Conformational Study of New AZT Derivatives
Abstract
:Introduction

Experimental
Results and Discussion
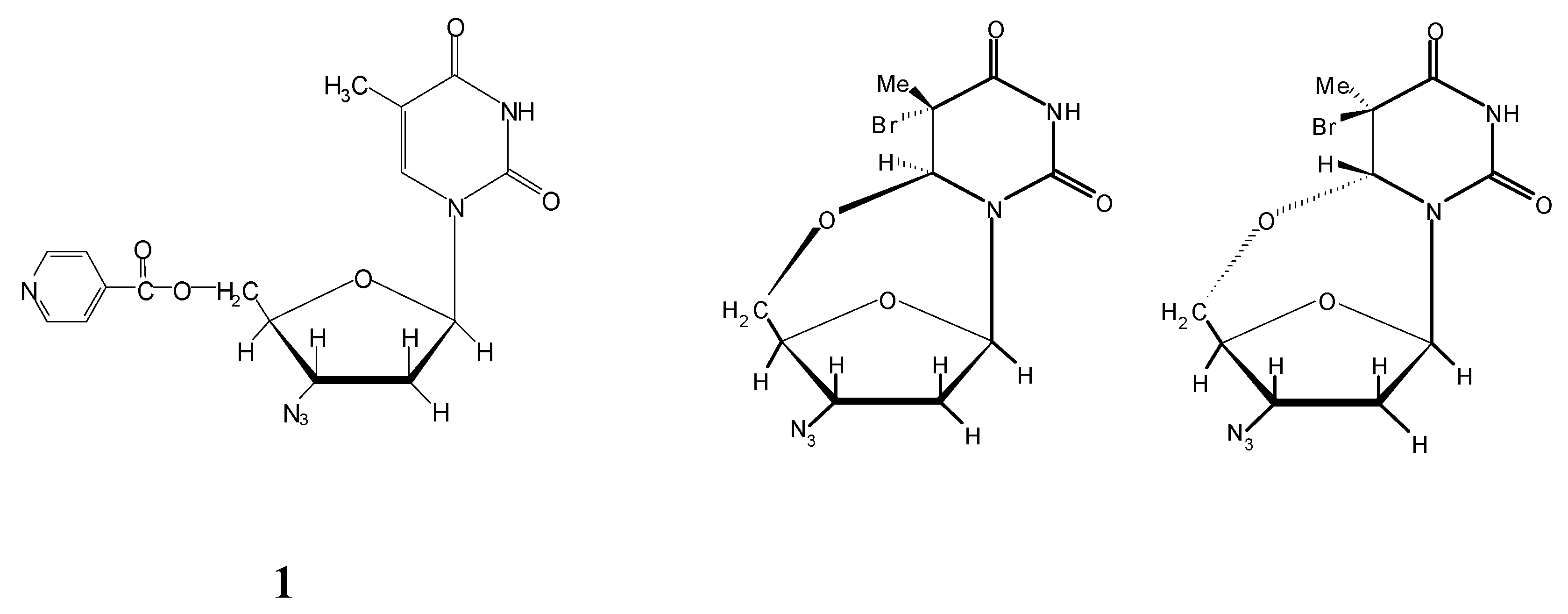
- AZT and 1 exhibit similar conformers confirming the analogous behavior with other pyrimidinic nucleosides which display a dynamic equilibrium in solution where the two conformers (North and South) experience constant transformation [3].
- Studies of (-)-trans-(5S,6S)-2 and (+)-trans-(5R,6R)-3 compounds show an abnormally distinct conformation from AZT.1 The estimate of the pseudorotation phase angle reveals the rigid structures of these drugs, which do not evidence conformational equilibrium in solution, the azide being the only free rotation group.
- Diastereomers 2 and 3 exhibit an extra conformational parameter compared with other pyrimidinic nucleosides: the chair or boat conformation in the third ring formed between the sugar and the base.
Acknowledgements
References and Notes
- (a) Motura, Marisa I. Tesis Doctoral. Fac. Cs.Qs. UNC, 1998; (b) Motura, M.I.; Salomón, H.; Moroni, G.N.; Waimberg, M.; Briñón, M.C. Nucleos.Nucleot. 1999, 18(3), 337–352. [CrossRef] [PubMed]
- Dewar, M. J. S.; Zoebisch, E. G.; Healy, E. F.; Stewart, J. J. P. J. Am. Chem. Soc. 1985, 107, 3902–3903. [CrossRef]
- Altona, C.; Sundaralingam, C. J.Am.Chem.Soc. 1973, 95, 2333. [CrossRef] [PubMed]
© 2000 by the authors. Licensee MDPI, Basel, Switzerland. This article is an open access article distributed under the terms and conditions of the Creative Commons Attribution (CC BY) license (https://creativecommons.org/licenses/by/4.0/).
Share and Cite
Baumgartner, M.T.; Motura, M.I.; Pierini, A.B.; Briñón, M.C. Conformational Study of New AZT Derivatives. Molecules 2000, 5, 409-410. https://doi.org/10.3390/50300409
Baumgartner MT, Motura MI, Pierini AB, Briñón MC. Conformational Study of New AZT Derivatives. Molecules. 2000; 5(3):409-410. https://doi.org/10.3390/50300409
Chicago/Turabian StyleBaumgartner, M. T., M. I. Motura, A. B. Pierini, and M. C. Briñón. 2000. "Conformational Study of New AZT Derivatives" Molecules 5, no. 3: 409-410. https://doi.org/10.3390/50300409
APA StyleBaumgartner, M. T., Motura, M. I., Pierini, A. B., & Briñón, M. C. (2000). Conformational Study of New AZT Derivatives. Molecules, 5(3), 409-410. https://doi.org/10.3390/50300409