Antitumor Activity, Mechanisms of Action and Phytochemical Profiling of Sub-Fractions Obtained from Ulex gallii Planch. (Fabaceae): A Medicinal Plant from Galicia (Spain)
Abstract
1. Introduction
2. Results
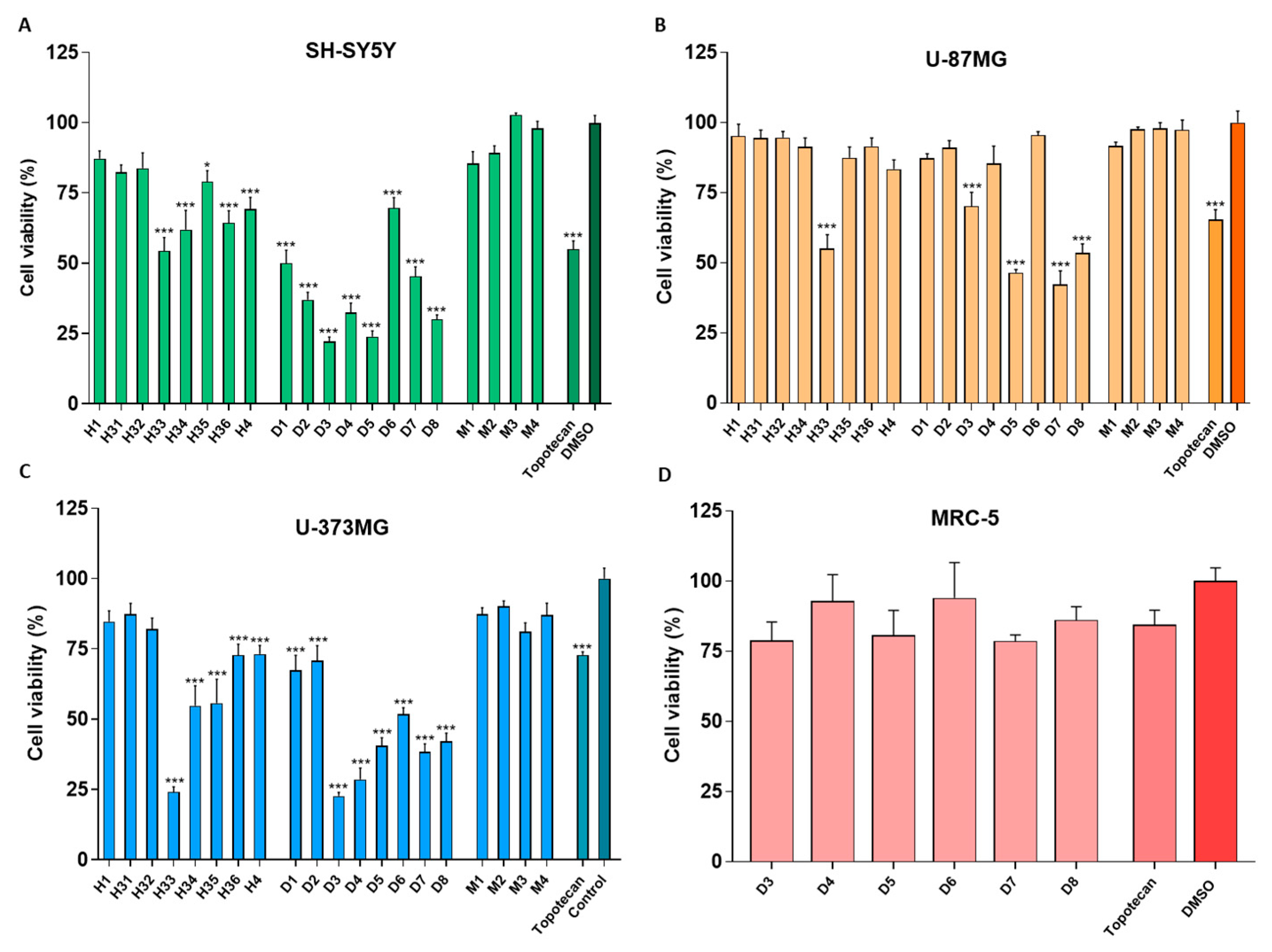
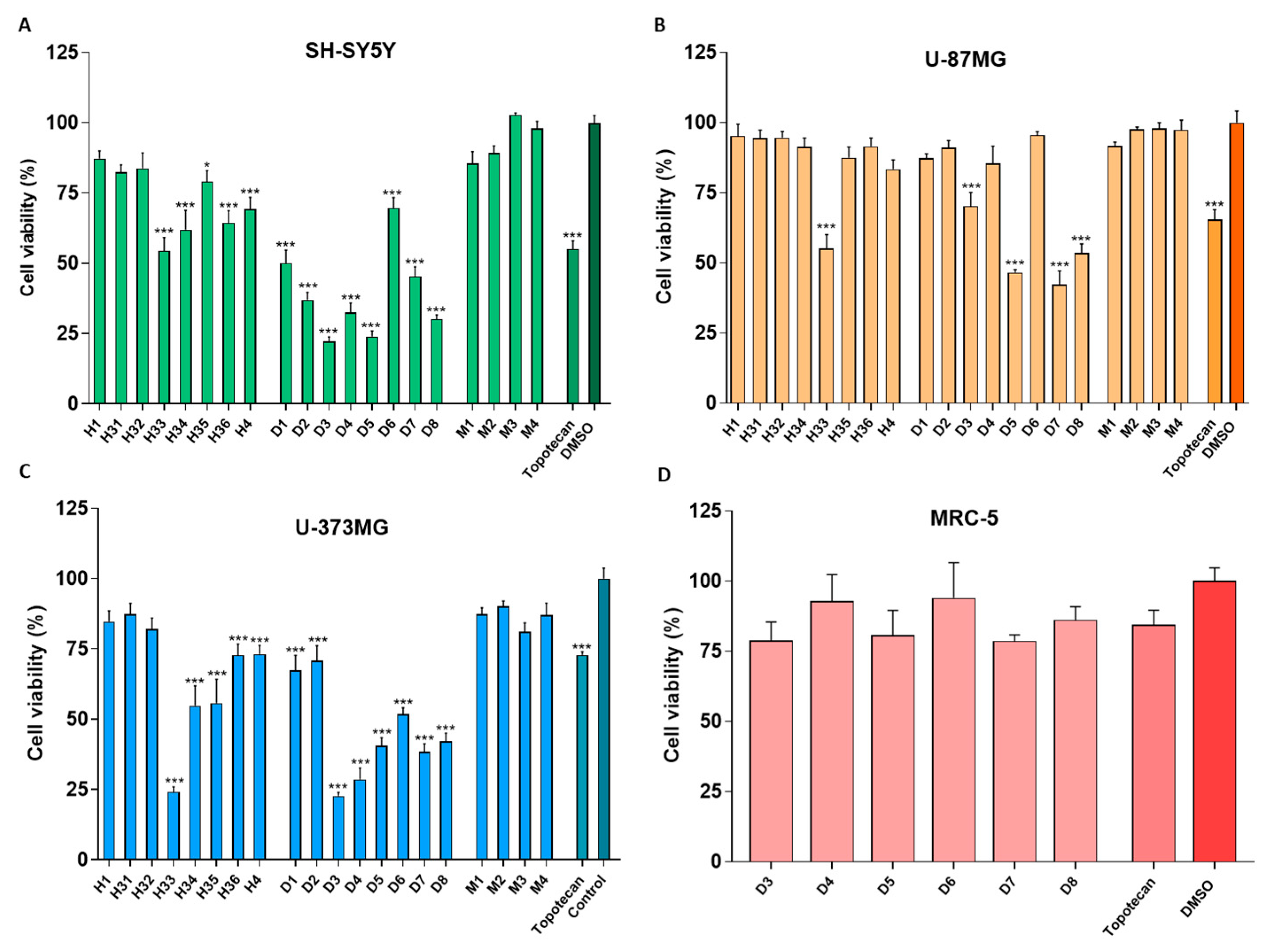
2.1. Several Sub-Fractions Reduced Cell Viability
2.2. The Different Dichloromethane Sub-Fractions (Excluding Sub-Fraction D8 in U-373MG) Did Not Compromise Membrane Integrity
2.3. Sub-Fractions D7 and D8 Induced an Increase in Reactive Oxygen Species (ROS) in U-87MG Cells
2.4. Sub-Fractions D3–D8 Induced Cell Cycle Disruption
2.5. Sub-Fractions D7 and D8 Induced Apoptosis in SH-SY5Y and U-87MG Cells
2.6. Sub-Fractions D7 and D8 Upregulated the Expression of Certain Apoptotic Proteins
2.7. Sub-Fractions D7 and D8 Induced Some Morphological Changes in SH-SY5Y, U-87MG and U-373MG Cells
2.8. Ultra-High-Pressure Liquid Chromatography–Mass Spectrometry (UHPLC-MS) Data Analysis of Sub-Fractions D7 and D8
2.9. Gas Chromatography–Mass Spectrometry Analysis (GC-MS) of Sub-Fractions D7 and D8
2.10. Isolation, Purification and Identification of the Major Compounds of Sub-Fractions D7 and D8
2.11. Quantitative Analysis of Isoprunetin, Genistein and Naringenin in the Sub-Fractions D7 and D8 with HPLC-DAD
3. Discussion
4. Materials and Methods
4.1. Plant Material Collection, Obtention of Extracts and Sub-Fractions and Preparation of the Corresponding Solutions
4.2. Cell Culture
4.3. Determination of Cell Viability
4.4. Assessment of Membrane Integrity—Lactate Dehydrogenase (LDH) Release Assay
4.5. Intracellular Reactive Oxygen Species (ROS) Measurements
4.6. Cell Cycle Assay
4.7. Aminoactinomycin D (7AAD)/FITC Annexin V Assay
4.8. Western Blot
4.9. Morphological Analysis
4.10. Ultra-High-Pressure Liquid Chromatography–Mass Spectrometry (UHPLC-MS) Analysis
4.11. Gas Chromatography–Mass Spectrometry (GC-MS) Analysis
4.12. Isolation, Purification and Identification of the Major Compounds 1–2 (C1–C2)
4.13. Quantitative Analysis of Isoprunetin, Genistein and Naringenin with HPLC-DAD
4.14. Statistical Analysis
Supplementary Materials
Author Contributions
Funding
Institutional Review Board Statement
Informed Consent Statement
Data Availability Statement
Conflicts of Interest
References
- Ferlay, J.; Colombet, M.; Soerjomataram, I.; Parkin, D.M.; Piñeros, M.; Znaor, A.; Bray, F. Cancer statistics for the year 2020: An overview. Int. J. Cancer. 2021, 149, 778–789. [Google Scholar] [CrossRef] [PubMed]
- Martino, E.; Casamassima, G.; Castiglione, S.; Cellupica, E.; Pantalone, S.; Papagni, F.; Rui, M.; Siciliano, A.M.; Collina, S. Vinca alkaloids and analogues as anti-cancer agents: Looking back, peering ahead. Bioorg. Med. Chem. Lett. 2018, 28, 2816–2826. [Google Scholar] [CrossRef] [PubMed]
- Mosca, L.; Ilari, A.; Fazi, F.; Assaraf, Y.G.; Colotti, G. Taxanes in cancer treatment: Activity, chemoresistance and its overcoming. Drug Resist. Updates 2021, 54, 100742. [Google Scholar] [CrossRef]
- Navarro-Hortal, M.D.; Varela-López, A.; Romero-Márquez, J.M.; Rivas-García, L.; Speranza, L.; Battino, M.; Quiles, J.L. Role of flavonoids against adriamycin toxicity. Food Chem. Toxicol. 2020, 146, 111820. [Google Scholar] [CrossRef] [PubMed]
- Gielecinska, A.; Kciuk, M.; Mujwar, S.; Celik, I.; Kolat, D.; Kaluzinska-Kolat, Z.; Kontek, R. Substances of natural origin in medicine: Plants vs. cancer. Cells 2023, 12, 986. [Google Scholar] [CrossRef]
- Ramakrishna, W.; Kumari, A.; Rahman, N.; Mandave, P. Anticancer activities of plant secondary metabolites: Rice Callus suspension culture as a new paradigm. Rice Sci. 2021, 28, 13–30. [Google Scholar] [CrossRef]
- Spínola, V.; Llorent-Martínez, E.J.; Gouveia-Figueirac, S.; Castilho, P.C. Ulex europaeus: From noxious weed to source of valuable isoflavones and flavanones. Ind. Crops. Prod. 2016, 90, 9–27. [Google Scholar] [CrossRef]
- Máximo, P.; Lourenço, A.; Feio, S.S.; Roseiro, J.C. Flavonoids from Ulex airensis and Ulex europaeus ssp. europaeus. J. Nat. Prod. 2002, 65, 175–178. [Google Scholar] [CrossRef] [PubMed]
- Máximo, P.; Lourenço, A.; Feio, S.S.; Roseiro, J.C. Flavonoids from Ulex species. Z. Für Naturforschung C 2000, 55, 506–510. [Google Scholar] [CrossRef][Green Version]
- Lowe, S.; Browne, M.; Boudjelas, S.; De Poorter, M. 100 of the World’s Worst Invasive Alien Species: A Selection from the Global Invasive Species Database; The Invasive Species Specialist Group (ISSG) a Specialist Group of the Species Survival Commission (SSC) of the World Conservation Union (IUCN): Auckland, New Zealand, 2004. [Google Scholar]
- Pirofsky, B.; Ingebo, K.R.; Hefeneider, S.H. Noncytotoxic inhibition of malignant cell growth by Ulex seed extracts. J. Biol. Response Modif. 1983, 2, 175–185. [Google Scholar] [PubMed]
- Ralph, P.; Nakoinz, I. Inhibitory effects of lectins and lymphocyte mitogens on murine lymphomas and myelomas. Gynecol. Oncol. 1973, 51, 883–890. [Google Scholar] [CrossRef]
- Huang, W.-Y.; Cai, Y.-Z.; Zhang, Y. Natural phenolic compounds from medicinal herbs and dietary plants: Potential use for cancer prevention. Nutr. Cancer 2009, 62, 1–20. [Google Scholar] [CrossRef] [PubMed]
- Holthöfer, H.; Virtanen, I.; Kariniemi, A.; Hormia, M.; Linder, E.; Miettinen, A. Ulex europaeus I lectin as a marker for vascular endothelium in human tissues. Lab. Invest. 1982, 47, 60–66. [Google Scholar] [PubMed]
- Miettinen, M.; Holthofer, H.; Lehto, V.-P.; Miettinen, A.; Virtanen, I. Ulex europaeus I lectin as a marker for tumors derived from endothelial cells. Am. J. Clin. Pathol. 1983, 79, 32–36. [Google Scholar] [CrossRef] [PubMed]
- Syed, P.; Gidwani, K.; Kekki, H.; Leivo, J.; Pettersson, K.; Lamminmäki, U. Role of lectin microarrays in cancer diagnosis. Proteomics 2016, 16, 1257–1265. [Google Scholar] [CrossRef] [PubMed]
- Stephenson, T.J.; Griffiths, D.W.; Mills, P.M. Comparison of Ulex europaeus I lectin binding and factor VIII-related antigen as markers of vascular endothelium in follicular carcinoma of the thyroid. Histopathology 1986, 10, 251–260. [Google Scholar] [CrossRef]
- Islam, M.K.; Syed, P.; Dhondt, B.; Gidwani, K.; Pettersson, K.; Lamminmäki, U.; Leivo, J. Detection of bladder cancer with aberrantly fucosylated ITGA3. Anal. Biochem. 2021, 628, 114283. [Google Scholar] [CrossRef]
- Calderón-Montaño, J.M.; Martínez-Sánchez, S.M.; Jiménez-González, V.; Burgos-Morón, E.; Guillén-Mancina, E.; Jiménez- Alonso, J.J.; Díaz-Ortega, P.; García, F.; Aparicio, A.; López-Lázaro, M. Screening for selective anticancer activity of 65 extracts of plants collected in Western Andalusia, Spain. Plants 2021, 10, 2193. [Google Scholar] [CrossRef] [PubMed]
- Máximo, P.; Lourenço, A. A pterocarpan from Ulex parviflorus. Phytochemistry 1998, 48, 359–362. [Google Scholar] [CrossRef]
- Militao, G.C.G.; Prado, M.P.; Pessoa, C.; de Moraes, M.O.; Silveira, E.R.; Lima, M.A.S.; Veloso, P.A.; Costa-Lotufo, L.V.; Machado_Santelli, G.M. Pterocarpans induce tumor cell death through persistent mitotic arrest during prometaphase. Biochimie 2014, 104, 147–155. [Google Scholar] [CrossRef]
- Bada, L.; Pereira, R.B.; Pereira, D.M.; Lores, M.; Celeiro, M.; Quezada, E.; Uriarte, E.; Gil-Longo, J.; Viña, D. Phytochemical analysis and antiproliferative activity of Ulex gallii Planch. (Fabaceae), a medicinal plant from Galicia (Spain). Molecules 2023, 28, 351. [Google Scholar] [CrossRef]
- Zhang, K.; Na, T.; Wang, L.; Gao, Q.; Yin, W.; Wang, J.; Yuan, B.-Z. Human diploid MRC-5 cells exhibit several critical properties of human umbilical cord-derived mesenchymal stem cells. Vaccine 2014, 32, 6820–6827. [Google Scholar] [CrossRef] [PubMed]
- Wen, P.Y.; Kesari, S. Malignant gliomas in adults. N. Engl. J. Med. 2008, 359, 492–507. [Google Scholar] [CrossRef] [PubMed]
- Rusak, A.; Wiatrak, B.; Krawczynska, K.; Górnicki, T.; Zagórski, K.; Zadka, L.; Fortuna, W. Starting points for the development of new targeted therapies for glioblastoma multiforme. Transl. Oncol. 2025, 51, 102187. [Google Scholar] [CrossRef] [PubMed]
- Breznik, B.; Motaln, H.; Vittori, M.; Rotter, A.; Turnšek, T.L. Mesenchymal stem cells differentially affect the invasion of distinct glioblastoma cell lines. Oncotarget 2017, 8, 25482–25499. [Google Scholar] [CrossRef]
- Joshi, S. Targeting the tumor microenvironment in neuroblastoma: Recent advances and future directions. Cancers 2020, 12, 2057. [Google Scholar] [CrossRef] [PubMed]
- Maris, J.M. Recent advances in neuroblastoma. N. Engl. J. Med. 2010, 362, 2202–2211. [Google Scholar] [CrossRef]
- Suebsoonthron, J.; Jaroonwitchawan, T.; Yamabhai, M.; Noisa, P. Inhibition of WNT signaling reduces differentiation and induces sensitivity to doxorubicin in human malignant neuroblastoma SH-SY5Y cells. Anticancer Drugs 2017, 28, 469–479. [Google Scholar] [CrossRef] [PubMed]
- Jeong, W.; Ahn, E.-K.; Oh, J.S.; Hong, S.S. Caragasinin C: A new oligostilbene from the roots of Caragana sinica. J. Asian Nat. Prod. Res. 2017, 19, 1143–1147. [Google Scholar] [CrossRef]
- Russell, G.B.; Sirat, H.M.; Sutherland, O.R. Isoflavones from root bark of gorse. Phytochemistry 1990, 29, 1287–1291. [Google Scholar] [CrossRef]
- Cappuccino, N.; Arnason, J.T. Novel chemistry of invasive exotic plants. Biol. Lett. 2006, 2, 189–193. [Google Scholar] [CrossRef]
- Gatouillat, G.; Magid, A.A.; Bertin, E.; Morjani, H.; Lavaud, C.; Madoulet, C. Medicarpin and millepurpan, two flavonoids isolated from Medicago sativa, induce apoptosis and overcome multidrug resistance in leukemia P388 cells. Phytomedicine 2015, 22, 1186–1194. [Google Scholar] [CrossRef]
- Gholamalipour Alamdari, E.; Taleghani, A. New bioactive compounds characterized by liquid chromatography–mass spectrometry and gas chromatography–mass spectrometry in hydro-methanol and petroleum ether extracts of Prosopis farcta (Banks & Sol.) JF Macbr weed. J. Mass Spectrom. 2022, 57, e4884. [Google Scholar] [CrossRef] [PubMed]
- Sithole, S.; Mushonga, P.; Nhamo, L.N.; Fru Chi, G.; Mukanganyama, S. Phytochemical fingerprinting and activity of extracts from the leaves of Dolichos kilimandscharicus (Fabaceae) on Jurkat-T Cells. BioMed. Res. Int. 2020, 1, 1263702. [Google Scholar] [CrossRef] [PubMed]
- Deipenbrock, M.; Sendker, J.; Hensel, A. Aqueous root extract from Ononis spinosa exerts anti-adhesive activity against uropathogenic Escherichia coli. Planta Med. 2020, 86, 247–254. [Google Scholar] [CrossRef]
- Harborne, J.B.; Baxter, H. The Handbook of Natural Flavonoids, 2nd ed.; John Wiley & Sons: Chichester, UK, 1999. [Google Scholar]
- Yoon, K.H.; Park, K.J.; Yin, J.; Yoon, K.H.; Lee, J.Y.; Hwang, Y.J.; Lee, D.I.; Choi, Y.W.; Lee, M.W. Antioxidative and antitumor effects of isoflavones isolated from the leaves of Maackia fauriei. Rec. Nat. Prod. 2016, 10, 441. [Google Scholar]
- Parvaiz, M.; Hussain, K.; Khalid, S.; Hussnain, N.; Iram, N.; Hussain, Z.; Ali, M.A. A review: Medicinal importance of Glycyrrhiza glabra L. (Fabaceae family). Global, J. Pharmacol. 2014, 8, 8–13. [Google Scholar] [CrossRef]
- Kim, J.H.; Cho, I.S.; So, Y.K.; Kim, H.-H.; Kim, Y.H. Kushenol A and 8-prenylkaempferol, tyrosinase inhibitors, derived from Sophora flavescens. J. Enzyme Inhib. Med. Chem. 2018, 33, 1048–1054. [Google Scholar] [CrossRef] [PubMed]
- Akter, K.; Barnes, E.C.; Loa-Kum-Cheung, W.L.; Yin, P.; Kichu, M.; Brophy, J.J.; Barrow, R.A.; Imchen, I.; Vemulpad, S.R.; Jamie, J.F. Antimicrobial and antioxidant activity and chemical characterization of Erythrina stricta Roxb. (Fabaceae). J. Ethnopharmacol. 2016, 185, 171–181. [Google Scholar] [CrossRef]
- Potter, C.M.; Jones, D.L. Polyphenolic profiling of green waste determined by UPLC-HDMSE. Processes 2021, 9, 824. [Google Scholar] [CrossRef]
- Leal, L.K.A.M.; Canuto, K.M.; Costa, K.C.D.S.; Nobre-Júnior, H.V.; Vasconcelos, S.M.; Silveira, E.R.; Ferreira, M.V.P.; Fontenele, J.B.; Andrade, G.M.; Viana, G.S.D.B. Effects of amburoside A and isokaempferide, polyphenols from Amburana cearensis, on rodent inflammatory processes and myeloperoxidase activity in human neutrophils. Basic Clin. Pharmacol. Toxicol. 2009, 104, 198–205. [Google Scholar] [CrossRef]
- Pardo-Muras, M.; Puig, C.G.; Souto, X.C.; Pedrol, N. Water-soluble phenolic acids and flavonoids involved in the bioherbicidal potential of Ulex europaeus and Cytisus scoparius. S. Afr. J. Botan. 2020, 133, 201–211. [Google Scholar] [CrossRef]
- Van Puyvelde, L.; De Kimpe, N.; Mudaheranwa, J.-P.; Gasiga, A.; Schamp, N.; Declercq, J.-P.; Van Meerssche, M. Isolation and structural elucidation of potentially insecticidal and acaricidal isoflavone-type compounds from Neorautanenia mitis. J. Nat. Prod. 1987, 50, 349–356. [Google Scholar] [CrossRef]
- Troalen, L.G.; Phillips, A.S.; Peggie, D.A.; Barran, P.E.; Hulme, A.N. Historical textile dyeing with Genista tinctoria L.: A comprehensive study by UPLC-MS/MS analysis. Anal. Methods. 2014, 6, 8915–8923. [Google Scholar] [CrossRef]
- Zhao, X.; Zhang, S.; Liu, D.; Yang, M.; Wei, J. Analysis of flavonoids in dalbergia odorifera by ultra-performance liquid chromatography with tandem mass spectrometry. Molecules 2020, 25, 389. [Google Scholar] [CrossRef] [PubMed]
- Kang, J.; Hick, L.A.; Price, W.E. A fragmentation study of isoflavones in negative electrospray ionization by MSn ion trap mass spectrometry and triple quadrupole mass spectrometry. Rapid Commun. Mass Spectrom. 2007, 21, 857–868. [Google Scholar] [CrossRef]
- Wu, Q.; Wang, M.; Simon, J.E. Determination of isoflavones in red clover and related species by high-performance liquid chromatography combined with ultraviolet and mass spectrometric detection. J. Chromatogr. A 2003, 1016, 195–209. [Google Scholar] [CrossRef]
- Ye, M.; Yang, W.-Z.; Liu, K.-D.; Qiao, X.; Li, B.-J.; Cheng, J.; Feng, J.; Guo, D.-A.; Zhao, Y.-Y. Characterization of flavonoids in Millettia nitida var. hirsutissima by HPLC/DAD/ESI-MSn. J. Pharm. Anal. 2012, 2, 35–42. [Google Scholar] [CrossRef] [PubMed]
- Falcão, S.I.; Vale, N.; Gomes, P.; Domingues, M.R.M.; Freire, C.; Cardoso, S.M.; Vilas-Boas, M. Phenolic profiling of Portuguese propolis by LC–MS spectrometry: Uncommon propolis rich in flavonoid glycosides. Phytochem. Anal. 2013, 24, 309–318. [Google Scholar] [CrossRef] [PubMed]
- Xu, T.; Yang, M.; Li, Y.; Chen, X.; Wang, Q.; Deng, W.; Pang, X.; Yu, K.; Jiang, B.; Guan, S.; et al. An integrated exact mass spectrometric strategy for comprehensive and rapid characterization of phenolic compounds in licorice. Rapid Commun. Mass Spectrom. 2013, 27, 2297–2309. [Google Scholar] [CrossRef]
- Abd-El-Aziz, N.M.; Hifnawy, M.S.; Lotfy, R.A.; Younis, I.Y. LC/MS/MS and GC/MS/MS metabolic profiling of Leontodon hispidulus, in vitro and in silico anticancer activity evaluation targeting hexokinase 2 enzyme. Sci. Rep. 2024, 14, 6872. [Google Scholar] [CrossRef]
- Liu, W.; Kong, Y.; Zu, Y.; Fu, Y.; Luo, M.; Zhang, L.; Li, J. Determination and quantification of active phenolic compounds in pigeon pea leaves and its medicinal product using liquid chromatography–tandem mass spectrometry. J. Chromatogr. A 2010, 1217, 4723–4731. [Google Scholar] [CrossRef] [PubMed]
- Sun, J.; Liang, F.; Bin, Y.; Li, P.; Duan, C. Screening non-colored phenolics in red wines using liquid chromatography/ultraviolet and mass spectrometry/mass spectrometry libraries. Molecules 2007, 12, 679–693. [Google Scholar] [CrossRef] [PubMed]
- Lech, K. Universal analytical method for characterization of yellow and related natural dyes in liturgical vestments from Krakow. J. Cult. Herit. 2020, 46, 108–118. [Google Scholar] [CrossRef]
- Boukaabache, R.; Boubekri, N.; Boumaza, O.; Mekkiou, R.; Seghiri, R.; Sarri, D.; Zama, D.; Benayache, F.; Benayache, S. Phytochemical study of ethyl acetate extract and antioxidant activity of Genista quadriflora Munby (Fabaceae). Der Pharm. Lett. 2013, 5, 56–59. [Google Scholar]
- Fokialakis, N.; Alexi, X.; Aligiannis, N.; Boulaka, A.; Meligova, A.K.; Lambrinidis, G.; Kalpoutzakis, E.; Pratsinis, H.; Cheilari, A.; Mitsiou, D.J.; et al. Biological evaluation of isoflavonoids from Genista halacsyi using estrogen-target cells: Activities of glucosides compared to aglycones. PLoS ONE 2019, 14, e0210247. [Google Scholar] [CrossRef]
- Caligiani, A.; Palla, G.; Maietti, A.; Cirlini, M.; Brandolini, V. 1H NMR fingerprinting of soybean extracts, with emphasis on identification and quantification of isoflavones. Nutrients 2010, 2, 280–289. [Google Scholar] [CrossRef]
- He, J.; Fan, P.; Feng, S.; Shao, P.; Sun, P. Isolation and purification of two isoflavones from Hericium erinaceum mycelium by High-Speed Counter-Current Chromatography. Molecules 2018, 23, 560. [Google Scholar] [CrossRef]
- Pedrazza, G.P.R.; Morais, C.B.; Dettenborn, G.R.; Ceolato, P.C.; Apel, M.A.; Schapoval, E.E.S.; DallÁgnoll, M.; Zuanazzi, J.A.S. Anti-inflammatory activity and chemical analysis of extracts from Trifolium riograndense. Rev. Bras. Farmacogn. 2017, 27, 334–338. [Google Scholar] [CrossRef]
- Cordenonsi, L.M.; Sponchiado, R.M.; Campanharo, S.C.; Garcia, C.V.; Raffin, R.P.; Schapoval, E.E.S. Study of flavonoids present in Pomelo (Citrus máxima) by DSC, UV-VIS, IR, 1H and 13C NMR and MS. Drug Anal. Res. 2017, 1, 31–37. [Google Scholar] [CrossRef]
- Zhang, Y.; Chen, X.; Gueydan, C.; Han, J. Plasma membrane changes during programmed cell deaths. Cell Res. 2018, 28, 9–21. [Google Scholar] [CrossRef] [PubMed]
- Cardaci, S.; Filomeni, G.; Rotilio, G.; Ciriolo, M.R. Reactive oxygen species mediate p53 activation and apoptosis induced by sodium nitroprusside in SH-SY5Y cells. Mol. Pharmacol. 2008, 74, 1234–1245. [Google Scholar] [CrossRef] [PubMed]
- Shendge, A.K.; Chaudhuri, D.; Mandal, N. The natural flavones, acacetin and apigenin, induce Cdk-Cyclin mediated G2/M phase arrest and trigger ROS-mediated apoptosis in glioblastoma cells. Mol. Biol. Rep. 2021, 48, 539–549. [Google Scholar] [CrossRef] [PubMed]
- Yan, Y.-Y.; Bai, J.-P.; Xie, Y.; Yu, J.-Z.; Ma, C.-G. The triterpenoid pristimerin induces U87 glioma cell apoptosis through reactive oxygen species-mediated mitochondrial dysfunction. Oncol. Lett. 2013, 5, 242–248. [Google Scholar] [CrossRef] [PubMed]
- Anno, Y.; Kubo, T.; Ueki, R.; Yano, M.; Sasaki, K.; Ohba, H.; Fujii, M. Synthesis of DNA conjugates by solid phase fragment condensation. Nucleos. Nucleot. Nucl. 2003, 22, 1451–1453. [Google Scholar] [CrossRef] [PubMed]
- Pan, Z.; Luo, Y.; Xia, Y.; Zhang, X.; Qin, Y.; Liu, W.; Li, M.; Liu, X.; Zheng, Q.; Li, D. Cinobufagin induces cell cycle arrest at the S phase and promotes apoptosis in nasopharyngeal carcinoma cells. Biomed. Pharmacother. 2020, 122, 109763. [Google Scholar] [CrossRef]
- Barkley, L.R.; Ohmori, H.; Vaziri, C. Integrating S-phase checkpoint signaling with trans-lesion synthesis of bulky DNA adducts. Cell Biochem. Biophys. 2007, 47, 392–408. [Google Scholar] [CrossRef] [PubMed]
- Mullan, P.B.; E Quinn, J.; Gilmore, P.M.; McWilliams, S.; Andrews, H.; Gervin, C.; McCabe, N.; McKenna, S.; White, P.; Song, Y.-H.; et al. BRCA1 and GADD45 mediated G2/M cell cycle arrest in response to antimicrotubule agents. Oncogene 2001, 20, 6123–6131. [Google Scholar] [CrossRef] [PubMed][Green Version]
- Tu, Y.; Cheng, S.; Zhang, S.; Sun, H.; Xu, Z. Vincristine induces cell cycle arrest and apoptosis in SH-SY5Y human neuroblastoma cells. Int. J. Mol. Med. 2013, 31, 113–119. [Google Scholar] [CrossRef] [PubMed]
- Ahmed, S.A.; Mendonca, P.; Elhag, R.; Soliman, K.F. Anticancer effects of fucoxanthin through cell cycle arrest, apoptosis induction, angiogenesis inhibition, and autophagy modulation. Int. J. Mol. Sci. 2022, 23, 16091. [Google Scholar] [CrossRef]
- Matés, J.M.; Sánchez-Jiménez, F.M. Role of reactive oxygen species in apoptosis: Implications for cancer therapy. Int. J. Biochem. Cell Biol. 2000, 32, 157–170. [Google Scholar] [CrossRef] [PubMed]
- Caesar, L.K.; Cech, N.B. Synergy and antagonism in natural product extracts: When 1 + 1 does not equal 2. Nat. Prod. Rep. 2019, 36, 869–888. [Google Scholar] [CrossRef]
- Duan, L.; Maki, C.G. The IGF-1R/AKT pathway determines cell fate in response to p53. Transl. Cancer Res. 2016, 5, 664. [Google Scholar] [CrossRef] [PubMed]
- Lantto, T.A.; Laakso, I.; Dorman, H.J.D.; Mauriala, T.; Hiltunen, R.; Kõks, S.; Raasmaja, A. Cellular stress and p53-associated apoptosis by Juniperus communis L. Berry extract treatment in the human SH-SY5Y neuroblastoma cells. Int. J. Mol. Sci. 2016, 17, 1113. [Google Scholar] [CrossRef] [PubMed]
- Chaudhry, G.-E.-S.; Md Akim, A.; Sung, Y.Y.; Sifzizul, T.M.T. Cancer and apoptosis: The apoptotic activity of plant and marine natural products and their potential as targeted cancer therapeutics. Front. Pharmacol. 2022, 13, 842376. [Google Scholar] [CrossRef]
- Podhorecka, M.; Skladanowski, A.; Bozko, P. H2AX phosphorylation: Its role in DNA damage response and cancer therapy. J. Nucleic Acids 2010, 2010, 920161. [Google Scholar] [CrossRef] [PubMed]
- Martelli, A.M.; Zweyer, M.; Ochs, R.L.; Tazzari, P.L.; Tabellini, G.; Narducci, P.; Bortul, R. Nuclear apoptotic changes: An overview. J. Cell Biochem. 2001, 82, 634–646. [Google Scholar] [CrossRef]
- Desouza, M.; Gunning, P.W.; Stehn, J.R. The actin cytoskeleton as a sensor and mediator of apoptosis. Bioarchitecture 2012, 2, 75–87. [Google Scholar] [CrossRef] [PubMed]
- Waki, T.; Mameda, R.; Nakano, T.; Yamada, S.; Terashita, M.; Ito, K.; Tenma, N.; Li, Y.; Fujino, N.; Uno, K.; et al. A conserved strategy of chalcone isomerase-like protein to rectify promiscuous chalcone synthase specificity. Nature Comm. 2020, 11, 870. [Google Scholar] [CrossRef] [PubMed]
- Das, A.; Banik, N.L.; Ray, S.K. Mechanism of apoptosis with the involvement of calpain and caspase cascades in human malignant neuroblastoma SH-SY5Y cells exposed to flavonoids. Int. J. Cancer. 2006, 119, 2575–2585. [Google Scholar] [CrossRef] [PubMed]
- Das, A.; Banik, N.L.; Ray, S.K. Flavonoids activated caspases for apoptosis in human glioblastoma T98G and U87MG cells but not in human normal astrocytes. Cancer 2010, 116, 164–176. [Google Scholar] [CrossRef] [PubMed]
- Wu, J.; Yang, X.; Ge, J.; Zhang, Y.; Wu, L.; Liu, J.; Zhang, X. Biotransformation of sophoricoside in Fructus sophorae by the fungus Schizophyllum commune. Bioresour. Technol. 2012, 111, 496–499. [Google Scholar] [CrossRef] [PubMed]
- Quach, N.T.; Nguyen, Q.H.; Vu, T.H.N.; Le, T.T.H.; Ta, T.T.T.; Nguyen, T.D.; Van Doan, T.; Van Nguyen, T.; Dang, T.T.; Nguyen, X.C.; et al. Plant-derived bioactive compounds produced by Streptomyces variabilis LCP18 associated with Litsea cubeba (Lour.) Pers as potential target to combat human pathogenic bacteria and human cancer cell lines. Braz. J. Microbiol. 2021, 52, 1215–1224. [Google Scholar] [CrossRef]
- Tay, K.-C.; Tan, L.T.-H.; Chan, C.K.; Hong, S.L.; Chan, K.-G.; Yap, W.H.; Pusparajah, P.; Lee, L.-H.; Goh, B.-H. Formononetin: A review of its anticancer potentials and mechanisms. Front. Pharmacol. 2019, 10, 820. [Google Scholar] [CrossRef] [PubMed]
- Peng, F.; Wang, L.; Xiong, L.; Tang, H.; Du, J.; Peng, C. Maackiain modulates miR-374a/GADD45A axis to inhibit triple-negative breast cancer initiation and progression. Front. Pharmacol. 2022, 13, 806–869. [Google Scholar] [CrossRef] [PubMed]
- Kuo, Y.-H.; Hung, H.-S.; Tsai, C.-W.; Chiu, S.-C.; Liu, S.-P.; Chiang, Y.-T.; Shyu, W.-C.; Lin, S.-Z.; Fu, R.-H. A novel splice variant of BCAS1 inhibits β-arrestin 2 to promote the proliferation and migration of glioblastoma cells, and this effect was blocked by maackiain. Cancers 2022, 14, 3890. [Google Scholar] [CrossRef] [PubMed]
- Liu, J.; Song, C.; Liang, Z.; Long, X.; Guo, M.; Xu, J. Licoflavanone exerts anticancer effects on human nasopharyngeal cancer cells via caspase activation, suppression of cell migration and invasion, and inhibition of m-TOR/PI3K/AKT pathway. Trop. J. Pharm. Res. 2021, 20, 1387–1393. [Google Scholar] [CrossRef]
- Chen, Y.; Yin, L.; Hao, M.; Xu, W.; Gao, J.; Sun, Y.; Wang, Q.; Chen, S.; Liang, Y.; Guo, R.; et al. Medicarpin induces G1 arrest and mitochondria-mediated intrinsic apoptotic pathway in bladder cancer cells. Acta Pharm. 2023, 73, 211–225. [Google Scholar] [CrossRef]
- Siegelin, M.; Gaiser, T.; Habel, A.; Siegelin, Y. Daidzein overcomes TRAIL-resistance in malignant glioma cells by modulating the expression of the intrinsic apoptotic inhibitor, bcl-2. Neurosci. Lett. 2009, 454, 223–228. [Google Scholar] [CrossRef] [PubMed]
- Brown, A.; Jolly, P.; Wei, H. Genistein modulates neuroblastoma cell proliferation and differentiation through induction of apoptosis and regulation of tyrosine kinase activity and N-myc expression. Carcinogenesis 1998, 19, 991–997. [Google Scholar] [CrossRef] [PubMed]
- Schmidt, F.; Knobbe, C.B.; Frank, B.; Wolburg, H.; Weller, M. The topoisomerase II inhibitor, genistein, induces G2/M arrest and apoptosis in human malignant glioma cell lines. Oncol. Rep. 2008, 19, 1061–1066. [Google Scholar] [CrossRef] [PubMed][Green Version]
- Liang, F.; Zhang, H.; Gao, H.; Cheng, D.; Zhang, N.; Du, J.; Yue, J.; Du, P.; Zhao, B.; Yin, L. Liquiritigenin decreases tumorigenesis by inhibiting DNMT activity and increasing BRCA1 transcriptional activity in triple-negative breast cancer. Exp. Biol. Med. 2021, 246, 459–466. [Google Scholar] [CrossRef]
- Stabrauskiene, J.; Kopustinskiene, D.M.; Lazauskas, R.; Bernatoniene, J. Naringin and naringenin: Their mechanisms of action and the potential anticancer activities. Biomedicines 2022, 10, 1686. [Google Scholar] [CrossRef]
- Zhang, S.; Jiang, Z.-F.; Pan, Q.; Song, C.-Y.; Zhang, W.-H. Anti-cancer effect of naringenin chalcone is mediated via the induction of autophagy, apoptosis and activation of PI3K/Akt signalling pathway. Bangladesh J. Pharmacol. 2016, 11, 684–690. [Google Scholar] [CrossRef]
- Sharma, V.; Joseph, C.; Ghosh, S.; Agarwal, A.; Mishra, M.K.; Sen, E. Kaempferol induces apoptosis in glioblastoma cells through oxidative stress. Mol. Cancer Ther. 2007, 6, 2544–2553. [Google Scholar] [CrossRef]
- Stump, T.A.; Santee, B.N.; Williams, L.P.; Kunze, R.A.; Heinze, C.E.; Huseman, E.D.; Gryka, R.J.; Simpson, D.S.; Amos, S. The antiproliferative and apoptotic effects of apigenin on glioblastoma cells. J. Pharm. Pharmacol. 2017, 69, 907–916. [Google Scholar] [CrossRef] [PubMed]
- Kovalevich, J.; Langford, D. Considerations for the use of SH-SY5Y neuroblastoma cells in neurobiology. Methods Mol. Biol. 2013, 1078, 9–21. [Google Scholar] [CrossRef] [PubMed]
- Motaln, H.; Koren, A.; Gruden, K.; Ramšak, Ž.; Schichor, C.; Lah, T.T. Heterogeneous glioblastoma cell cross-talk promotes phenotype alterations and enhanced drug resistance. Oncotarget 2015, 6, 40998–41017. [Google Scholar] [CrossRef] [PubMed]
- van Meerloo, J.; Kaspers, G.J.L.; Cloos, J. Cell sensitivity assays: The MTT assay. Methods Mol. Biol. 2011, 731, 237–245. [Google Scholar] [CrossRef] [PubMed]
- Ye, J.; Li, Y.; Teruya, K.; Katakura, Y.; Ichikawa, A.; Eto, H.; Hosoi, M.; Hosoi, M.; Nishimoto, S.; Shirahata, S. Enzyme-digested fucoidan extracts derived from seaweed Mozuku of Cladosiphon novae-caledoniae kylin inhibit invasion and angiogenesis of tumor cells. Cytotechnology 2005, 47, 117–126. [Google Scholar] [CrossRef]
- Diz, M.; Durán-Carril, M.L.; Castro, J.; Alvo, S.; Bada, L.; Viña, D.; García-Vázquez, J.A. Antitumor activity of copper (II) complexes with Schiff bases derived from N′-tosylbenzene-1,2-diamine. J. Inorg. Biochem. 2022, 236, 11975. [Google Scholar] [CrossRef] [PubMed]
- Tsugawa, H.; Kind, T.; Nakabayashi, R.; Yukihira, D.; Tanaka, W.; Cajka, T.; Saito, K.; Fiehn, O.; Arita, M. Hydrogen rearrangement rules: Computational MS/MS fragmentation and structure elucidation using MS-FINDER software. Anal. Chem. 2016, 88, 7946–7958. [Google Scholar] [CrossRef] [PubMed]
- Dührkop, K.; Nothias, L.-F.; Fleischauer, M.; Reher, R.; Ludwig, M.; Hoffmann, M.A.; Petras, D.; Gerwick, W.H.; Rousu, J.; Dorrestein, P.C.; et al. Systematic classification of unknown metabolites using high-resolution fragmentation mass spectra. Nat. Biotechnol. 2021, 39, 462–471. [Google Scholar] [CrossRef] [PubMed]
- Ruttkies, C.; Schymanski, E.L.; Wolf, S.; Hollender, J.; Neumann, S. MetFrag relaunched: Incorporating strategies beyond in silico fragmentation. J. Cheminform. 2016, 8, 3. [Google Scholar] [CrossRef] [PubMed]












| Peak | Rt (min)/Peak Area (%) | [M-H]− (m/z Experimental) | m/z Error (ppm) | Main Fragments Ions (m/z) | Compound | Molecular Formula | Reference |
|---|---|---|---|---|---|---|---|
| 10 | 4.40/2.28 | 121.0296 | 0.97 | 122.0329, 92.0268 | 4-Hydroxybenzaldehyde | C7H6O2 | [30] |
| 35 | 9.00/11.72 | 283.0613 | 0.33 | 284.0647, 271.0613, 268.0379, 240.0428, 211.0402 | Isoprunetin | C16H12O5 | [31] |
| 38 | 9.70/3.97 | 253.0507 | −0.09 | 254.0541, 224.0479, 211.0402, 209.0607 | Daidzein | C15H10O4 | [7] |
| 40 | 10.40/3.28 | 283.0614 | −0.20 | 284.0648, 268.0378 | Biochanin A | C16H12O5 | [32] |
| 42 | 11.10/2.44 | 283.0613 | 0.25 | 284.0648, 268.0377, 240.0423, 211.0401, 149.0244 | Maackiain | C16H12O5 | [20] |
| 46 | 13.10/2.34 | 269.0820 | −0.08 | 270.0854, 253.0507 | Medicarpin | C16H14O4 | [33] |
| 48 | 14.10/3.86 | 329.0670 | 0.49 | 330.0703, 327.0513, 299.0199, 271.0250 | Quercetin-3,3′-dimethyl ether | C17H14O7 | [34] |
| 51 | 15.30/2.22 | 299.0562 | −0.52 | 300.0597, 284.0326 | Dinatin | C16H12O6 | [35] |
| 59 | 17.70/1.64 | 281.0457 | 0.13 | 282.0492, 253.0506, 135.0087 | Pseudobabtigenin | C16H10O5 | [36] |
| 60 | 18.00/2.02 | 369.0983 | 0.71 | 370.1018, 297.0407 | 2,3-Dehydrokievitol | C20H18O7 | [37] |
| 61 | 18.40/5.26 | 267.0664 | −0.05 | 268.0698, 252.0427, 223.0400, 195.0450 | Formononetin | C16H12O4 | [7] |
| 66 | 19.90/3.66 | 353.1033 | 0.13 | 354.1068, 351.0879, 297.0407 | 2,3-Dehydrokievitone | C20H18O6 | [38] |
| 67 | 20.40/1.69 | 353.1034 | 0.13 | 354.1069 | Licoflavonol | C20H18O6 | [39] |
| 69 | 20.80/1.66 | 351.0876 | 0.12 | 352.0910 | Licoisoflavone B | C20H16O6 | [8] |
| 70 | 20.90/1.52 | 353.1034 | 0.88 | 354.1069, 335.0565, 281.0458 | 8-Prenylkaempferol | C20H18O6 | [40] |
| 82 | 24.30/4.36 | 337.1086 | 1.08 | 338.1120, 293.0458, 281.0457, 219.0666, 161.0244 | Licoflavone C | C20H18O5 | [37] |
| 83 | 24.60/1.06 | 367.1191 | 0.38 | 368.1225 | Gancaonin N | C21H20O6 | [37] |
| 86 | 25.20/4.55 | 337.1084 | 1.25 | 338.1118, 112.9857 | Wighteone | C20H18O5 | [41] |
| 93 | 26.90/2.59 | 335.0929 | 1.07 | 336.0964, 320.0691 | Limonianin | C20H16O5 | [8] |
| 103 | 30.40/3.95 | 405.1710 | 1.02 | 406.1744 | Isolupabigenin | C25H26O5 | [9] |
| Peak | Rt (min)/Peak Area (%) | [M-H]− (m/z Experimental) | m/z Error (ppm) | Main Fragments Ions (m/z) | Compound | Molecular Formula | Reference |
|---|---|---|---|---|---|---|---|
| 19 | 6.80/0.86 | 271.0613 | 0.18 | 272.0647, 253.0506, 243.0663, 135.0089, 91.0190 | Butin | C15H12O5 | [42] |
| 23 | 7.50/1.32 | 299.0562 | 0.20 | 300.0597, 284.0323, 255.0663 | Isokaempferide | C16H12O6 | [43] |
| 24 | 7.60/2.31 | 287.0563 | −0.14 | 288.0597, 269.0456, 259.0613, 177.0557, 125.0244 | Dihydrokaempferol | C15H12O6 | [7] |
| 31 | 9.40/0.89 | 417.1193 | 0.27 | 418.1227, 329.0669, 255.0663, 135.0088 | Liquiritin | C21H12O9 | [7] |
| 32 | 9.60/0.95 | 285.0405 | 0.17 | 286.0440, 217.0507, 175.0401 | Luteolin | C15H10O6 | [7] |
| 35 | 10.10/2.06 | 285.0405 | −0.15 | 286.0439, 257.0455, 151.0038 | Kaempferol | C15H10O6 | [44] |
| 39 | 11.10/0.91 | 329.0669 | 0.50 | 330.0703 | Quercetin-3,3′-dimethyl ether | C17H14O7 | [34] |
| 42 | 11.80/1.85 | 313.0719 | −0.50 | 314.0754, 285.0406 | Onogenin | C17H14O6 | [8] |
| 47 | 13.30/2.41 | 271.0613 | 0.65 | 272.0648, 163.0038, 151.0038, 119.0503 | Naringenin | C15H12O5 | [7] |
| 50 | 14.30/9.38 | 269.0459 | 1.20 | 270.0491, 241.0506, 225.0554, 201.0559, 181.0659, 159.0452, 133.0296, 107.0141 | Genistein | C15H10O5 | [7] |
| 54 | 15.80/1.79 | 269.0457 | 0.70 | 270.0492, 117.0347, 107.0141 | Apigenin | C15H10O5 | [44] |
| 62 | 18.80/4.60 | 255.0666 | 0.18 | 256.0698, 135.0088 | Liquiritigenin | C15H12O4 | [7] |
| 64 | 19.20/0.84 | 337.0721 | 0.44 | 338.0753, 283.0613 | Neotenone | C19H14O6 | [44] |
| 67 | 19.70/0.93 | 369.0981 | 0.25 | 370.1015, 301.1083 | Gancaonin P | C20H18O7 | [45] |
| 68 | 19.90/0.90 | 353.1033 | 0.25 | 354.1068, 351.0879, 297.0408 | 2,3-Dehydrokievitone | C20H18O6 | [38] |
| Compounds in Sub-Fraction D7 | Molecular Formula | Rt (min) |
|---|---|---|
| l-leucine | C21H41NO4 | 10.57 |
| 4-Hydroxybenzaldehyde | C7H6O2 | 15.32 |
| Vanillin | C8H8O3 | 16.10 |
| Isoeugenol | C10H12O2 | 17.40 |
| d-Allose | C6H12O6 | 18.86 |
| β-d-Glucopyranoside | C7H14O6 | 21.06 |
| 4-((1E)-3-Hydroxy-1-propenyl)-2-methoxyphenol | C10H12O3 | 22.54 |
| 4-Hydroxy-2-methoxycinnamaldehyde | C10H10O3 | 23.93 |
| 4-((1E)-3-Hydroxy-1-propenyl)-2-methoxyphenol | C10H12O3 | 24.11 |
| Benzoic acid | C9H10O5 | 25.64 |
| 3,5-Dimethoxy-4-hydroxycinnamaldehyde | C11H12O4 | 28.93 |
| Maackiain | C16H12O5 | 40.78 |
| Formononetin | C16H12O4 | 42.85 |
| Dinatin | C16H12O6 | 43.90 |
| Pseudobabtigenin | C16H10O5 | 44.63 |
| (2Z)-6-hydroxy-2-[(4-hydroxy-3-methoxyphenyl) methylidene]-1-benzofuran-3-one | C16H12O5 | 44.87 |
| 3,5,7-Trimethoxyflavone | C18H16O5 | 45.33 |
| Compounds in Sub-Fraction D8 | Molecular Formula | Rt (min) |
|---|---|---|
| l-Leucine | C16H31NO4 | 10.57 |
| d-Allose | C6H12O6 | 18.57 |
| 2-cis-9-Octadecenyloxyethanol | C20H40O2 | 26.16 |
| Palmitic acid | C17H34O2 | 28.73 |
| Stearic acid | C18H36O2 | 32.39 |
| Dehydroabietic acid | C20H28O2 | 36.84 |
| Naringenin | C15H12O5 | 43.07 |
| 7-Hydroxy-2-(3-hydroxyphenyl)-2,3-dihydro-4H-chromen-4-one | C15H12O4 | 44.05 |
| Genistein | C15H10O5 | 44.66 |
| Sub-Fractions | Sub-Fraction Weight (g) | Yield (%) |
|---|---|---|
| D7F1 | 0.076 | 14.84 |
| D7F2 | 0.037 | 7.23 |
| D7F3 | 0.100 | 19.53 |
| D7F4 | 0.061 | 11.91 |
| D7F5 | 0.036 | 7.03 |
| D7F6 | 0.077 | 15.04 |
| D7F7 | 0.086 | 16.80 |
| D7F7F1 | 0.005 | 5.81 |
| D7F7F2 | 0.006 | 6.98 |
| D7F7F3 | 0.003 | 3.49 |
| D7F7F4 | 0.004 | 4.65 |
| D7F7F5 | 0.003 | 3.48 |
| D7F7F6 | 0.010 | 11.63 |
| D7F7F7 | 0.003 | 3.49 |
| D7F7F8 | 0.003 | 3.49 |
| D7F7F6S1 | 0.004 | 40.00 |
| D7F7F6S2 | 0.002 | 20.00 |
| D7F7F6S3 | 0.002 | 20.00 |
| D7F7F6S4 | 0.001 | 10.00 |
| D7F7F6S5 | 0.001 | 10.00 |
| Sub-Fractions | Sub-Fraction Weight (g) | Yield (%) |
|---|---|---|
| D8F1 | 0.001 | 3.03 |
| D8F2 | 0.001 | 3.03 |
| D8F3 | 0.001 | 3.03 |
| D8F4 | 0.001 | 3.03 |
| D8F5 | 0.002 | 6.07 |
| D8F6 | 0.003 | 9.10 |
| D8F7 | 0.003 | 9.10 |
| D8F8 | 0.002 | 6.07 |
| D8F9 | 0.002 | 6.07 |
| D8F10 | 0.003 | 9.10 |
| D8F11 | 0.003 | 9.10 |
| D8F12 | 0.002 | 6.07 |
| D8F13 | 0.003 | 9.10 |
| D8F14 | 0.002 | 6.07 |
| Compound | Calibration curve | R2 | Concentration Range (µg/mL) a | LOD b (µg/mL) | LOQ c (µg/mL) |
|---|---|---|---|---|---|
| Isoprunetin (C1) | y = 1.1711x − 5.0918 | 0.9938 | 1–200 | 7.97 | 24.15 |
| Genistein (C2) | y = 1.0113x − 2.6901 | 0.9967 | 1–200 | 5.80 | 15.58 |
| Naringenin | y = 0.9926x + 0.0754 | 0.9985 | 1–200 | 3.90 | 11.83 |
Disclaimer/Publisher’s Note: The statements, opinions and data contained in all publications are solely those of the individual author(s) and contributor(s) and not of MDPI and/or the editor(s). MDPI and/or the editor(s) disclaim responsibility for any injury to people or property resulting from any ideas, methods, instructions or products referred to in the content. |
© 2025 by the authors. Licensee MDPI, Basel, Switzerland. This article is an open access article distributed under the terms and conditions of the Creative Commons Attribution (CC BY) license (https://creativecommons.org/licenses/by/4.0/).
Share and Cite
Bada, L.; Butt, H.S.; Quezada, E.; Picos, A.; Wangensteen, H.; Inngjerdingen, K.T.; Gil-Longo, J.; Viña, D. Antitumor Activity, Mechanisms of Action and Phytochemical Profiling of Sub-Fractions Obtained from Ulex gallii Planch. (Fabaceae): A Medicinal Plant from Galicia (Spain). Molecules 2025, 30, 972. https://doi.org/10.3390/molecules30040972
Bada L, Butt HS, Quezada E, Picos A, Wangensteen H, Inngjerdingen KT, Gil-Longo J, Viña D. Antitumor Activity, Mechanisms of Action and Phytochemical Profiling of Sub-Fractions Obtained from Ulex gallii Planch. (Fabaceae): A Medicinal Plant from Galicia (Spain). Molecules. 2025; 30(4):972. https://doi.org/10.3390/molecules30040972
Chicago/Turabian StyleBada, Lucía, Hussain Shakeel Butt, Elías Quezada, Aitor Picos, Helle Wangensteen, Kari Tvete Inngjerdingen, José Gil-Longo, and Dolores Viña. 2025. "Antitumor Activity, Mechanisms of Action and Phytochemical Profiling of Sub-Fractions Obtained from Ulex gallii Planch. (Fabaceae): A Medicinal Plant from Galicia (Spain)" Molecules 30, no. 4: 972. https://doi.org/10.3390/molecules30040972
APA StyleBada, L., Butt, H. S., Quezada, E., Picos, A., Wangensteen, H., Inngjerdingen, K. T., Gil-Longo, J., & Viña, D. (2025). Antitumor Activity, Mechanisms of Action and Phytochemical Profiling of Sub-Fractions Obtained from Ulex gallii Planch. (Fabaceae): A Medicinal Plant from Galicia (Spain). Molecules, 30(4), 972. https://doi.org/10.3390/molecules30040972

