Abstract
Two potentially heptadentate (N4O3) tripodal Schiff-base ligands: tris(3-(salicylideneimino)propyl)amine (H3L1) and tris(3-(4'-hydroxysalicylideneimino)-propyl)amine (H3L2) have been prepared and characterized by various spectroscopic methods (IR, FAB-MS, NMR). They are derived from the condensation reactions of tris(3-aminopropyl)amine (tpt), with 3 equivalents of either salicylaldehyde or the ring-substituted salicylaldehyde, 4-hydroxysalicylaldehyde. The nickel(II) and copper(II) complexes of H3L1 were obtained from the its reactions Ni(II) and Cu(II) salts in absolute methanol. These complexes were studied by IR and FAB-Mass spectrometry.
Introduction
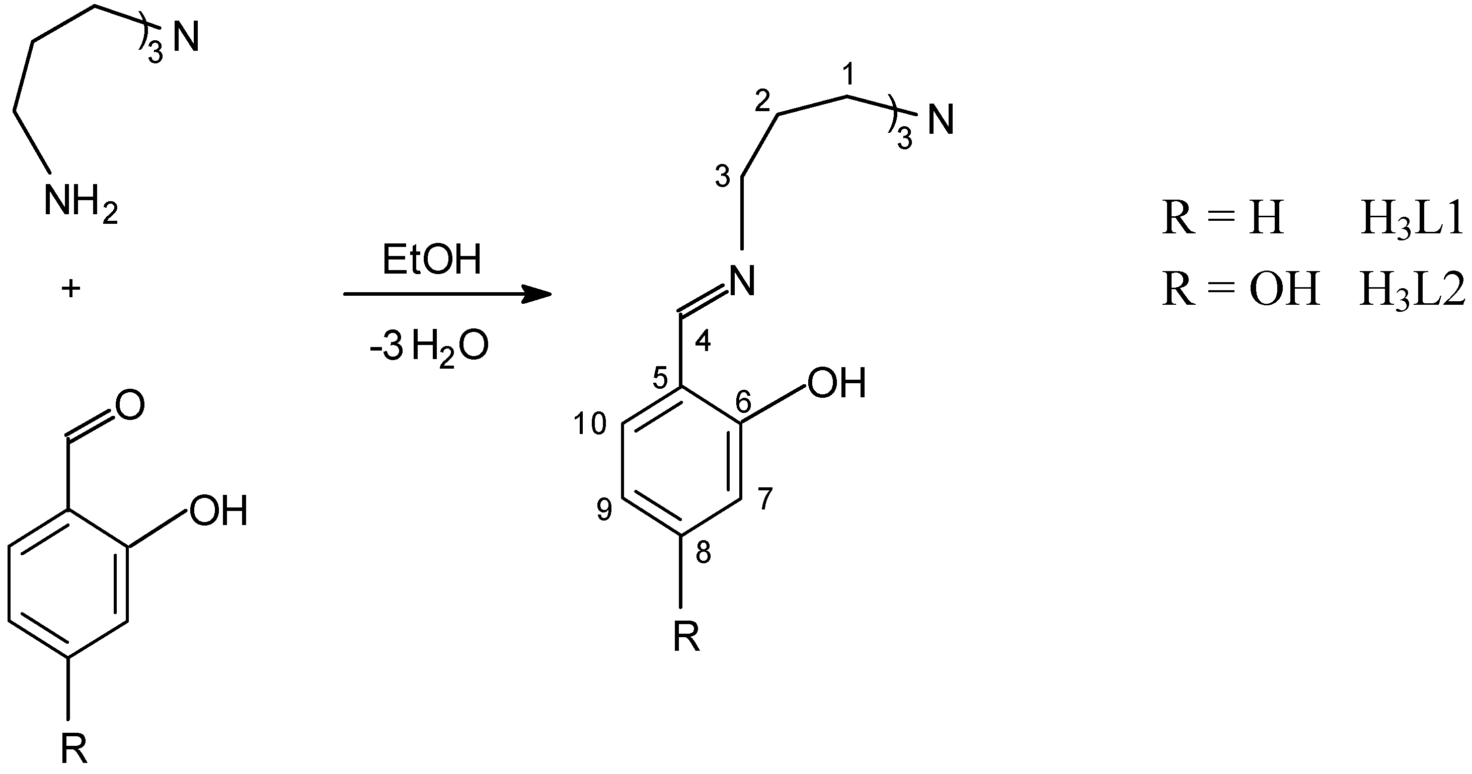
Potentially heptadentate (N4O3) Schiff-base ligands, derived from condensation reactions of tris(2-aminoethyl)amine (tren) with various ring substituted salicylaldehydes, have been prepared, and their coordination chemistry with a number of metal ions has been extensively investigated [1,2,3,4,5]. The amine phenol ligands, which have been prepared from the reduction of the corresponding Schiff-base ligands, have been also reported [6]. We and other workers have prepared complexes of fully condensed potentially heptadentate (N7) Schiff-base ligands derived from the condensation of tripodal tetraamines with either 2-acetylpyridine or 2-pyridinecarboxaldehyde [7,8,9,10]. However, herein we report the synthesis of the two potentially heptadentate (N4O3) Schiff-base ligands, H3L1 and H3L2 (Figure1) together with the synthesis of nickel(II) and copper(II) complexes of H3L1.
Figure 1.
The procedure of ligand synthesis, along with NMR numbering
Figure 1.
The procedure of ligand synthesis, along with NMR numbering

Results and discussion
Ligands
Two potentially heptadentate Schiff-base ligands were easily prepared by reaction of tris(3-amino-propyl)amine with 3 equivalent of salicylaldehyde or its 4-substituted derivative, as shown in Figure1. They are both sensitive to moisture and must be kept under vacuum. Complete condensation of all primary amino groups is confirmed by the lack of N-H stretching bands in the IR 3150-3450 cm-1 region and the presence of strong C=N stretching bands for both H3L1 and H3L2 ligands. This conclusion is also supported by the 1H-NMR data which shows not only the absence of N-H hydrogen resonances but also the presence of CH=N Hydrogen resonances at about 8 ppm.1H- and 13C-NMR spectra, mass spectral and infrared data for both ligands are completely consistent with the formulations indicated in Figure 1.
Complexes
Both complexes were investigated by elemental analysis, IR and FAB mass spectrometry. The lack of N-H stretching bands in the IR 3150-3450 cm-1 region and the presence of very strong C=N (Schiff-base) stretching bands at about 1630 cm-1 for both compounds show that the expected complexes were synthesized. The mass spectral data for complexes 1 and 2 are consistent with deprotonation of two of the three hydroxyl groups of the ligand, giving neutral complexes (Figure 2). The latter conclusion is also supported by the insolubility of these complexes in water. In both complexes the bridgehead nitrogen atom may be coordinated to the metal ions, as we have observed for the corresponding complexes derived from 2-acetylpyridine [7, 10].
Figure 2.
The proposed chemical structure for the complexes 1 and 2.
Figure 2.
The proposed chemical structure for the complexes 1 and 2.

Experimental
General
Salicylaldehyde and 4-hydroxysalicylaldehyde were obtained from Aldrich and were used without further purification. The tripodal tetraamine ligand tpt was synthesized according to the literature method [11]. IR and NMR spectra were measured on Shimadzu IR-435 and Bruker DPX 300 spectrometers respectively.
Ligand synthesis
Tris(3-(salicylideneimino)propyl)amine (H3L1): To a solution of salicylaldehyde (1.46 g, 12mmol) in diethyl ether (12mL) was added tpt ( 0.75g, 4mmol) in absolute ethanol (12mL). After the addition of additional diethyl ether (20 mL) and cooling in an ice bath for 30 min, the yellow precipitate formed was filtered off, washed with diethylether and dried in vacuo. Yield, 1.7g (85%); mp 100-102 ºC; Found: C, 64.0%; H, 7.6%; N, 10.1%. C30H36N4O3·3H2O requires: C, 65.0%; H, 7.6%; N, 10.1%; 1H-NMR (CDCl3, ppm, 300 MHz, Ar = Aromatic ring): δ 2.17 (m, 6H, 2-H), 3.06 (t, 6H, 1-H), 3.66 (t, 6H, 3-H), 6.85 (m, 6H, Ar H), 7.24 (m, 6H, Ar H), 8.33 (s, 3H, 4-H), 12.80 (bs, 3H, OH); 13C-NMR (CDCl3, ppm, 300 MHz): δ 25.92 (C-2), 51.82 (C-1), 56.33 (C-3), 119.64 (C-5), 117.67, 119.30, 132.94, 133.67 (C-7 to C-10), 162.36 (C-6), 167.96 (C-4); IR (Nujol mull) cm-1: 3000-2300 (b, νO-H), 1633.6, 1614.2 (sh), 1580, 1496.6 (s, νC=N and νC=C); FAB MS (positive FAB in nitrobenzyl alcohol): m/z 501 (MH+, [C30H37N4O3]+, 80%).
Tris(3-((4'-hydroxysalicylidene)imino)propyl)amine (H3L2): This compound was prepared analogously using 4-hydroxysalicylaldeyhde. Yield, 1.75g (80%); mp >170 ºC (decom.); 1H-NMR (DMSO, ppm, 300MHz, Ar = Aromatic ring) δ: 1.05 (t, CH3-CH2OH), 1.69 (m, 6H, 2-H), 2.43 (t, 6H, 1-H), 3.4 (q, CH3-CH2OH), 3.5 (t, 6H, 3-H), 6.13 (m, 3H, Ar H), 6.21 (m, 3H, Ar H), 7.13 (m, 3H, Ar H), 8.30 (s, 3H, 4-H), 12.80 (bs, 6H, OH); 13C-NMR (DMSO, ppm, 300 MHz) δ: 28.41 (C-2), 51.08 (C-1), 54.97 (C-3), 111.43 (C-5), 103.02, 106.98, 133.62 (C-7, C-9, C-10), 162.11, 165.76 (C-6, C-8), 164.95 (C-4); IR (Nujol mull) cm-1: 3500-2500 (broad weak band,νO-H), 1636.8, 1607 sh (vs, νC=N); FAB MS (positive FAB in nitrobenzyl alcohol): m/z 549 (MH+, [C30H37N4O6]+, 20%).
Complex Synthesis
Both complexes were readily prepared by addition of H3L1(0.5mmol in 50mL methanol) to a solution of the appropriate metal nitrate (0.5 mmol in the same solvent). After the addition of NaOH (3mmol in 10 mL methanol-water), the reaction mixture was heated for 30 min. Evaporation of the solvent yielded the product as a green powder.
Ni(HL1)·2H2O (1). Yield (0.18gr, 65%); Found: C, 60.5%; H, 5.6%; N, 9.1%. C30H38N4O5Ni requires: C, 60.7%; H, 6.4%; N, 9.4%; FAB MS (positive FAB in nitrobenzyl alcohol): m/z 557 (MH+, [C30H35N4O3Ni]+, 62%). IR (Nujol mull) cm-1: 3345 (w, νO-H), 1629.5 s, 1610, 1590, 1533 (νC=N and νC=C).
Cu(HL1) (2). Yield (0.17gr, 60%); FAB MS (positive FAB in nitrobenzyl alcohol): m/z 562 (MH+, [C30H35N4O3Cu]+, 55%). IR (Nujol mull) cm-1: 3300 (w, νO-H), 1619, 1599, 1536.5 (νC=N and νC=C).
References
- Costes, J.-P.; Dupuis, A.; Commenges, G.; Lagrave, S.; Laurent, J.-P. Mononuclear lanthanide complexes of tripodal ligands: synthesis and spectroscopic studies. Inorg. Chim. Acta 1999, 285, 49–54. [Google Scholar]
- Costes, J.-P.; Dahan, F.; Dupuis, A.; Lagrave, S.; Laurent, J.-P. Homo- (4f, 4f) and hetrodimethallic (4f, 4f’) Complexes. The first structurally characterized example of a hetrodimethalic (Yb, La) complex(1’). Magnetic properties of 1’ and of a homodinuclear (Gd, Gd) analogue. Inorg. Chem. 1998, 37, 153–155. [Google Scholar]
- Bhattacharyya, P.; Parr, J.; Ross, A. T.; Slawin, A. M. Z. First synthesis of a unique dilead Schiff base complex. J. Chem. Soc., Dalton Trans. 1998, 3149–3150. [Google Scholar]
- Kanesato, M.; Yokoyama, T.; Itabashi, O.; Suzuki, T. M.; Shiro, M. Synthesis and Structural Characterization of praseodymium(III) and Neodymium(III) complexes of tripodal tris[2-(salicylideneamino)ethyl]amine. Bull. Chem. Soc. Jpn. 1996, 69, 1297–1302. [Google Scholar]
- Aguiari, A.; Bullita, E.; Casellato, U.; Guerriero, P.; Tamburini, S.; Vigato, P. A. Preparation, properties and coordination behaviour of planar or tridimentional compartmental Schiff bases. Inorg. Chim. Acta 1994, 219, 135–146. [Google Scholar]
- Shuang, L.; Gelmini, L.; Rettig, S. J.; Thompson, R. C.; Orvig, C. Synthesis and characterization of lanthanide [Ln(L)]2 complexes of N4O3 amine phenol logands with phenolate oxygen bridges: evidence for very weak magnetic exchange between lanthanide Ions. J. Am. Chem. Soc. 1992, 114, 6081–6087. [Google Scholar]
- Keypour, H.; Salehzadeh, S.; Pritchard, R. G.; Parish, R. V. Nickel(II) complexes of fully and partially condensed Schiff-base ligands derived from tris(3-aminopropyl)amine and acetylpyridine. Transition. Met. Chem. 1998, 23, 605–607. [Google Scholar]
- Kirchner, R. M.; Mealli, C.; Baily, M.; House, N.; Torre, L. P.; Wilson, L. J.; Andrews, L. C.; Rose, N. J.; Lingafelter, E. C. The variable coordination chemistry of a potentially heptadentatecligand with a series of 3d transition metal ions. The chemistry and structures of [py3tren)]2+, where M(II) = Mn, Fe, Co, Ni, Cu and Zn and (py3tren) = N{CH2CH2N=C(H)(C6H4N)}3. Coord. Chem. Rev. 1987, 77, 89–163. [Google Scholar]
- Jäntti, A.; Wagner, M.; Sountamo, R.; Kolehmainen, E.; Rissanen, K. Schiff-base podates – X-ray, NMR and Ab initio molecular-orbital studies of the cadmium(II) complexes of linear and three-armed podads in solution and solid state. Eur. J. Inorg. Chem. 1998, 1555–1562. [Google Scholar]
- Keypour, H.; Salehzadeh, S.; Pritchard, R. G.; and Parish, R. V. Cadmium(II) complexes of fully condensed Schiff-base ligands derived from two different symmetrical and asymmetrical tripodal tetraamines and 2-acetylpyridine; the novel observations for heptadentate mono-capped trigonal antiprismatic Schiff-base complexes. Polyhedron 2000, 19, 1633–1637. [Google Scholar]
- Keypour, H.; Stotter, D. A. Macrocycle synthesis. CR-type complexes displaying pendant ligation and N3S coordination. Inorg. Chim. Acta 1979, 33, L149–151. [Google Scholar]
- Sample Availability: Available from the authors.
© 2002 by MDPI (http://www.mdpi.org). Reproduction is permitted for non commercial purposes.