Abstract
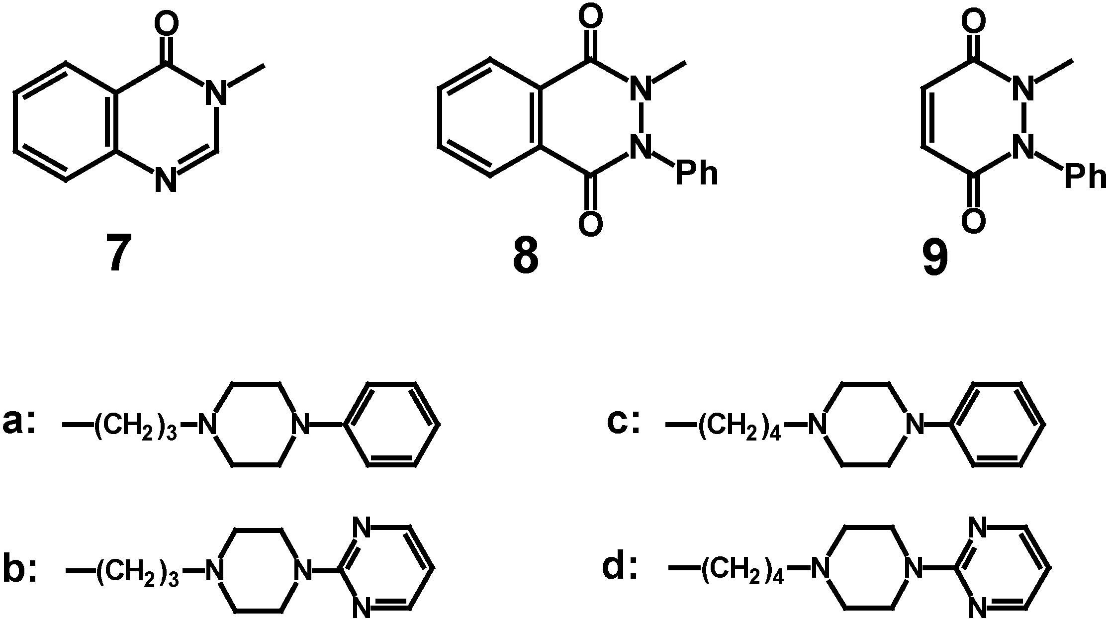
The synthesis of a series of new n-propyl and n-butyl chain containing 1-aryl-piperazine derivatives of quinazolidin-4(3H)-one (7) 2-phenyl-2,3-dihydrophthalazine-1,4-dione (8) and 1-phenyl-1,2-dihydropyridazine-3,6-dione (9) as potential serotonin receptor ligands is described.
Introduction
Early studies by Hibert et al. have shown that there are two basic pharmacophore groups common to all five classes of 5-HT1A receptor ligands: a basic nitrogen atom and an aromatic ring with its centre positioned at a distance of 5.2-5.7 Å [1]. Since then several attempts have been made to extend that model, but the large diversity of ligand structures made definition of general interaction modes impossible. In consequence, a search for other pharmacophore groups was limited to single classes or subgroups of ligands [2,3,4,5]. In the case of 1-arylpiperazine derivatives – the biggest and thoroughly investigated class of 5-HT1A receptor ligands [6] – an amide moiety [7] or an amide oxygen atom [8] was suggested as a third interaction point; however, the authors developed those models on the basis of a relatively small group of compounds. Extensive CoMFA investigation of a large set of 1-arylpiperazine derivatives has revealed that in this third interaction region different forces, e.g. steric, electrostatic or lipophilic, may influence the ligand-receptor complex formation [9]. Since the role of the amide fragment in ligand-receptor interactions is still unclear systematic structure affinity relationship studies are necessary.
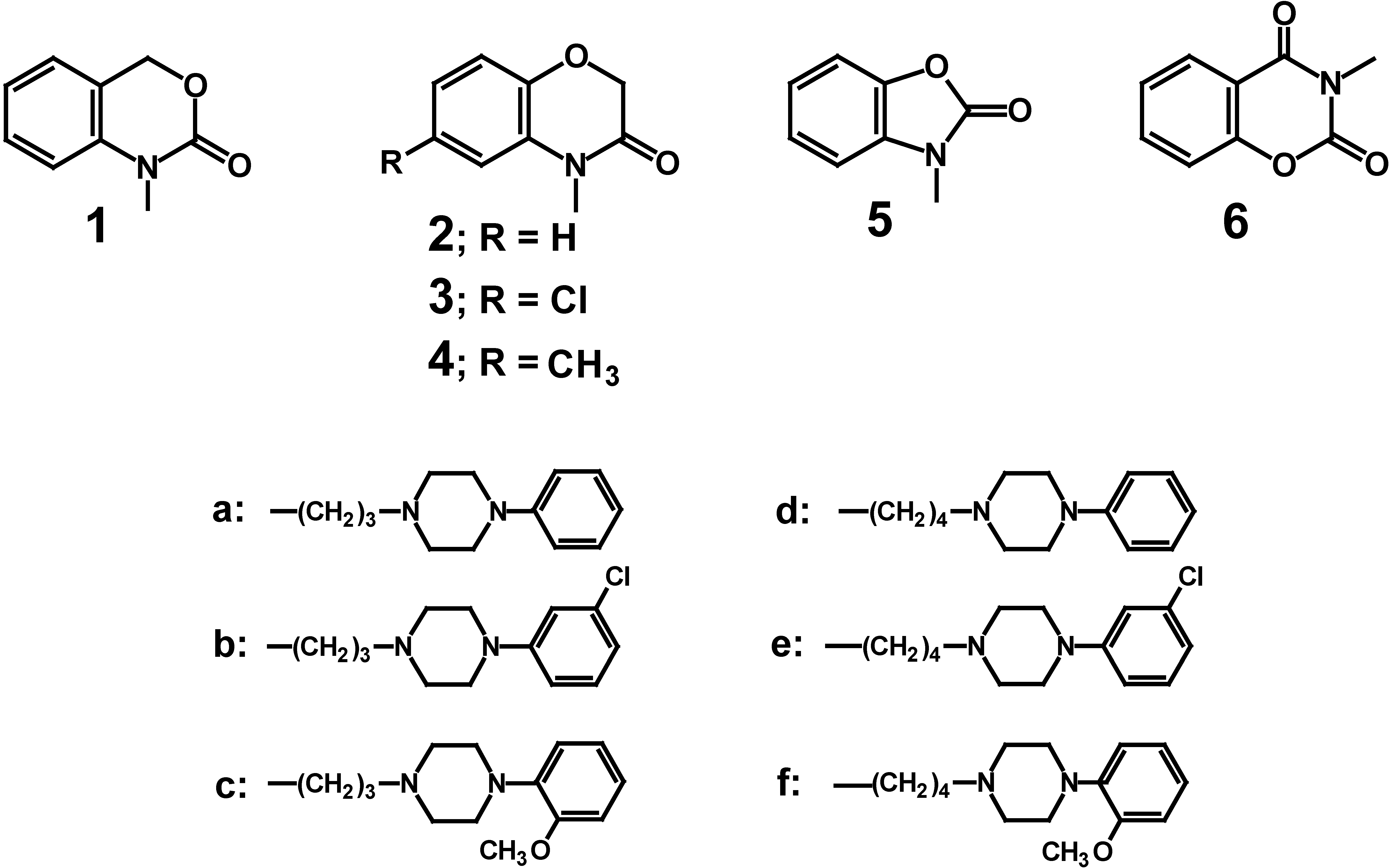
Recently we described the synthesis and pharmacological results concerning new arylpiperazine derivatives with systematic modifications in the amide part, i.e. 1-arylpiperazine derivatives of benzoxazinone 1-4, benzoxazolinone 5 and benzoxazolindione 6 [10].
The majority of these compounds have a distinct affinity for 5-HT1A and/or 5-HT2A receptor binding sites. Radioligand binding studies have shown that compounds 1b, 2a-b, 2d-e, 4b and 6e-f have a good (Ki = 1.25 - 40 nM) and compounds 1a, 3a-b and 5a-b a moderate (Ki = 72-110 nM) affinity for 5-HT1A receptors. The 5-HT2A affinity of the obtained compounds was within a range of Ki = 18 - 495 nM. On the other hand Buspirone – {4-[4-(2-pyrimidinyl)-1-piperazinyl]butyl}-8-azaspiro[4.5]decane-7,9-dione – approved as the anxiolytic drug, and its two analogues Ipsapirone and Gepirone bind with high affinity and selectivity to 5-HT1A serotonin receptor sites. Therefore, in order to throw more light on ligand – 5-HT1A receptor interactions we designed new model 1-phenylpiperazine and 1-(2-pyrimidinyl)piperazine derivatives with systematic structural changes within the terminal amide part.
Results and Discussion
We present in this paper the synthesis of new N-[3-(4-aryl-1-piperazinyl)propyl] or N-[4-(4-aryl-1-piperazinyl)butyl] derivatives of quinazolidin-4(3H)-one (7a-d), 2-phenyl-2,3-dihydrophthalazine-1,4-dione (8a-d) and 1-phenyl-1,2-dihydropyridazine-3,6-dione (9a-d) (Scheme 1) in which the length of a spacer, arylpiperazine and terminal amide fragment were systematically modified. Preliminary investigation results on affinities of obtained compounds for 5HT1A and 5HT2A receptor sites are also presented.
Scheme 1.
Scheme 1.

Starting materials quinazolidin-4(3H)-one (7), 2-phenyl-2,3-dihydrophtalazine-1,4-dione (8) and 1-phenyl-1,2-dihydropyridazine-3,6-dione (9) were obtained according to procedures described in the literature. Quinazolidin-4(3H)-one (7) was obtained from antranilic acid [11], 2-phenyl-2,3-dihydrophtalazine-1,4-dione (8) from ftalic anhydride [12], while 1-phenyl-1,2-dihydropyridazine-3,6-dione (9) from maleic anhydride [13].
Scheme 2.
Scheme 2.

Compounds 7a-d, 8a-d, 9a-d were prepared by a two-step procedure. Alkylation of 7-9 with 1-bromo-3-chloropropane (10) or 1,4-dibromobutane (11) in the presence of K2CO3 in acetonitrile led to the formation of halogen intermediates 12, 13, 16, 17, 20 and 21 (Scheme 2). In the reaction, symmetrically disubstituted derivatives 14, 15, 18, 19, 22 and 23, were also formed as byproducts. When in a place of 1-bromo-3-chloropropane (10) 1,3-dibromopropane was used, increased yields of the disubstituted derivatives (14, 18 and 22) have been observed. The yields, melting points, and 1H-NMR signals observed in the regions characteristic of CH2X and CH2NC=O protons as well as absorption of the carbonyl group in IR spectra of obtained compounds 12-23 are collected in Table 1.
The presence of the carbonyl group in the compounds 12-15 is confirmed by the absorptions found in the usual carbonyl region at 1658-1680 cm-1. The 1H-NMR spectra of compounds 12-13 display typical signals arising from the methylene hydrogens in the -CH2X and -CH2NC=O fragments, while disubstituted derivatives 14 and 15 gave 1H-NMR spectra in which two equivalent methylene hydrogens have been detected in the -CH2NC=O fragment. The above analysis of the 1H-NMR and IR spectra indicated that under the applied reaction conditions quinazolidin-4(3H)-one (7) undergoes N-substitution. Application of the same reaction conditions to alkylation of 2-phenyl-2,3-dihydrophthalazine-1,4-dione (8) and 1-phenyl-1,2-dihydropyridazine-3,6-dione (9) results in formation of the N-substituted derivatives 16-19 and 20-23 respectively, in agreement with both our own and literature reports on the structural determination of substituted lactams [14,15,16,17,18,19,20,21].
Table 1.
Reaction yields, physical properties and spectral data of halogen- (12, 13, 16, 17, 20 and 21) and disubstituted derivatives (14, 15, 18, 19, 22 and 23) of quinazolidin-4(3H)-one (7), 2-phenyl-2,3-dihydrophthalazine-1,4-dione (8) and 1-phenyl-1,2-dihydropyridazine-3,6-dione (9).
| Comp. No. | Yield % | M.p. [°C] | Crystallization solvent | 1H-NMR, δ (ppm) | IR, (cm-1) C=O | |
|---|---|---|---|---|---|---|
| CH2X | CH2NC=O | |||||
| 12 | 51 | 105-107 | methanol | 3.61, t, 2H | 4.20, t, 2H | 1665 |
| 13 | 69 | 86-88 | methanol | 3.45, t, 2H | 4.05, t, 2H | 1658 |
| 14 | 5.3 | 194-196 | methanol | - | 4.23, t, 4H | 1672 |
| 15 | 11 | 223-225 | ethanol | - | 4.10, t, 4H | 1680 |
| 16 | 67 | 80-82 | methanol | 3.78, t, 2H | 4.52, t, 2H | 1656 |
| 17 | 49 | 65-67 | methanol | 3.52, t, 2H | 4.39, t, 2H | 1657 |
| 18 | 6.3 | 145-147 | ethanol | - | 4.61, t, 4H | 1669 |
| 19 | 28 | 241-243 | DMF | - | 4.49, t, 4H | 1657 |
| 20 | 65 | 70-72 | acetone | 3.70, t, 2H | 4.33, t, 2H | 1671 |
| 21 | 53 | 62-65 | methanol | 3.46, t, 2H | 4.20, t, 2H | 1670 |
| 22 | 7.1 | 202-204 | methanol | - | 4.33, t, 4H | 1659 |
| 23 | 13 | 165-167 | ethanol | - | 4.23, t, 4H | 1677 |
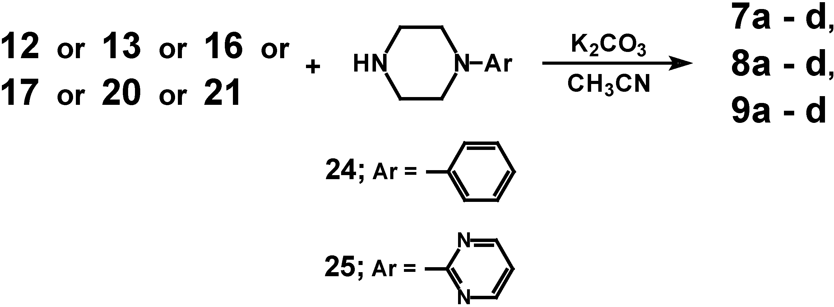
Target compounds 7a-d, 8a-d, 9a-d were obtained upon condensation of intermediates 12, 13, 16, 17, 20 or 21 with 1-phenylpiperazine (24) or 1-(2-pyrimidinyl)piperazine (25), respectively (Scheme 3).
Scheme 3.
Scheme 3.

Reactions were carried out in acetonitrile in the presence of anhydrous K2CO3. Reaction yields and the properties of the obtained compounds are presented in the Experimental section of the paper. The mass spectra of the compounds 7a-d, 8a-d, 9a-d (Scheme 4) generally show the presence of molecular ions of weak intensity.
Scheme 4.
Scheme 4.

The base peaks of the investigated compounds mainly correspond to [CH2=NR2]+ ion formation: m/z=175; m/z=177. This is in agreement with the general patterns observed for alkylamine fragmentation [22,23]. In case of derivatives 7a-b, 8a-b, 9a-b, with a three member spacer chain, we find that fragmentation leads to fragments with m/z=187, m/z=279 and m/z=229 respectively, which are consistent with the behaviour of alkyl substituted lactams in mass spectroscopy [23]
Biological activity
Preliminary investigations of the affinity of the obtained compounds 7a-d, 8a-d, 9a-d towards 5-HT1A and 5-HT2A receptors were performed using compound 8c and 9c. Affinities were assessed in vitro on the basis of their ability to displace [3H]-8-OH-DPAT [8-hydroxy-2-(n-propylamino)tetraline] and [3H]-ketanserin, respectively. Radioligand binding experiments were conducted in the rat hippocampus for 5-HT1A receptors and in the cortex for 5-HT2A receptors according to published procedures [24]. The results showed that compound 9c has good affinity for 5-HT1A receptors (Ki = 19 ± 1 nM), better than that of compound 8c (Ki = 119 ± 8 nM), while both compounds have moderate affinity for 5-HT2A receptors (Ki = 309 ± 1 nM for 8c and Ki = 409 ± 17 nM for 9c). Full experimental results on the affinities of all the obtained compounds 7a-d, 8a-d, 9a-d for serotonin 5-HT1A/5-HT2A receptor sites will be presented soon in an appropriate pharmaceutical journals.
Experimental
General
Elemental analyses were performed on a Perkin-Elmer 2400 analyser. EI mass spectra were carried out with a Varian MAT 112 spectrometer at 70 eV. The 1H-NMR spectra were recorded in deuterochloroform with a Tesla 487C (80 MHz) spectrometer and using tetramethylsilane (TMS) as an internal standard; the chemical shifts are reported in ppm (δ); coupling constants were taken from the expanded spectrum. IR spectra were recorded on a Bio-Rad FTS-175C spectrophotometer in KBr pellets. Melting points were determined in a Boetius apparatus and are uncorrected. For biological experiments, free bases 7a-d, 8a-d, 9a-d were converted into their hydrochloride salts and their molecular formulas and molecular weights were established on the basis of an elemental analysis.
General procedure for preparation of derivatives 12, 13, 16, 17, 20 and 21
A mixture of the lactam 7 or 8 or 9 (0.1 mole), the appropriate 1-bromo-3-chloropropane (10) (0.12 mole) or 1,4-dibromobutane (11) (0.12 mole), powdered K2CO3 (20.7 g, 0.15 mole) and a catalytic amount of KI in acetonitrile (200 mL) was stirred and refluxed 24 h (Scheme 2). The cold reaction mixture was filtered and the filter cake washed with cold acetonitrile (20 mL). The combined filtrates were evaporated to dryness and the residue was purified by recrystallisation. Reaction yields and physical properties of the obtained compounds 12, 13, 16, 17, 20 and 21 are given in Table 1. From the dry filter cake, after suspending in water, byproducts 14, 15, 18, 19, 22 and 23 were isolated with moderate yields. Reaction yields and physical properties of compounds 14, 15, 18, 19, 22 and 23 are collected in Table 1.
General procedure for the preparation of compounds 7a-d, 8a-d and 9a-d
A mixture of the corresponding chloro derivative (12, 16, 20) (0.01 mole), arylpiperazine (24, 25) (0.01 mole), powdered K2CO3 (4.14 g, 0.03 mole) and catalytic amount of KI in acetonitrile (30 mL) was stirred for 48 h at 50-60° (Scheme 3). When in place of the chloro derivatives (12, 16, 20) a bromo derivative (13, 17, 21) (0.01 mole) was used, the reaction mixture was stirred at 50-60 ° for 24 h. The inorganic precipitate was filtered off, the filtrate was evaporated, and the residue was recrystallised from the appropriate solvent.
General procedure for the preparation of hydrochlorides
Free bases 7a-d, 8a-d and 9a-d were converted into their hydrochlorides by dissolving the corresponding base in acetone (10mL/g) and treating with ethanol saturated with HCl. The precipitate was filtered off and washed with acetone. Some of the hydrochlorides were additionally purified by recrystallisation.
3-[3-(4-phenyl-1-piperazinyl)propyl]-quinazolidin-4(3H)-one (7a)
Base 7a was obtained in 64% yield, m.p. 119-121°C (methanol); 1H-NMR: δ 1.92-2.17 (m, 2H, CH2CH2CH2), δ 2.35-2.66 (m, 6H, CH2N(CH2)2 and CH2N(CH2)2), δ 3.10-3.24 (m, 4H, (CH2)2NAr), δ 4.12 (t, 2H, CH2NC=O, J=6.6 Hz), δ 8.14 (s, 1H, CH=N), δ 6.87-8.38 (m, 9HAr); MS: m/z (I%); M 348 (92), 187 (100) 175 (56); Hydrochloride m.p. 210-213°C (acetone-methanol 10:1); Anal. Calcd. for C21H24N4O•2HCl•1.5H2O (448.40): C, 56.25; H, 6.52; N, 12.50; Found: C, 55.96; H, 6.37; N, 12.58.
3-{3-[4-(2-pyrimidinyl)-1-piperazinyl]propyl}-quinazolidin-4(3H)-one (7b)
Base 7b was obtained in 71% yield, m.p. 102-103°C (acetone); 1H-NMR: δ 1.94-2.16 (m, 2H, CH2CH2CH2), δ 2.34-2.59 (m, 6H, CH2N(CH2)2 and CH2N(CH2)2), δ 3.72-3.91 (m, 4H, (CH2)2NAr), δ 4.14 (t, 2H, CH2NC=O, J=6.6 Hz), δ 6.48 (t, 1H, 5HPyrim, J=4.7 Hz), δ 8.16 (s, 1H, CH=N), δ 8.31 (d, 2H, 4HPyrim and 6HPyrim, J=4.7 Hz), δ 7.44-8.38 (m, 4HAr); MS: m/z (I%); M 350 (5),187 (100), 177 (30); Hydrochloride m.p. 224-227°C (acetone-ethanol 10:1); Anal. Calcd. for C19H22N6O•2HCl (423.35): C, 53.91; H, 5.71; N, 19.85; Found: C, 53.99; H, 5.77; N, 19.76.
3-[4-(4-phenyl-1-piperazinyl)butyl]-quinazolidin-4(3H)-one (7c)
Base 7c was obtained in 61% yield, m.p. 139-141°C (methanol); 1H-NMR: δ 1.56-2.03 (m, 4H, CH2CH2CH2CH2), δ 2.34-2.66 (m, 6H, CH2N(CH2)2 and CH2N(CH2)2) , δ 3.12-3.25 (m, 4H, (CH2)2NAr), δ 4.05 (t, 2H, CH2NC=O, J=6.6 Hz), δ 8.03 (s, 1H, CH=N), δ 6.81-8.37 (m, 9HAr); MS: m/z (I%); M 362 (69), 175 (100); Hydrochloride m.p. 216-219°C (acetone-ethanol 10:1); Anal. Calcd. for C22H26N4O•2HCl (435.40): C, 60.69; H, 6.48; N, 12.87; Found: C, 60.42; H, 6.58; N, 12.60.
3-{4-[4-(2-pyrimidinyl)-1-piperazinyl]butyl}-quinazolidin-4(3H)-one (7d)
Base 7d was obtained in 70% yield, m.p. 95-97°C (acetone); 1H-NMR: δ 1.62-2.01 (m, 4H, CH2CH2CH2CH2), δ 2.34-2.54 (m, 6H, CH2N(CH2)2 and CH2N(CH2)2), δ 3.74-3.96 (m, 4H, (CH2)2NAr), δ 4.05 (t, 2H, CH2NC=O, J=6.6 Hz), δ 6.47 (t, 1H, 5HPyrim, J=4.7 Hz), δ 8.04 (s, 1H, CH=N), δ 8.30 (d, 2H, 4HPyrim and 6HPyrim, J=4.7 Hz), δ 7.50-8.37 (m, 4HAr); MS: m/z (I%); M 364 (21), 177 (100); Hydrochloride: m.p. 192-195°C (2-propanol-acetone 1:1); Anal. Calcd. for C20H24N6O•HCl•0.5H2O (409.92): C, 58.60; H, 6.39; N, 20.50; Found: C, 58.89; H, 6.64; N, 20.25.
3-[3-(4-phenyl-1-piperazinyl)propyl]-2-phenyl-2,3-dihydrophthalazine-1,4-dione (8a)
Base 8a was obtained in 69% yield, m.p. 54-56°C (methanol); 1H-NMR: δ 1.99-2.26 (m, 2H, CH2CH2CH2), δ 2.56-2.75 (m, 6H, CH2N(CH2)2 and CH2N(CH2)2), δ 3.11-3.28 (m, 4H, (CH2)2NAr), δ 4.45 (t, 2H, CH2NC=O, J=6.6 Hz), δ 6.91-8.55 (m, 14HAr); MS: m/z (I%); M 440 (10), 279 (6), 175 (100); Hydrochloride m.p. 215-218 °C (ethanol); Anal. Calcd. for C27H28N4O2•HCl•0.5H2O (486.02): C, 66.73; H, 6.22; N, 11.53; Found: C, 66.62; H, 6.19; N, 11.50.
3-{3-[4-(2-pyrimidinyl)-1-piperazinyl]propyl}-2-phenyl-2,3-dihydrophthalazine-1,4-dione (8b)
Base 8b was obtained in 63% yield, m.p. 128-130°C (acetone); 1H-NMR: δ 1.97-2.27 (m, 2H, CH2CH2CH2), δ 2.45-2.72 (m, 6H, CH2N(CH2)2 and CH2N(CH2)2), δ 3.78-3.93 (m, 4H, (CH2)2NAr), δ 4.44 (t, 2H, CH2NC=O, J=6.6 Hz), δ 6.48 (t, 1H, 5HPyrim, J=4.7 Hz), δ 8.30 (d, 2H, 4HPyrim and 6HPyrim, J=4.7 Hz), δ 7.34-8.55 (m, 9HAr); MS: m/z (I%); M 442 (16), 279 (56), 177 (100); Hydrochloride m.p. 226-229°C (acetone-ethanol 1:3); Anal. Calcd. for C25H26N6O2•2HCl•0.5H2O (524.45): C, 57.26; H, 5.57; N, 16.02; Found: C, 57.34; H, 5.62; N, 15.92.
3-[4-(4-phenyl-1-piperazinyl)butyl]-2-phenyl-2,3-dihydrophthalazine-1,4-dione (8c)
Base 8c was obtained in 73% yield, m.p. 111-113 °C (ethanol); 1H-NMR: δ 1.72-2.03 (m, 4H, CH2CH2CH2CH2), δ 2.41-2.70 (m, 6H, CH2N(CH2)2 and CH2N(CH2)2), δ 3.14-3.29 (m, 4H, (CH2)2NAr), δ 4.39 (t, 2H, CH2NC=O, J=6.6 Hz), δ 6.86-8.47 (m, 14HAr); MS: m/z (I%); M 454 (7), 175 (100); Hydrochloride m.p. 179-183°C (acetone-ethanol 10:1); Anal. Calcd. for C28H30N4O2•HCl•H2O (491.03): C, 66.07; H, 6.13; N, 11.00; Found: C, 66.29; H, 6.50; N, 10.83.
3-{4-[4-(2-pyrimidinyl)-1-piperazinyl]butyl}-2-phenyl-2,3-dihydrophthalazine-1,4-dione (8d)
Base 8d was obtained in 58% yield, m.p. 154-156°C (methanol); 1H-NMR: δ 1.72-1.99 (m, 4H, CH2CH2CH2CH2), δ 2.41-2.65 (m, 6H, CH2N(CH2)2 and CH2N(CH2)2), δ 3.77-3.91 (m, 4H, (CH2)2NAr), δ 4.39 (t, 2H, CH2NC=O, J=6.6 Hz), δ 6.48 (t, 1H, 5HPyrim, J=4.7 Hz), δ 8.32 (d, 2H, 4HPyrim and 6HPyrim, J=4.7 Hz), δ 7.34-8.55 (m, 9HAr); MS: m/z (I%); M 456 (5), 177 (100); Hydrochloride m.p. 207-209°C (acetone-ethanol 10:1); Anal. Calcd. for C26H28N6O2•2HCl•H2O (547.48): C, 57.04; H, 5.89; N, 15.35; Found: C, 57.31; H, 5.98; N, 15.26.
2-[3-(4-phenyl-1-piperazinyl)propyl]-1-phenyl-1,2-dihydropyridazine-3,6-dione (9a)
Base 9a was obtained in 74% yield, m.p. 97-99°C (acetone); 1H-NMR: δ 1.88-2.09 (m, 2H, CH2CH2CH2), δ 2.44-2.69 (m, 6H, CH2N(CH2)2 and CH2N(CH2)2), δ 3.12-3.26 (m, 4H, (CH2)2NAr), δ 4.25 (t, 2H, CH2NC=O, J=6.6 Hz), δ 6.85-7.74 (m, 12HAr); MS: m/z (I%); M 390 (22), 229 (14), 175 (100); Hydrochloride m.p. 219-221°C (acetone-ethanol 10:1); Anal. Calcd. for C23H26N4O2•HCl•H2O (444.96): C, 62.08; H, 6.57; N, 12.59; Found: C, 62.13; H, 6.63; N, 12.33.
2-{3-[4-(2-pyrimidinyl)-1-piperazinyl]propyl}-1-phenyl-1,2-dihydroppyridazine-3,6-dione (9b)
Base 9b was obtained in 72% yield, m.p. 152-154°C (methanol); 1H-NMR: δ 1.84-2.06 (m, 2H, CH2CH2CH2), δ 2.43-2.62 (m, 6H, CH2N(CH2)2 and CH2N(CH2)2), δ 3.75-3.93 (m, 4H, (CH2)2NAr), δ 4.25 (t, 2H, CH2NC=O, J=6.6 Hz), δ 6.48 (t, 1H, 5HPyrim, J=4.7 Hz), δ 6.99-7.74 (m, 7HAr), 8.30 (d, 2H, 4HPyrim and 6HPyrim, J=4.7 Hz); MS: m/z (I%); M 392 (100), 229 (64), 177 (85); Hydrochloride m.p. 219-221°C (acetone-ethanol 10:1); Anal. Calcd. for C21H24N6O2•2HCl (465.38): C, 54.20; H, 5.63; N, 18.06; Found: C, 54.27; H, 5.74; N, 17.80.
2-[4-(4-phenyl-1-piperazinyl)butyl]-1-phenyl-1,2-dihydropyridazine-3,6-dione (9c)
Base 9c was obtained in 71% yield, m.p. 91-93°C (methanol-H2O 4:1); 1H-NMR: δ 1.62-1.94 (m, 4H, CH2CH2CH2CH2), δ 2.37-2.66 (m, 6H, CH2N(CH2)2 and CH2N(CH2)2), δ 3.13-3.27 (m, 4H, (CH2)2NAr), δ 4.20 (t, 2H, CH2NC=O, J=6.6 Hz), δ 6.86-7.72 (m, 12HAr); MS: m/z (I%); M 404 (9), 175 (100); Hydrochloride m.p.199-202°C (methanol); Anal. Calcd. for C24H28N4O2•HCl (440.97): C, 65.37; H, 6.63; N, 12.71; Found: C, 65.12; H, 6.35; N, 12.53.
2-{4-[4-(2-pyrimidinyl)-1-piperazinyl]butyl}-1-phenyl-1,2-dihydropyridazine-3,6-dione (9d)
Base 9d was obtained in 66% yield, m.p. 104-106 °C (acetone); 1H-NMR: δ 1.56-1.81 (m, 4H, CH2CH2CH2CH2), δ 2.44-2.58 (m, 6H, CH2N(CH2)2 and CH2N(CH2)2), δ 3.75-3.91 (m, 4H, (CH2)2NAr), δ 4.20 (t, 2H, CH2NC=O, J=6.6 Hz), δ 6.48 (t, 1H, 5HPyrim, J=4.7 Hz), δ 6.97-7.74 (m, 7HAr), δ 8.30 (d, 2H, 4HPyrim and 6HPyrim, J=4.7 Hz); MS: m/z (I%); M 406 (33), 177 (100); Hydrochloride m.p. 203-205 °C (methanol); Anal. Calcd. for C22H26N6O2•HCl•H2O (460.96): C, 57.32; H, 6.34; N, 18.23; Found: C, 57.49; H, 6.19; N, 18.19.
References
- Hibert, M.F.; Gittos, M.W.; Middlemiss, D.N.; Mir, A.K.; Fozard, J.R. J. Med. Chem. 1988, 31, 1087. [CrossRef]
- Mellin, C.; Vallgarda, J.; Nelson, D.L.; Bjork, L.; Yu, H.; Anden, N.E.; Csoregh, I.; Arvidsson, L.E.; Hacksell, U. J. Med. Chem. 1991, 34, 497. [CrossRef]
- Chidester, C.G.; Lin, C.H.; Lahti, R.A.; Haadsma-Svensson, S.R.; Smith, M.W. J. Med. Chem. 1993, 36, 1301. [CrossRef]
- Agarwal, A.; Pearson, P.P.; Taylor, E.W.; Li, H.B.; Dahlgren, T.; Herslof, M.; Yang, Y.; Lambert, G.; Nelson, D.L.; Regan, J.W. J. Med. Chem. 1993, 36, 4006. [CrossRef]
- van Steen, B.J.; van Wijngaarden, I.; Tulp, M.T.; Soudijn, W. J. Med. Chem. 1994, 37, 2761.
- Glennon, R.A.; Dukat, M. Serotonin ID research alert 1997, 2, 351.
- Mokrosz, M.J.; Duszynska, B.; Bojarski, A.J.; Mokrosz, J.L. Bioorg. Med. Chem. 1995, 3, 533. [CrossRef]
- Chilmonczyk, Z.; Szelejewska-Wozniakowska, A.; Cybulski, J.; Cybulski, M.; Koziol, A.E.; Gdaniec, M. Arch. Pharm. (Weinheim). 1997, 330, 146. [CrossRef]
- Gaillard, P.; Carrupt, P.A.; Testa, B.; Schambel, P. J. Med. Chem. 1996, 39, 126. [CrossRef]
- Mokrosz, M.J.; Kowalski, P.; Kowalska, T.; Majka, Z.; Duszynska, B.; Bojarski, A.J.; Fruzinski, A.; Karolak-Wojciechowska, J.; Wesolowska, A.; Klodzinska, A.; Tatarczynska, E.; Chojnacka-Wójcik, E. Arch. Pharm. (Weinheim) 1999, 332, 373.
- Niementowski, S. J. Prakt. Chem. 1895, 51, 566. Ried, W.; Stephan, W. Chem. Ber. 1962, 95, 3042.
- Chattaway, F.D.; Tesh, W. J. Chem. Soc. 1920, 117, 711. Axelrad, G.; Lamontanaro, D.M. J. Heterocyclic Chem. 1972, 9, 1407. Baloniak, S.; Mroczkiewicz, A.; Kartusiak, A. Pol. J. Chem. 1996, 70, 1274.
- Curtius, T.; Foersterling, M.A. J. Prakt. Chem. 1895, 51, 371. Chattaway, F.D.; Parkes, D.W. J. Chem. Soc. 1922, 121, 711. Druey, J.; Hüni, A.; Meier, K.; Ringier, B.H.; Staehelin, A. Helv. Chim. Acta 1954, 37, 510. Feuer, H.; White, E.H.; Wyman, J.E. J. Am. Chem. Soc. 1958, 80, 3790.
- Axelrad, J.; Lamontanaro, D.M. J. Hetrocyclic Chem. 1972, 9, 1407. [CrossRef]
- Pring, B.G.; Swahn, K.-G. Acta Chem. Scand. 1973, 27, 1891. [CrossRef]
- Kornet, M.J.; Varia, T.; Beaven, W. J. Heterocyclic Chem. 1983, 20, 1553.
- Kornet, M.J. Eur. J. Med. Chem. 1986, 21, 529.
- Zielinski, W.; Mazik, M. Pol. J. Chem. 1994, 68, 489.
- Kowalska, T.; Kowalski, P.; Rutkowski, K.; Wozniak, M.; Kleinrok, Z.; Jagiello-Wojtowicz, E.; Szurska, G.; Chodkowska, A. Acta Pol. Pharmaceutica - Drug Res. 1994, 51, 143.
- Mokrosz, M.J.; Kowalski, P.; Kowalska, T.; Majka, Z.; Duszynska, B.; Charakchieva-Minol, S.; Szaro, A.; Tatarczynska, E.; Klodzinska, A.; Chojnacka-Wojcik, E. Pol. J. Pharmacol. 1998, 50, 333.
- Kowalski, P.; Mokrosz, M.J.; Majka, Z.; Kowalska, T.; Duszynska, B. J. Heterocyclic Chem. 2000, 37, 187. [CrossRef]
- Czuba, W.; Rutkowski, K.; Kowalski, P. Org. Mass Spectrom. 1978, 13, 203.
- Porter, Q.N. Mass Spectrometry of Heterocyclic Compounds, Second Edition ed; John Wiley & Sons: New York - Chichester - Brisbane - Toronto - Singapore, 1985. [Google Scholar]
- Bojarski, A.J.; Cegla, M.T.; Charakchieva-Minol, S.; Mokrosz, M.J.; Mackowiak, M.; Misztal, S.; Mokrosz, J.L. Pharmazie 1993, 48, 289.
- Sample Availability: Available from the authors.
© 2001 by MDPI (http://www.mdpi.org). Reproduction is permitted for noncommercial purposes.