Surface and Interface Modulation of V2O5/Ni(OH)2 Nanomaterials for Enhanced Alkaline Water Splitting
Abstract
1. Introduction
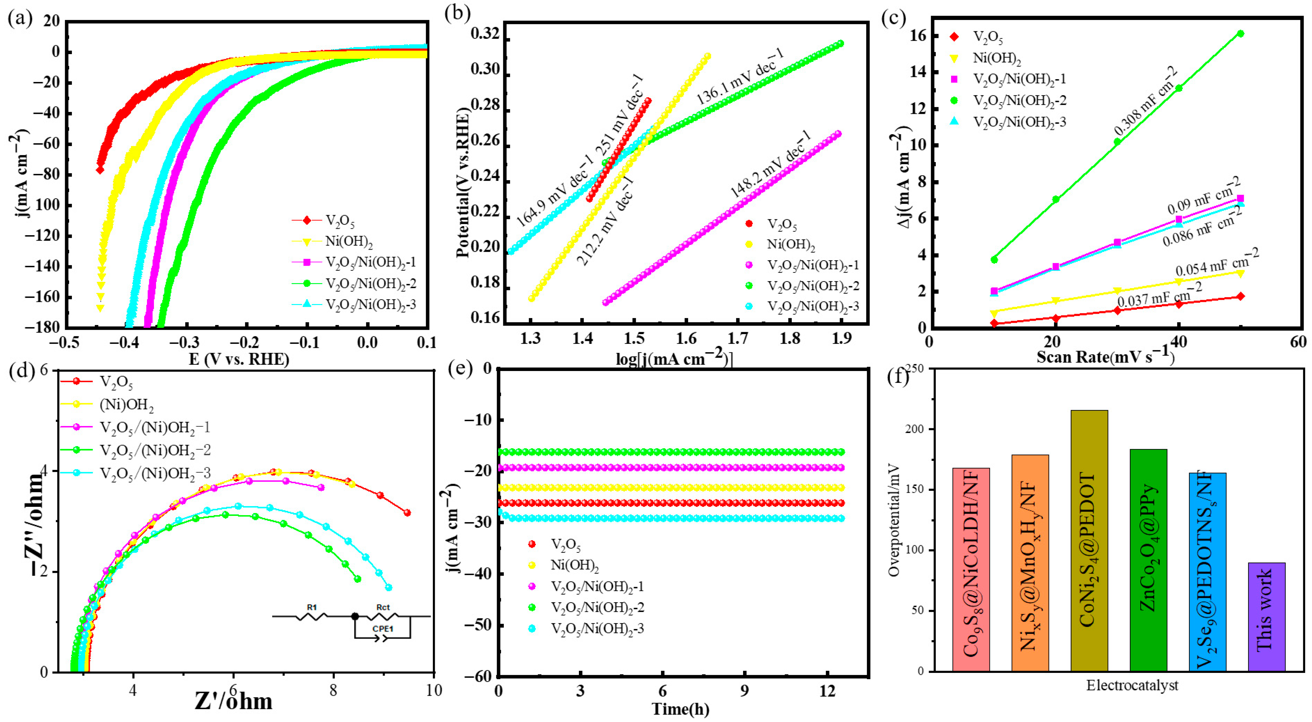
2. Results and Discussion
3. Experimental
3.1. Materials
3.2. Materials Synthesis
Preparation of V2O5/Ni(OH)2 on NF
3.3. Materials Characterization
3.4. Electrochemical Measurements
4. Conclusions
Author Contributions
Funding
Institutional Review Board Statement
Informed Consent Statement
Data Availability Statement
Conflicts of Interest
References
- Megía, P.J. Hydrogen Production Technologies: From Fossil Fuels toward Renewable Sources. A Mini Review. Energy Fuels 2021, 35, 16403–16415. [Google Scholar] [CrossRef]
- Brockway, P.E. Estimation of Global Final-Stage Energy-Return-on-Investment for Fossil Fuels with Comparison to Renewable Energy Sources. Nat. Energy 2019, 4, 612. [Google Scholar] [CrossRef]
- Shindell, D.; Smith, C.J. Climate and Air-Quality Benefits of a Realistic Phase-out of Fossil Fuels. Nature 2019, 573, 408. [Google Scholar] [CrossRef]
- Liu, X.Y.; Zhang, W.C.; Wu, X.; Cho, Y.R.R. Porous Fe-doped Ni3P/CoP3 isomerism as high durable electrocatalyst for generation of hydrogen. Energy Mater. Adv. 2025, 6, 160. [Google Scholar] [CrossRef]
- Dincer, I. Green Methods for Hydrogen Production. Int. J. Hydrogen Energy 2012, 37, 1954. [Google Scholar] [CrossRef]
- Vizcaíno, A.J.; Carrero, A.; Calles, J.A. Hydrogen Production: Prospects and Processes; Nova Science Publishers, Inc.: Hauppauge, NY, USA, 2012; Volume 274. [Google Scholar]
- Ruocco, C.; Palma, V.; Ricca, A. Kinetics of Oxidative Steam Reforming of Ethanol over Bimetallic Catalysts Supported on CeO2-SiO2. Top. Catal. 2019, 62, 467. [Google Scholar] [CrossRef]
- Nikolaidis, P.; Poullikkas, A. A Comparative Overview of Hydrogen Production Processes. Renew. Sustain. Energy Rev. 2017, 67, 597. [Google Scholar] [CrossRef]
- Brauns, J.; Turek, T. Alkaline Water Electrolysis Powered by Renewable Energy: A Review. Processes 2020, 8, 248. [Google Scholar] [CrossRef]
- Du, Z. Catalytic effects of graphene structures on Pt/graphene catalysts Electronic supplementary information (ESI) available. RSC Adv. 2024, 14, 22486–22496. [Google Scholar] [CrossRef]
- Wu, B.; Gong, S.; Lin, Y.; Li, T.; Chen, A.; Zhao, M.; Zhang, Q.; Chen, L. A unique NiOOH@FeOOH heteroarchitecture for enhanced oxygen evolution in saline water. Adv. Mater. 2022, 34, 2108619. [Google Scholar] [CrossRef]
- Zeng, K.; Chao, M.; Tian, M.; Yan, J.; Rummeli, M.H.; Strasser, P.; Yang, R. Atomically dispersed cerium sites immobilized on vanadium vacancies of monolayer nickelvanadium layered double hydroxide: Accelerating water splitting kinetics. Adv. Funct. Mater. 2023, 34, 2308533. [Google Scholar] [CrossRef]
- Zhao, D.P.; Dai, M.Z.; Liu, H.Q.; Duan, Z.X.; Tan, X.J.; Wu, X. Bifunctional ZnCo2S4@CoZn13 hybrid electrocatalysts for high efficient overall water splitting. J. Energy Chem. 2022, 69, 292–300. [Google Scholar] [CrossRef]
- Gong, S. Encapsulation of Ru nanoparticles within NaY zeolite for ammonia decomposition. Int. J. Hydrogen Energy 2024, 88, 142–150. [Google Scholar] [CrossRef]
- de Araujo, J.F.; Dionigi, F.; Merzdorf, T.; Oh, H.S.; Strasser, P. Evidence of mars-van-krevelen mechanism in the electrochemical oxygen evolution on Nibased catalysts. Angew. Chem. Int. Ed. 2021, 60, 14981–14988. [Google Scholar] [CrossRef]
- Wang, D.; Umar, A.; Wu, X. Enhanced water electrolysis performance of bifunctional NiCoP electrocatalyst in alkaline media. J. Electroanal. Chem. 2023, 950, 117888. [Google Scholar] [CrossRef]
- Wu, L.; Ning, M.; Xing, X.; Wang, Y.; Zhang, F.; Gao, G.; Song, S.; Wang, D.; Yuan, C.; Yu, L.; et al. Boosting oxygen evolution reaction of (Fe, Ni)OOH via defect engineering for anion exchange membrane water electrolysis under industrial conditions. Adv. Mater. 2023, 36, 2306097. [Google Scholar] [CrossRef]
- Ning, H.; Deng, J.; Zhao, L.; Lan, Z.; Guo, J.; Zhou, X. Synergistic effect of hydrogen absorption on (Ti + Ni), (Ti + V), (Ni + V) doped Mg17Al12 (110) surfaces: A theoretical study. Appl. Surf. Sci. 2020, 514, 145884. [Google Scholar] [CrossRef]
- Tong, R.; Sun, Z.; Zhang, F.; Wang, X.; Xu, J.; Shi, X.; Wang, S.; Pan, H. N and V Coincorporated Ni Nanosheets for Enhanced Hydrogen Evolution Reaction. ACS Sustain. Chem. Eng. 2018, 6, 16525–16531. [Google Scholar] [CrossRef]
- Chen, L.; Deng, R.; Guo, S.; Yu, Z.; Yao, H.; Wu, Z.; Shi, K.; Li, H.; Ma, S. Synergistic effect of V and Fe in Ni/Fe/V ternary layered double hydroxides for efficient and durable oxygen evolution reaction. Front. Chem. Sci. Eng. 2023, 17, 102–115. [Google Scholar] [CrossRef]
- Liu, L. Directional movement of electron induced by interfacial coupling in CuS@NiCo-LDHs for efficient alkaline oxygen evolution reaction. Appl. Surf. Sci. 2024, 665, 160311. [Google Scholar] [CrossRef]
- Wang, X. Boosting the electrocatalytic activity of NiCoS by Zr doping as a promising electrocatalyst for oxygen evolution reaction. Appl. Surf. Sci. 2023, 640, 158361. [Google Scholar] [CrossRef]
- Wang, X. Concerted proton-coupled electron transfer promotes NiCoP nanowire arrays for efficient overall water splitting at industrial-level current density. Chem. Eng. J. 2024, 479, 147450. [Google Scholar] [CrossRef]
- Liang, H.; Gandi, A.N.; Anjum, D.H.; Wang, X.; Schwingenschlögl, U.; Alshareef, H.N. Plasma-Assisted Synthesis of NiCoP for Efficient Overall Water Splitting. Nano Lett. 2016, 16, 7718–7725. [Google Scholar] [CrossRef]
- Ma, X.; Zhang, W.; Deng, Y.; Zhong, C.; Hu, W.; Han, X. Phase and composition controlled synthesis of cobalt sulfide hollow nanospheres for electrocatalytic water splitting. Nanoscale 2018, 10, 4816–4824. [Google Scholar] [CrossRef]
- Gao, X.; Zhang, H.; Li, Q.; Yu, X.; Hong, Z.; Zhang, X.; Liang, C.; Lin, Z. Hierarchical NiCo2O4 Hollow Microcuboids as Bifunctional Electrocatalysts for Overall Water-Splitting. Angew. Chem. Int. Ed. 2016, 55, 6290–6294. [Google Scholar] [CrossRef] [PubMed]
- Zhong, X.; Zhang, L.; Tang, J. Efficient coupling of a hierarchical V2O5@Ni3S2 hybrid nanoarray for pseudocapacitors and hydrogen production. J. Mater. Chem. A 2017, 5, 17954–17962. [Google Scholar] [CrossRef]
- Mendialdua, J.; Casanova, R.; Barbaux, Y. XPS studies of V2O5, V6O13, VO2 and V2O3. J. Electron Spectrosc. Relat. Phenom. 1995, 71, 249–261. [Google Scholar] [CrossRef]
- Zhao, D.P.; Dai, M.Z.; Liu, H.Q.; Zhu, X.F.; Wu, X. PPy film anchored on ZnCo2O4 nanowires facilitating efficient bifunctional electrocatalysis. Mater. Today Energy 2021, 20, 100637. [Google Scholar] [CrossRef]
- Xu, H.T.; Jiang, Z.Q.; Zhang, H.J.; Liu, L.; Fang, L.; Gu, X.; Wang, Y. New efficient electrocatalyst for the hydrogen evolution reaction: Erecting a V2Se9@Poly(3,4 ethylenedioxythiophene) nanosheet array with a specific active facet exposed. ACS Energy Lett. 2017, 2, 1099–1104. [Google Scholar] [CrossRef]
- Liu, Y.X.; Bai, Y.; Yang, W.W.; Ma, J.H.; Sun, K.N. Self supported electrode of NiCo-LDH/NiCo2S4/CC with enhanced performance for oxygen evolution reaction and hydrogen evolution reaction. Electrochim. Acta 2021, 367, 137534. [Google Scholar] [CrossRef]
- Wang, M.D.; Liu, X.Y.; Liu, H.Q.; Zhao, D.P.; Wu, X. NiCo layered double hydroxide nanosheets with enhanced electro chemical performance. J. Alloys Compd. 2022, 903, 163926. [Google Scholar] [CrossRef]
- Yan, J.G.; Chen, L.G.; Liang, X. Co9S8 nanowires@NiCo LDH nanosheets arrays on nickel foams towards efficient overall water splitting. Sci. Bull. 2019, 64, 158–165. [Google Scholar] [CrossRef]
- Wang, P.; Luo, Y.Z.; Zhang, G.X.; Chen, Z.S.; Ranganathan, H.; Sun, S.H.; Shi, Z.C. Interface Engineering of NixSy@ MnOxHy Nanorods to Efficiently Enhance Overall-Water Splitting Activity and Stability. Nano-Micro Lett. 2022, 14, 120. [Google Scholar] [CrossRef]
- Liu, H.Q.; Zhao, D.P.; Dai, M.Z.; Zhu, X.F.; Qu, F.Y.; Umar, A.; Wu, X. PEDOT decorated CoNi2S4 nanosheets electrode as bifunctional electrocatalyst for enhanced electrocatalysis. Chem. Eng. J. 2022, 428, 131183. [Google Scholar] [CrossRef]
- Chang, I.C.; Chen, T.T.; Yang, M.H. Self-powered electrochemical deposition of Cu@ Ni(OH)2 nanobelts for high performance pseudocapacitors. J. Mater. Chem. A 2014, 2, 10370–10374. [Google Scholar] [CrossRef]
- Xiao, Q.; Wang, X.; Huang, S. Facile synthesis of Ni(OH)2 nanowires on nickel foam via one step low-temperature hydrothermal route for non-enzymatic glucose sensor. Mater. Lett. 2017, 198, 19–22. [Google Scholar] [CrossRef]
- Basso, M.; Paolucci, V.; Ricci, V.; Colusso, E.; Cattelan, M.; Napolitani, E.; Cantalini, C.; Martucci, A. Sol-Gel Pt-VO2 Films as Selective Chemoresistive and Optical H2 Gas Sensors. ACS Appl. Mater. Interfaces 2024, 16, 57558–57570. [Google Scholar] [CrossRef] [PubMed]
- Yang, J.; Ascrizzi, E.; Cattelan, M.; Nalesso, M.; Cielo, L.; Matvija, P.; Sedona, F.; Ferrari, A.M.; Agnoli, S. Atomic-Scale View of Water Chemistry on Nanostructured Iron Oxide Films. Nano Lett. 2024, 24, 12552–12559. [Google Scholar] [CrossRef]
- Biesinger, M.C.; Lau, L.W.M.; Gerson, A.R.; Smart, R.S.C. Resolving Surface Chemical States in XPS Analysis of First Row Transition Metals, Oxides and Hydroxides: Sc, Ti, V, Cu and Zn. Appl. Surf. Sci. 2010, 257, 887–898. [Google Scholar] [CrossRef]





| Materials | Overpotential (mV) | Electrolyte | Ref. |
|---|---|---|---|
| NiCoP/NF | 32 (−10 mA cm−2) | 1.0 M KOH | [24] |
| 280 (10 mA cm−2) | |||
| CoS2 HNSs | - | 1.0 M KOH | [25] |
| 290 (10 mA cm−2) | |||
| NiCo2O4 | 110 (−10 mA cm−2) | 1.0 M NaOH | [26] |
| 290 (10 mA cm−2) | |||
| V2O5/Ni(OH)2-2 | 89 (−10 mA cm−2) | 1.0 M KOH | This work |
| 198 (10 mA cm−2) |
| Materials | NH4VO3 | Urea (First Hydrothermal) | Na(OH) | (NH4)2S2O8 |
|---|---|---|---|---|
| V2O5/Ni(OH)2-1 | 1.54 mmol | 25 mmol | 9 mmol | 1.1 g |
| V2O5/Ni(OH)2-2 | 1.54 mmol | 25 mmol | 9 mmol | 1.1 g |
| V2O5/Ni(OH)2-3 | 1.54 mmol | 25 mmol | 9 mmol | 1.1 g |
| Materials | NiNO3 | Urea (First Hydrothermal) | NH4F |
|---|---|---|---|
| V2O5/Ni(OH)2-1 | 1 mmol | 8 mmol | 15 mmol |
| V2O5/Ni(OH)2-2 | 2 mmol | 8 mmol | 15 mmol |
| V2O5/Ni(OH)2-3 | 3 mmol | 8 mmol | 15 mmol |
Disclaimer/Publisher’s Note: The statements, opinions and data contained in all publications are solely those of the individual author(s) and contributor(s) and not of MDPI and/or the editor(s). MDPI and/or the editor(s) disclaim responsibility for any injury to people or property resulting from any ideas, methods, instructions or products referred to in the content. |
© 2025 by the authors. Licensee MDPI, Basel, Switzerland. This article is an open access article distributed under the terms and conditions of the Creative Commons Attribution (CC BY) license.
Share and Cite
Feng, J.; Yu, Y.; Zhang, Y.; Sun, H.; Wang, X.; Song, S.; Li, Y.; Wang, J.; Zhao, D.; Hu, F. Surface and Interface Modulation of V2O5/Ni(OH)2 Nanomaterials for Enhanced Alkaline Water Splitting. Molecules 2026, 31, 113. https://doi.org/10.3390/molecules31010113
Feng J, Yu Y, Zhang Y, Sun H, Wang X, Song S, Li Y, Wang J, Zhao D, Hu F. Surface and Interface Modulation of V2O5/Ni(OH)2 Nanomaterials for Enhanced Alkaline Water Splitting. Molecules. 2026; 31(1):113. https://doi.org/10.3390/molecules31010113
Chicago/Turabian StyleFeng, Jia, Yongren Yu, Yinxin Zhang, Haojie Sun, Xiaomei Wang, Shiwei Song, Yucai Li, Jian Wang, Depeng Zhao, and Fang Hu. 2026. "Surface and Interface Modulation of V2O5/Ni(OH)2 Nanomaterials for Enhanced Alkaline Water Splitting" Molecules 31, no. 1: 113. https://doi.org/10.3390/molecules31010113
APA StyleFeng, J., Yu, Y., Zhang, Y., Sun, H., Wang, X., Song, S., Li, Y., Wang, J., Zhao, D., & Hu, F. (2026). Surface and Interface Modulation of V2O5/Ni(OH)2 Nanomaterials for Enhanced Alkaline Water Splitting. Molecules, 31(1), 113. https://doi.org/10.3390/molecules31010113
