Recent Advances in Resveratrol Derivatives: Structural Modifications and Biological Activities
Abstract
1. Introduction
2. Modification of Phenolic Hydroxyl Groups

| Compound | R1 | R2 | R3 | Activity | Molecular Mechanism | In Vivo Model | Ref. |
|---|---|---|---|---|---|---|---|
| PTS | -CH3 | -CH3 | -H | - 1 | - | - | - |
| 1 | -CH3 | -CH3 | ![]() | MRSA(MIC = 1.2–2.4 μg/mL, MBC = 19.5–39 μg/mL) | Inhibiting DNA polymerase | - | [30] |
| 2 | -CH3 | -CH3 | ![]() | Xoo EC50 = 4.76 ± 0.09 μg/mL Xoc EC50 = 8.85 ± 1.22 μg/mL | Suppressing the formation of bacterial biofilms Suppressing the production of EPS | Rice bacterial leaf blight Rice bacterial leaf streak | [32] |
| 3 | -CH3 | -CH3 | ![]() | Xoo EC50 = 0.88 ± 0.026 μg/mL Xac EC50 = 5.71 ± 0.11 μg/mL | Suppressing the formation of bacterial biofilms Suppressing the production of EPS | Rice bacterial leaf blight Citrus canker | [33] |
| 4 | -CH3 | -CH3 | ![]() | Xoo EC50 = 0.28 ± 0.03 μg/mL | Suppressing the formation of bacterial biofilms Suppressing the production of EPS | Rice bacterial leaf blight | [34] |
| 5 | -CH3 | -CH3 | ![]() | Inhibition of Th2, Th1/Th17 expression | Impact on MAPK and c-Jun signaling pathways | DNCB-induced AD-like mice | [35] |
| 6 | ![]() | -H | -H | Neuroprotection | Mitigating H2O2-induced neurotoxicity and the production of intracellular ROS | Cerebral ischemia–reperfusion model | [38] |
| 7 | -TIPS | --TIPS | -β-Glc-Oct | Reducing the production of IL-6 | - | EAE multiple sclerosis mouse model | [39] |
| 8 | -SO3- | ![]() | -SO3- | Anaerobic Gram-positive bacteria (MIC = 6.6–64 μM) | Increasing membrane permeability Inducing membrane hyperpolarization | - | [40] |
| 9 | -H | -H | ![]() | Anaerobic Gram-positive bacteria (MIC = 4–21.3 μM) | Increasing membrane permeability Inducing membrane hyperpolarization | - | [40] |
| 10 | ![]() | ![]() | ![]() | Gram-negative (MIC = 13.3–64 μM) Gram-positive (MIC = 3.3–36.7 μM) | Suppressing the formation of bacterial biofilms | - | [41] |
| 11 | ![]() | -H | -H | Against A549, BxPC3, and HT29 cell lines | Altered cystatin activity of pro-apoptotic pathways (p21, p53, and Bax) Increased expression of SOD1 and SOD2 | - | [42] |
| 12 | -H | -H | ![]() | Against A549, BxPC3, and HT29 cell lines | Altered cystatin activity of pro-apoptotic pathways (p21, p53, and Bax) Increased expression of SOD1 and SOD2 | - | [42] |
3. Structural Modification of Benzene Ring

| Compound | R1 | R2 | R3 | R4 | Activity | Mechanism | In Vivo Model | Ref. |
|---|---|---|---|---|---|---|---|---|
| 13 | -CH3 | -CH3 | -OCH3 | ![]() | Inhibited the LPS-induced production of IL-6 and TNF-a | Decreased LPS-induced TNF-a, IL-6, IL12, and IL-33 mRNA expression | LPS-induced acute lung injury in the in vivo mouse model | [43] |
| 14 | -CH3 | -CH3 | -OCH3 | ![]() | Decreased the transcription of inflammatory mediators (such as TNF-α, IL-6, IL-1β, and COX-2) and the expression of adhesion molecules (including ICAM, VCAM-1, and MCP-1) stimulated by PA | Affects the ERK signaling pathway | HFD-induced NAFLD HFD-induced heart and kidney injury | [43,44,45] |
| 15 | -CH3 | -CH3 | -OCH3 | ![]() | NO IC50 = 4.13 ± 0.07 μM. Hela IC50 = 4.042 ± 0.16 μM. A549 IC50 = 27.72 ± 1.45 μM. SGC7901 IC50 = 3.93 ± 0.37 μM | - 1 | - | [46] |
| 16 | -CH3 | -CH3 | -OCH3 | ![]() | NO IC50 = 1.35 μM IL-6 IC50 = 1.12 μM TNF-α IC50 = 1.92 μM | Inhibits the expression of TLR4 protein, resulting in activation of the NF-κB cell signaling pathway | LPS-induced acute lung injury | [47] |
| 17 | -CH3 | -CH3 | -OH | ![]() | OECM-1 IC50 = 16.38 µM HSC-3 IC50 = 18.06 µM | Inhibits cell proliferation and induces G2/M cell-cycle arrest by regulating p21, cyclin B1, and cyclin A2 Reducing Bcl-2 and survival protein levels, and increasing PARP and caspase-3 cleavage at higher concentrations | - | [48] |
| 18 | -CH3 | -CH3 | ![]() | ![]() | Inhibited the LPS-induced production of IL-1β, TNF-α, iNOS, and COX-2 | Inhibition of NF-κB and MAPKs signaling pathways | LPS-induced sepsis in C57BL/6J mice and reduced multi-organ toxicity | [49] |
| 19 | -CH3 | -CH3 | -OCH3 | ![]() | MDA-MB-231 GI50 = 0.35 µM | Disrupted the stability of microtubule proteins | - | [50] |
| 20 | -CH3 | -CH3 | ![]() | ![]() | Increased expression of Nrf2, SOD1, CAT, and GPX1 Decreased ROS generation | Inhibiting NF-κB signaling | DOX-induced heart failure | [51] |
| 21 | -CH3 | -CH3 | ![]() | ![]() | Reduced IL-6, L-1β, and TNF-α expression | Blocks the ERK1/2 signaling pathway | Medial calcification induced by nicotine and VD3 | [52] |
| 22 | -CH3 | -CH3 | ![]() | ![]() | NO IC50= 0.7 ± 0.15 μM | Inhibition of NF-κB and MAPKs signaling pathways | DSS-induced acute colitis in mice | [53] |
| 23 | -CH3 | -CH3 | ![]() | ![]() | NO IC50= 0.6 ± 0.12 μM | Inhibition of NF-κB and MAPKs signaling pathways | DSS-induced acute colitis in mice | [54] |
| 24 | -CH3 | -CH3 | -OCH3 | ![]() | Xoo EC50 = 4.2 ± 1.2 μg/mL Xoc EC50 = 5.0 ± 0.5 μg/mL | Suppressing the formation of bacterial biofilms | Rice bacterial leaf blight Rice bacterial leaf streak | [55] |
| 25 | -CH3 | -CH3 | ![]() | ![]() | IL-1β IC50 = 0.56 ± 0.23 μM | Influences the assembly of NLRP3 inflammatory vesicles by targeting NLRP3. | DSS-induced acute colitis in mice. | [56] |
| 26 | -CH3 | -CH3 | ![]() | ![]() | IL-1β IC50 = 1.23 ± 0.51 μM | Influences the assembly of NLRP3 inflammatory vesicles by targeting NLRP3 | DSS-induced acute colitis in mice | [58] |
| 27 | -CH3 | -CH3 | ![]() | ![]() | IL-1β IC50 = 2.41 μM | Influences the assembly of NLRP3 inflammatory vesicles by targeting NLRP3 | DSS-induced acute colitis in mice | [59] |
| 28 | -CH3 | -CH3 | ![]() | ![]() | IL-1β IC50 = 2.99 μM | Influences the assembly of NLRP3 inflammatory vesicles by targeting NLRP3 | DSS-induced acute colitis in mice | [57] |
| 29 | -H | -H | -H | ![]() | DPPH IC50 = 69.9 ± 1.8 μM ABTS IC50 = 13 ± 0.2 μM FRAP IC50 = 1.1 ± 0.05 μM | Inhibition of NF-κB, p65/iNOS, and MAPKs pathway activation | - | [60] |
| 30 | -H | -H | -H | ![]() | ICF-7 IC50 = 24.62 ± 4.70 μM T47D IC50 = 70.92 ± 21.28 μM | - | - | [61] |
| 31 | -CH3 | -CH3 | ![]() | -H | AChE IC50 = 40.60 μg/mL BChE IC50 = 40.18 μg/mL | - | - | [62] |
4. Modification of Linkers Between Benzene Rings
5. Resveratrol Analogs Containing Heterocycle
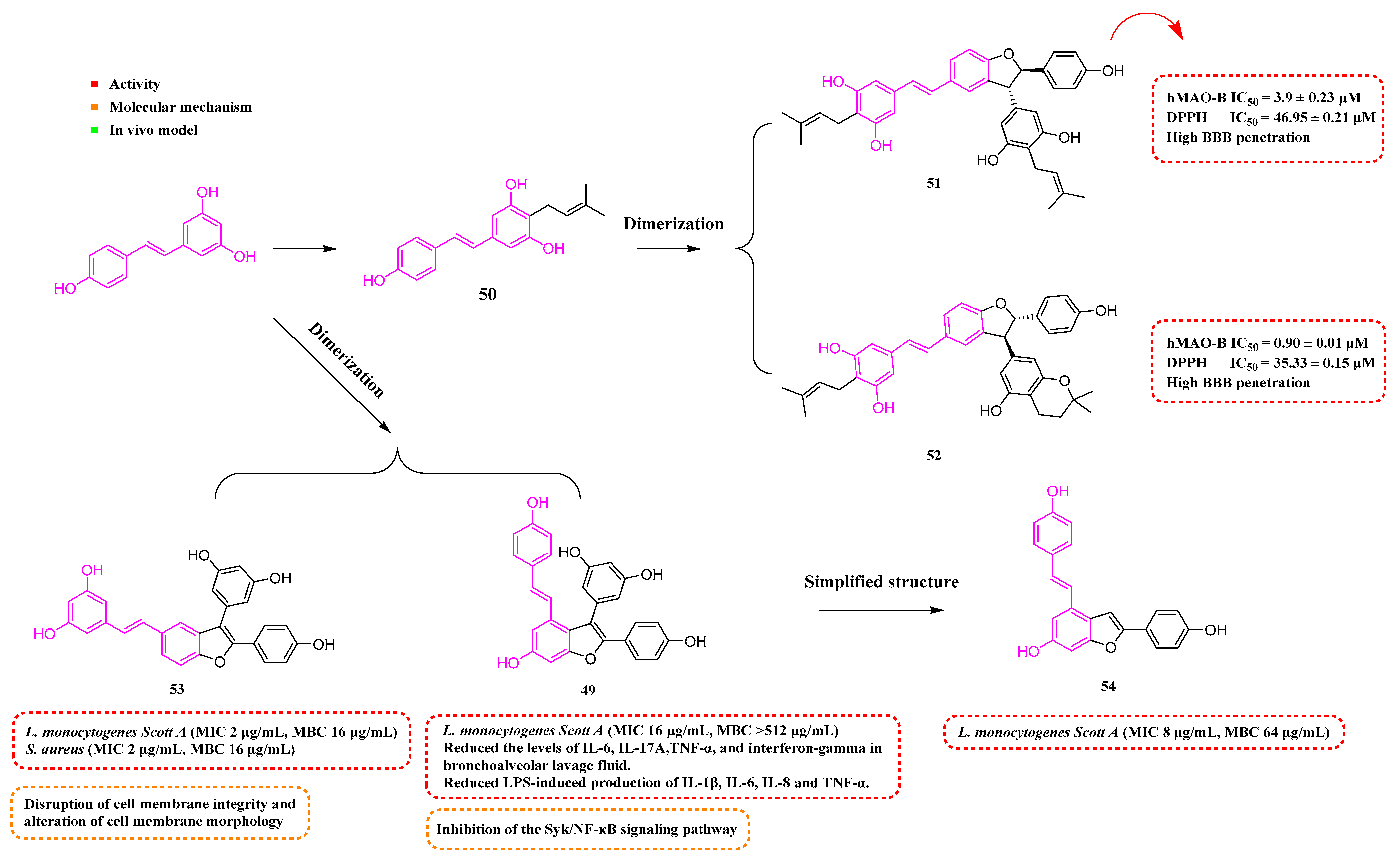
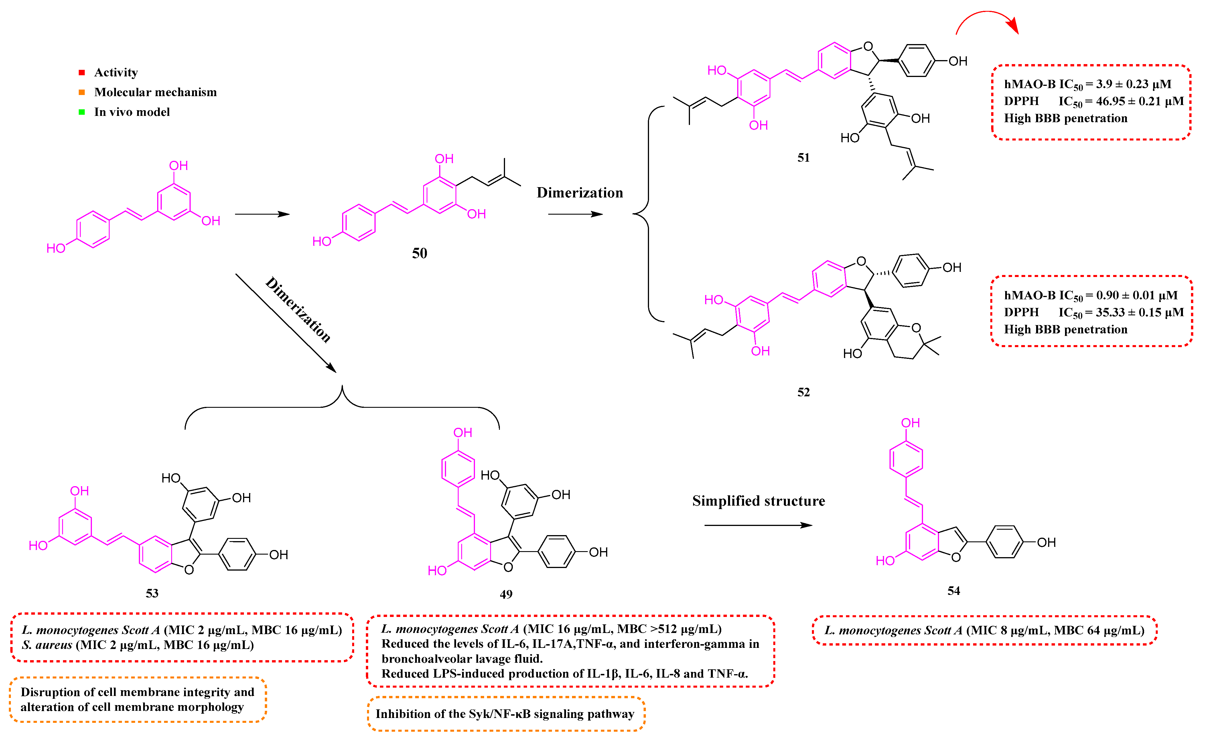
6. Dimeric Derivatives of Resveratrol
7. The Key Structural Features and Biological Activities of RSV Derivatives
8. Conclusions
Author Contributions
Funding
Data Availability Statement
Conflicts of Interest
Abbreviations
| SARs | Structure–activity relationships |
| RSV | Resveratrol |
| PTS | Pterostilbene |
| BBB | Blood–brain barrier |
| MRSA | Methicillin-resistant Staphylococcus aureus |
| MIC | Minimum inhibitory concentration |
| MBC | Minimum bactericidal concentration |
| EC50 | Exhibited median effective concentration |
| Xoo | Xanthomonas oryzae pv. oryzae |
| Xoc | Xanthomonas oryzae pv. oryzicola |
| EPSs | Extracellular polysaccharides |
| MAPK | Mitogen-activated protein kinase |
| AD | Atopic dermatitis |
| DNCB | Dinitrochlorobenzene |
| GLUT1 | Glucose transporter protein 1 |
| ROS | Reactive oxygen species |
| EAE | Experimental autoimmune encephalomyelitis |
| LPS | Lipopolysaccharide |
| HFD | High-fat diet |
| TNF-α | Tumor necrosis factor-α |
| IL-6 | Interleukin-6 |
| IL-1β | Interleukin-1β |
| NF-κB | Nuclear transcription factor-κB |
| COX-2 | Cyclooxygenase-2 |
| PA | Palmitic acid |
| CAT | Catalase |
| GPX1 | Glutathione peroxidase 1 |
| p-ERK1/2 | Phosphorylated extracellular signal-regulated kinase 1/2 |
| IR | Inhibition rate |
| NLRP3 | Nucleotide-binding oligomerization domain-like receptor protein 3 |
| IBD | Inflammatory Bowel Disease |
| HO-1 | Oxygenase-1 |
| AChE | Acetylcholinesterase |
| BChE | Butyrylcholinesterase |
| PC | Pancreatic cancer |
| VRE | Vancomycin-resistant Enterococcus faecium and E. faecalis |
| CYP1 | Cytochrome P450 1 |
| TCDD | Tetrachlorodibenzo-p-dioxin |
| LM | Listeria monocytogenes |
| HUVECs | Human umbilical vein endothelial cells |
| SI | Selectivity index |
| MCAO/R | Middle cerebral artery occlusion–reperfusion |
| OGD/R | Oxygen–glucose deprivation and reperfusion |
| IS | Ischemic stroke |
| COPD | Chronic obstructive pulmonary disease |
| hMAO-B | Human monoamine oxidase B |
| STAT3 | Transducer and activator of transcription 3 |
| CDK4 | Cyclin-dependent kinase 4 |
References
- Giacomini, E.; Rupiani, S.; Guidotti, L.; Recanatini, M.; Roberti, M. The Use of Stilbene Scaffold in Medicinal Chemistry and Multi- Target Drug Design. Curr. Med. Chem. 2016, 23, 2439–2489. [Google Scholar] [CrossRef]
- Lin, W.-S.; Leland, J.V.; Ho, C.-T.; Pan, M.-H. Occurrence, Bioavailability, Anti-Inflammatory, and Anticancer Effects of Pterostilbene. J. Agric. Food Chem. 2020, 68, 12788–12799. [Google Scholar] [CrossRef]
- Intagliata, S.; Modica, M.N.; Santagati, L.M.; Montenegro, L. Strategies to Improve Resveratrol Systemic and Topical Bioavailability: An Update. Antioxidants 2019, 8, 244. [Google Scholar] [CrossRef]
- Li, Q.-S.; Li, Y.; Deora, G.S.; Ruan, B.-F. Derivatives and Analogues of Resveratrol: Recent Advances in Structural Modification. Mini Rev. Med. Chem. 2019, 19, 809–825. [Google Scholar] [CrossRef] [PubMed]
- Tsai, H.-Y.; Ho, C.-T.; Chen, Y.-K. Biological Actions and Molecular Effects of Resveratrol, Pterostilbene, and 3′-Hydroxypterostilbene. J. Food Drug Anal. 2017, 25, 134–147. [Google Scholar] [CrossRef] [PubMed]
- Liu, P.; Tang, W.; Xiang, K.; Li, G. Pterostilbene in the Treatment of Inflammatory and Oncological Diseases. Front. Pharmacol. 2024, 14, 1323377. [Google Scholar] [CrossRef] [PubMed]
- Al-Khayri, J.M.; Mascarenhas, R.; Harish, H.M.; Gowda, Y.; Lakshmaiah, V.V.; Nagella, P.; Al-Mssallem, M.Q.; Alessa, F.M.; Almaghasla, M.I.; Rezk, A.A.-S. Stilbenes, a Versatile Class of Natural Metabolites for Inflammation—An Overview. Molecules 2023, 28, 3786. [Google Scholar] [CrossRef] [PubMed]
- Obrador, E.; Salvador-Palmer, R.; Jihad-Jebbar, A.; López-Blanch, R.; Dellinger, T.H.; Dellinger, R.W.; Estrela, J.M. Pterostilbene in Cancer Therapy. Antioxidants 2021, 10, 492. [Google Scholar] [CrossRef] [PubMed]
- Surien, O.; Masre, S.F.; Basri, D.F.; Ghazali, A.R. Potential Chemopreventive Role of Pterostilbene in Its Modulation of the Apoptosis Pathway. Int. J. Mol. Sci. 2023, 24, 9707. [Google Scholar] [CrossRef] [PubMed]
- Cui, X.; Jin, Y.; Hofseth, A.B.; Pena, E.; Habiger, J.; Chumanevich, A.; Poudyal, D.; Nagarkatti, M.; Nagarkatti, P.S.; Singh, U.P.; et al. Resveratrol Suppresses Colitis and Colon Cancer Associated with Colitis. Cancer Prev. Res. 2010, 3, 549–559. [Google Scholar] [CrossRef]
- Orsini, F.; Verotta, L.; Klimo, K.; Gerhäuser, C. Synthesis of Resveratrol Derivatives and In Vitro Screening for Potential Cancer Chemopreventive Activities. Arch. Der Pharm. 2016, 349, 414–427. [Google Scholar] [CrossRef] [PubMed]
- Meng, X.; Zhou, J.; Zhao, C.-N.; Gan, R.-Y.; Li, H.-B. Health Benefits and Molecular Mechanisms of Resveratrol: A Narrative Review. Foods 2020, 9, 340. [Google Scholar] [CrossRef] [PubMed]
- Marko, M.; Pawliczak, R. Resveratrol and Its Derivatives in Inflammatory Skin Disorders—Atopic Dermatitis and Psoriasis: A Review. Antioxidants 2023, 12, 1954. [Google Scholar] [CrossRef]
- Koh, Y.-C.; Ho, C.-T.; Pan, M.-H. Recent Advances in Health Benefits of Stilbenoids. J. Agric. Food Chem. 2021, 69, 10036–10057. [Google Scholar] [CrossRef] [PubMed]
- Tian, J.; Jin, L.; Liu, H.; Hua, Z. Stilbenes: A Promising Small Molecule Modulator for Epigenetic Regulation in Human Diseases. Front. Pharmacol. 2023, 14, 1326682. [Google Scholar] [CrossRef]
- Li, F.; Han, Y.; Wu, X.; Cao, X.; Gao, Z.; Sun, Y.; Wang, M.; Xiao, H. Gut Microbiota-Derived Resveratrol Metabolites, Dihydroresveratrol and Lunularin, Significantly Contribute to the Biological Activities of Resveratrol. Front. Nutr. 2022, 9, 912591. [Google Scholar] [CrossRef]
- Grivennikov, S.I.; Greten, F.R.; Karin, M. Immunity, Inflammation, and Cancer. Cell 2010, 140, 883–899. [Google Scholar] [CrossRef] [PubMed]
- Chillemi, R.; Cardullo, N.; Greco, V.; Malfa, G.; Tomasello, B.; Sciuto, S. Synthesis of Amphiphilic Resveratrol Lipoconjugates and Evaluation of Their Anticancer Activity towards Neuroblastoma SH-SY5Y Cell Line. Eur. J. Med. Chem. 2015, 96, 467–481. [Google Scholar] [CrossRef]
- Fragopoulou, E.; Gkotsi, K.; Petsini, F.; Gioti, K.; Kalampaliki, A.D.; Lambrinidis, G.; Kostakis, I.K.; Tenta, R. Synthesis and Biological Evaluation of Resveratrol Methoxy Derivatives. Molecules 2023, 28, 5547. [Google Scholar] [CrossRef]
- Singh, D.; Mendonsa, R.; Koli, M.; Subramanian, M.; Nayak, S.K. Antibacterial Activity of Resveratrol Structural Analogues: A Mechanistic Evaluation of the Structure-Activity Relationship. Toxicol. Appl. Pharmacol. 2019, 367, 23–32. [Google Scholar] [CrossRef] [PubMed]
- Boccellino, M.; Donniacuo, M.; Bruno, F.; Rinaldi, B.; Quagliuolo, L.; Ambruosi, M.; Pace, S.; De Rosa, M.; Olgaç, A.; Banoglu, E.; et al. Protective Effect of Piceatannol and Bioactive Stilbene Derivatives against Hypoxia-Induced Toxicity in H9c2 Cardiomyocytes and Structural Elucidation as 5-LOX Inhibitors. Eur. J. Med. Chem. 2019, 180, 637–647. [Google Scholar] [CrossRef]
- Ruan, B.-F.; Ge, W.-W.; Cheng, H.-J.; Xu, H.-J.; Li, Q.-S.; Liu, X.-H. Resveratrol-Based Cinnamic Ester Hybrids: Synthesis, Characterization, and Anti-Inflammatory Activity. J. Enzym. Inhib. Med. Chem. 2017, 32, 1282–1290. [Google Scholar] [CrossRef] [PubMed]
- Ahmadi, R.; Ebrahimzadeh, M.A. Resveratrol—A Comprehensive Review of Recent Advances in Anticancer Drug Design and Development. Eur. J. Med. Chem. 2020, 200, 112356. [Google Scholar] [CrossRef] [PubMed]
- Dvorakova, M.; Landa, P. Anti-Inflammatory Activity of Natural Stilbenoids: A Review. Pharmacol. Res. 2017, 124, 126–145. [Google Scholar] [CrossRef]
- Peñalver, P.; Belmonte-Reche, E.; Adán, N.; Caro, M.; Mateos-Martín, M.L.; Delgado, M.; González-Rey, E.; Morales, J.C. Alkylated Resveratrol Prodrugs and Metabolites as Potential Therapeutics for Neurodegenerative Diseases. Eur. J. Med. Chem. 2018, 146, 123–138. [Google Scholar] [CrossRef] [PubMed]
- Arbo, B.D.; André-Miral, C.; Nasre-Nasser, R.G.; Schimith, L.E.; Santos, M.G.; Costa-Silva, D.; Muccillo-Baisch, A.L.; Hort, M.A. Resveratrol Derivatives as Potential Treatments for Alzheimer’s and Parkinson’s Disease. Front. Aging Neurosci. 2020, 12, 103. [Google Scholar] [CrossRef]
- Jeandet, P.; Sobarzo-Sánchez, E.; Silva, A.S.; Clément, C.; Nabavi, S.F.; Battino, M.; Rasekhian, M.; Belwal, T.; Habtemariam, S.; Koffas, M.; et al. Whole-Cell Biocatalytic, Enzymatic and Green Chemistry Methods for the Production of Resveratrol and Its Derivatives. Biotechnol. Adv. 2020, 39, 107461. [Google Scholar] [CrossRef] [PubMed]
- Liu, Y.; You, Y.; Lu, J.; Chen, X.; Yang, Z. Recent Advances in Synthesis, Bioactivity, and Pharmacokinetics of Pterostilbene, an Important Analog of Resveratrol. Molecules 2020, 25, 5166. [Google Scholar] [CrossRef]
- Yang, S.-C.; Tseng, C.-H.; Wang, P.-W.; Lu, P.-L.; Weng, Y.-H.; Yen, F.-L.; Fang, J.-Y. Pterostilbene, a Methoxylated Resveratrol Derivative, Efficiently Eradicates Planktonic, Biofilm, and Intracellular MRSA by Topical Application. Front. Microbiol. 2017, 8, 1103. [Google Scholar] [CrossRef]
- Tang, K.-W.; Yang, S.-C.; Tseng, C.-H. Design, Synthesis, and Anti-Bacterial Evaluation of Triazolyl-Pterostilbene Derivatives. Int. J. Mol. Sci. 2019, 20, 4564. [Google Scholar] [CrossRef]
- Chen, Y.; Luo, X.; Wang, Y.; Xing, Z.; Chen, J. Design and Synthesis Novel Amide Derivatives Containing an 1,3,4-oxadiazole Moiety as Potential Antibacterial Agents. J. Heterocycl. Chem. 2022, 59, 1160–1168. [Google Scholar] [CrossRef]
- Peng, J.; Zhang, Y.; Liu, X.; Zou, Y.; Song, H.; Wang, S.; Cai, Q.; Chen, J.; Hu, D. Design, Synthesis, Antibacterial Activity, and Mechanism of Novel Resveratrol Derivatives Containing an 1,3,4-Oxadiazole Moiety. Pestic. Biochem. Physiol. 2023, 193, 105457. [Google Scholar] [CrossRef]
- Qi, P.-Y.; Zhang, T.-H.; Feng, Y.-M.; Wang, M.-W.; Shao, W.-B.; Zeng, D.; Jin, L.-H.; Wang, P.-Y.; Zhou, X.; Yang, S. Exploring an Innovative Strategy for Suppressing Bacterial Plant Disease: Excavated Novel Isopropanolamine-Tailored Pterostilbene Derivatives as Potential Antibiofilm Agents. J. Agric. Food Chem. 2022, 70, 4899–4911. [Google Scholar] [CrossRef] [PubMed]
- Qi, P.; Zhang, T.; Yang, Y.; Liang, H.; Feng, Y.; Wang, N.; Ding, Z.; Xiang, H.; Zhou, X.; Liu, L.; et al. Beyond the β -amino Alcohols Framework: Identification of Novel β -hydroxy Pyridinium Salt-decorated Pterostilbene Derivatives as Bacterial Virulence Factor Inhibitors. Pest Manag. Sci. 2024, 80, 4098–4109. [Google Scholar] [CrossRef] [PubMed]
- Tang, K.-W.; Hsu, C.-Y.; Aljuffali, I.A.; Alalaiwe, A.; Lai, W.-N.; Gu, P.-Y.; Tseng, C.-H.; Fang, J.-Y. Skin Delivery of Synthetic Benzoyl Pterostilbenes Suppresses Atopic Dermatitis-like Inflammation through the Inhibition of Keratinocyte and Macrophage Activation. Biomed. Pharmacother. 2024, 170, 116073. [Google Scholar] [CrossRef] [PubMed]
- Terstappen, G.C.; Meyer, A.H.; Bell, R.D.; Zhang, W. Strategies for Delivering Therapeutics across the Blood–Brain Barrier. Nat. Rev. Drug. Discov. 2021, 20, 362–383. [Google Scholar] [CrossRef] [PubMed]
- Qu, B.; Li, X.; Guan, M.; Li, X.; Hai, L.; Wu, Y. Design, Synthesis and Biological Evaluation of Multivalent Glucosides with High Affinity as Ligands for Brain Targeting Liposomes. Eur. J. Med. Chem. 2014, 72, 110–118. [Google Scholar] [CrossRef]
- Xu, Y.; Yu, P.; Liang, J.; Chen, Y.; Yang, C.; Xia, C.; Deng, J.; Hai, L.; Chen, J.; Wu, Y. Synthesis and Bioactivity Evaluation of Glycosylated Resveratrol Derivatives as Antioxidative Neuroprotection Agents against Cerebral Ischemia-Reperfusion Injury. Bioorganic Chem. 2024, 153, 107791. [Google Scholar] [CrossRef] [PubMed]
- Belmonte-Reche, E.; Peñalver, P.; Caro-Moreno, M.; Mateos-Martín, M.L.; Adán, N.; Delgado, M.; González-Rey, E.; Morales, J.C. Silyl Resveratrol Derivatives as Potential Therapeutic Agents for Neurodegenerative and Neurological Diseases. Eur. J. Med. Chem. 2021, 223, 113655. [Google Scholar] [CrossRef] [PubMed]
- Cebrián, R.; Li, Q.; Peñalver, P.; Belmonte-Reche, E.; Andrés-Bilbao, M.; Lucas, R.; De Paz, M.V.; Kuipers, O.P.; Morales, J.C. Chemically Tuning Resveratrol for the Effective Killing of Gram-Positive Pathogens. J. Nat. Prod. 2022, 85, 1459–1473. [Google Scholar] [CrossRef]
- Cebrián, R.; Lucas, R.; Fernández-Cantos, M.V.; Slot, K.; Peñalver, P.; Martínez-García, M.; Párraga-Leo, A.; De Paz, M.V.; García, F.; Kuipers, O.P.; et al. Synthesis and Antimicrobial Activity of Aminoalkyl Resveratrol Derivatives Inspired by Cationic Peptides. J. Enzym. Inhib. Med. Chem. 2023, 38, 267–281. [Google Scholar] [CrossRef]
- Szczepańska, P.; Rychlicka, M.; Groborz, S.; Kruszyńska, A.; Ledesma-Amaro, R.; Rapak, A.; Gliszczyńska, A.; Lazar, Z. Studies on the Anticancer and Antioxidant Activities of Resveratrol and Long-Chain Fatty Acid Esters. Int. J. Mol. Sci. 2023, 24, 7167. [Google Scholar] [CrossRef] [PubMed]
- Pan, J.; Xu, T.; Xu, F.; Zhang, Y.; Liu, Z.; Chen, W.; Fu, W.; Dai, Y.; Zhao, Y.; Feng, J.; et al. Development of Resveratrol-Curcumin Hybrids as Potential Therapeutic Agents for Inflammatory Lung Diseases. Eur. J. Med. Chem. 2017, 125, 478–491. [Google Scholar] [CrossRef] [PubMed]
- Wu, B.; Xiao, Z.; Zhang, W.; Chen, H.; Liu, H.; Pan, J.; Cai, X.; Liang, G.; Zhou, B.; Shan, X.; et al. A Novel Resveratrol-Curcumin Hybrid, A19, Attenuates High Fat Diet-Induced Nonalcoholic Fatty Liver Disease. Biomed. Pharmacother. 2019, 110, 951–960. [Google Scholar] [CrossRef]
- Zhang, W.; Chen, H.; Sun, C.; Wu, B.; Bai, B.; Liu, H.; Shan, X.; Liang, G.; Zhang, Y. A Novel Resveratrol Analog PA19 Attenuates Obesity-induced Cardiac and Renal Injury by Inhibiting Inflammation and Inflammatory Cell Infiltration. Mol. Med. Rep. 2019, 19, 4770–4778. [Google Scholar] [CrossRef] [PubMed]
- Ma, Y.; Zheng, X.; Zhu, P.; Liu, B.; Gao, H.; Mao, Z.; Zhang, L.; Wan, C. Novel Resveratrol-Chalcone Derivatives: Synthesis and Biological Evaluation. Mini Rev. Med. Chem. 2019, 19, 424–436. [Google Scholar] [CrossRef]
- Chen, L.Z.; Yao, L.; Jiao, M.M.; Shi, J.B.; Tan, Y.; Ruan, B.F.; Liu, X.H. Novel Resveratrol-Based Flavonol Derivatives: Synthesis and Anti-Inflammatory Activity in Vitro and in Vivo. Eur. J. Med. Chem. 2019, 175, 114–128. [Google Scholar] [CrossRef]
- Tang, K.-W.; Ke, C.-C.; Tseng, C.-H.; Chen, Y.-L.; Tzeng, C.-C.; Chen, Y.-J.; Hsu, C.-C.; Tai, H.-T.; Hsieh, Y.-J. Enhancement of Anticancer Potential of Pterostilbene Derivative by Chalcone Hybridization. Molecules 2021, 26, 4840. [Google Scholar] [CrossRef] [PubMed]
- Fang, M.; Zou, T.; Yang, X.; Zhang, Z.; Cao, P.; Han, J.; Duan, Y.; Ruan, B.-F.; Li, Q.-S. Discovery of Novel Pterostilbene Derivatives That Might Treat Sepsis by Attenuating Oxidative Stress and Inflammation through Modulation of MAPKs/NF-κB Signaling Pathways. Antioxidants 2021, 10, 1333. [Google Scholar] [CrossRef] [PubMed]
- Park, J.; Koh, D.; Lee, Y.H.; Lim, Y.; Shin, S.Y. Effect of Hybrid Compounds of Stilbene and Pentadienone on Inhibition of Tubulin Polymerization. Anti-Cancer Agents Med. Chem. 2023, 23, 1156–1163. [Google Scholar] [CrossRef]
- Yang, X.; Liu, Z.; Fang, M.; Zou, T.; Zhang, Z.; Meng, X.; Wang, T.; Meng, H.; Chen, Y.; Duan, Y.; et al. Novel Pterostilbene Derivatives Ameliorate Heart Failure by Reducing Oxidative Stress and Inflammation through Regulating Nrf2/NF-κB Signaling Pathway. Eur. J. Med. Chem. 2023, 258, 115602. [Google Scholar] [CrossRef] [PubMed]
- Wei, X.; Shen, Z.; Zhu, M.; Fang, M.; Wang, S.; Zhang, T.; Zhang, B.; Yang, X.; Lv, Z.; Duan, Y.; et al. The Pterostilbene-Dihydropyrazole Derivative Ptd-1 Ameliorates Vascular Calcification by Regulating Inflammation. Int. Immunopharmacol. 2023, 125, 111198. [Google Scholar] [CrossRef] [PubMed]
- Chen, L.; Wang, K.; Liu, X.; Wang, L.; Zou, H.; Hu, S.; Zhou, L.; Li, R.; Cao, S.; Ruan, B.; et al. Design, Synthesis, in Vitro and in Vivo Biological Evaluation of Pterostilbene Derivatives for Anti-Inflammation Therapy. J. Enzym. Inhib. Med. Chem. 2024, 39, 2315227. [Google Scholar] [CrossRef]
- Chen, L.; Wang, K.; Wang, L.; Wang, W.; Wang, L.; Wang, W.; Li, J.; Liu, X.; Wang, M.; Ruan, B. Design and Synthesis of Pterostilbene Derivatives Bearing Triazole Moiety That Might Treat DSS-Induced Colitis in Mice through Modulation of NF-κB/MAPK Signaling Pathways. Eur. J. Med. Chem. 2024, 263, 115949. [Google Scholar] [CrossRef] [PubMed]
- Peng, J.; Zhang, Y.; Yang, J.; Zhou, L.; Zhang, S.; Wu, X.; Chen, J.; Hu, D.; Gan, X. Novel Trans -Resveratrol Derivatives: Design, Synthesis, Antibacterial Activity, and Mechanisms. J. Agric. Food Chem. 2024, 72, 15561–15571. [Google Scholar] [CrossRef]
- Chen, L.Z.; Zhang, X.X.; Liu, M.M.; Wu, J.; Ma, D.; Diao, L.Z.; Li, Q.; Huang, Y.S.; Zhang, R.; Ruan, B.F.; et al. Discovery of Novel Pterostilbene-Based Derivatives as Potent and Orally Active NLRP3 Inflammasome Inhibitors with Inflammatory Activity for Colitis. J. Med. Chem. 2021, 64, 13633–13657. [Google Scholar] [CrossRef]
- Ruan, B.; Zhang, X.; Li, B.; Liu, X.; Chen, L.; Xia, C. Design, Synthesis, in Vitro and in Vivo Biological Evaluation of Pterostilbene Derivatives for the Treatment of Inflammatory Bowel Disease. Chem. Biodivers. 2024, 21, e202401081. [Google Scholar] [CrossRef]
- Zhang, X.X.; Diao, L.Z.; Chen, L.Z.; Ma, D.; Wang, Y.M.; Jiang, H.; Ruan, B.F.; Liu, X.H. Discovery of 4-((E)-3,5-Dimethoxy-2-((E)-2-Nitrovinyl)Styryl)Aniline Derivatives as Potent and Orally Active NLRP3 Inflammasome Inhibitors for Colitis. Eur. J. Med. Chem. 2022, 236, 114357. [Google Scholar] [CrossRef] [PubMed]
- Ruan, B.; Rong, M.; Ming, Z.; Wang, K.; Liu, X.; Deng, L.; Zhang, X.; Xu, K.; Shi, C.; Gao, T.; et al. Discovery of Pterostilbene Analogs as Novel NLRP3 Inflammasome Inhibitors for Potential Treatment of DSS-Induced Colitis in Mice. Bioorganic Chem. 2023, 133, 106429. [Google Scholar] [CrossRef]
- Lu, J.-X.; Wang, W.; Zhang, Q.-W.; Guo, Z.-Y.; Jin, Z.; Tang, Y.-Z. Design, Synthesis and Evaluation of Antioxidant and Anti-Inflammatory Activities of Novel Resveratrol Derivatives as Potential Multifunctional Drugs. Eur. J. Med. Chem. 2024, 266, 116148. [Google Scholar] [CrossRef] [PubMed]
- Al-lehaib, L.A.; Ali, E.M.M.; Al-Footy, K.O.; Al-Ghamdi, H.A.; Al-Zahrani, F.A.M.; Al-Amshany, Z.M.; El-Shishtawy, R.M. Resveratrol-Based Schiff Base Derivatives: Synthesis, Characterization and Cytotoxic Study. Results Chem. 2024, 7, 101516. [Google Scholar] [CrossRef]
- Subramanian, A.; Kumarasamy, V.; Sekar, M.; Subramaniyan, V.; Wong, L.S. Design, Synthesis, and Invitro Pharmacological Evaluation of Novel Resveratrol Surrogate Molecules against Alzheimer’s Disease. Chem. Biodivers. 2024, 21, e202401430. [Google Scholar] [CrossRef]
- De Filippis, B.; De Lellis, L.; Florio, R.; Ammazzalorso, A.; Amoia, P.; Fantacuzzi, M.; Giampietro, L.; Maccallini, C.; Amoroso, R.; Veschi, S.; et al. Synthesis and Cytotoxic Effects on Pancreatic Cancer Cells of Resveratrol Analogs. Med. Chem. Res. 2019, 28, 984–991. [Google Scholar] [CrossRef]
- Florio, R.; De Filippis, B.; Veschi, S.; Di Giacomo, V.; Lanuti, P.; Catitti, G.; Brocco, D.; Di Rienzo, A.; Cataldi, A.; Cacciatore, I.; et al. Resveratrol Derivative Exhibits Marked Antiproliferative Actions, Affecting Stemness in Pancreatic Cancer Cells. Int. J. Mol. Sci. 2023, 24, 1977. [Google Scholar] [CrossRef]
- Di Fermo, P.; Di Lodovico, S.; Amoroso, R.; De Filippis, B.; D’Ercole, S.; Di Campli, E.; Cellini, L.; Di Giulio, M. Searching for New Tools to Counteract the Helicobacter Pylori Resistance: The Positive Action of Resveratrol Derivatives. Antibiotics 2020, 9, 891. [Google Scholar] [CrossRef] [PubMed]
- Xin, Z.-H.; Meng, Y.-L.; Jiang, W.-J.; Li, Y.-P.; Ge, L.-P.; Zhang, C.-H.; Liu, L.-N.; Kang, Y.-F. Finding an Efficient Tetramethylated Hydroxydiethylene of Resveratrol Analogue for Potential Anticancer Agent. BMC Chem. 2020, 14, 13. [Google Scholar] [CrossRef]
- Kumarihamy, M.; Tripathi, S.; Balachandran, P.; Avula, B.; Zhao, J.; Wang, M.; Bennett, M.M.; Zhang, J.; Carr, M.A.; Lovell, K.M.; et al. Synthesis and Inhibitory Activity of Machaeridiol-Based Novel Anti-MRSA and Anti-VRE Compounds and Their Profiling for Cancer-Related Signaling Pathways. Molecules 2022, 27, 6604. [Google Scholar] [CrossRef]
- Liang, Y.; Chen, X.; Teng, Z.; Wang, X.; Yang, J.; Liu, G. Discovery of a 4-Hydroxy-3′-Trifluoromethoxy-Substituted Resveratrol Derivative as an Anti-Aging Agent. Molecules 2023, 29, 86. [Google Scholar] [CrossRef]
- Ruparelia, K.C.; Zeka, K.; Beresford, K.J.M.; Wilsher, N.E.; Potter, G.A.; Androutsopoulos, V.P.; Brucoli, F.; Arroo, R.R.J. CYP1-Activation and Anticancer Properties of Synthetic Methoxylated Resveratrol Analogues. Molecules 2024, 29, 423. [Google Scholar] [CrossRef]
- Ceramella, J.; Chimento, A.; Iacopetta, D.; De Luca, A.; Coronel Vargas, G.; Rosano, C.; Pezzi, V.; Saturnino, C.; Sinicropi, M.S. A Resveratrol Phenylacetamide Derivative Perturbs the Cytoskeleton Dynamics Interfering with the Migration Potential in Breast Cancer. Appl. Sci. 2022, 12, 6531. [Google Scholar] [CrossRef]
- Chimento, A.; Santarsiero, A.; Iacopetta, D.; Ceramella, J.; De Luca, A.; Infantino, V.; Parisi, O.I.; Avena, P.; Bonomo, M.G.; Saturnino, C.; et al. A Phenylacetamide Resveratrol Derivative Exerts Inhibitory Effects on Breast Cancer Cell Growth. Int. J. Mol. Sci. 2021, 22, 5255. [Google Scholar] [CrossRef]
- Lizard, G.; Latruffe, N.; Vervandier-Fasseur, D. Aza- and Azo-Stilbenes: Bio-Isosteric Analogs of Resveratrol. Molecules 2020, 25, 605. [Google Scholar] [CrossRef] [PubMed]
- Bellina, F.; Guazzelli, N.; Lessi, M.; Manzini, C. Imidazole Analogues of Resveratrol: Synthesis and Cancer Cell Growth Evaluation. Tetrahedron 2015, 71, 2298–2305. [Google Scholar] [CrossRef]
- Vergara, D.; De Domenico, S.; Tinelli, A.; Stanca, E.; Del Mercato, L.L.; Giudetti, A.M.; Simeone, P.; Guazzelli, N.; Lessi, M.; Manzini, C.; et al. Anticancer Effects of Novel Resveratrol Analogues on Human Ovarian Cancer Cells. Mol. BioSyst. 2017, 13, 1131–1141. [Google Scholar] [CrossRef]
- Zimmermann-Franco, D.C.; Esteves, B.; Lacerda, L.M.; Souza, I.D.O.; Santos, J.A.D.; Pinto, N.D.C.C.; Scio, E.; Da Silva, A.D.; Macedo, G.C. In Vitro and in Vivo Anti-Inflammatory Properties of Imine Resveratrol Analogues. Bioorganic Med. Chem. 2018, 26, 4898–4906. [Google Scholar] [CrossRef]
- Iacopetta, D.; Lappano, R.; Mariconda, A.; Ceramella, J.; Sinicropi, M.S.; Saturnino, C.; Talia, M.; Cirillo, F.; Martinelli, F.; Puoci, F.; et al. Newly Synthesized Imino-Derivatives Analogues of Resveratrol Exert Inhibitory Effects in Breast Tumor Cells. Int. J. Mol. Sci. 2020, 21, 7797. [Google Scholar] [CrossRef]
- Sánchez-González, R.; Leyton, P.; Aguilar, L.F.; Reyna-Jeldes, M.; Coddou, C.; Díaz, K.; Mellado, M. Resveratrol-Schiff Base Hybrid Compounds with Selective Antibacterial Activity: Synthesis, Biological Activity, and Computational Study. Microorganisms 2022, 10, 1483. [Google Scholar] [CrossRef]
- Ciccone, L.; Piragine, E.; Brogi, S.; Camodeca, C.; Fucci, R.; Calderone, V.; Nencetti, S.; Martelli, A.; Orlandini, E. Resveratrol-like Compounds as SIRT1 Activators. Int. J. Mol. Sci. 2022, 23, 15105. [Google Scholar] [CrossRef] [PubMed]
- Thongsom, S.; Racha, S.; Petsri, K.; Ei, Z.Z.; Visuttijai, K.; Moriue, S.; Yokoya, M.; Chanvorachote, P. Structural Modification of Resveratrol Analogue Exhibits Anticancer Activity against Lung Cancer Stem Cells via Suppression of Akt Signaling Pathway. BMC Complement. Med. Ther. 2023, 23, 183. [Google Scholar] [CrossRef]
- Xin, M.; Wu, H.; Du, Y.; Liu, S.; Zhao, F.; Mou, X. Synthesis and Biological Evaluation of Resveratrol Amide Derivatives as Selective COX-2 Inhibitors. Chem.-Biol. Interact. 2023, 380, 110522. [Google Scholar] [CrossRef]
- Wu, H.; Liu, L.; Song, M.; Yin, X.; Chen, M.; Lv, G.; Zhao, F.; Mou, X. Synthesis, Biological Evaluation and Docking Studies of N-Substituted Resveratrol Derivatives. Fitoterapia 2024, 174, 105872. [Google Scholar] [CrossRef] [PubMed]
- Xu, L.; Mi, Y.; Meng, Q.; Liu, Y.; Wang, Y.; Zhang, Y.; Yang, Y.; Chen, G.; Liu, Y.; Hou, Y. A Quinolinyl Resveratrol Derivative Alleviates Acute Ischemic Stroke Injury by Promoting Mitophagy for Neuroprotection via Targeting CK2α’. Int. Immunopharmacol. 2024, 137, 112524. [Google Scholar] [CrossRef]
- Xu, L.; Mi, Y.; Meng, Q.; Liu, Y.; Wang, F.; Zhang, G.; Liu, Y.; Chen, G.; Hou, Y. Anti-Inflammatory Effects of Quinolinyl Analog of Resveratrol Targeting TLR4 in MCAO/R Ischemic Stroke Rat Model. Phytomedicine 2024, 128, 155344. [Google Scholar] [CrossRef]
- Hou, Y.; Zhang, Y.; Mi, Y.; Wang, J.; Zhang, H.; Xu, J.; Yang, Y.; Liu, J.; Ding, L.; Yang, J.; et al. A Novel Quinolyl-Substituted Analogue of Resveratrol Inhibits LPS-Induced Inflammatory Responses in Microglial Cells by Blocking the NF-κB/MAPK Signaling Pathways. Mol. Nutr. Food Res. 2019, 63, 1801380. [Google Scholar] [CrossRef] [PubMed]
- Nam, K.Y.; Damodar, K.; Lee, Y.; Park, L.S.; Gim, J.G.; Park, J.P.; Jeon, S.H.; Lee, J.T. Design and Synthesis of π-Extended Resveratrol Analogues and In Vitro Antioxidant and Anti-Inflammatory Activity Evaluation. Molecules 2021, 26, 646. [Google Scholar] [CrossRef] [PubMed]
- Mlakić, M.; Talić, S.; Odak, I.; Barić, D.; Šagud, I.; Škorić, I. Cholinesterase Inhibition and Antioxidative Capacity of New Heteroaromatic Resveratrol Analogs: Synthesis and Physico—Chemical Properties. Int. J. Mol. Sci. 2024, 25, 7401. [Google Scholar] [CrossRef] [PubMed]
- Huber, R.; Marcourt, L.; Quiros-Guerrero, L.-M.; Luscher, A.; Schnee, S.; Michellod, E.; Ducret, V.; Kohler, T.; Perron, K.; Wolfender, J.-L.; et al. Chiral Separation of Stilbene Dimers Generated by Biotransformation for Absolute Configuration Determination and Antibacterial Evaluation. Front. Chem. 2022, 10, 912396. [Google Scholar] [CrossRef]
- Sundin, C.; Zetterström, C.E.; Vo, D.D.; Brkljača, R.; Urban, S.; Elofsson, M. Exploring Resveratrol Dimers as Virulence Blocking Agents—Attenuation of Type III Secretion in Yersinia Pseudotuberculosis and Pseudomonas Aeruginosa. Sci. Rep. 2020, 10, 2103. [Google Scholar] [CrossRef]
- Dávid, C.Z.; Hohmann, J.; Vasas, A. Chemistry and Pharmacology of Cyperaceae Stilbenoids: A Review. Molecules 2021, 26, 2794. [Google Scholar] [CrossRef] [PubMed]
- Fan, Y.; Zhang, Z.; Yao, C.; Bai, J.; Yang, H.; Ma, P.; Fan, Y.; Li, S.; Yuan, J.; Lin, M.; et al. Amurensin H, a Derivative From Resveratrol, Ameliorates Lipopolysaccharide/Cigarette Smoke–Induced Airway Inflammation by Blocking the Syk/NF-κB Pathway. Front. Pharmacol. 2019, 10, 1157. [Google Scholar] [CrossRef] [PubMed]
- Tang, Y.-W.; Shi, C.-J.; Yang, H.-L.; Cai, P.; Liu, Q.-H.; Yang, X.-L.; Kong, L.-Y.; Wang, X.-B. Synthesis and Evaluation of Isoprenylation-Resveratrol Dimer Derivatives against Alzheimer’s Disease. Eur. J. Med. Chem. 2019, 163, 307–319. [Google Scholar] [CrossRef] [PubMed]
- Mattio, L.M.; Dallavalle, S.; Musso, L.; Filardi, R.; Franzetti, L.; Pellegrino, L.; D’Incecco, P.; Mora, D.; Pinto, A.; Arioli, S. Antimicrobial Activity of Resveratrol-Derived Monomers and Dimers against Foodborne Pathogens. Sci. Rep. 2019, 9, 19525. [Google Scholar] [CrossRef] [PubMed]
- Catinella, G.; Mattio, L.M.; Musso, L.; Arioli, S.; Mora, D.; Beretta, G.L.; Zaffaroni, N.; Pinto, A.; Dallavalle, S. Structural Requirements of Benzofuran Derivatives Dehydro-δ- and Dehydro-ε-Viniferin for Antimicrobial Activity Against the Foodborne Pathogen Listeria Monocytogenes. Int. J. Mol. Sci. 2020, 21, 2168. [Google Scholar] [CrossRef]







Disclaimer/Publisher’s Note: The statements, opinions and data contained in all publications are solely those of the individual author(s) and contributor(s) and not of MDPI and/or the editor(s). MDPI and/or the editor(s) disclaim responsibility for any injury to people or property resulting from any ideas, methods, instructions or products referred to in the content. |
© 2025 by the authors. Licensee MDPI, Basel, Switzerland. This article is an open access article distributed under the terms and conditions of the Creative Commons Attribution (CC BY) license (https://creativecommons.org/licenses/by/4.0/).
Share and Cite
Liu, X.; Pei, J.; Li, J.; Zhu, H.; Zheng, X.; Zhang, X.; Ruan, B.; Chen, L. Recent Advances in Resveratrol Derivatives: Structural Modifications and Biological Activities. Molecules 2025, 30, 958. https://doi.org/10.3390/molecules30040958
Liu X, Pei J, Li J, Zhu H, Zheng X, Zhang X, Ruan B, Chen L. Recent Advances in Resveratrol Derivatives: Structural Modifications and Biological Activities. Molecules. 2025; 30(4):958. https://doi.org/10.3390/molecules30040958
Chicago/Turabian StyleLiu, Xiaohan, Jian Pei, Jiahui Li, Huiyu Zhu, Xiaoyu Zheng, Xingxing Zhang, Banfeng Ruan, and Liuzeng Chen. 2025. "Recent Advances in Resveratrol Derivatives: Structural Modifications and Biological Activities" Molecules 30, no. 4: 958. https://doi.org/10.3390/molecules30040958
APA StyleLiu, X., Pei, J., Li, J., Zhu, H., Zheng, X., Zhang, X., Ruan, B., & Chen, L. (2025). Recent Advances in Resveratrol Derivatives: Structural Modifications and Biological Activities. Molecules, 30(4), 958. https://doi.org/10.3390/molecules30040958










































