Anthonoic Acids A–C, Sulfated and N-(2-Hydroxyethyl)-Substituted Lipidic Amino Acids from the Marine Sponge Antho ridgwayi with In Vitro Cytoprotective Activities
Abstract
1. Introduction
2. Results
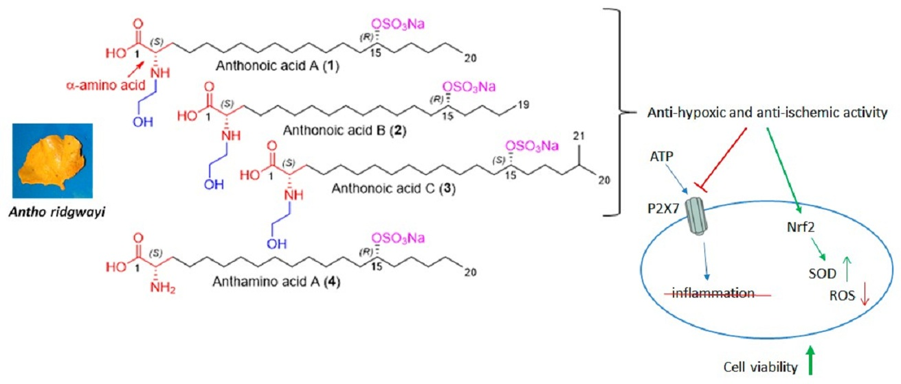
2.1. Isolation and Structure Elucidation of the Anthonoic Acids A–C and Anthamino Acid A
2.2. Cytoprotective Activity of the Anthonoic Acids A–C (1–3)
2.2.1. Influence on the Viability of H9c2 and SH-SY5Y Cells
2.2.2. The Effects of 1–3 Against in Vitro Acute Ischemia/Reperfusion and Chronic Hypoxia
2.2.3. Influence of Anthonoic Acids A–C on Intracellular ROS Levels and SOD Activity
2.2.4. Influence of Anthonoic Acids A–C on the Transcriptional Activity of NF-κB
2.2.5. Influence of Anthonoic Acids A–C on ATP-Mediated Viability and Ca2+ Influx
3. Discussion
4. Materials and Methods
4.1. General Procedures
4.2. Animal Material
4.3. Extraction and Isolation
4.4. Compounds Characterization Data
4.5. Bioassays
4.5.1. Cell Cultures
4.5.2. Cell Viability Assay
4.5.3. In Vitro Acute Ischemia/Reperfusion (I/R) Modeling
4.5.4. In Vitro CoCl2-Mimic Hypoxia Modeling
4.5.5. Reactive Oxygen Species Level Assay
4.5.6. Superoxide Dismutase Activity Measurement
4.5.7. Determination of the Effect of the Compounds on the Basal Transcriptional Activity of NF-κB Nuclear Factor
4.5.8. ATP Toxicity Assay
4.5.9. Ca2+ Influx Measurements
4.6. Statistical Data Evaluation
5. Conclusions
Supplementary Materials
Author Contributions
Funding
Institutional Review Board Statement
Data Availability Statement
Acknowledgments
Conflicts of Interest
References
- Li, X.Y.; Kong, X.M.; Yang, C.H.; Cheng, Z.F.; Lv, J.J.; Guo, H.; Liu, X.H. Global, regional, and national burden of ischemic stroke, 1990–2021: An analysis of data from the global burden of disease study 2021. eClinicalMedicine 2024, 75, 102758. [Google Scholar] [CrossRef]
- Dzhalilova, D.; Makarova, O. Physiological, biochemical, and molecular-biological characteristics. Biomedicines 2020, 8, 428. [Google Scholar] [CrossRef]
- Mayer, A.; Seo, S.; Indelli, F.; Rodriguez, L.; Sharma, A.; Le, H.Q.; Mayer, V.A.; Reji, M.; Awad, S.; Othman, B.; et al. Marine natural product-derived Pharmaceutical Pipeline in 2024 (Abstract ID: 157584). J. Pharm. Exp. Therap. 2025, 392, 101313. [Google Scholar] [CrossRef]
- Stonik, V.A. Marine natural products: A way to new drugs. Acta Naturae 2009, 1, 15–25. [Google Scholar] [CrossRef]
- Moore, B.S.; Newman, D.J. The Extraordinary Benefit of Nature’s Chemistry to Health, Society, and the Economy. J. Nat. Prod. 2025, 88, 1541–1548. [Google Scholar] [CrossRef] [PubMed]
- Kozhushnaya, A.B.; Kolesnikova, S.A.; Yurchenko, E.A.; Lyakhova, E.G.; Menshov, A.S.; Kalinovsky, A.I.; Popov, R.S.; Dmitrenok, P.S.; Ivanchina, N.V. Rhabdastrellosides A and B: Two New Isomalabaricane Glycosides from the Marine Sponge Rhabdastrella globostellata, and Their Cytotoxic and Cytoprotective Effects. Mar. Drug 2023, 21, 554. [Google Scholar] [CrossRef] [PubMed]
- Guzii, A.G.; Makarieva, T.N.; Fedorov, S.N.; Menshov, A.S.; Denisenko, V.A.; Popov, R.S.; Yurchenko, E.A.; Menchinskaya, E.S.; Grebnev, B.B.; Iarotsckaia, V.V.; et al. Toporosides A and B, cyclopentenyl-containing ω-glycosylated fatty acid amides, and toporosides C and D from the Northwestern pacific marine sponge Stelodoryx toporoki. J. Nat. Prod. 2022, 85, 1186–1191. [Google Scholar] [CrossRef]
- Tripathi, V.K.; Subramaniyan, S.A.; Hwang, I. Molecular and Cellular Response of Co-cultured Cells toward Cobalt Chloride (CoCl2)-Induced Hypoxia. ACS Omega 2019, 4, 20882–20893. [Google Scholar] [CrossRef] [PubMed]
- Muñoz-Sánchez, J.; Chánez-Cárdenas, M.E. The use of cobalt chloride as a chemical hypoxia model. J. Appl. Toxicol. 2019, 39, 556–570. [Google Scholar] [CrossRef]
- Osuru, H.P.; Lavallee, M.; Thiele, R.H. Molecular and cellular response of the myocardium (H9C2 Cells) towards hypoxia and HIF-1α inhibition. Front. Cardiovasc. Med. 2022, 9, 711421. [Google Scholar] [CrossRef]
- Yu, L.M.; Zhang, W.H.; Han, X.X.; Li, Y.Y.; Lu, Y.; Pan, J.; Mao, J.Q.; Zhu, L.Y.; Deng, J.J.; Huang, W. Hypoxia-induced ROS contribute to myoblast pyroptosis during obstructive sleep apnea via the NF-κB/HIF-1α signaling pathway. Oxid. Med. Cell Longev. 2019, 2019, 4596368. [Google Scholar] [CrossRef]
- Mc Smith, S.; Mitchell, G.S.; Friedle, S.A.; Sibigtroth, C.M.; Vinit, S.; Watters, J.J. Hypoxia attenuates purinergic P2X receptor-induced inflammatory gene expression in brainstem microglia. Hypoxia 2013, 1, 1–11. [Google Scholar] [CrossRef]
- Chen, T.; Vunjak-Novakovic, G. In Vitro Models of Ischemia-Reperfusion Injury. Regen. Eng. Transl. Med. 2018, 4, 142–153. [Google Scholar] [CrossRef]
- Guerrero-Garzon, J.F.; Zehl, M.; Schneider, O.; Ruckert, C.; Busche, T.; Kalinowski, J.; Bredholt, H.; Zotchev, S.B. Streptomyces spp. from the marine sponge Antho dichotoma: Analyses of secondary metabolite biosynthesis gene clusters and some of their products. Front. Microbiol. 2020, 11, 437. [Google Scholar] [CrossRef]
- Kusumi, T.; Fukushima, T.; Ohtani, I.; Kakisawa, H. Elucidation of the absolute configurations of amino acids and amines by the modified Mosher’s method. Tetrahedron Lett. 1991, 32, 2939–2942. [Google Scholar] [CrossRef]
- Thomas, L.W.; Ashcroft, M. Exploring the molecular interface between hypoxia-inducible factor signalling and mitochondria. Cell Mol. Life Sci. 2019, 76, 1759–1777. [Google Scholar] [CrossRef] [PubMed]
- Luo, Z.; Tian, M.; Yang, G.; Tan, Q.; Chen, Y.; Li, G.; Zhang, Q.; Li, Y.; Wan, P.; Wu, J. Hypoxia signaling in human health and diseases: Implications and prospects for therapeutics. Signal Transduct. Target. Ther. 2022, 7, 218. [Google Scholar] [CrossRef] [PubMed]
- Adinolfi, E.; Giuliani, A.L.; De Marchi, E.; Pegoraro, A.; Orioli, E.; Di Virgilio, F. The P2X7 receptor: A main player in inflammation. Biochem. Pharmacol. 2018, 151, 234–244. [Google Scholar] [CrossRef]
- Wilke, D.V.; Jimenez, P.C.; Pessoa, C.; De Moraes, M.O.; Araujo, R.M.; Da Silva, W.M.B.; Silveira, E.R.; Pessoa, O.D.L.; Braz-Filho, R.; Lopes, N.P.; et al. Cytotoxic lipidic α-amino acids from the zoanthid Protopalythoa variabilis from the Northeastern coast of Brazil. J. Braz. Chem. Soc. 2009, 20, 1455–1459. [Google Scholar] [CrossRef]
- Wilke, D.V.; Jimenez, P.C.; Araujo, R.M.; Da Silva, W.M.B.; Pessoa, O.D.L.; Silveira, E.R.; Pessoa, C.; De Moraes, M.O.; Skwarczynski, M.; Simerska, P.; et al. Pro-apoptotic activity of lipidic a-amino acids isolated from Protopalythoa variabilis. Bioorg. Med. Chem. 2010, 18, 7997–8004. [Google Scholar] [CrossRef]
- Ishijima, H.; Uchida, R.; Ohtawa, M.; Kondo, A.; Nagai, K.; Shima, K.; Nonaka, K.; Masuma, R.; Iwamoto, S.; Onodera, H.; et al. Simplifungin and valsafungins, antifungal antibiotics of fungal origin. J. Org. Chem. 2016, 81, 7373–7383. [Google Scholar] [CrossRef]
- Ivanova, V.; Oriol, M.; Montes, M.J.; Garcia, A.; Guinea, J. Secondary metabolites from a Streptomyces Strain isolated from Livingston Island, Antarctica. Z. Naturforsch C Biosci. 2001, 56, 1–5. [Google Scholar] [CrossRef]
- VanMiddlesworth, F.; Giacobbe, R.A.; Lopez, M.; Garrity, G.; Bland, J.A.; Bartizal, K.; Fromtling, R.A.; Polishook, J.; Zweerink, M.; Edison, A.M.; et al. Sphingofungins A, B, C, and D; a new family of antifungal agents. I. Fermentation, isolation, and biological activity. J. Antibiot. 1992, 45, 861–867. [Google Scholar] [CrossRef]
- Horn, W.S.; Smith, J.L.; Bills, G.F.; Raghoobar, S.L.; Helms, G.L.; Kurtz, M.B.; Marrinan, J.A.; Frommer, B.R.; Thornton, R.A.; Mandala, S.M. Sphingofungins E and F: Novel serinepalmitoyl transferase inhibitors from Paecilomyces variotii. J. Antibiot. 1992, 45, 1692–1696. [Google Scholar] [CrossRef] [PubMed]
- Mukhopadhyay, T.; Roy, K.; Coutinho, L.; Rupp, R.H.; Ganguli, B.N.; Fehlhaber, H.W. Fumifungin, a new antifungal antibiotic from Aspergillus fumigatus Fresenius 1863. J. Antibiot. 1987, 40, 1050–1052. [Google Scholar] [CrossRef]
- Kluepfel, D.; Bagli, J.; Baker, H.; Charest, M.P.; Kudelski, A.; Sehgal, S.N.; Vezina, C. Myriocin, a new antifungal antibiotic from Myriococcum albomyces. J. Antibiot. 1972, 25, 109–115. [Google Scholar] [CrossRef]
- Sasaki, S.; Hashimoto, R.; Kiuchi, M.; Inoue, K.; Ikumoto, T.; Hirose, R.; Chiba, K.; Hoshino, Y.; Okumoto, T.; Fujita, T. Fungal metabolites. Part 14. Novel potent immunosuppressants mycestericins, produced by Mycelia sterilia. J. Antibiot. 1994, 47, 420–433. [Google Scholar] [CrossRef]
- Duncan, S.J.; Gruschow, S.; Williams, D.H.; McNicholas, C.; Purewal, R.; Hajek, M.; Gerlitz, M.; Martin, S.; Wrigley, S.K.; Moore, M. Isolation and structure elucidation of chlorofusin, a novelp53-MDM2 antagonist from a Fusarium sp. J. Am. Chem. Soc. 2001, 123, 554–560. [Google Scholar] [CrossRef] [PubMed]
- Shiba, T.; Mukunoki, Y. The total structure of the antibiotic longicatenamycin. J. Antibot. 1975, 28, 561–566. [Google Scholar] [CrossRef]
- Miller, E.D.; Kauffman, C.A.; Jensen, P.R.; Fenical, W. Piperazimycins: Cytotoxic hexadepsipeptides from a marine-derived bacterium of the genus Streptomyces. J. Org. Chem. 2007, 72, 323–330. [Google Scholar] [CrossRef] [PubMed]
- Henke, M.T.; Soukup, A.A.; Goering, A.W.; McClure, R.A.; Thomson, R.J.; Keller, N.P.; Kelleher, N.L. New Aspercryptins, lipopeptide natural products, revealed by HDAC inhibition in Aspergillus nidulans. ACS Chem. Biol. 2016, 11, 2117–2123. [Google Scholar] [CrossRef]
- Von Nussbaum, F.; Anlauf, S.; Freiberg, C.; Benet-Buchholz, J.; Schamberger, J.; Henkel, T.; Schiffer, G.; Habich, D. Total synthesis and initial structure–activity relationships of longicatenamycin A. Chem. Med. Chem. 2008, 3, 619–626. [Google Scholar] [CrossRef]
- Miyake, Y.; Kozutsumi, Y.; Nakamura, S.; Fujita, T.; Kawasaki, T. Serine palmitoyltransferase is the primary target of a sphingosine-like immunosuppressant, ISP-1/myriocin. Biochem. Biophys. Res. Comm. 1995, 211, 396–403. [Google Scholar] [CrossRef]
- Bissell, A.U.; Rautschek, J.; Hoefgen, S.; Raguz, L.; Mattern, D.J.; Saeed, N.; Janevska, S.; Jojic, K.; Huang, Y.; Kufs, J.E.; et al. Biosynthesis of the sphingolipid inhibitors sphingofungins in filamentous fungi requires aminomalonate as a metabolic precursor. ACS Chem. Biol. 2022, 17, 386–394. [Google Scholar] [CrossRef]
- Caretti, A.; Bragonzi, A.; Facchini, M.; De Fino, I.; Riva, C.; Gasco, P.; Musicanti, C.; Casas, J.; Fabriàs, G.; Ghidoni, R.; et al. Anti-inflammatory action of lipid nanocarrier-delivered myriocin: Therapeutic potential in cystic fibrosis. Biochim. Biophys. Acta (BBA) 2014, 1840, 586–594. [Google Scholar] [CrossRef]
- Bonezzi, F.; Piccoli, M.; Dei Cas, M.; Paroni, R.; Mingione, A.; Monasky, M.M.; Caretti, A.; Riganti, C.; Ghidoni, R.; Pappone, C.; et al. Sphingolipid synthesis inhibition by myriocin administration enhances lipid consumption and ameliorates lipid response to myocardial ischemia reperfusion injury. Front. Physiol. 2019, 10, 986. [Google Scholar] [CrossRef]
- Stonik, V.A.; Makarieva, T.N.; Shubina, L.K.; Guzii, A.G.; Ivanchina, N.V. Structure diversity and properties of some bola-like natural products. Mar. Drugs 2024, 23, 3. [Google Scholar] [CrossRef]
- Kraft, A.D.; Johnson, D.A.; Johnson, J.A. Nuclear factor E2-related factor 2-dependent antioxidant response element activation by tert-butylhydroquinone and sulforaphane occurring preferentially in astrocytes conditions neurons against oxidative insult. J. Neurosci. 2004, 24, 1101–1112. [Google Scholar] [CrossRef]
- Cuevas, C.; Huenchuguala, S.; Munoz, P.; Villa, M.; Paris, I.; Mannervik, B.; Segura-Aguilar, J. Glutathione transferase-M2-2 secreted from glioblastoma cell protects SH-SY5Y cells from aminochrome neurotoxicity. Neurotox. Res. 2015, 27, 217–228. [Google Scholar] [CrossRef]
- Chu, K.; Yin, B.; Wang, J.; Peng, G.; Liang, H.; Xu, Z.; Du, Y.; Fang, M.; Xia, Q.; Luo, B. Inhibition of P2X7 receptor ameliorates transient global cerebral ischemia/reperfusion injury via modulating inflammatory responses in the rat hippocampus. J. Neuroinflamm. 2012, 9, 69. [Google Scholar] [CrossRef]
- Lee, D.S.; Kim, J.E. P2X7 Receptor augments LPS-induced nitrosative stress by regulating Nrf2 and GSH levels in the mouse hippocampus. Antioxidants 2022, 11, 778. [Google Scholar] [CrossRef] [PubMed]
- Mafra, J.C.M.; Boechat, N.; Teixeira, G.P.; Faria, R.X. Synthetic molecules as P2X7 receptor antagonists: A medicinal chemistry update focusing the therapy of inflammatory diseases. Eur. J. Pharmacol. 2023, 957, 175999. [Google Scholar] [CrossRef]
- Buchanan, M.S.; Carroll, A.R.; Addepalli, R.; Avery, V.M.; Hooper, J.N.A.; Quinn, R.J. Niphatoxin C, a cytotoxic tripyridine alkaloid from Callyspongia sp. J Nat. Prod. 2007, 70, 2040–2041. [Google Scholar] [CrossRef]
- Buchanan, M.S.; Carroll, A.R.; Addepalli, R.; Avery, V.M.; Hooper, J.N.A.; Quinn, R.J. Natural products, Stylissadines A and B, specific antagonists of the P2X7 receptor, an important inflammatory target. J. Org. Chem. 2007, 72, 2309–2317. [Google Scholar] [CrossRef] [PubMed]
- Pislyagin, E.A.; Tarbeeva, D.V.; Yurchenko, E.A.; Menchinskaya, E.S.; Gorpenchenko, T.Y.; Pokhilo, N.D.; Kalinovskiy, A.I.; Aminin, D.L.; Fedoreyev, S.A. Neuroprotective activity of oligomeric stilbenes from alpha grape stems in in vitro models of Parkinson’s disease. Int. J. Mol. Sci. 2025, 26, 2411. [Google Scholar] [CrossRef] [PubMed]
- Dyshlovoy, S.A.; Fedorov, S.N.; Shubina, L.K.; Kuzmich, A.S.; Bokemeyer, C.; Keller-von Amsberg, G.; Honecker, F. Aaptamines from the marine sponge Aaptos sp. display anticancer activities in human cancer cell lines and modulate AP-1-, NF-kappaB-, and p53-dependent transcriptional activity in mouse JB6 Cl41 cells. Biomed. Res. Int. 2014, 2014, 469309. [Google Scholar] [CrossRef]











| Position | 1 | 2 | 3 | |||
|---|---|---|---|---|---|---|
| δCa, Type | δH Mult (J in Hz) | δCa, Type | δH Mult (J in Hz) | δCa, Type | δH Mult (J in Hz) | |
| 1 | 173.0, C | 173.4, C | 173.8, C | |||
| 2 | 63.1, CH | 3.68, t (5.8) | 63.9, CH | 3.53, t (5.9) | 63.8, CH | 3.56, m |
| 3 | 31.2, CH2 | 1.89, m | 31.6, CH2 | 1.86, m | 31.5, CH2 | 1.87, m |
| 4a | 26.04, CH2 | 1.49, m | 26.2, CH2 | 1.46, m | 26.2, CH2 | 1.47, m |
| 4b | 1.42, m | |||||
| 5 | 30.5, CH2 | 1.36, m | 30.5, CH2 | 1.36, m | 30.4, CH2 | 1.36, m |
| 6 | 30.6, CH2 | 1.30, m | 30.6, CH2 | 1.30, m | 30.5, CH2 | 1.30, m |
| 7 | 30.6, CH2 | 1.30, m | 30.6, CH2 | 1.30, m | 30.5, CH2 | 1.30, m |
| 8 | 30.6, CH2 | 1.30, m | 30.6, CH2 | 1.30, m | 30.5, CH2 | 1.30, m |
| 9 | 30.6, CH2 | 1.30, m | 30.6, CH2 | 1.30, m | 30.5, CH2 | 1.30, m |
| 10 | 30.6, CH2 | 1.30, m | 30.6, CH2 | 1.30, m | 30.5, CH2 | 1.30, m |
| 11 | 30.6, CH2 | 1.30, m | 30.6, CH2 | 1.30, m | 30.5, CH2 | 1.30, m |
| 12 | 30.7, CH2 | 1.30, m | 30.7, CH2 | 1.30, m | 30.5, CH2 | 1.34, m |
| 13 | 26.00, CH2 | 1.40, m | 26.0, CH2 | 1.40, m | 26.0, CH2 | 1.40, m |
| 14 | 35.3, CH2 | 1.61, m | 35.4, CH2 | 1.63, m | 35.3, CH2 | 1.64, m |
| 15 | 80.9, CH | 4.33, quint (6.0) | 80.9, CH | 4.33, quint (5.9) | 81.0, CH | 4.33, quint (6.0) |
| 16 | 35.3, CH2 | 1.65, m | 35.1, CH2 | 1.63, m | 35.6, CH2 | 1.61, m |
| 17 | 25.7, CH2 | 1.40, m | 28.3, CH2 | 1.38, m | 23.9, CH2 | 1.40, m |
| 18 | 33.1, CH2 | 1.30, m | 23.8, CH2 | 1.34, m | 40.2, CH2 | 1.19, m |
| 1.22, m | ||||||
| 19 | 23.7, CH2 | 1.33, m | 14.4, CH3 | 0.92, t (7.0) | 29.1 | 1.55, m |
| 20 | 14.4, CH3 | 0.91, t (7.0) | - | - | 23.0 | 0.89, d (6.7) |
| 21 | - | - | - | - | 23.0 | 0.89, d (6.7) |
| 1′ | 49.9, CH2 | 3.14, m | 50.0, CH2 | 3.10, m | 50.0 | 3.12, m |
| 2′ | 58.0, CH2 | 3.80, t (5.3) | 58.1, CH2 | 3.79, t (5.4) | 58.1 | 3.78, t (5.3) |
| N (δN 46.6) b | ||||||
Disclaimer/Publisher’s Note: The statements, opinions and data contained in all publications are solely those of the individual author(s) and contributor(s) and not of MDPI and/or the editor(s). MDPI and/or the editor(s) disclaim responsibility for any injury to people or property resulting from any ideas, methods, instructions or products referred to in the content. |
© 2025 by the authors. Licensee MDPI, Basel, Switzerland. This article is an open access article distributed under the terms and conditions of the Creative Commons Attribution (CC BY) license.
Share and Cite
Guzii, A.G.; Kudryashova, E.K.; Shubina, L.K.; Makarieva, T.N.; Menshov, A.S.; Popov, R.S.; Yurchenko, E.A.; Pislyagin, E.A.; Chingizova, E.A.; Grebnev, B.B.; et al. Anthonoic Acids A–C, Sulfated and N-(2-Hydroxyethyl)-Substituted Lipidic Amino Acids from the Marine Sponge Antho ridgwayi with In Vitro Cytoprotective Activities. Molecules 2026, 31, 36. https://doi.org/10.3390/molecules31010036
Guzii AG, Kudryashova EK, Shubina LK, Makarieva TN, Menshov AS, Popov RS, Yurchenko EA, Pislyagin EA, Chingizova EA, Grebnev BB, et al. Anthonoic Acids A–C, Sulfated and N-(2-Hydroxyethyl)-Substituted Lipidic Amino Acids from the Marine Sponge Antho ridgwayi with In Vitro Cytoprotective Activities. Molecules. 2026; 31(1):36. https://doi.org/10.3390/molecules31010036
Chicago/Turabian StyleGuzii, Alla G., Ekaterina K. Kudryashova, Larisa K. Shubina, Tatyana N. Makarieva, Alexander S. Menshov, Roman S. Popov, Ekaterina A. Yurchenko, Evgeny A. Pislyagin, Ekaterina A. Chingizova, Boris B. Grebnev, and et al. 2026. "Anthonoic Acids A–C, Sulfated and N-(2-Hydroxyethyl)-Substituted Lipidic Amino Acids from the Marine Sponge Antho ridgwayi with In Vitro Cytoprotective Activities" Molecules 31, no. 1: 36. https://doi.org/10.3390/molecules31010036
APA StyleGuzii, A. G., Kudryashova, E. K., Shubina, L. K., Makarieva, T. N., Menshov, A. S., Popov, R. S., Yurchenko, E. A., Pislyagin, E. A., Chingizova, E. A., Grebnev, B. B., Shilov, V. A., & Stonik, V. A. (2026). Anthonoic Acids A–C, Sulfated and N-(2-Hydroxyethyl)-Substituted Lipidic Amino Acids from the Marine Sponge Antho ridgwayi with In Vitro Cytoprotective Activities. Molecules, 31(1), 36. https://doi.org/10.3390/molecules31010036

