Synthesis of Two Potentially Heptadentate (N4O3) Schiff-base Ligands Derived from Condensation of Tris(3-aminopropyl)-amine and Salicylaldehyde or 4-Hydroxysalicylaldehyde. Nickel(II) and Copper(II) Complexes of the Former Ligand
Abstract
:Introduction

Results and discussion
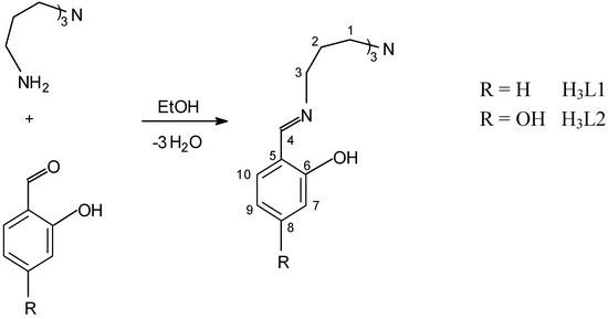
Ligands
Complexes

Experimental
General
Ligand synthesis
Complex Synthesis
References
- Costes, J.-P.; Dupuis, A.; Commenges, G.; Lagrave, S.; Laurent, J.-P. Mononuclear lanthanide complexes of tripodal ligands: synthesis and spectroscopic studies. Inorg. Chim. Acta 1999, 285, 49–54. [Google Scholar]
- Costes, J.-P.; Dahan, F.; Dupuis, A.; Lagrave, S.; Laurent, J.-P. Homo- (4f, 4f) and hetrodimethallic (4f, 4f’) Complexes. The first structurally characterized example of a hetrodimethalic (Yb, La) complex(1’). Magnetic properties of 1’ and of a homodinuclear (Gd, Gd) analogue. Inorg. Chem. 1998, 37, 153–155. [Google Scholar]
- Bhattacharyya, P.; Parr, J.; Ross, A. T.; Slawin, A. M. Z. First synthesis of a unique dilead Schiff base complex. J. Chem. Soc., Dalton Trans. 1998, 3149–3150. [Google Scholar]
- Kanesato, M.; Yokoyama, T.; Itabashi, O.; Suzuki, T. M.; Shiro, M. Synthesis and Structural Characterization of praseodymium(III) and Neodymium(III) complexes of tripodal tris[2-(salicylideneamino)ethyl]amine. Bull. Chem. Soc. Jpn. 1996, 69, 1297–1302. [Google Scholar]
- Aguiari, A.; Bullita, E.; Casellato, U.; Guerriero, P.; Tamburini, S.; Vigato, P. A. Preparation, properties and coordination behaviour of planar or tridimentional compartmental Schiff bases. Inorg. Chim. Acta 1994, 219, 135–146. [Google Scholar]
- Shuang, L.; Gelmini, L.; Rettig, S. J.; Thompson, R. C.; Orvig, C. Synthesis and characterization of lanthanide [Ln(L)]2 complexes of N4O3 amine phenol logands with phenolate oxygen bridges: evidence for very weak magnetic exchange between lanthanide Ions. J. Am. Chem. Soc. 1992, 114, 6081–6087. [Google Scholar]
- Keypour, H.; Salehzadeh, S.; Pritchard, R. G.; Parish, R. V. Nickel(II) complexes of fully and partially condensed Schiff-base ligands derived from tris(3-aminopropyl)amine and acetylpyridine. Transition. Met. Chem. 1998, 23, 605–607. [Google Scholar]
- Kirchner, R. M.; Mealli, C.; Baily, M.; House, N.; Torre, L. P.; Wilson, L. J.; Andrews, L. C.; Rose, N. J.; Lingafelter, E. C. The variable coordination chemistry of a potentially heptadentatecligand with a series of 3d transition metal ions. The chemistry and structures of [py3tren)]2+, where M(II) = Mn, Fe, Co, Ni, Cu and Zn and (py3tren) = N{CH2CH2N=C(H)(C6H4N)}3. Coord. Chem. Rev. 1987, 77, 89–163. [Google Scholar]
- Jäntti, A.; Wagner, M.; Sountamo, R.; Kolehmainen, E.; Rissanen, K. Schiff-base podates – X-ray, NMR and Ab initio molecular-orbital studies of the cadmium(II) complexes of linear and three-armed podads in solution and solid state. Eur. J. Inorg. Chem. 1998, 1555–1562. [Google Scholar]
- Keypour, H.; Salehzadeh, S.; Pritchard, R. G.; and Parish, R. V. Cadmium(II) complexes of fully condensed Schiff-base ligands derived from two different symmetrical and asymmetrical tripodal tetraamines and 2-acetylpyridine; the novel observations for heptadentate mono-capped trigonal antiprismatic Schiff-base complexes. Polyhedron 2000, 19, 1633–1637. [Google Scholar]
- Keypour, H.; Stotter, D. A. Macrocycle synthesis. CR-type complexes displaying pendant ligation and N3S coordination. Inorg. Chim. Acta 1979, 33, L149–151. [Google Scholar]
- Sample Availability: Available from the authors.
© 2002 by MDPI (http://www.mdpi.org). Reproduction is permitted for non commercial purposes.
Share and Cite
Keypour, H.; Salehzadeh, S.; Parish, R.V. Synthesis of Two Potentially Heptadentate (N4O3) Schiff-base Ligands Derived from Condensation of Tris(3-aminopropyl)-amine and Salicylaldehyde or 4-Hydroxysalicylaldehyde. Nickel(II) and Copper(II) Complexes of the Former Ligand. Molecules 2002, 7, 140-144. https://doi.org/10.3390/70200140
Keypour H, Salehzadeh S, Parish RV. Synthesis of Two Potentially Heptadentate (N4O3) Schiff-base Ligands Derived from Condensation of Tris(3-aminopropyl)-amine and Salicylaldehyde or 4-Hydroxysalicylaldehyde. Nickel(II) and Copper(II) Complexes of the Former Ligand. Molecules. 2002; 7(2):140-144. https://doi.org/10.3390/70200140
Chicago/Turabian StyleKeypour, Hassan, Sadegh Salehzadeh, and R. V. Parish. 2002. "Synthesis of Two Potentially Heptadentate (N4O3) Schiff-base Ligands Derived from Condensation of Tris(3-aminopropyl)-amine and Salicylaldehyde or 4-Hydroxysalicylaldehyde. Nickel(II) and Copper(II) Complexes of the Former Ligand" Molecules 7, no. 2: 140-144. https://doi.org/10.3390/70200140
APA StyleKeypour, H., Salehzadeh, S., & Parish, R. V. (2002). Synthesis of Two Potentially Heptadentate (N4O3) Schiff-base Ligands Derived from Condensation of Tris(3-aminopropyl)-amine and Salicylaldehyde or 4-Hydroxysalicylaldehyde. Nickel(II) and Copper(II) Complexes of the Former Ligand. Molecules, 7(2), 140-144. https://doi.org/10.3390/70200140
