-r with di-tert-butyl acetylenedicarboxylate, however, was found to be sensitive to the nature of the solvent being used and the type of the substituents on the phenyl ring. Thus prolonged reflux (2-3 days) of azides 9e-r in protic solvents such as methanol or ethanol resulted in the formation of the triazole monoesters, methyl 1-(substituted benzyl)-1H-1,2,3-triazole-4-carboxylates 24e-r and ethyl 1-(substituted benzyl)-1H- 1,2,3-triazole-4-carboxylates 25e-r, respectively. Unexpectedly, the reaction of azides 9a-d with di-tert-butyl acetylenedicarboxylate did not show the same trend under the same conditions since the triazole diesters 23a-d were the only products obtained [28].
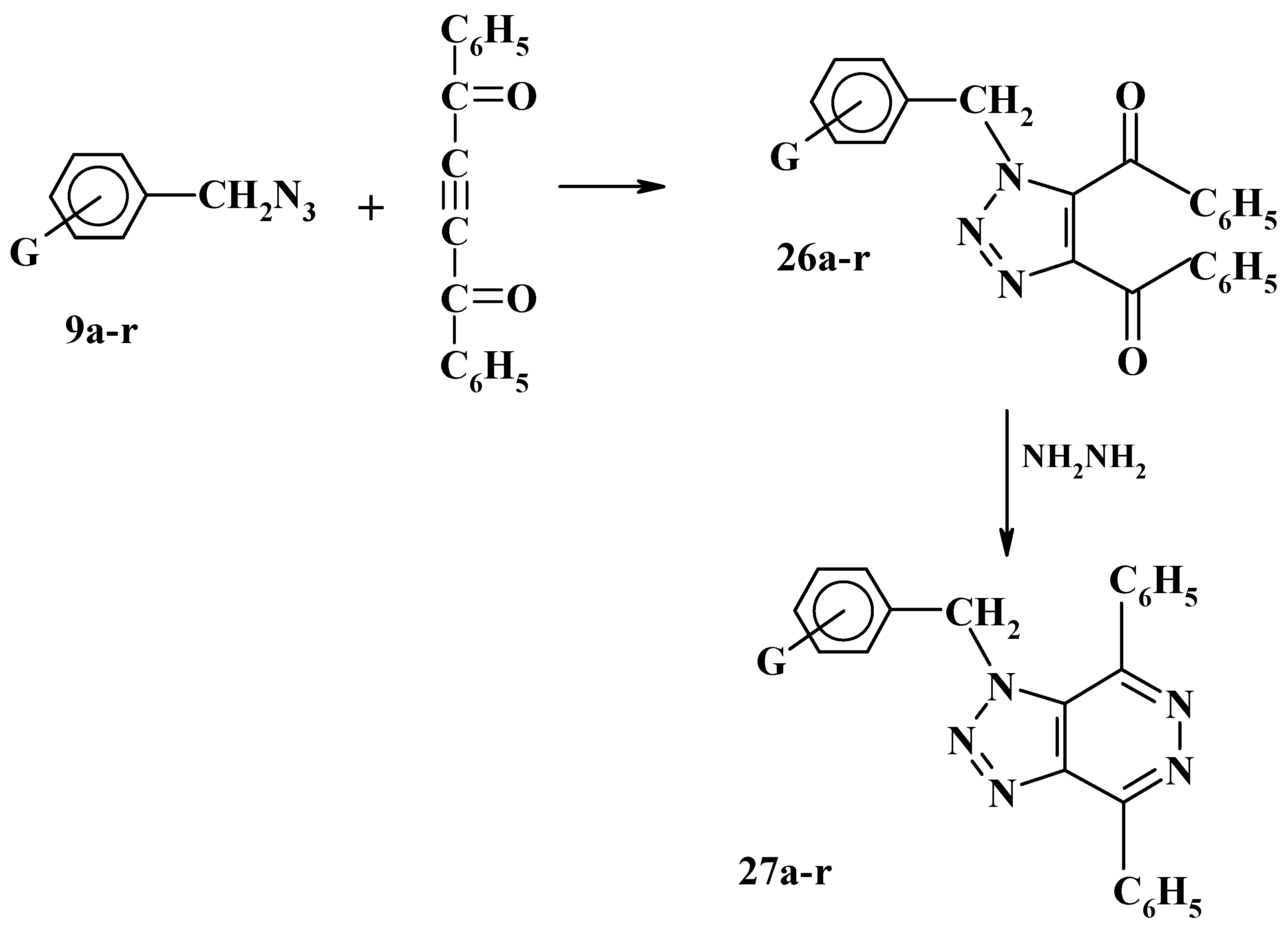
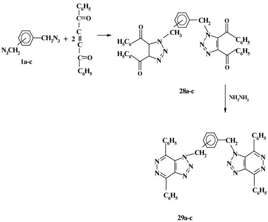
Recently, we have investigated the 1,3-dipolar cycloaddition reactions of substituted benzyl azides 9a-r and bis (azdiomethyl) benzenes 1a-c with dibenzoylacetylene to afford the corresponding 1H-1,2,3-triazole derivatives 26a-r and 28a-c respectively. Reaction of these triazoles 26a-r and 28a-c with hydrazine hydrated in ethanolic solution was found to produce in high yield the corresponding triazolopyridazine and bis (triazolopyridazine) derivatives 27a-r and 29a-c, respectively, as shown in Scheme 10 and Scheme 11 [29]. The inhibition effect of some of these 1-substituted benzyl-4,5-dibenzoyl-1,2,3-triazoles 26a-r on the corrosion activity of mild steel in acid media has been investigated recently and it was found that these triazoles can be used as corrosion inhibitors [16,30,31].
Scheme 10.
Scheme 11.
In the last few years, we have studied the cycloaddition reactions of substituted benzyl azides 9a-r with trans-1,2-dibenzoylethylene. This study presented another good example of the drastic difference in the final products due to the difference in thermal stability of theadducts resulting from the cycloaddition process, namely triazoles and triazolines [32,33,34]. Thus, when azides 9a-r reacted with trans-1,2-dibenzoylethylene in boiling ethanol, the enamines 31i-k,n-q and enolimines 32a-h,l,m,r were formed unexpectedly. The formation of enamines 31 and enolimines 32 might be explained by the formation of the corresponding thermally unstable triazoline 30a-r, followed by ring cleavage and loss of a nitrogen molecule to afford the final products as keto-enol tautomers 31 and 32 as shown in Scheme 12 [32,33,34]. In 1999, we succeeded in the preparation of a series of 2-[1-benzyl-1,2,3-triazolo-4]-5-aryl-1,3,4-oxadiazole compounds 35 from ethyl 1-substituted benzyl-1,2,3-triazole-4-carboxylate 13 as shown in Scheme 13 [35].
Scheme 12.
Scheme 13.
The same year, we synthesized a series of 4,5-bis [5-aryl-1,3,4-oxadiazol-2-yl]-1-substituted benzyl-1,2,3-triazole compounds 38 from the reactions of dimethyl-1-substituted benzyl-1,2,3-triazole-4,5-dicarboxylate (10) with hydrazine, followed with addition of aroyl chlorides in aqueous THF in the presence of K2CO3 which resulted in dehydration and cyclization as shown in Scheme 14 [36].
Scheme 14.

Acknowledgements

The author thanks all his coworkers whose names appear in the referenced papers. Thanks are also due to Dr. Yaser Yousef for drawing the figures and the help of Miss Fadwa Bani Hani in the preparation of this manuscript is also gratefully acknowledged.

References

  1. Scriven, E. F. V. Azides and Nitrenes: Reactivity and Utility; Academic Press: Orlando, Fla, 1984. [Google Scholar]
  2. Sander, C.; Muehlbour, F. J. Enviromental Exp. Bot. 1977, 17, 43.
  3. Nilan, R. A.; Sideris, E. G.; Kleinhofs, A; Nilan, R. A. Mut. Res. 1973, 17, 142.
  4. Owais, W.; Rosichan, J. L.; Roland, R. C.; Kleinhofs, A.; Nilan, R. N. Mut. Res. 1983, 118, 299.
  5. Scriven, E. F. V.; Turnbull, K. Chem. Rev. 1983, 88, 35.
  6. Patai, S. The Chemistry of the Azide Group; Interscience Publishers: New York, 1971; pp. 331–388. [Google Scholar]
  7. Ridois, N., A. J. Heterocycl. Chem. 1984, 21, 1169.
  8. Carmela, P.; Grunanger, P. 1,3-Dipolar Cycloadition Chemistry; Padwa, A., Ed.; John Wiley: New York, 1984; vol. 1, pp. 559–651. [Google Scholar]
  9. Gilchrist, T., L.; Gymer, G. E.; Katritzky, A. R.; Boulton, J. A. Adv. Heterocycl. Chem. 1974, 16, 33.
  10. Finely, K. T. The Chemistry of Heterocyclic Compounds; Weissberger, A., Taylor, E. C., Eds.; Wiley: New York, 1980; vol. 39, pp. 1–63. [Google Scholar]
  11. Purvisis, P.; Smalley, R. K.; Saschitsky, H.; Alkhader, M. A. J. Chem. Soc., Perkin 1 1984, 249.
  12. Patei, D. I.; Smalley, R. K. J. Chem. Soc., Perkin I 1984, 2587.
  13. Loubinoux, B.; Colin, J. L.; Tabbache, S. J. Heterocycl. Chem. 1984, 21, 1669.
  14. Fox, P. G.; Lewis, G.; Boden, P. J. Corrosion Science 1979, 4, 425.
  15. Abdallah, M. M.; Abu-Orabi, S. T. Korosion 1991, 22, 520.
  16. Abdulhadi, A. I. M.Sc. Thesis, King Fahd University of Petroleum and Minerals, Saudi Arabia, 1995.
  17. Tatsuta, (Electric Wire and Cable Co. Ltd.). JPN Kokai, Tokkio Koha, 1981; 81, 22884, [Chem. Abstr., 1982, 96, 56656].
  18. Abu-Orabi, S. T.; Harmon, R. E. J. Chem. Eng. Data, 1986, 31, 379. [CrossRef]
  19. Abu-Orabi, S. T.; Harmon, R. E. J. Chem. Eng. Data 1986, 31, 504.
  20. Abu-Orabi, S. T. J. Chem. Eng. Data 1987, 32, 130.
  21. Hunaiti, A. A.; Abu-Orabi, S. T.; Sahran, M. A.; Owais, M. W. Biochemical Medicine and Metabolic Biology 1988, 39, 140.
  22. Abu-Orabi, S. T.; Atfah, M. A.; Jibril, I.; Marii, F.; Ali, A. A. S. J. Heterocycl. Chem. 1989, 26, 1461.
  23. Tsypin, G. I.; Timofeva, T. N.; Melnikov, V. V.; Gidaspova, B. V. Zh. Org. Khim 1975, 11, 1395, [Chem. Abstr., 1975, 83, 19,381e].
  24. Mihelicic, B.; Simonic, S.; Stanovnik, B.; Tisler, M. Croat. Chim. Acta 1974, 46, 275.
  25. Abu-Orabi, S. T.; Al-Hamdany, R.; Shahateet, S.; Abu-Shandi, K. Heterocycl. Commun. 2000, 6, 443.
  26. Abu-Orabi, S. T.; Atfah, M. A.; Jibril, I.; Marii, F.; Ali, A. A. S. Gazz. Chim. Ital. 1991, 121, 397.
  27. Fouli, F. A. E.; Shaban, M. E; El-Nagdy, E. I.; Youssef, A. S. A. Acta. Chim. Hung 1988, 125, 785.
  28. Abu-Orabi, S. T.; Atfah, M. A.; Jibril, I.; Ali, A. A. S.; Marii, F. Gazz. Chim. Ital. 1992, 122, 92.
  29. Abu-Orabi, S. T.; Al-Hamdany, R.; Aftah, A.; Ali, A. S. S.; Abu-Shandi, K. H. Asian Journal of Chemistry 1999, 11, 774.
  30. Abdennabi, A. M. S.; Abdulhadi, A. I.; Abu-Orabi, S. T.; Saricimen, H. Corriosion Science 1996, 38, 1791.
  31. Abdennabi, A. M. S.; Abdulhadi, A. I.; Abu-Orabi, S. T. Anti Corrosion Methods and Materials 1998, 45, 103.
  32. Shahateet, S. M.Sc. Thesis, Yarmouk University, Irbid-Jordan, 1993.
  33. Abu-Orabi, S. T.; Salman, S. R.; Gillam, J. M.; Lindon, J. C. Spectrochim. Acta. Part A 1997, 53, 1521.
  34. Abu-Orabi, S. T.; Yousef, Y. A.; Jibril, I.; Shahateet, S. Journal Abhath Al-Yarmouk. in press.
  35. Tashtoush, H.; Abu-Orabi, S. T.; Ta’an, E.; Al-Talib, M. Asian Journal of Chemistry 1999, 11, 441.
  36. Al-Talib, M.; Abu-Orabi, S. T.; Al-Majdalawi, S.; Tashtoush, H. Ind. J. Heterocycl. Chem. 1999, 8, 183.
  • Sample Availability: Not applicable.

Article Metrics

Citations

Article Access Statistics

Multiple requests from the same IP address are counted as one view.