Abstract
The carbonylation at the benzyl C-Hal bonds (Hal = F, Cl) of a number of polyfluorinated alkylbenzenes and benzocycloalkenes using carbon monoxide in the presence of SbF5 is described. The reaction provided the corresponding α-arylcarboxylic acids or their methyl esters following aqueous or methanol treatment. The products of double carbonylation were obtained from bis(chloromethyl)tetrafluorobenzenes and benzal fluorides. For benzal chloride derivatives, the possibility of selective mono- or dicarbonylation was shown to depend on the amount of antimony pentafluoride. In the case of polyfluorinated secondary benzyl halides with a hydrogen atom at the α-carbon atom and vicinal fluorine atoms, the addition of CO was found to be accompanied by the elimination of HF, resulting in α,β-unsaturated α-arylcarboxylic acids. The double elimination of HF during the carbonylation of 1,4-dichloro-2,2,3,3,5,6,7,8-octafluorotetralin yielded dimethyl perfluoronaphthalene-1,4-dicarboxylate.
1. Introduction
Organofluorine compounds are objects of interest for basic research in organic chemistry as well as for application-oriented research in materials science, biomedicine, and agriculture [1,2,3,4,5,6,7,8,9,10]. Therefore, the development of new synthetic methods to novel fluorinated building blocks is of great importance for the future of the science. In the chemistry of non-fluorinated hydrocarbons and their derivatives, there are many well-known examples of carbonylation reactions catalyzed by acids (Brønsted or Lewis) that are applicable to alkyl halides, alcohols, and other compounds able to generate carbocations in acidic systems, and these reactions, proceeding via the CO addition to a carbocation, yield carboxylic acid derivatives [11,12,13]. In contrast to a plethora of reactions involving fluorinated cations, the acid-catalyzed carbonylation of polyfluorinated species had not been known before our recent studies [14,15,16,17,18], while a reverse reaction—decarbonylation of fluorinated acyl halides under the action of Lewis acids—is common [19,20,21,22]. The examination of the acid-catalyzed carbonylation of organofluorine compounds—accounting only for those substrates where fluorine atoms influence the reaction center—has showed that the examples are limited to mono- and difluoro-substituted diarylcarbinols [23], and to mono-(polyfluoroalkyl)-substituted adamantyl halides [24,25] (Scheme 1a).
Scheme 1.
Acid-catalyzed carbonylation reactions of organofluorine compounds (a) and similar metal-catalyzed transformations (b–d).
Both transition metal-catalyzed carbonylation at a C(sp3)–X bond (X = Hal, OR) and the hydrocarboxylation or hydroesterification of alkenes provide an alternative to acid-catalyzed carbonylation, with both of these methods resulting in carboxylic acids or their derivatives. These approaches have more examples for fluorinated compounds (Scheme 1b–d), but the scope of substrates is quite small, and there is only little evidence regarding polyfluorinated species. For instance, aliphatic carboxylic acids with a perfluoroalkyl moiety (that can be quite long) at the β-position were synthesized by a Pd-, Ru-, or Co-catalyzed carbonylation of polyfluorinated alkyl iodides (Scheme 1b) [26,27,28,29,30,31,32]; Pd-catalyzed hydrocarboxylation and hydroesterification of perfluoroalkyl-substituted ethylenes using CO [33,34,35,36,37] were also employed to obtain the acids and their derivatives (Scheme 1b). For the synthesis of α-CF2H-substituted arylacetic acid esters, a Pd-catalyzed hydroesterification of 1,1-difluoro-2-arylethylenes was used [38] (Scheme 1c). Another case in point is a Pd- or Co-catalyzed carbonylation of primary benzyl derivatives ArCH2X [39,40,41,42,43,44,45,46,47,48] and esters of allylic alcohols [49,50], but fluorinated examples featured only substrates with one fluorine atom or CF3 group at the aryl moiety or at the double bond (Scheme 1d).
Previously, we demonstrated the use of a carbonylation reaction for the introduction of functional groups to some polyfluorinated and even perfluorinated compounds (Scheme 2). We found that perfluorinated benzocyclobutenes [14,15] and their carbonyl derivatives [17] undergo carbonylation/four-membered ring-opening tandem reactions in the presence of carbon monoxide and SbF5 (Scheme 2a). In these reactions, an irreversible four-membered ring transformation promotes the conversion of polyfluorobenzocyclobutenes into the final products. The carbonylation of per- and polyfluorinated indanes and tetralins, leading to fluorocarbonyl derivatives or corresponding acids (if subjected to hydrolysis), was also demonstrated by performing the reaction in the CO–SbF5 system [16]. In this case, when the substrate has a five- or six-membered cycloalkyl ring, no skeletal rearrangements occurred and the carbonylation proceeds as an equilibrium process, with the conversion substantially depending on the substrate structure (Scheme 2b). Recently, we have developed a carbonylation procedure for a series of polyfluorinated alkylbenzenes and benzocycloalkenes with primary, secondary, or tertiary OH groups at benzylic positions using CO in the presence of superacids, the method allowed obtaining the corresponding mono- and dicarboxylic acids or lactones [18] (Scheme 2c).
Scheme 2.
Acid-mediated carbonylation of polyfluorinated benzocyclobutenes (a), indans and tetralins (b), 1-arylalkan-1-ols (c) in our previous works and SbF5-mediated carbonylation of polyfluorinated benzyl halides in this work (d).
In continuation of our study on the carbonylation of polyfluorinated compounds, we now have focused on various benzyl halides. The current work describes the carbonylation of a series of polyfluorinated benzyl halides ArFCHHalR (R = Hal, H, C6F5, AlkF) in the CO–SbF5 system. The developed method allows transformation of the above compounds into -COOH or -COOR derivatives (Scheme 2d). Synthesized by this method, polyfluorinated α-aryl-substituted carboxylic acids are now being considered to be used as building blocks for bioactive compounds, because similar acids and esters with fluorine atoms in both aliphatic and aromatic moieties have been investigated for use in medicine [51,52,53,54,55,56], as it is in the case of halogenated derivatives of benzocycloalkene-1-carboxylic acids [57,58,59,60,61]. Polyfluorinated aromatic moieties in a molecule would allow further synthetic modifications via SNAr substitution. Additionally, the perfluorinated aryl group has unique physicochemical properties that can be used in the design of materials. For instance, derivatives of pentafluorophenyl acetic acid have been utilized to create gas sensors [62], supramolecular associates for biological applications [63,64], and semiconductor and photoluminescent materials [65,66].
2. Results and Discussion
2.1. Carbonylation of Polyfluorinated Aromatic Compounds with CF2H and CCl2H Groups
We showed that the CF2H and CCl2H groups in polyfluorinated benzal fluorides 1a–c and benzal chlorides 2a,d underwent transformation upon reaction with CO in a SbF5 medium at room temperature under atmospheric pressure, which resulted in dicarbonylation products (Table 1). Thus, assisted by SbF5, compound 1a added two CO molecules to produce malonate 3′a following methanol treatment (an aqueous treatment yielded the corresponding diacid 3a, which was unstable, being prone to decarboxylation [67], and slowly decomposed in an Et2O solution to phenylacetic acid). Using compound 1a, we showed that the highest conversion (96%) to the carbonylation product was achieved with an excess of SbF5 (Table 1, entries 1–3). The addition of CO to the alicyclic moiety of indan 1b, as in the case of a number of other polyfluoroindanes [16], did not occur to a considerable extent.
Table 1.
Carbonylation of compounds 1a–c and 2a,d in the CO–SbF5 system.
The behavior of benzal chloride 2a and benzal fluoride 1a differed, and the conversion of compound 2a to product 3′a in the reaction with an excess of SbF5 reached only 35% (Table 1, entries 11, 12). The low conversion was probably due to the greater stability of the corresponding chlorine-substituted benzyl cation 4, as compared with a fluorine-substituted counterpart. The CF3 group in compound 2d decreases the stability of the benzyl cations 4 and 5 generated from it; as a result, its conversion into the dicarbonylation product under similar conditions was much higher (Table 1, entry 14).
We should note that the CF3 group in compound 2d and CF3 groups in the other trifluoromethyl-substituted benzenes used in this work were unreactive towards CO addition; this observation agrees that the reverse reaction—the decarbonylation of ArF CF2COF under the action of SbF5—is much more highly favored [22].
Reducing the amount of SbF5 resulted in the selective monocarbonylation of compounds 2a,d, yielding chloroacetic acids 6a,d, or ester 6′a (Table 1, entries 8, 9, 13). The highest content of the monocarbonylation products was achieved using 1 equiv. of SbF5 (Table 1, entries 7–10). But in contrast to this, the use of 1 equiv. of SbF5 in the case of difluoromethyl derivatives 1a,c (Table 1, entries 1, 5) afforded a mixture of dicarbonylation products, along with the starting compounds and the solvolysis products of the cations from the starting compound (ArFCH(OMe)2 and ArFCHO). Monocarbonylation products were not formed in considerable amounts.
2.2. Carbonylation of Polyfluorinated Aromatic Compounds with CH2F and CH2Cl Groups
A number of polyfluorinated primary benzyl fluorides 7 and benzyl chlorides 8 selectively reacted with CO in the SbF5 medium to give the corresponding arylacetic acids 9 following hydrolysis of the reaction mixtures (Table 2). Previously, for the carbonylation of pentafluorobenzyl alcohol (C6F5CH2OH) we used the CO–TfOH system at 50 °C, and phenylacetic acid 9a was the only product obtained with a 90% yield [18]. The carbonation of benzyl fluoride 7a, as well as benzyl chloride 8a, in the CO–SbF5 system at room temperature resulted in a similar yield of acid 9a (Table 2, entries 4, 6). The reactions proceeded smoothly with an excess of SbF5, ensuring the complete conversion of the starting compound into a benzyl cation; a decrease in the SbF5 amount (Table 2, entries 1–3, 5) facilitated side reactions leading to resinous byproduct formation.
Table 2.
Carbonylation of benzyl halides 7a,d and 8a,d–h in the CO–SbF5 system and alcohols 14 d–f in superacids.
Ortho- and meta-CF3 derivatives 8e,f were also shown to be able to be selectively carbonylated into arylacetic acids 9e,f (Table 2, entries 9, 10). Despite the use of an excess of SbF5, the formation of corresponding 2- and 3-(carboxymethyl)tetrafluorobenzoic acids 10 and 11—as a result of the conversion of the CF3 group upon hydrolysis—occurred only to a small extent and the yield of such products did not exceed 10%. In contrast to isomers 8e,f, the carbonylation of the para-CF3 derivative 8d in the CO–SbF5 system was unsuccessful, as was the case with benzyl fluoride 7d (Table 2, entries 7, 8). The reaction resulted in a complex mixture of compounds, in which acid 9d was detected only in small amounts as well as 4-(carboxymethyl)tetrafluorobenzoic acid 12. This result was apparently owing to side transformations of compounds 7d and 8d in SbF5, which occurred instead of carbonylation, since the formation of a complex mixture of products was also observed in the absence of CO. One of the identified products formed in significant quantities in the reactions of compounds 7d and 8d was 4-methyltetrafluorobenzoic acid 13, which indicates the occurrence of oxidation-reduction processes in the SbF5 medium. The replacement of the CF3 group in compound 8d with a perfluoroisopropyl group or with a pentafluorophenyl group did not significantly change the result of the reactions of the corresponding benzyl chlorides, 8g,h, with CO–SbF5. The reactions resulted in multicomponent mixtures with a low content of acids 9g,h (Table 2, entries 11, 12).
The unsatisfactory result of the carbonylation of para-CF3 derivatives 7d and 8d aroused an interest to study the possibility of carbonylation of the corresponding alcohol 14d in superacids using our previously proposed method [18]. We demonstrated that its interaction with CO in an equimolar mixture of TfOH–SbF5 at 60 °C led quite selectively to acid 9d (Table 2, entry 13). Complete conversion to the carbonylation product required rather vigorous conditions, and, as a result, 4-(carboxymethyl)tetrafluorobenzoic acid 12 was also formed as a byproduct. The formation of other byproducts in significant amounts was not observed in this reaction. The isomeric alcohols 14e,f can be selectively carbonylated in a less acidic medium, such as TfOH, without addition of SbF5, at 50 or 75 °C, respectively (Table 2, entries 14, 15).
We previously reported the carbonylation of bis(hydroxymethyl)tetra fluoro benzenes in superacids, the para- and meta-isomers selectively transformed into the corresponding dicarboxylic acids, whereas the ortho-isomer added only one molecule of CO, thereby yielding 5,6,7,8-tetrafluoroisochroman-3-one (15) [18]. The result of the carbonylation of bis(chloromethyl)tetrafluorobenzenes 16a–c in the CO–SbF5 system was different (Table 3). The carbonylation of the para-isomer 16a, as in the case of para-substituted benzyl halides 8d,g,h, resulted in a mixture of products; dicarboxylic acid ester 17′a was detected in the reaction mixture obtained after the methanol treatment, but its content did not exceed 15%, while the products of redox transformations containing the ArF-CH3 moiety were also observed. The carbonylation of the meta-isomer 16b proceeded more selectively, but resinification did occur, which reduced the yield of ester 17′b. Ortho-isomer 16c reacted with two CO molecules without resinification, the main product was diacid 17c or its methyl ester 17′c depending on subsequent treatment, and the admixture of lactone 15, a monocarbonylation product, in the reaction mixture did not exceed 10%.
Table 3.
Carbonylation of compounds 16a–c in the CO–SbF5 system.
2.3. Carbonylation of Polyfluorinated Diphenylmethanes (C6F5)2CHHal
It was shown that benzyl halides 18 and 19 can be converted to acid 20 by carbonylation in the CO–SbF5 system with subsequent aqueous treatment of the reaction mixture (Table 4).
Table 4.
Carbonylation of compounds 18 and 19 in the CO–SbF5 system.
The equilibrium of the carbonylation reaction of halogenated diphenylmethanes 18 and 19 in an excess of SbF5 was strongly shifted toward bis(pentafluorophenyl)methyl cation 21 due to the high stability of the latter. With the use of 6 equiv. of SbF5, the conversion to acid 20 did not exceed 3% (Table 4, entries 4, 7). Reducing the amount of SbF5 to 0.5–1 equiv. for fluoro derivative 18 increased its conversion to acid 20 to 45–50% (Table 4, entries 1, 2), but with a lack of SbF5 the formation of a solid salt of cation 21 occurred, which impeded the carbonylation of compound 18. The generation of cation 21 by the SbF5-assisted cleavage of the chloride anion from 19 did not result in the formation of a solid salt precipitate (because of different counterion), and probably that is why the conversion of compound 19 to acid 20 in the presence of 0.5 equiv. of SbF5 was significantly higher and reached 88% (Table 4, entry 5). The reaction mixture obtained after hydrolysis contained products (C6F5)2CF2 and (C6F5)2CO. This finding apparently implies that a chlorine-mediated oxidation process (i.e., the substitution of a hydrogen atom by fluorine) took place, and it was followed by the formation of perfluorodiphenylmethyl cation.
2.4. Carbonylation of Polyfluorinated Aromatic Compounds with CHHalAlkF Groups and the Concomitant Elimination of HF
The interaction of benzyl halides 22b,d and 23a–d with CO in a SbF5 medium (Table 5) occurred more readily as compared to diphenylmethanes 18 and 19 (Table 4). A perfluoroalkyl group at the reaction center reduces the stability of the intermediate benzyl carbocation, thus increasing its reactivity; as a result, the carbonylation of chloro-derivatives 23a–c and fluoro-derivatives 22b,d occurred with complete conversion both in an excess of SbF5 and with one equiv. of SbF5. Using 23a as a model compound, we demonstrated that further reduction in the SbF5 amount to 0.5 equiv. resulted in incomplete conversion of the starting compound (Table 5, entry 1).
Table 5.
Carbonylation of compounds 22b,d and 23a–d in the CO–SbF5 system.
Since benzyl halides 22 and 23 have a perfluoroalkyl group at the α-carbon atom, their carbonylation can be accompanied by elimination of HF, thus giving rise to α,β-unsaturated carboxylic acids and esters 25 and 25′ along with, or instead of, saturated products 24 and 24′ (Table 5). The reaction of compound 23a at room temperature selectively gave products 24a or 24′a, without appreciable contribution from the HF elimination process. Whereas after the carbonylation of compounds 22b and 23b,c in an excess of SbF5 (4–6 equiv.) at room temperature, along with acids 24b,c, small amounts of α,β-unsaturated acids 25b,c were obtained (Table 5, entries 7, 8, 11, 16); and if 1–2 equiv. of SbF5 was used, the formation of ketones 26b,c was also observed (Table 5, entries 5, 6, 10, 15). In these reactions prior to a workup, the carbonylation with the concomitant elimination of HF would result in cations 27b,c. During an aqueous workup, the formation of acids 25b,c from cations 27b,c is obvious. Ketones 26b,c were probably formed from the same cations 27b,c by the nucleophilic attack of a water molecule at the positively charged CF-position followed by the decarboxylation of the resulting ketoacid (Scheme 3). Therefore, compound 26 should be accounted for as an elimination product. In this regard, we can conclude that reducing the amount of SbF5 does not reduce the contribution of the HF elimination process that accompanies carbonylation.
Scheme 3.
Formation of compounds 25b,c and 26b,c in the reaction of cations 27b,c with water.
A fivefold increase in the reaction time for compound 23b increased the content of the elimination product 25b by less than twofold (Table 5, entries 11, 12), whereas an increase in temperature to 70 °C significantly shifted the product ratio in favor of elimination products decreasing the content of 24b,c up to their complete conversion (Table 5, entries 9, 13, 14, 17). The concomitant elimination of HF with the formation of α,β-unsaturated acids (including compounds 25b,c) was observed earlier [18] in the carbonylation of polyfluorinated secondary 1-arylalkan-1-ols in super acids, but complete conversion could not be achieved by the method [18].
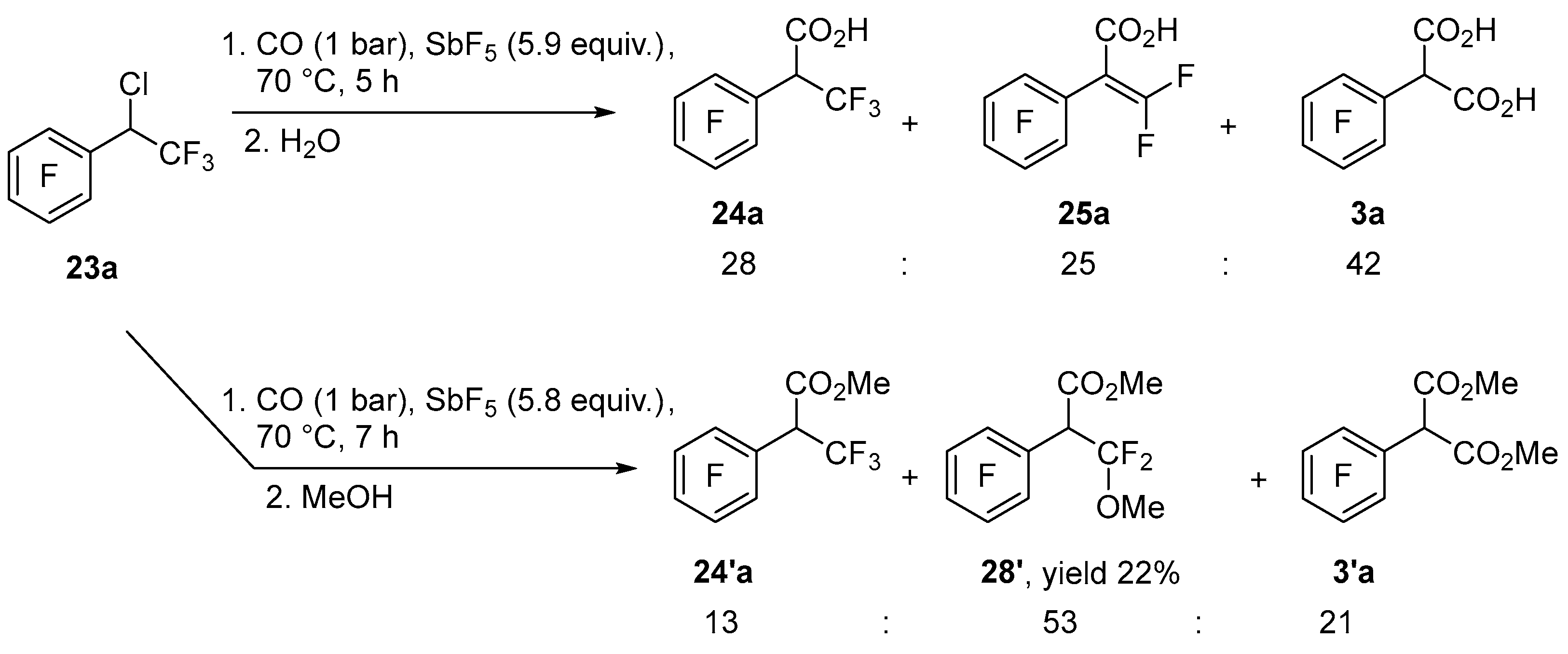
The aforementioned HF elimination reactions occurred more easily for compound 23c with a six-membered aliphatic cycle compared to its acyclic analog 23b (chloro- and fluoro-derivatives 23b and 22b showed similar reactivity, Table 5). For compound 23a with a shorter aliphatic moiety, this process was even more unlikely and was observed only at elevated temperatures. In the case of compound 23a, it was not possible to isolate unsaturated acid 25a or its ester 25′a from the reaction mixture obtained by its carbonylation in a CO–SbF5 system at 70 °C (Scheme 4) due to the significantly greater reactivity of these compounds containing two geminal fluorine atoms at the double bond toward nucleophilic addition reactions. Hydrolysis of the reaction mixture followed by extraction with Et2O yielded a mixture of three major products 3a, 24a, and 25a, with the former predominating (Scheme 4). Compound 3a apparently resulted from the addition of water to the double bond of acid 25a during aqueous treatment. However, even after drying the Et2O extract over MgSO4, the content of acid 25a in the solution rapidly decreased, probably due to its reaction with traces of water. When the reaction mixture was treated with methanol, the unsaturated ester 25′a was not detected at all. Instead, its adduct with methanol 28′ was present, which was the main reaction product, with the minor being compounds 3′a and 24′a.
Scheme 4.
Carbonylation of compound 23a in the CO–SbF5 system at 70 °C.
In contrast to tetralin 23c, the carbonylation at room temperature of indan 22d with a five-membered alicyclic ring yielded only traces of the HF elimination product 25d. In the presence of 1 equiv. SbF5, the compound 22d was smoothly converted into corresponding acid 24d (Table 5, entry 18). Moreover, the carbonylation reactions of indan 22d and tetralin 23c at 70 °C gave completely different results. The carbonylation of indan 22d in an excess of SbF5 at 70 °C, followed by treatment with methanol, gave dicarboxylic ester 29′ instead of ester 25′d (Scheme 5). In addition, the reaction mixture also contained perfluorinated indan 30 and indanone 31. To explain the formation of products 29′ and 30 in these conditions, the following sequence of transformations can be proposed. The carbonylation of compound 22d yields carbonyl fluoride 32. Subsequent elimination of HF gives the corresponding indene, which then adds a second CO molecule affording compound 33. The indenyl cation generated from compound 33 is probably able to abstract a hydride ion from the initially formed carbonyl fluoride 32, thereby giving indene 34 that yielded product 29′ after a methanol workup. The oxidation product 35 of carbonyl fluoride 32 was then converted to perfluoroindan 30 via the addition of fluoride ion and decarbonylation.
Scheme 5.
Carbonylation of compound 23a in the CO–SbF5 system at 70 °C.
Carbonylation of chloroindan 23d occurred with significantly lower selectivity (Table 5, entries 19, 20) if compared with the reaction of indan 22d or chlorotetralin 23c (Table 5, entries 15, 16, 18). Even though acid 24d was the main reaction product, it was formed alongside many byproducts, containing benzylic CFCl or CO moieties. We presume that, in this case, side reactions of the starting compound and/or of the carbonylation product took place, involving the substitution of a fluorine atom at the benzylic CF2 moiety by chlorine. The resultant products are able to generate indanyl cations with a chlorine atom at the cationic center, and these cations would be more stable than those with a fluorine atom [68]. That is why after the water treatment of the reaction mixture, significant amounts of indanones (the hydrolysis products of chloroindanyl cations) and indanes with benzylic CFCl moiety were produced.
In the case of tetralin 36 containing two benzylic CHCl moieties, mono- or diarbonylation is possible, the degree of carbonylation was shown to depend on the amount of antimony pentafluoride. The main product of the reaction with 1 equiv. SbF5 followed by a methanol treatment was monomethoxycarbonyl derivative 37′ (Scheme 6). The reaction mixture also contained naphthalenecarboxylic ester 38′, which was the product of HF elimination. Complete conversion of compound 37′ to naphthalene derivative 38′ was achieved by exposing the reaction mixture to NEt3. In the presence of 6 equiv. SbF5, compound 36 added two molecules of CO, and, at room temperature, the concomitant elimination of two HF molecules occurred completely, thereby yielding naphthalenedicarboxylic ester 39′ after treatment of the reaction mixture with methanol. The methanol workup required long time to convert the obtained carbonyl fluorides into esters 38′ and 39′, arguably because the fluorocarbonyl group at the α-carbon atom of polyfluoronaphthalenes is sterically hindered.
Scheme 6.
Carbonylation of compound 36 in the CO–SbF5 system.
2.5. Starting Compounds
Chlorides 8a,d–h, 19, and 23a were obtained by the reaction of alcohols 14a,d–h, 40, and 41a with SOCl2 at 75 °C or with PCl5 at 100 °C (Table 6). Benzyl alcohols 14d–h were derived from carboxylic acids 42d–h, which were first converted into acyl chlorides via a reaction with SOCl2 and then the acyl chlorides were reduced with LiBH4. Fluorine derivatives 7a,d, and 18 were synthesized by heating of the corresponding chlorides 8a,d, and 19 with CsF at 250–260 °C without a solvent.
Table 6.
Synthesis of starting compounds 7a,d, 8a,d–h, 18, 19, and 23a.
In contrast to alcohols 14a,d–g, the reaction of diol 43 with SOCl2 under similar conditions gave mainly cyclic sulfite 44, and the target dichloride 16c was obtained in good yield by heating diol 43 with PCl5 (Scheme 7).
Scheme 7.
Reactions of diol 43 with SOCl2 and PCl5.
In contrast to alcohol 41a, the reaction of its homolog 41b with PCl5 not only yielded the target chloride 23b but also resulted in considerable amounts of the para-chloroderivative 45 (Scheme 8). The greater steric hindrance of the reaction center probably accounts for the side product, which apparently formed via a PCl5-assisted SN1 substitution of the OH group accompanied by the attack of a chloride ion at the sterically more accessible position, yielding propylidenecyclohexadiene 46. The subsequent elimination of one of the halogenide ions from the CFCl moiety and addition of a chloride ion to the benzylic position restores the aromaticity of the arene and yields a mixture of mono- and dichloroderivatives 23b and 45. Fluorine derivative 22b was obtained from alcohol 41b by the reaction with C6F5CF3 and SbF5 (Scheme 8). In this case, perfluorotoluene simultaneously acted as a donor of a fluoride ion to replace the OH group and as an acceptor of the oxygen, degrading into perfluorobenzoic acid.
Scheme 8.
Reactions of alcohol 41b with PCl5 and the synthesis of compound 22b.
When replacing the OH group of tetralinol 41c in the reaction with PCl5 at 100 °C, the addition of chloride ion to the aromatic ring also occurred, but to a lesser extent compared to alcohol 41b, while subsequent rearomatization almost did not occur. As a result, non-aromatic triene isomer 47 was formed as minor product along with target 23c (Scheme 9). The interaction of this obtained mixture of compounds 23c and 47 with CO–SbF5 gave carbonylation products 24c and 25c along with admixture (6–8%) of their monochloro-derivatives 48 and 49 with a chlorine atom in the aromatic moiety. The content of the latter was close to the content of compound 47 in the starting compound. This indicates that under the action of antimony pentafluoride on compound 47, the fluoride ion is predominantly abstracted, rather than the chloride ion, with the formation of a chlorine-substituted cation 50, which then reacts with CO. Dichlorotetralin 36, obtained by the interaction of diol 51 with PCl5, apparently also contained an admixture of non-aromatic isomer 52, since its carbonylation gave diester 39′ with 8% of the chloro-derivative 53′ as an impurity.
Scheme 9.
Synthesis of compounds 23c,d and 36; formation of chlorine-containing admixtures in carbonylation of the obtained products.
In contrast to compounds 41b,c, the reaction of indanol 41d with PCl5 at 100 °C gave no products with a chlorine atom in the aromatic moiety; however, along with the target chloroindan 23d, a considerable amount of non-volatile by-products quite similar to the starting alcohol was obtained, which were apparently its esters with phosphoric acid, and that explains the rather modest yield of the target compound (Scheme 9).
The other starting compounds were prepared according to the procedures outlined in the literature: CF2H derivatives 1a–c [69], CCl2H derivatives 2a,d [70], dichlorides 16a [71] and 16b [72], indane 22d [73], alcohols 14a, 40 [74], 41a–d, 51 [75], and diol 43c [18].
2.6. Structural Analysis of Compounds
The structures of new compounds were established by means of high-resolution mass spectrometry (HRMS), elemental analysis, and spectral characteristics (copies of the 1H and 19F NMR spectra are available in Supplementary Materials). Signals in NMR spectra of compounds were assigned on the basis of chemical shifts of the signals, their fine structure, and integral intensities. The obtained compounds 20, 24a–d, 24′a,d, 25′b, 26c, 39′ [18], 9a [76], 10 [67], 30 [69], 31 [77] were identified by the comparison of 19F NMR findings with the data in the literature.
To confirm the structure of some products obtained in the reactions, we also synthesized compounds 11–13 in separate experiments and recorded their NMR spectra. Notably, 3- and 4-(Carboxymethyl)tetrafluorobenzoic acids 11 and 12 were obtained by the reaction of compounds 9e and 9d with CF3CO2H and SbF5. This approach for synthesis of carbonyl derivatives was developed earlier, in [78]. Methylbenzoic acid 13 was obtained by hydrolysis of a solution of 4-methylheptafluorotoluene in SbF5, according to the method in [79].
3. Materials and Methods
3.1. General Information
Analytical measurements and spectral analyses were carried out at the Multi-Access Chemical Research Center SB RAS. IR spectra were acquired on a Bruker Vector 22 IR (Bruker Corporation, Billerica, MA, USA) spectrophotometer. 19F, 1H NMR spectra were recorded on a Bruker AV 300 (Bruker Corporation, USA) instrument (282.4 MHz, and 300 MHz, respectively). Chemical shifts are given in δ ppm from CCl3F (19F) and TMS (1H). Hexafluorobenzene C6F6 (19F, δF −162.9 ppm), residual CHCl3 (1H, δH 7.24 ppm), and acetone-d5 (1H, δH 2.04 ppm) served as internal standards. Spin–spin coupling constant values are given in Hz. Gas chromatography coupled with mass spectrometry (GC-MS) was performed on a Hewlett Packard G1081A (Agilent Technologies, Santa Clara, CA, USA) instrument equipped with a gas chromatograph Hewlett Packard 5890 and a mass selective detector HP 5971 (EI 70 eV). Molecular masses of the compounds were determined by HRMS with a Thermo Electron Corporation DFS (Thermo Electron, Karlsruhe, Germany) instrument (EI 70 eV). Elemental analysis was performed on an Eurovector EA 3000 (Eurovector, S.p.A., Pavia, Italy) automatic CHNS analyzer. Melting points were determined on an Electrothermal IA 9100 (Electrothermal, Chelmsford, UK) apparatus (1 °C/min). Contents of products in reaction mixtures were determined using 19F NMR spectroscopic data. Column chromatography was carried out on silica gel 60 (Merck, Darmstadt, Germany), particle size 0.063–0.200 mm).
Antimony pentafluoride was distilled under atmospheric pressure (bp 142–143 °C). TfOH was purchased from commercial sources (99% purity). Carbon monoxide was prepared by the decomposition of formic acid in concentrated sulfuric acid, and was additionally dried by passing it through a layer of concentrated sulfuric acid. All reactions were carried out in glassware.
3.2. Typical Carbonylation Procedures
a. A mixture of a substrate and SbF5 (a substrate was added dropwise to SbF5 under stirring and cooling the flask in an ice bath) was intensively stirred in a round-bottom glass flask (5–10 mL) in a slow flow of CO under atmospheric pressure. After the time (mentioned below for each experiment), the mixture was poured into 5% hydrochloric acid (10 mL per 1 g of SbF5) and extracted three times with 3–5 mL of Et2O (if not specified otherwise). The extract was dried over MgSO4 and analyzed by 19F NMR spectroscopy.
b. A mixture of a substrate and SbF5 (a substrate was added dropwise to SbF5 under stirring and cooling of the flask in an ice bath) was intensively stirred in a round-bottom glass flask (5–10 mL) in a slow flow of CO under atmospheric pressure. The mixture was poured into methanol (10 mL per 1 g of SbF5) cooled to −10–0 °C. The resulting solution was allowed to warm up until it reached room temperature, and then it was poured into 5% hydrochloric acid (7 mL per 1 mL of methanol) and extracted three times with 10–15 mL of CH2Cl2. The extract was dried over MgSO4 and analyzed by 19F NMR spectroscopy.
The reaction scale was 0.6–2.4 mmol of a substrate. Reagent amounts, reaction conditions, and procedures for separation of mixtures and product isolation are detailed in the experiments below. In some experiments, C6F6 or (C4F9)O were added to the reaction mixture to reduce the viscosity of the mixture and aid mixing during dissolution of a starting alkyl halide in SbF5 and/or during the carbonylation process. It is not advisable to use hexafluorobenzene C6F6 for chlorine-containing substrates because it readily undergoes chlorofluorination in the SbF5 medium in the presence of nascent chloride ions.
3.3. Carbonylation Experiments
3.3.1. Carbonylation of (Difluoromethyl)pentafluorobenzene (1a)
a. Compound 1a (0.324 g, 1.49 mmol) and SbF5 (0.320 g, 1.48 mmol) (molar ratio 1:1), according to the typical procedure (Section 3.2a) (2.5 h, r.t.), gave a mixture of compounds 1a, 3a, 9a, and C6F5CHO in an 12:64:6:18 molar ratio. The content of a compound with CHF moiety (19F NMR: δ −182.2 (dm, JH,F = 45.5) in the reaction mixture did not exceed 1%.
b. Compound 1a (0.190 g, 0.87 mmol), SbF5 (0.387 g, 1.79 mmol) (molar ratio 1:2), and C6F6 (0.2 mL) according to the typical procedure (Section 3.2b) (2.5 h, r.t., 20 min in methanol), gave a mixture of compound 3′a and C6F5CH(OMe)2 in a 92:8 molar ratio.
c. Compound 1a (0.504 g, 2.31 mmol) and SbF5 (2.646 g, 12.22 mmol) (molar ratio 1:5.3), according to the typical procedure (Section 3.2b) (6 h, r.t., 20 min in methanol), gave a mixture of compound 3′a and C6F5CH(OMe)2 in a 96:4 molar ratio. Silica gel column chromatography (CHCl3 as the eluent) gave 0.622 g of ester 3′a (yield 90%)
Dimethyl 2-(perfluorophenyl)malonate (3′a). Colorless liquid. IR (film) ν, cm−1: 2960 (CH), 1751 (C=O), 1525, 1508 [FAR (fluorinated aromatic ring)]. 1H NMR (CDCl3): δ 4.94 (s, 1H, CH), 3.79 (s, 6H, CH3). 19F NMR (CDCl3): δ −141.1 (m, 2F, F-ortho), −154.1 (tt, 1F, Jpara,meta = 21, Jpara,ortho = 2, F-para), −162.5 (m, 2F, F-meta). HRMS, m/z: calcd. for C11H7O4F5 298.0259; found 298.0260.
3.3.2. Carbonylation of 5-(Difluoromethyl)nonafluoroindan (1b)
Compound 1b (0.532 g, 1.61 mmol) and SbF5 (2.076 g, 9.59 mmol) (molar ratio 1:5.9), according to the typical procedure (Section 3.2b) (3 h 15 min, r.t., 10 min in methanol), gave a mixture of compounds containing ~85% of ester 3′b. Silica gel column chromatography (with CH2Cl2 as the eluent) gave 0.503 g of ester 3′b (yield 76%).
Dimethyl 2-(perfluoroindan-5-yl)malonate (3′b). Colorless liquid. IR (film) ν, cm−1: 2962 (CH), 1757 (C=O), 1504 (FAR). 1H NMR (CDCl3): δ 5.06 (s, 1H, CH), 3.82 (s, 6H, CH3). 19F NMR (CDCl3): δ −107.7 (m, 2F, CF2-1 or 3), −108.4 (m, 2F, CF2-1 or 3), −117.0 (dtd, 1F, F-4), −121.9 (dd, 1F, F-6), −130.7 (quintet, 2F, CF2-2), −141.4 (ddt, 1F, F-7); J1,2 = J2,3 = 4, J1,7 = 7, J3,4 = 7.5, J4,6 = 5, J4,7 = 20, J5,6 = 19, J6,7 = 20.5. HRMS, m/z: calcd. for C14H7O4F9 410.0195; found 410.0197.
3.3.3. Carbonylation of 6-(Difluoromethyl)undecafluorotertalin (1c)
a. Compound 1c (0.575 g, 1.51 mmol) and SbF5 (1.978 g, 9.14 mmol) (molar ratio 1:6), according to the typical procedure (Section 3.2b) (2 h 15 min, r.t., 10 min in methanol), gave a mixture of compounds containing ~90% of ester 3′c. Silica gel column chromatography (CH2Cl2 as the eluent) gave 0.562 g of ester 3′c (yield 81%).
b. Compound 1c (0.467 g, 1.23 mmol) and SbF5 (0.267 g, 1.23 mmol) (molar ratio 1:1), according to the typical procedure (Section 3.2b) (45 min, r.t., 10 min in methanol), gave a mixture of compounds containing 55% of starting compound 1c and 30% of ester 3′c. Content of a compound with CHF moiety (19F NMR: δ −186.9 (dm, JH,F = 45.5)) did not exceed 5%.
Dimethyl 2-(perfluorotertalin-6-yl)malonate (3′c). Colorless liquid. IR (film) ν, cm−1: 2962 (CH), 1753 (C=O), 1495, 1482 (FAR). 1H NMR (CDCl3): δ 5.07 (s, 1H, CH), 3.82 (s, 6H, CH3). 19F NMR (CDCl3): δ −106.5 (m, 2F, CF2-1 or 4), −107.2 (m, 2F, CF2-1 or 4), −113.6 (tdd, 1F, F-4), −122.7 (dd, 1F, F-6), −135.4 (m, 2F, CF2-2 or 3), −135.6 (m, 2F, CF2-2 or 3), −138.5 (qd, 1F, F-7); J4,5 = 22, J5,7 = 6, J5,8 = 15, J7,8 = J1,8 = 20.5. HRMS, m/z: calcd. for C15H7O4F11 460.0163; found 460.0167.
3.3.4. Carbonylation of (Dichloromethyl)pentafluorobenzene (2a)
a. Compound 2a (0.467 g, 1.86 mmol) and SbF5 (0.202 g, 0.93 mmol) (molar ratio 1:0.5) according to the typical procedure (Section 3.2a) (3 h, r.t.), gave a mixture of compounds 1a, 2a, 6a, and C6F5CHO in a 5:44:41:10 molar ratio.
b. Compound 2a (0.524 g, 2.09 mmol), SbF5 (0.458 g, 2.12 mmol) (molar ratio 1:1), and C6F6 (0.3 mL, was added 2.5 h after the start of carbonylation) according to the typical procedure (Section 3.2a) (3 h, r.t.), gave a mixture of compounds 1a, 2a, 6a, and C6F5CHO in an 1:3:89:7 molar ratio. Evaporation of the solvent and sublimation (110 °C, 3 Torr) afforded 0.373 g (yield 69%) of acid 6a.
c. Compound 2a (0.390 g, 1.55 mmol), SbF5 (0.355 g, 1.55 mmol) (molar ratio 1:1), and C6F6 (0.3 mL, was added 2 h after the start of carbonylation) according to the typical procedure (Section 3.2b) (3 h, r.t., 15 min in methanol), gave a mixture of compounds 1a, 2a, 6′a, C6F5CHO, and C6F5CH(OMe)2 in an 1:3:86:3:7 molar ratio. Silica gel column chromatography (CCl4–CH2Cl2 [1:1, v/v] as the eluent) gave 0.199 g of ester 6′a (yield 47%), such modest yield is due to the difficulty of separating from other products.
d. Compound 2a (0.498 g, 1.98 mmol), SbF5 (0.860 g, 3.97 mmol) (molar ratio 1:2), and C6F6 (1 mL, was added 1 h after the start of carbonylation) according to the typical procedure (Section 3.2b) (3 h, r.t., 15 min in methanol), gave a mixture of compounds 1a, 6′a, C6F5CHO, and C6F5CH(OMe)2 in an 12:76:2:10 molar ratio.
e. Compound 2a (0.323 g, 1.29 mmol) and SbF5 (1.134 g, 5.24 mmol) (molar ratio 1:4) according to the typical procedure (Section 3.2b) (3 h, r.t., 15 min in methanol), gave a mixture of compounds 1a, 2a, 6′a, C6F5CHO, and C6F5CH(OMe)2 in a 9:4:35:2:50 molar ratio.
f. Compound 2a (0.305 g, 1.22 mmol) and SbF5 (1.578 g, 7.29 mmol) (molar ratio 1:6), according to the typical procedure (Section 3.2b) (4.5 h, r.t., 20 min in methanol), gave a mixture of compounds 1a, 2a, 3′a, C6F5CHO, and C6F5CH(OMe)2 in a 2:4:25:9:60 molar ratio.
2-Chloro-2-(perfluorophenyl)acetic acid (6a). White solid; mp 102–103.5 °C (CCl4). IR (KBr) ν, cm−1: 1754 (C=O), 1525, 1512 (FAR). 1H NMR (CDCl3): δ 11.37 (s, 1H, COOH), 5.78 (s, 1H, CHCl). 19F NMR (CDCl3): δ −141.4 (m, 2F, F-ortho), −151.5 (tt, 1F, Jpara,meta = 21, Jpara,ortho = 3, F-para), −161.7 (m, 2F, F-meta). HRMS, m/z: calcd. for C8H2O2Cl1F5 259.9658; found 259.9655. Anal. calcd. for C8H2O2Cl1F5: C, 36.88; H, 0.77; Cl, 13.61; F, 36.46%. Found: C, 36.77; H, 0.93; Cl, 13.31; F, 36.38%.
Methyl 2-chloro-2-(perfluorophenyl)acetate (6′a). Colorless liquid. IR (film) ν, cm−1: 2962 (CH), 1770, 1747 (C=O), 1525, 1510 (FAR). 1H NMR (CDCl3): δ 5.70 (s, 1H, CHCl), 3.82 (s, 3H, CH3). 19F NMR (CDCl3): δ −141.8 (m, 2F, F-ortho), −152.4 (tt, 1F, Jpara,meta = 21, Jpara,ortho = 2.5, F-para), −161.2 (m, 2F, F-meta). HRMS, m/z: calcd. for C9H4O2Cl1F5 273.9815; found 273.9818.
3.3.5. Carbonylation of 1-(Dichloromethyl)-2,3,5,6-tetrafluoro-4-(trifluoromethyl)benzene (2d)
a. Compound 2d (0.377 g, 1.25 mmol) and SbF5 (0.274 g, 1.27 mmol) (molar ratio 1:1), according to the typical procedure (Section 3.2a) (1 h 45 min, r.t.), gave a mixture of compounds containing ~70% of acid 6d. After evaporation of Et2O, the residue was dissolved in CH2Cl2 (10 mL) and washed with a saturated aqueous solution of NaHCO3 (30 mL). The aqueous layer was separated, acidified with HCl (pH < 1), and extracted with Et2O (3 × 5 mL). Evaporation of the solvent and sublimation (120 °C, 1 Torr) gave 0.254 g of acid 6d (yield 65%).
b. Compound 2d (0.421 g, 1.40 mmol) and SbF5 (1.758 g, 8.12 mmol) (molar ratio 1:5.8), according to the typical procedure (Section 3.2b) (3 h 15 min, r.t., 10 min in methanol), gave a mixture of compounds containing ~80% of ester 3′d. Silica gel column chromatography (CH2Cl2 as the eluent) gave 0.313 g of ester 3′d (yield 64%).
2-Chloro-2-(2,3,5,6-tetrafluoro-4-(trifluoromethyl)phenyl)acetic acid (6d). White solid; mp 68–69 °C (after sublimation). IR (KBr) ν, cm−1: 1743 (C=O), 1504 (FAR). 1H NMR (CDCl3): δ 8.60 (br.s, 1H, COOH), 5.80 (s, 1H, CHCl). 19F NMR (CDCl3): δ −57.7 (t, 3F, JCF3,F(3) = JCF3,F(5) = 22, CF3), −139.7 (m, 4F, F-2,3,5,6). HRMS, m/z: calcd. for C9H2O2Cl1F7 309.9626; found 309.9621. Anal. calcd. for C9H2O2Cl1F7: C, 34.81; H, 0.65; Cl, 11.42; F, 42.82%. Found: C, 35.08; H, 1.08; Cl, 11.14; F, 42.82%.
Dimethyl 2-(2,3,5,6-tetrafluoro-4-(trifluoromethyl)phenyl)malonate (3′d). Colorless liquid. IR (film) ν, cm−1: 2962 (CH), 1755 (C=O), 1500 (FAR). 1H NMR (CDCl3): δ 5.02 (s, 1H, CH), 3.81 (s, 6H, CH3). 19F NMR (CDCl3): δ −57.5 (t, 3F, JCF3,F(3) = JCF3,F(5) = 21.5, CF3), −139.3 (m, 2F, F-2,6), −141.0 (m, 2F, F-3,5). HRMS, m/z: calcd. for C11H7O4F5 348.0227; found 348.0222.
3.3.6. Carbonylation of (Fluoromethyl)pentafluorobenzene (7a)
a. Compound 7a (0.398 g, 1.99 mmol), SbF5 (0.218 g, 1.01 mmol) (molar ratio 1:0.5), and C6F6 (0.2 mL), according to the typical procedure (Section 3.2a) (2 h, r.t.), gave a mixture of compounds containing ~15% of acid 9a along with resignification products.
b. Compound 7a (0.300 g, 1.50 mmol), SbF5 (0.640 g, 2.96 mmol) (molar ratio 1:2), and C6F6 (0.2 mL), according to the typical procedure (Section 3.2a) (45 min, r.t.), gave a mixture of compounds containing ~10% of acid 9a.
c. Compound 7a (0.330 g, 1.65 mmol), SbF5 (1.369 g, 6.32 mmol) (molar ratio 1:3.8), and C6F6 (0.3 mL), according to the typical procedure (Section 3.2a) (45 min, r.t.), gave a mixture of compounds containing ~75% of acid 9a.
d. Compound 7a (0.504 g, 2.52 mmol), SbF5 (3.261 g, 15.06 mmol) (molar ratio 1:6), and C6F6 (0.4 mL), according to the typical procedure (Section 3.2a) (45 min, r.t.), gave a mixture of compounds containing ~90–95% of acid 9a. After evaporation of Et2O, the residue was dissolved in CH2Cl2 (10 mL) and washed with a saturated aqueous solution of NaHCO3 (30 mL). The aqueous layer was separated, acidified with HCl (pH < 1), and extracted with Et2O (3 × 5 mL). Evaporation of the solvent and sublimation (100 °C, 1 Torr) gave 0.491 g of acid 9a (yield 86%).
3.3.7. Carbonylation of (Chloromethyl)pentafluorobenzene (8a)
a. Compound 8a (0.285 g, 1.32 mmol) and SbF5 (0.148 g, 0.68 mmol) (molar ratio 1:0.5), according to the typical procedure (Section 3.2a) (2 h, r.t.), gave a mixture of compounds containing ~10% of acid 9a along with the starting compound (~10%) and resinification products.
b. Compound 8a (0.521 g, 2.41 mmol), SbF5 (3.145 g, 14.53 mmol) (molar ratio 1:6), and (C4F9)2O (0.3 mL), according to the typical procedure (Section 3.2a) (45 min, r.t.), gave a mixture of compounds containing ~90–95% of acid 9a. After evaporation of Et2O, the residue was dissolved in CH2Cl2 (10 mL) and washed with a saturated aqueous solution of NaHCO3 (30 mL). The aqueous layer was separated, acidified with HCl (pH < 1), and extracted with Et2O (3 × 5 mL). Evaporation of the solvent and sublimation (100 °C, 1 Torr) gave 0.474 g of acid 9a (yield 87%).
3.3.8. Carbonylation of 1-(Fluoromethyl)-2,3,5,6-tetrafluoro-4-(trifluoromethyl)benzene (7d)
Compound 7d (0.491 g, 1.96 mmol), SbF5 (2.594 g, 11.98 mmol) (molar ratio 1:6.1), and (C4F9)2O (0.2 mL), according to the typical procedure (Section 3.2a) (1 h, r.t.), gave a complex mixture of compounds containing acid 9d (yield 6%, judging by 19F NMR with an internal standard) and acid 13 (yield 14%, 19F NMR), along with a complex mixture of other products.
3.3.9. Carbonylation of 1-(Chloromethyl)-2,3,5,6-tetrafluoro-4-(trifluoromethyl)benzene (8d)
Compound 8d (0.508 g, 1.91 mmol), SbF5 (2.454 g, 11.33 mmol) (molar ratio 1:5.9), and (C4F9)2O (0.2 mL), according to the typical procedure (Section 3.2a) (2.5 h, r.t.), gave a complex mixture of compounds. After evaporation of Et2O, the residue was dissolved in CH2Cl2 (10 mL) and washed with a saturated aqueous solution of NaHCO3 (30 mL). The resulting organic layer contained (GS-MS) a mixture of dimeric and oligomeric products with M ≥ 448. The aqueous layer was acidified with HCl (pH < 1), and extracted with Et2O (2 × 5 mL). The extract contain acid 9d (yield 6%, 19F NMR) along with a complex mixture of other products, including acid 13 (yield 4%, 19F NMR).
3.3.10. Carbonylation of 1-(Chloromethyl)-2,4,5,6-tetrafluoro-3-(trifluoromethyl)benzene (8e)
Compound 8e (0.343 g, 1.29 mmol), SbF5 (1.686 g, 7.79 mmol) (molar ratio 1:6), and (C4F9)2O (0.2 mL), according to the typical procedure (Section 3.2a) (45 min, r.t.), gave a mixture of compounds 9e and 11 in a 90:10 molar ratio. After evaporation of Et2O, the residue was dissolved in CH2Cl2 (10 mL) and washed with a saturated aqueous solution of NaHCO3 (30 mL). The aqueous layer was separated, acidified with HCl (pH < 1), and extracted with CH2Cl2 (3 × 5 mL). Evaporation of the solvent gave 0.303 g of acid 9e (yield 85%).
(2,4,5,6-Tetrafluoro-3-(trifluoromethyl)phenyl)acetic acid (9e). White solid; mp 75–76 °C (after sublimation). IR (KBr) ν, cm−1: 1726 (C=O), 1510 (FAR). 1H NMR (CDCl3): δ 6.2 (br.s, 1H, COOH), 3.78 (s, 2H, CH2). 19F NMR (CDCl3): δ −57.3 (t, 3F, CF3), −119.1 (qdddt, 1F, F-2), −128.8 (dddm, 1F, F-6), −134.1 (qddd, 1F, F-4), −163.0 (ddd, 1F, F-5); JCF3,F(2) = JCF3,F(4) = 22.5, JF(2),CH2 = 1.5, J2,4 = 3.5, J2,5 = 11.5, J2,6 = 4, J4,5 = 21.5, J4,6 = 10.5, J5,6 = 22. HRMS, m/z: calcd. for C9H3O2F7 276.0016; found 276.0014. Anal. calcd. for C9H3O2F7: C, 39.15; H, 1.10; F, 48.17%. Found: C, 39.70; H, 1.30; F, 48.16%.
3.3.11. Carbonylation of 1-(Chloromethyl)-3,4,5,6-tetrafluoro-2-(trifluoromethyl)benzene (8f)
Compound 8f (0.461 g, 1.73 mmol), SbF5 (2.214 g, 10.22 mmol) (molar ratio 1:5.9), and (C4F9)2O (0.2 mL), according to the typical procedure (Section 3.2a) (45 min, r.t.), gave a mixture of compounds 9f, 10, and 4,5,6,7-tetrafluorophthalide in a 92:3:5 molar ratio. After evaporation of Et2O, the residue was dissolved in CH2Cl2 (10 mL) and washed with a saturated aqueous solution of NaHCO3 (30 mL). The aqueous layer was separated, acidified with HCl (pH < 1), and extracted with CH2Cl2 (3 × 5 mL). Evaporation of the solvent gave 0.420 g of acid 9f (yield 88%).
(3,4,5,6-Tetrafluoro-2-(trifluoromethyl)phenyl)acetic acid (9f). White solid; mp 73.5–75 °C (after sublimation). IR (KBr) ν, cm−1: 1726 (C=O), 1529, 1485 (FAR). 1H NMR (acetone-d6): δ 4.2 (br.s, 1H, COOH), 3.96 (s, 2H, CH2). 19F NMR (acetone-d6): δ −54.0 (d, 3F, CF3), −138.1 (ddm, 1F, F-6), −139.0 (qddd, 1F, F-3), −149.7 (ddd, 1F, F-5), −154.9 (ddd, 1F, F-4); JCF3,F(3) = 26, J3,4 = 21, J3,5 = 7.5, J3,6 = 11.5, J4,6 = 4.5, J4,5 = 21, J5,6 = 22. HRMS, m/z: calcd. for C9H3O2F7 276.0016; found 276.0017. Anal. calcd. for C9H3O2F7: C, 39.15; H, 1.10; F, 48.17%. Found: C, 39.56; H, 1.08; F, 48.26%.
3.3.12. Carbonylation of 1-(Chloromethyl)-2,3,5,6-tetrafluoro-4-(perfluoroisopropyl)benzene (8g)
Compound 8g (0.502 g, 1.37 mmol), SbF5 (1.825 g, 8.43 mmol) (molar ratio 1:6.1), and (C4F9)2O (0.2 mL), according to the typical procedure (Section 3.2a) (1.5 h, r.t.), gave a complex mixture of compounds containing ~20% of acid 9g. After evaporation of Et2O, the residue was dissolved in CH2Cl2 (10 mL) and washed with a saturated aqueous solution of NaHCO3 (30 mL). The aqueous layer was separated, acidified with HCl (pH < 1), and extracted with CH2Cl2 (3 × 5 mL). Evaporation of the solvent and sublimation (130 °C, 1 Torr) resulted in a mixture (0.110 g) containing ~90% of acid 9g, recrystallization from hexane gave 55 mg (yield 11%) of the pure substance.
(2,3,5,6-Tetrafluoro-4-(perfluoroisopropyl)phenyl)acetic acid (9g). White solid; mp 117–118 °C (hexane). IR (KBr) ν, cm−1: 1716 (C=O), 1493 (FAR). 1H NMR (CDCl3): δ 6.5 (br.s, 1H, COOH), 3.87 (s, 2H, CH2). 19F NMR (CDCl3): δ −76.4 (m, 6F, CF3), −135.6 (br.s, 1F, Ar-F), −138.6 (br.s, 1F, Ar-F), −140.4 (br.s, 1F, Ar-F), −141.4 (br.s, 1F, Ar-F), −179.7 (m, 1F, CF(CF3)2). HRMS, m/z: calcd. for C11H3O2F11 375.9952; found 375.9950.
3.3.13. Carbonylation of (Perfluoro-[1,1′-biphenyl]-4-yl)acetic acid (8h)
Compound 8h (0.498 g, 1.37 mmol), SbF5 (1.776 g, 8.20 mmol) (molar ratio 1:6), and (C4F9)2O (0.3 mL), according to the typical procedure (Section 3.2a) (2 h, r.t.), gave a complex mixture of compounds containing ~20% of starting compound 8h and ~5% acid 9h. After evaporation of Et2O, the residue was dissolved in CH2Cl2 (10 mL) and washed with a saturated aqueous solution of NaHCO3 (30 mL). The aqueous layer was separated, acidified with HCl (pH < 1), and extracted with Et2O (2 × 5 mL). Evaporation of the solvent, sublimation (180 °C, 1 Torr), and recrystallization from hexane afforded 14 mg of acid 9h (yield 3%).
(Perfluoro-[1,1′-biphenyl]-4-yl)acetic acid (9h). White solid; mp 211–214 °C (after sublimation). IR (KBr) ν, cm−1: 1709 (C=O), 1489, 1417 (FAR). 1H NMR (acetone-d6): δ 3.96 (s, 2H, CH2), 3.3 (br.s, COOH + traces of water). 19F NMR (acetone-d6): δ −138.0 (m, 2F, Ar-F), −139.5 (m, 2F, Ar-F), −141.5 (m, 2F, Ar-F), −151.0 (tt, 1F, F-4′, J4′,3′ = J4′,5′ = 20.5, J4′,2′ = J4′,6′ = 3), −161.4 (m, 2F, F-3′,5′). HRMS, m/z: calcd. for C14H3O2F9 373.9984; found 373.9985.
3.3.14. Carbonylation of (Perfluoro-4-methylphenyl)methanol (14d)
A mixture of alcohol 14d (0.145 g, 0.58 mmol), TfOH (0.263 g, 1.75 mmol), and SbF5 (0.379 g, 1.75 mmol) (molar ratio 1:3:3) was vigorously stirred in a 10 mL round-bottom glass flask (7 h, 60 °C) in a slow flow of CO, then poured into 5% hydrochloric acid (15 mL), extracted three times with 4 mL of a CH2Cl2–Et2O mixture (3:1, v/v), and the extract was dried over MgSO4. The resulting solution contained compounds 9d and 12 in an 88:12 molar ratio. After evaporation of the solvent, the residue was dissolved in CH2Cl2 (10 mL) and washed with a saturated aqueous solution of NaHCO3 (30 mL). The aqueous layer was separated, acidified with HCl (pH < 1), and extracted with CH2Cl2 (3 × 5 mL). Evaporation of the solvent and sublimation (120 °C, 3 Torr) gave 0.104 g of acid 9d (yield 65%).
(2,3,5,6-Tetrafluoro-4-(trifluoromethyl)phenyl)acetic acid (9d). White solid; mp 77–80 °C (after sublimation). IR (KBr) ν, cm−1: 1732 (C=O), 1497 (FAR). 1H NMR (CDCl3): δ 11.67 (br.s, 1H, COOH), 3.87 (s, 2H, CH2). 19F NMR (CDCl3): δ −57.4 (t, 3F, JCF3,F(3) = JCF3,F(5) = 21.5, CF3), −141.2 (m, 2F, F-2,6), −141.6 (m, 2F, F-3,5). HRMS, m/z: calcd. for C9H3O2F7 276.0016; found 276.0013.
3.3.15. Carbonylation of (Perfluoro-3-methylphenyl)methanol (14e)
Compound 14e (0.198 g, 0.80 mmol) and TfOH (0.840 g, 5.60 mmol) (molar ratio 1:7), used similarly to procedure 3.3.14 (6 h, 50 °C, extraction with CH2Cl2), gave a mixture of compounds containing ~95% of acid 9e. An analogous treatment gave 0.165 g of acid 9e (yield 75%).
3.3.16. Carbonylation of (Perfluoro-2-methylphenyl)methanol (14f)
Compound 14f (0.218 g, 0.88 mmol) and TfOH (0.923 g, 6.15 mmol) (molar ratio 1:7), similarly to procedure 3.3.14 (6 h, 75 °C), gave a mixture of compounds containing ~85% of acid 9f in the absence of acid 10 after hydrolysis of the reaction mixture. An analogous treatment gave 0.155 g of acid 9f (yield 64%).
3.3.17. Carbonylation of 1,4-Bis(chloromethyl)-2,3,5,6-tetrafluorobenzene (16a)
Compound 16a (0.174 g, 0.70 mmol), SbF5 (0.974 g, 4.50 mmol) (molar ratio 1:6.4), and (C4F9)2O (0.1 mL), according to the typical procedure (Section 3.2b) (2 h, r.t., 20 min in methanol), gave a complex mixture of compounds containing ~15% ester 17′a (yield 12%, 19F NMR).
Dimethyl (2,3,5,6-tetrafluoro-1,3-phenylene)diacetate (17′a) in the reaction mixture. 1H NMR (CDCl3): δ 3.72 (s, 6H, CH3), 3.71 (s, 4H, CH2).19F NMR (CDCl3): δ −144.3 (s, 4F, F-Ar). GC-MS, m/z: calcd. for C12H10O4F4 294; found 294.
3.3.18. Carbonylation of 1,3-Bis(chloromethyl)-2,4,5,6-tetrafluorobenzene (16b)
Compound 16b (0.272 g, 1.10 mmol), SbF5 (1.555 g, 7.18 mmol) (molar ratio 1:6.5), and (C4F9)2O (0.2 mL), according to the typical procedure (Section 3.2b) (2 h, r.t., 20 min in methanol), gave a mixture of compounds containing ~65% of ester 17′b. Silica gel column chromatography (CH2Cl2 as the eluent) gave 0.143 g of ester 17′b (yield 44%).
Dimethyl (2,4,5,6-tetrafluoro-1,3-phenylene)diacetate (17′b). Colorless liquid. IR (film) ν, cm−1: 2958 (CH), 1747 (C=O), 1496 (FAR). 1H NMR (CDCl3): δ 3.68 (s, 6H, CH3), 3.66 (s, 4H, CH2).19F NMR (CDCl3): δ −123.3 (d, 1F, F-2), −137.8 (d, 2F, F-4,6), −164.0 (td, 1F, F-5); J2,5 = 11.5, J4,5 = J5,6 = 21.5. HRMS, m/z: calcd. for C12H10O4F4 294.0510; found 294.0509.
3.3.19. Carbonylation of 1,2-Bis(chloromethyl)-3,4,5,6-tetrafluorobenzene (16c)
a. Compound 16c (0.287 g, 1.16 mmol), SbF5 (1.512 g, 6.98 mmol) (molar ratio 1:6), and (C4F9)2O (0.3 mL), according to the typical procedure (Section 3.2b) (1 h, r.t., 20 min in methanol), gave a mixture of compounds 17′c, 15, and 4,5,6,7-tetrafluorophthalide in an 86:10:4 molar ratio. Silica gel column chromatography (CH2Cl2 as the eluent) gave 0.247 g of inseparable mixture of compounds 17′c and 15 in an 89:11 molar ratio.
b. Compound 16c (0.477 g, 1.93 mmol), SbF5 (2.896 g, 13.38 mmol) (molar ratio 1:6.9), and (C4F9)2O (0.7 mL), according to the typical procedure (Section 3.2a) (2.5 h, r.t.), gave a mixture of compounds containing ~80% of acid 17c. After evaporation of Et2O, the residue was dissolved in a saturated aqueous solution of NaHCO3 (50 mL), acidified with HCl (pH < 1), and extracted with CH2Cl2 (3 × 5 mL). The aqueous layer was extracted with Et2O (3 × 5 mL). Evaporation of the Et2O extract, sublimation (170 °C, 1 Torr), and recrystallization from CCl4-acetone resulted in 0.343 g of acid 17c (yield 67%).
Dimethyl (3,4,5,6-tetrafluoro-1,2-phenylene)diacetate (17′c) in the mixture with lactone 15 (17′c:15 = 89:11). Colorless liquid. IR (film) ν, cm−1: 2958 (CH), 1745 (C=O), 1520, 1487 (FAR). 1H NMR (CDCl3): δ 3.69 (s, 4H, CH2), 3.68 (s, 6H, CH3).19F NMR (CDCl3): δ −141.8 (m, 2F, F-3,6), −157.9 (m, 2F, F-4,5). HRMS, m/z: calcd. for C12H10O4F4 294.0510; found 294.0507.
(3,4,5,6-Tetrafluoro-1,2-phenylene)diacetic acid (17c). White solid; mp 196.5–197.5 °C (CCl4-acetone). IR (KBr) ν, cm−1: 1720 (C=O), 1518, 1489 (FAR). 1H NMR (acetone-d6): δ 5.5 (br.s, 2H, COOH), 3.82 (s, 4H, CH2). 19F NMR (acetone-d6): δ −141.2 (m, 2F, F-3,6), −159.1 (m, 2F, F-4,5). HRMS, m/z: calcd. for C10H6O4F4 266.0197; found 266.0193. Anal. calcd for C10H6O4F4: C, 45.13; H, 2.27; F, 28.55%. Found: C, 45.56; H, 2.70; F, 28.45%.
3.3.20. Carbonylation of (Fluoromethylene)bis(pentafluorobenzene) (18)
a. Compound 18 (0.375 g, 1.02 mmol), SbF5 (0.112 g, 0.51 mmol) (molar ratio 1:0.5), and C6F6 (0.5 mL), according to the typical procedure (Section 3.2a) (6 h, r.t.), gave a mixture of compounds containing 45% of acid 19 along with hydrolysis products of bis(perfluophenyl)methyl cation (alcohol 40 and its ether).
b. Compound 18 (0.349 g, 0.95 mmol), SbF5 (0.205 g, 0.95 mmol) (molar ratio 1:1), and C6F6 (0.5 mL), according to the typical procedure (Section 3.2a) (4.5 h, r.t.), gave a mixture of compounds containing 50% of acid 20 along with alcohol 40 and its ether. After evaporation of Et2O, the residue was dissolved in CH2Cl2 (10 mL) and washed with a saturated aqueous solution of NaHCO3 (30 mL). The aqueous layer was separated, acidified with HCl (pH < 1), and extracted with CH2Cl2 (3 × 5 mL). Evaporation of the solvent gave 0.164 g of acid 20 (yield 44%).
c. Compound 18 (0.385 g, 1.05 mmol), SbF5 (0.800 g, 3.70 mmol) (molar ratio 1:6), and C6F6 (0.4 mL), according to the typical procedure (Section 3.2a) (4.5 h, r.t.), gave a mixture of compounds containing 5% of acid 20 along with alcohol 40 and its ether.
d. Compound 18 (0.222 g, 0.61 mmol) and SbF5 (0.800 g, 3.70 mmol) (molar ratio 1:6), according to the typical procedure (Section 3.2a) (5.5 h, r.t.), gave a mixture of compounds containing 3% of acid 20 along with alcohol 40 and its ether.
3.3.21. Carbonylation of (Chloromethylene)bis(pentafluorobenzene) (19)
a. Compound 19 (0.383 g, 1.00 mmol) and SbF5 (0.111 g, 0.51 mmol) (molar ratio 1:0.5), according to the typical procedure (Section 3.2a) (4.5 h, r.t.), gave a mixture of compounds containing 88% of acid 20 along with perfluorodiphenylmethane (5%), perfluorobenzophenone (2%), alcohol 40, its ether, and the starting compound. After the evaporation of Et2O, the residue was dissolved in CH2Cl2 (10 mL) and washed with a saturated aqueous solution of NaHCO3 (30 mL). The aqueous layer was separated, acidified with HCl (pH < 1), and extracted with CH2Cl2 (3 × 5 mL). Evaporation of the solvent gave 0.335 g of acid 20 (yield 85%).
b. Compound 19 (0.468 g, 1.22 mmol) and SbF5 (0.262 g, 1.21 mmol) (molar ratio 1:1), according to the typical procedure (Section 3.2a) (4.5 h, r.t.), gave a mixture of compounds containing 45% of acid 20 along with perfluorodiphenylmethane (2%), perfluorobenzophenone (3%), alcohol 40, its ether and the starting compound.
c. Compound 19 (0.342 g, 0.89 mmol) and SbF5 (1.167 g, 5.39 mmol) (molar ratio 1:6), according to the typical procedure (Section 3.2a) (4.5 h, r.t.), gave a mixture of alcohol 40 and its ether with admixture of the starting compound, and the content of acid 20 in the mixture did not exceed 1%.
3.3.22. Carbonylation of Compound (1-Chloro-2,2,2-trifluoroethyl)pentafluorobenzene (23a)
a. Compound 23a (0.528 g, 1.86 mmol) and SbF5 (0.200 g, 0.92 mmol) (molar ratio 1:0.5), according to the typical procedure (Section 3.2a) (1 h, r.t.), gave a mixture of compounds 23a and 24a in a 29:71 molar ratio.
b. Compound 23a (0.436 g, 1.53 mmol) and SbF5 (0.322 g, 1.53 mmol) (molar ratio 1:1), according to the typical procedure (Section 3.2a) (1 h, r.t.), after evaporation of the solvent and sublimation (120 °C, 3 Torr), afforded 0.416 g of acid 24a (yield 92%) with a 3% admixture of acid 9a.
c. Compound 23a (0.567 g, 2.00 mmol) and SbF5 (0.428 g, 1.98 mmol) (molar ratio 1:1), according to the typical procedure (Section 3.2b) (1.5 h, r.t., 15 min in methanol), after washing of the extract with a saturated aqueous solution of NaHCO3 (30 mL) and evaporation of the solvent gave 0.556 g of ester 24′a (yield 90%).
d. Compound 23a (0.358 g, 1.35 mmol) and SbF5 (1.758 g, 8.12 mmol) (molar ratio 1:6), according to the typical procedure (Section 3.2a) (0.5 h, r.t.), after evaporation of the solvent and sublimation (120 °C, 1 Torr), afforded 0.380 g of acid 24a (yield 96%) with a 2% admixture of acid 9a.
e. Compound 23a (0.347 g, 1.22 mmol) and SbF5 (1.560 g, 7.21 mmol) (molar ratio 1:5.9), according to the typical procedure (Section 3.2a) (5 h, 70 °C), gave a mixture of compounds 24a, 25a, 3a, 9a in the following molar ratios: 28:25:42:5 (2.5 h after extraction, r.t.); 28:2:38:32 (24 h after extraction, r.t.).
f. Compound 23a (0.362 g, 1.27 mmol) and SbF5 (1.603 g, 7.40 mmol) (molar ratio 1:5.8), according to the typical procedure (Section 3.2b) (7 h, 70 °C, 15 min in methanol) gave a mixture of compounds which did not contain acid 25a or its methyl ester. The main products in the mixture were compounds 28′, 3′a, 24′a, and 24a in a 53:21:13:13 molar ratio with total content ~90%. The extract was washed with a saturated aqueous solution of NaHCO3 (30 mL), and silica gel column chromatography (CCl4–CH2Cl2 [1:1, v/v] as the eluent) gave 88 mg of compound 28′ (yield 22%).
Perfluoro-2-phenylpropenoic acid (25a) was in the mixture with acids 24a, 3a, 9a. 19F NMR (CDCl3): δ −58.4 (dt, 1F, F-3A), −59.1 (dt, 1F, F-3B), −138.5 (m, 2F, F-ortho), −152.3 (tt, 1F, F-para), −162.3 (m, 2F, F-meta); J3Z,3E = 38, J3Z,ortho = 1.5, J3E,ortho = 6, Jpara,meta = 21, Jpara,ortho = 2.5.
Methyl 3,3-difluoro-3-methoxy-2-perfluorophenylpropanoate (28′). Colorless liquid. IR (film) ν, cm−1: 2964 (CH), 1770 (C=O), 1525, 1508 (FAR). 1H NMR (CDCl3): δ 4.56 (t, 1H, JH(2),F(3) = 8, H-2), 3.76 (s, 3H, CO2CH3), 3.57 (s, 3H, CF2OCH3). 19F NMR (CDCl3): δ −77.6 (dq, 1F, FA-3), −78.0 (dq, 1F, FB-3), −140.4 (m, 2F, F-ortho), −153.9 (tt, 1F, F-para), −162.7 (m, 2F, F-meta); J3A,3B = 141, J3,ortho = JH(2),F(3) = 8, Jpara,meta = 21, Jpara,ortho = 2.5. HRMS, m/z: calcd. for C11H7O3F7 320.0278; found 320.0278.
3.3.23. Carbonylation of (1,2,2,3,3,3-Hexafluoropropyl)pentafluorobenzene (22b)
a. Compound 22b (0.376 g, 1.18 mmol) and SbF5 (0.253 g, 1.17 mmol) (molar ratio 1:1), according to the typical procedure (Section 3.2a) (0.5 h, r.t.), gave a mixture of compounds 24b, 25b (E:Z = 55:45), and 26b in an 86:9:5 molar ratio. After evaporation of Et2O, the residue was dissolved in CH2Cl2 (10 mL) and washed with a saturated aqueous solution of NaHCO3 (30 mL). The resulting solution contained mainly compound 26b. The aqueous layer was separated, acidified with HCl (pH < 1), and extracted with Et2O (3 × 5 mL). Evaporation of the solvent and sublimation (120 °C, 3 Torr) resulted in a mixture (0.345 g) of acids 24b and 25b in a 90:10 molar ratio.
b. Compound 22b (0.276 g, 0.87 mmol) and SbF5 (0.388 g, 1.79 mmol) (molar ratio 1:2), according to the typical procedure (Section 3.2a) (0.5 h, r.t.), gave a mixture of compounds 24b, 25b (E:Z = 60:40), and 26b in a 90:9:1 molar ratio.
c. Compound 22b (0.210 g, 0.66 mmol) and SbF5 (0.583 g, 2.69 mmol) (molar ratio 1:4), according to the typical procedure (Section 3.2a) (0.5 h, r.t.), gave a mixture of compounds 24b and 25b (E:Z = 60:40) in a 95:5 molar ratio.
d. Compound 22b (0.378 g, 1.19 mmol) and SbF5 (1.556 g, 7.19 mmol) (molar ratio 1:6), according to the typical procedure (Section 3.2a) (0.5 h, r.t.), gave a mixture of compounds 24b and 25b (E:Z = 60:40) in a 95:5 molar ratio. Evaporation of the solvent, sublimation (90 °C, 1 Torr), and recrystallization from hexane resulted in 0.333 g of acid 24b (yield 81%).
e. Compound 22b (0.359 g, 1.13 mmol) and SbF5 (1.458 g, 6.73 mmol) (molar ratio 1:6), according to the typical procedure (Section 3.2b) (6 h, 70 °C, 10 min in methanol), gave a mixture of compounds 25′b (E:Z = 85:15) and 25b (E:Z = 60:40) in a 80:20 molar ratio with total content ~90%. Methyl ester 24′b was not detected in the mixture. Silica gel column chromatography (CCl4–CH2Cl2 [1:1, v/v] as the eluent) gave 0.263 g of compound 25′b (yield 69%).
1,1,1-Trifluoro-3-(perfluorophenyl)propan-2-one (26b) in the mixture.1H NMR (CDCl3): δ 4.10 (s, 2H, CH2). 19F NMR (CDCl3): δ −79.9 (s, 3F, CF3), −143.2 (m, 2F, F-ortho), −153.8 (t, 1F, Jpara,meta = 20.5, F-para), −162.1 (m, 2F, F-meta). GC-MS, m/z: calcd. for C9H2O1F8 278; found 278.
3.3.24. Carbonylation of (1-Chloro-2,2,3,3,3-pentafluoropropyl)pentafluorobenzene (23b) (With Admixture of P-chloroderivative 45, See Procedure 3.4.4e)
a. Compound 23b (0.360 g, 1.08 mmol) and SbF5 (0.238 g, 1.10 mmol) (molar ratio 1:1), according to the typical procedure (Section 3.2a) (1 h, r.t.), gave a mixture of compounds 24b, 25b, and 26b in an 89:5:6 molar ratio (with admixtures of the corresponding p-chloroderivatives).
b. Compound 23b (0.335 g, 1.00 mmol) and SbF5 (1.295 g, 5.98 mmol) (molar ratio 1:6), according to the typical procedure (Section 3.2a) (1 h, r.t.), gave a mixture of compounds 24b and 25b (E:Z = 60:40) in a 95:5 molar ratio (with admixtures of the corresponding p-chloroderivatives). Similar procedure with a reaction time of 5 h gave a mixture of compounds 24b and 25b (E:Z = 60:40) in a 91:9 molar ratio.
c. Compound 23b (0.358 g, 1.07 mmol) and SbF5 (1.390 g, 6.42 mmol) (molar ratio 1:6), according to the typical procedure (Section 3.2a) (1 h, 70 °C), gave a mixture of compounds 24b, 25b, and 26b in the 36:60:4 molar ratio (with admixtures of the corresponding p-chloroderivatives). Similar procedure with a reaction time of 5 h gave a mixture of compounds 24a, 25b, and 26b in a 2:92:6 molar ratio.
3.3.25. Carbonylation of 1-Chloro-2,2,3,3,4,4,5,6,7,8-decafluorotetralin (23c) (With Admixture of Isomer 47, See Procedure 3.4.4f)
a. Compound 23c (0.346 g, 1.00 mmol) and SbF5 (0.212 g, 0.98 mmol) (molar ratio 1:1), according to the typical procedure (Section 3.2a) (1 h, r.t.), gave a mixture of compounds 24c, 25c, and 26c in an 81:7:12 molar ratio (with 8% of admixtures of the corresponding 6-chloroderivatives). After evaporation of Et2O, the residue was dissolved in CH2Cl2 (10 mL) and washed with a saturated aqueous solution of NaHCO3 (30 mL). The aqueous layer was separated, acidified with HCl (pH < 1), and extracted with Et2O (3 × 5 mL). Evaporation of the solvent, sublimation (100 °C, 1 Torr), and recrystallization from hexane resulted in 0.210 g of acid 24c (yield 59%). The product contained 3% of the 6-chloroderivative 48.
b. Compound 23c (0.380 g, 1.10 mmol) and SbF5 (1.413 g, 6.53 mmol) (molar ratio 1:6), according to the typical procedure (Section 3.2a) (1 h, r.t.), gave a mixture of compounds 24c and 25c in an 87:13 molar ratio (with 8% admixtures of 6-chloroderivatives 48 and 49), the content of compound 26c in the mixture did not exceed 2%.
c. Compound 23c (0.356 g, 1.03 mmol) and SbF5 (1.343 g, 6.20 mmol) (molar ratio 1:6), according to the typical procedure (Section 3.2a) (1 h, 70 °C), gave a mixture of compounds 25c and 26c in a 94:6 molar ratio (with 6% admixtures of the corresponding 6-chloroderivatives). After evaporation of Et2O, the residue was dissolved in CH2Cl2 (10 mL) and washed with a saturated aqueous solution of NaHCO3 (30 mL). The aqueous layer was separated, acidified with HCl (pH < 1), and extracted with CH2Cl2 (3 × 5 mL). Evaporation of the solvent, sublimation (110 °C, 1 Torr), and recrystallization from hexane resulted in 0.234 g of acid 25c (yield 68%), the product contained 3% of 6-chloroderivative 49.
Perfluoro-3,4-dihydronaphthalene-1-carboxylic acid (25c). White solid; mp 102.5–104.5 °C (hexane). IR (KBr) ν, cm−1: 1732 (C=O), 1520, 1497 (FAR). 1H NMR (CDCl3): δ 10.08 (s, 1H, CO2H). 19F NMR (CDCl3): δ −120.0 (tm, 1F, F-3), −120.5 (dm, 2F, F-4), −130.9 (m, 2F, F-3), −133.9 (dddd, 1F, F-8), −136.5 (tdddd, 1F, F-5), −147.0 (tdq, 1F, F-7), −149.2 (dddd, 1F, F-6); J2,3 = 18, J2,5 = 2, J2,6 = 7, J2,7 = 2, J2,8 = 6, J5,6 = 20.5, J5,7 = 9, J5,8 = 11.5, J6,7 = 20, J6,8 = 6, J7,8 = 20. HRMS, m/z: calcd. for C11H1O2F9 335.9829; found 335.9827. Anal. calcd. for C11H1O2F9: C, 39.31; H, 0.30; F, 50.87%. Found: C, 38.83; H, 0.50; F, 50.80%.
3.3.26. Carbonylation of 1,2,2,3,3,4,5,6,7-Nonafluoroindan (22d)
a. Compound 22d (0.422 g, 1.51 mmol) and SbF5 (0.314 g, 1.45 mmol) (molar ratio 1:1), according to the typical procedure (Section 3.2a) (0.5 h, r.t.), gave a mixture of compounds containing ~95% of acid 24d. The content of acid 25d in the mixture did not exceed 2%. Evaporation of the solvent, sublimation (105 °C, 1 Torr), and recrystallization from CCl4-hexane resulted in 0.411 g of acid 24d (yield 79%).
b. Compound 22d (0.676 g, 2.41 mmol) and SbF5 (3.083 g, 14.24 mmol) (molar ratio 1:5.9), according to the typical procedure (Section 3.2b) (7 h, 70 °C, 20 min in methanol), gave a mixture of compounds 24′d, 29′, 30, and 31 in a 6:51:35:8. Silica gel column chromatography (CH2Cl2 as the eluent) gave 0.138 g of compounds 29′ (yield 18%).
Dimethyl 2,4,5,6,7-pentafluoro-1H-indene-1,3-dicarboxylate (29′). Colorless liquid. IR (film) ν, cm−1: 2960 (CH), 1741 (C=O), 1512, 1493 (FAR). 1H NMR (CDCl3): δ 4.69 (s, 1H, H-1), 3.90 (s, 3H, CO2CH3-3), 3.79 (s, 3H, CO2CH3-1). 19F NMR (CDCl3): δ −101.7 (dd, 1F, F-2), −139.9 (dddd, 1F, F-4), −142.0 (ddm, 1F, F-7), −154.5 (ddd, 1F, F-5), −157.9 (dddd, 1F, F-6); J2,4 = 5, J2,6 = 14, J4,5 = 20, J4,6 = 2.5, J4,7 = 15, J5,6 = 19, J5,7 = 3.5, J6,7 = 21. HRMS, m/z: calcd. for C13H7O4F5 322.0259; found 322.0256.
3.3.27. Carbonylation of 1-Chloro-2,2,3,3,4,5,6,7-octafluoroindan (23d)
a. Compound 23d (0.422 g, 1.42 mmol) and SbF5 (0.310 g, 1.43 mmol) (molar ratio 1:1), according to the typical procedure (Section 3.2a) (1 h, r.t.), gave a mixture of compounds containing 50% of acid 24d and 9% of starting compound 23d along with their derivatives with moieties C=O, CFCl, CCl2 instead of CF2 in the benzylic position.
b. Compound 23d (0.358 g, 1.30 mmol) and SbF5 (1.693 g, 7.82 mmol) (molar ratio 1:6), according to the typical procedure (Section 3.2a) (0.5 h, r.t.), gave a mixture of compounds containing 50% of acid 24d along with 3-X-2,2,4,5,6,7-hexafluoroindan-1-ones (X = COOH, Cl, F), the content of acid 25d in the mixture did not exceed 2%.
3.3.28. Carbonylation of 1,4-Dichloro-2,2,3,3,5,6,7,8-octafluorotetralin (36) (With Admixtures of Isomeric Compounds, See Procedure 3.4.4h)
a. Compound 36 (0.395 g, 1.14 mmol) and SbF5 (0.242 g, 1.12 mmol) (molar ratio 1:1), according to the typical procedure (Section 3.2b) (0.5 h, r.t., 26 h in methanol), gave a mixture of compounds 36, 37′, 38′, 39′, and dimethyl 1,2,2,3,3,5,6,7,8-nonafluorotetralin-1,4-dicarboxylate in a 7:66:10:1:16 molar ratio (with admixtures of the corresponding chloroderivatives). After evaporation of a solvent, the residue was dissolved in a solution of NEt3 (0.770 g) in dry CH2Cl2 (8 mL). The solution was kept at r.t. for 1 h, washed with 5% hydrochloric acid (20 mL), and dried over MgSO4. The mixture of compounds in the solution contained 38′, 39′, and 1,4-dichlorohexafluoronaphthalene in a 76:17:7 molar ratio. Silica gel column chromatography (CCl4–CH2Cl2 [1:1, v/v] as the eluent) gave 0.268 g of compound 38′ (yield 71%). The product contained 9% of the 6- and 7-chloroderivatives.
b. Compound 36 (0.316 g, 0.92 mmol) and SbF5 (1.200 g, 5.54 mmol) (molar ratio 1:6), according to the typical procedure (Section 3.2b) (3 h, r.t., 28 h in methanol), gave a mixture of compounds containing (GC-MS) 73% of ester 39′, 9% of its 6-chloroderivative 53′, and 3% of ester 38′. Silica gel column chromatography (CCl4–CH2Cl2 [1:1, v/v] as the eluent) gave 0.220 g of compound 39′ (yield 68%), the product contained 8% of the 6-chloroderivative 53′.
Methyl 4-chloro-2,2,3,3,5,6,7,8-octafluorotetralin-1-carboxylate (37′) (isomers A:B = 83:17) in the mixture with other products. Isomer A. 19F NMR (CDCl3): −112.8 (dm, 1F, JA,B = 264, CF2-FA), −116.6 (dm, 1F, JA,B = 263, CF2-FA), −116.8 (dm, 1F, JA,B = 264, CF2-FB), −128.2 (dm, 1F, JA,B = 263, CF2-FB), −136.5 (dddd, 1F, F-8), −138.8 (ddd, 1F, F-5), −151.9 (ddd, 1F, F-7), −153.3 (dddd, 1F, F-6); J5,6 = 20.5, J5,7 = 5.5, J5,8 = 11.5, J6,7 = 20.5, J6,8 = 5, JF(6),H = 2, J7,8 = 20.5, JF(8),H = 1.5.
Isomer B. 19F NMR (CDCl3): −115.5 (dm, 1F, JA,B = 265, CF2-FA), −115.9 ÷ −117.4 (2F, CF2-FA,FB), −127.3 (dm, 1F, JA,B = 265, CF2-FB), −137.2 (ddd, 1F, F-5), −138.7 (dddd, 1F, F-8), −152.1 (ddd, 1F, F-7), −153.2 (ddd, 1F, F-6); J5,6 = 20.5, J5,7 = 6, J5,8 = 11.5, J6,7 = 20.5, J6,8 = 5, J7,8 = 20.5, JF(8),H = 1.5.
Methyl perfluoro-4-chloro-1-naphthoate (38′). White solid; mp 61–62.5 °C (hexane). IR (KBr) ν, cm−1: 2962 (CH), 1749 (C=O), 1527, 1508, 1465, 1450 (FAR). 1H NMR (CDCl3): δ 4.02 (s, 3H, CH3). 19F NMR (CDCl3): δ −129.7 (m, 1F, F-3), −133.4 (m, 1F, F-2), −142.3 (m, 2F, F-5,8), −154.4 (m, 2F, F-6,7). HRMS, m/z: calcd. for C12H3O2Cl1F6 327.9720; found 327.9718.
Dimethyl perfluoro-6-chloronaphthalene-1,4-dicarboxylate (53′) in a mixture with compound 39′ (39′:53′ = 92:8). 1H NMR (CDCl3): δ 4.01 (s, 6H, CH3). 19F NMR (CDCl3): δ −118.7 (ddd, 1F, F-5), −133.4 (dddd, 1F, F-2), −134.9 (dddd, 1F, F-3), −136.5 (ddd, 1F, F-7), −144.0 (dddd, 1F, F-8); J2,3 = 21.5, J2,5 = 4, J2,7 = 2, J2,8 = 6, J3,5 = 5.5, J3,7 = 8.5, J3,8 = 4, J5,8 = 15.5, J7,8 = 18. HRMS, m/z: calcd. for C14H6O2Cl1F5 367.9869; found 367.9865.
3.4. Synthesis of the Starting Compounds
3.4.1. Synthesis of Alcohols 14d–h
a. A mixture of acid 42d (1.460 g, 5.57 mmol), SOCl2 (1.326 g, 11.14 mmol), and 4 drops of DMF was heated (5.5 h, 70–75 °C), the excess of SOCl2 was distilled off, the residue was dissolved in Et2O (6 mL) and added dropwise to a mixture of LiBH4 (0.268 g, 12.29 mmol) and Et2O (6 mL) cooled on ice. The obtained mixture was stirred at r.t. for 15 min, poured into 5% hydrochloric acid (10 mL), the organic layer combined with Et2O extract (10 mL) was washed with a 10% aqueous solution of K2CO3 (30 mL) and dried over MgSO4. Evaporation of the solvent and distillation in vacuum (120 °C, 6 Torr) gave 1.016 g of alcohol 14d (yield 74%).
b. An analogous procedure for acid 42e (2.00 g, 7.63 mmol), SOCl2 (1.817 g, 15.27 mmol), and LiBH4 (0.366 g, 16.79 mmol) afforded 1.600 g of alcohol 14e (yield 85%).
c. An analogous procedure for acid 42f (1.414 g, 5.39 mmol), SOCl2 (1.284 g, 8.59 mmol), and LiBH4 (0.259 g, 11.88 mmol) afforded 0.975 g of alcohol 14f (yield 73%).
d. An analogous procedure for acid 42g (3.440 g, 9.50 mmol), SOCl2 (3.28 g, 27.56 mmol), and LiBH4 (0.470 g, 21.56 mmol) afforded 2.963 g of alcohol 14g (yield 90%).
e. An analogous procedure for acid 42h (3.450 g, 9.50 mmol), SOCl2 (4.92 g, 41.34 mmol), and LiBH4 (0.490 g, 22.48 mmol) with subsequent sublimation (110 °C, 1 Torr) of the product afforded 2.970 g of alcohol 14h (yield 90%).
(Perfluoro-4-methylphenyl)methanol (14d). White solid; mp 41.5–42.5 °C (after distillation). IR (KBr) ν, cm−1: 3330 (OH), 1497 (FAR). 1H NMR (CDCl3): δ 4.85 (s, 2H, CH2), 2.04 (s, 1H, OH). 19F NMR (CDCl3): δ −57.6 (t, 3F, CF3 JCF3,F(3) = JCF3,F(5) = 22), −141.4 (m, 2F, F-3,5), −143.6 (m, 2F, F-2,6). HRMS, m/z: calcd. for C8H3O1F7 248.0067; found 248.0064.
(Perfluoro-3-methylphenyl)methanol (14e). Colorless liquid. IR (film) ν, cm−1: 3338 (OH), 1506 (FAR). 1H NMR (CDCl3): δ 4.75 (s, 2H, CH2), 2.59 (s, 1H, OH). 19F NMR (CDCl3): δ −57.3 (t, 3F, CF3), −121.2 (qdddt, 1F, F-2), −130.9 (dddm, 1F, F-6), −133.5 (qddd, 1F, F-4), −163.0 (ddd, 1F, F-5); JCF3,F(2) = JCF3,F(4) = 22.5, J2,4 = 3, J2,5 = 11.5, J2,6 = 5, J4,5 = 21, J4,6 = 10.5, J5,6 = 21.5, JCH2,F(2) = 2. HRMS, m/z: calcd. For [M-H]+ C8H2O1F7 246.9986; found 246.9985.
(Perfluoro-2-methylphenyl)methanol (14f). Colorless liquid. IR (film) ν, cm−1: 3360 (OH), 1527, 1483 (FAR). 1H NMR (CDCl3): δ 4.80 (s, 2H, CH2), 2.49 (s, 1H, OH). 19F NMR (CDCl3): δ −55.2 (d, 3F, CF3), −138.3 (qddd, 1F, F-3), −140.9 (dddt, 1F, F-6), −149.0 (ddd, 1F, F-5), −153.4 (ddd, 1F, F-5); JCF3,F(3) = 28.5, J3,4 = 20.5, J3,5 = 8, J3,6 = 12, J4,5 = 20, J4,6 = 5, J5,6 = 21.5, JCH2,F(6) = 2. HRMS, m/z: calcd. for C8H3O1F7 248.0067; found 248.0066.
(2,3,5,6-Tetrafluoro-4-(perfluoroisopropyl)phenyl)methanol (14g). Colorless liquid. IR (film) ν, cm−1: 3356 (OH), 1489 (FAR). 1H NMR (CDCl3): δ 4.86 (d, 2H, CH2, JCH2,OH = 6), 2.18 (t, 1H, OH, JCH2,OH = 6). 19F NMR (CDCl3): δ −76.4 (m, 6F, CF3), −135.3 (br.s, 1F, Ar-F), −138.3 (br.s, 1F, Ar-F), −142.6 (br.s, 1F, Ar-F), −143.7 (br.s, 1F, Ar-F), −179.8 (m, 1F, CF(CF3)2). HRMS, m/z: calcd. for C10H3OF11 348.0003; found 347.9999.
(Perfluoro-[1,1′-biphenyl]-4-yl)methanol (14h). White solid; mp 73–74 °C (after sublimation). IR (KBr) ν, cm−1: 3292 (OH), 1535, 1508, 1479 (FAR). 1H NMR (CDCl3): δ 4.89 (s, 2H, CH2), 2.15 (s, 1H, OH). 19F NMR (CDCl3): δ −138.5 (m, 2F, Ar-F), −139.4 (m, 2F, Ar-F), −144.7 (m, 2F, Ar-F), −151.3 (tt, 1F, F-4′, J4′,3′ = J4′,5′ = 21, J4′,2′ = J4′,6′ = 3), −161.7 (m, 2F, F-3′,5′). HRMS, m/z: calcd. for C13H3OF9 346.0035; found 346.0032.
3.4.2. Synthesis of Chloroderivatives 8a,d–g
a. A mixture of alcohol 14a (2.950 g, 14.90 mmol) and SOCl2 (3.608 g, 30.32 mmol) was heated (2 h, 75 °C), the excess of SOCl2 was distilled off, distillation in vacuum (110 °C, 55 Torr) gave 2.940 g of compound 8a (yield 91%).
b. A mixture of alcohol 14d (1.761 g, 5.26 mmol) and SOCl2 (1.640 g, 15.16 mmol) was heated (1.5 h, 75 °C), the excess of SOCl2 was distilled off, and distillation in vacuum (110 °C, 20 Torr) gave 1.633 g of compound 8d (yield 86%).
c. A mixture of alcohol 14e (1.12 g, 4.52 mmol) and SOCl2 (1.148 g, 9.64 mmol) was heated (1.5 h, 75 °C), poured into ice water (10 mL), extracted with CH2Cl2 (2 × 2 mL), and dried over MgSO4. Evaporation of the solvent and distillation in vacuum (115 °C, 30 Torr) gave 1.139 g of compound 8e (yield 94%).
d. A mixture of alcohol 14f (2.488 g, 10.03 mmol) and SOCl2 (6.560 g, 55.13 mmol) was heated (4.5 h, 75 °C), poured into ice water (40 mL), extracted with CH2Cl2 (2 × 4 mL), and dried over MgSO4. Evaporation of the solvent and distillation in vacuum (115 °C, 42 Torr) gave 2.476 g of compound 8f (yield 93%).
e. A mixture of alcohol 14g (1.829 g, 7.10 mmol) and SOCl2 (1.804 g, 15.16 mmol) was heated (1.5 h, 75 °C), the excess of SOCl2 was distilled off, and distillation in vacuum (120 °C, 17 Torr) gave 1.798 g of compound 8g (yield 93%).
1-(Chloromethyl)-2,3,5,6-tetrafluoro-4-(trifluoromethyl)benzene (8d). Colorless liquid. 1H NMR (CDCl3): δ 4.82 (s, CH2). 19F NMR (CDCl3): δ −57.5 (t, 3F, CF3 JCF3,F(3) = JCF3,F(5) = 22), −140.7 (m, 2F, F-3,5), −141.7 (m, 2F, F-2,6). HRMS, m/z: calcd. for C8H2ClF7 265.9728; found 265.9724.
1-(Chloromethyl)-2,4,5,6-tetrafluoro-3-(trifluoromethyl)benzene (8e). Colorless liquid. 1H NMR (CDCl3): δ 4.62 (t, CH2, JCH2,F(2) = JCH2,F(6) = 1.5). 19F NMR (CDCl3): δ −57.3 (td, 3F, CF3), −119.5 (qdddt, 1F, F-2), −129.2 (dddtq, 1F, F-6), −131.9 (qddd, 1F, F-4), −162.2 (td, 1F, F-5); JCF3,F(2) = JCF3,F(4) = 22.5, JCF3,F(6) = 1.5, J2,4 = 2.5, J2,5 = 11.5, J2,6 = 3.5, J4,5 = 21.5, J4,6 = 11.5, J5,6 = 21.5, JCH2,F(2) = JCH2,F(6) = 1.5. HRMS, m/z: calcd. for C8H2ClF7 265.9728; found 265.9732.
1-(Chloromethyl)-3,4,5,6-tetrafluoro-2-(trifluoromethyl)benzene (8f). Colorless liquid. 1H NMR (CDCl3): δ 4.71 (d, CH2, JCH2,F(2) = 2). 19F NMR (CDCl3): δ −55.6 (d, 3F, CF3), −137.6 (qddd, 1F, F-3), −138.7 (dddt, 1F, F-6), −148.5 (ddd, 1F, F-5), −152.0 (ddd, 1F, F-5); JCF3,F(3) = 28, J3,4 = 21, J3,5 = 8, J3,6 = 11.5, J4,5 = 20.5, J4,6 = 5.5, J5,6 = 21.5, JCH2,F(6) = 2. HRMS, m/z: calcd. for C8H2ClF7 265.9728; found 265.9725.
1-(Chloromethyl)-2,3,5,6-tetrafluoro-4-(perfluoroisopropyl)benzene (8g). Colorless liquid. 1H NMR (CDCl3): δ 4.66 (s, CH2). 19F NMR (CDCl3): δ −76.3 (m, 6F, CF3), −134.7 (br.s, 1F, Ar-F), −137.7 (br.s, 1F, Ar-F), −141.8 (br.s, 1F, Ar-F), −142.0 (br.s, 1F, Ar-F), −179.7 (m, 1F, CF(CF3)2). HRMS, m/z: calcd. for C10H2ClF11 365.9664; found 365.9662.
3.4.3. Reaction of (2,3,4,5-Tetrafluoro-6-(hydroxymethyl)phenyl)methanol (43) with SOCl2
A mixture of diol 43 (0.262 g, 1.25 mmol) and SOCl2 (0.820 g, 6.89 mmol) was heated (1 h 40 min, 75 °C), the excess of SOCl2 was distilled off, the resulting mixture contained compounds 44 and 16c in an 86:14 molar ratio. Sublimation (110 °C, 1 Torr) and recrystallization from hexane resulted in 0.189 g of compound 44 (yield 59%).
1,5-Dihydrobenzo[e][1,3,2]dioxathiepine 3-oxide (44). White solid; mp 76–77 °C (hexane). 1H NMR (CDCl3): δ 5.80 (d, 2H, CH2, JA,B = 15), 4.97 (d, 2H, CH2, JA,B = 15). 19F NMR (CDCl3): δ −143.0 (m, 2F, F-3,6), −155.5 (m, 2F, F-4,5). HRMS, m/z: calcd. for C8H4O3F4S 255.9812; found 255.9815. Anal. calcd. for C8H4O3F4S: C, 37.51; H, 1.57; F, 29.67%; S, 12.52%. Found: C, 38.19; H, 2.04; F, 29.88%; S, 12.44%.
3.4.4. Synthesis of Chloroderivatives 8h, 16c, 19, 23a–d, and 36
a. A mixture of alcohol 14h (0.985 g, 2.85 mmol) and PCl5 (0.940 g, 4.51 mmol) was sealed in a glass tube (before the start of the reaction) and heated (3 h, 100 °C), poured into ice water (10 mL), extracted with CH2Cl2 (2 × 5 mL), and dried over MgSO4. Evaporation of the solvent and sublimation (100 °C, 1 Torr) gave 1.011 g of compound 8h (yield 97%).
b. A mixture of diol 43 (2.000 g, 9.52 mmol) and PCl5 (5.237 g, 25.12 mmol) was sealed in a glass tube (before the start of the reaction) and heated (3 h 40 min, 100 °C), poured into ice water (50 mL), extracted with CH2Cl2 (2 × 10 mL), and dried over MgSO4. Evaporation of the solvent and distillation in vacuum (130 °C, 15 Torr) gave 2.136 g of compound 16c (yield 91%).
c. A mixture of alcohol 40 (4.06 g, 11.15 mmol) and PCl5 (2.95 g, 14.15 mmol) was sealed in a glass tube (before the start of the reaction) and heated (3.5 h, 100 °C), poured into ice water (40 mL), extracted with CH2Cl2 (2 × 5 mL), and dried over MgSO4. Evaporation of the solvent gave 4.18 g of compound 19 (yield 98%).
d. A mixture of alcohol 41a (5.96 g, 22.4 mmol) and PCl5 (6.96 g, 33.4 mmol) was sealed in a glass tube (before the start of the reaction) and heated (5.5 h, 100 °C), poured into ice water (50 mL), extracted with CH2Cl2 (2 × 5 mL), and dried over MgSO4. The resulting mixture of products contained ~90% of compound 23a. Evaporation of the solvent and distillation in vacuum (120 °C, 40 Torr) gave 5.40 g of compound 23a (yield 85%).
e. A mixture of alcohol 41b (4.14 g, 13.1 mmol) and PCl5 (4.11 g, 19.7 mmol) was sealed in a glass tube (before the start of the reaction) and heated (10 h, 100 °C), poured into ice water (50 mL), extracted with CH2Cl2 (2 × 5 mL), and dried over MgSO4. The resulting mixture of products contained ~90% of compounds 23b and 45 in a 76:24 molar ratio. Evaporation of the solvent and distillation in vacuum (110 °C, 25–15 Torr) gave 3.83 g (yield 87%) of a mixture of compounds 23b and 45 in a 79:21 molar ratio. This mixture was used in the carbonylation experiments (Section 3.3.24).
f. A mixture of alcohol 41c (3.00 g, 9.15 mmol) and PCl5 (2.53 g, 12.13 mmol) was sealed in a glass tube (before the start of the reaction) and heated (5.5 h, 100 °C), poured into ice water (40 mL), extracted with CH2Cl2 (2 × 5 mL), and dried over MgSO4. The resulting mixture of products contained ~90% of compounds 23c and 47 in a 91:9 molar ratio. Steam distillation and subsequent distillation in vacuum (135 °C, 22 Torr) gave 2.51 g (yield 79%) of a mixture of compounds 23c and 47 in a 92:8 molar ratio. The content of a dichloroderivative did not exceed 1% (GC-MS). This mixture was used in the carbonylation experiments (Section 3.3.25).
g. A mixture of alcohol 41d (6.46 g, 23.2 mmol) and PCl5 (7.33 g, 35.2 mmol) was sealed in a tube (before the start of reaction) and heated (6 h, 100 °C), poured into ice water (100 mL), extracted with CH2Cl2 (2 × 10 mL), and dried over MgSO4. The resulting mixture of products contained ~70% of compounds 23d, along with a number of nonvolatile admixtures containing a tetrafluorosubstituted aromatic ring which were separated by steam distillation. Distillation in vacuum (120 °C, 45 Torr) gave 4.61 g (yield 67%) of compounds 23d.
h. A mixture of alcohol 51 (2.5 g, 8.11 mmol) and PCl5 (4.30 g, 20.62 mmol) was sealed in a glass tube (before the start of the reaction) and heated (10 h, 100 °C), poured into ice water (40 mL), extracted with CH2Cl2 (2 × 5 mL), and dried over MgSO4. The resulting mixture of products contained ~70% of compounds 36. Steam distillation and subsequent distillation in vacuum (150 °C, 15 Torr) gave 1.88 g (yield 67%) of a mixture containing (NMR 19F, GC-MS) ~90% of compounds 36 (isomers A:B = 64:36) along with isomeric compounds. The content of trichloroderivatives did not exceed 3% (GC-MS). This mixture was used in the carbonylation experiments (Section 3.3.28).
4-(Chloromethyl)nonafluoro-1,1′-biphenyl (8h). White solid; mp 65.5–66 °C (after sublimation).1H NMR (CDCl3): δ 4.71 (s, CH2). 19F NMR (CDCl3): δ −138.3 (m, 2F, Ar-F), −138.7 (m, 2F, Ar-F), −142.9 (m, 2F, Ar-F), −150.9 (tt, 1F, F-4′, J4′,3′ = J4′,5′ = 21, J4′,2′ = J4′,6′ = 3), −161.5 (m, 2F, F-3′,5′). HRMS, m/z: calcd. for C13H2ClF9 363.9696; found 363.9694.
1,2-Bis(chloromethyl)-3,4,5,6-tetrafluorobenzene (16c). Colorless liquid. 1H NMR (CDCl3): δ 4.73 (s, CH2).19F NMR (CDCl3): δ −141.8 (m, 2F, F-3,6), −154.2 (m, 2F, F-4,5). HRMS, m/z: calcd. for C8H4Cl2F4 245.9621; found 245.9620.
(1-Chloro-2,2,2-trifluoroethyl)pentafluorobenzene (23a). Colorless liquid. 1H NMR (CDCl3): δ 5.50 (qt, 1H, JH,CF3 = 7, JH,F(ortho) = 1, CHCl). 19F NMR (CDCl3): δ −73.8 (td, 3F, JCF3,F(ortho) = 10, JH,CF3 = 7, CF3), ~−138.4 (br.s, 2F, F-ortho), −150.1 (tt, 1F, Jpara,meta = 21, Jpara,ortho = 4, F-para), −160.9 (br.s, 2F, F-meta).
(1-Chloro-2,2,3,3,3-pentafluoropropyl)pentafluorobenzene (23b) in the mixture with compound 45 (23b:45 = 79:21). Colorless liquid. 1H NMR (CDCl3): δ 5.58 (ddt, 1H, JH,F(B) = 13.5, JH,F(A) = 12.5, JH,F(ortho) = 1.5, CHCl). 19F NMR (CDCl3): δ −82.6 (s, 3F, CF3), −118.5 (ddd, 1F, JA,B = 267, JA,ortho = 31.5, JH,F(A) = 12.5, CF2-FA), −119.4 (ddd, 1F, JA,B = 267, JB,ortho = 28.5, JH,F(B) = 13.5, CF2-FB), −133.6 (br.s, 1F, F-ortho), −141.9 (br.s, 1F, F-ortho), −149.7 (tt, 1F, Jpara,meta = 21, Jpara,ortho = 4, F-para), −160.3 (br.s, 1F, F-meta), −161.3 (br.s, 1F, F-meta). HRMS, m/z: calcd. for C9H1Cl1F10 333.9602; found 333.9607.
1-(1-Chloro-2,2,3,3,3-pentafluoropropyl)-4-chloro-2,3,5,6-tetrafluorobenzene (45) in the mixture with compound 23b (23b:45 = 79:21). 1H NMR (CDCl3): δ 5.60 (ddt, 1H, JH,F(B) = 13.5, JH,F(A) = 12.5, JH,F(2) = JH,F(6) = 1.5, CHCl). 19F NMR (CDCl3): δ −82.6 (s, 3F, CF3), −118.4 (ddd, 1F, JA,B = 267, JA,ortho = 31.5, JH,F(A) = 12.5, CF2-FA), −119.3 (ddd, 1F, JA,B = 267, JB,ortho = 28.5, JH,F(B) = 13.5, CF2-FB), −133.6 (br.s, 1F, F-2,6), −139.3 (br.s, 1F, F-3,5), −140.3 (br.s, 1F, F-3,5), −141.7 (br.s, 1F, F-2,6). HRMS, m/z: calcd. for C9H1Cl2F9 349.9306; found 349.9309.
1-Chloro-2,2,3,3,4,4,5,6,7,8-decafluorotetralin (23c) in the mixture with compound 47 (23c:47 = 92:8). Colorless liquid. 1H NMR (CDCl3): δ 5.52 (dt, 1H, J = 10.5, J = 4, H-1). 19F NMR (CDCl3): −97.9 (dm, 1F, JA,B = 291, FA-4), −114.5 (dm, 1F, JA,B = 291, FB-4), −115.4 (dm, 1F, JA,B = 273, FA-2), −123.7 (dm, 1F, JA,B = 273, FA-3), −125.4 (dm, 1F, JA,B = 273, FB-2), −136.2 (dddd, 1F, F-8), −136.6 (ddddd, 1F, F-5), −143.1 (dm, 1F, JA,B = 273, FB-3), −146.2 (dddd, 1F, F-7), −148.6 (ddd, 1F, F-6); J5,A4 = 8.5, J5,B4 = 29.5, J5,6 = 20.5, J5,7 = 8, J5,8 = 12, J6,7 = 20.5, J6,8 = 7, J7,8 = 20.5, J7,A4 = 3, J8,B4 = 2.5. HRMS, m/z: calcd. for C10H1Cl10F9 345.9602; found 345.9600.
7-Chloro-1,1,2,2,3,3,5,6,7,8-decafluoro-1,2,3,7-tetrahydronaphthalene (47) in the mixture with compound 23c (23c:47 = 92:8). 1H NMR (CDCl3): δ 6.54 (m, 1H, H-1). 19F NMR (CDCl3): −107.5 (ddm, 1F, J7,8 = 28.5, J6,7 = 26.5, F-7), −110.2 (br.d, 1F, JA,B ~ 300, FA-1 or 3), −111.8 (br.d, 1F, JA,B ~ 300, FB-1 or 3), −111.8 (td, 1F, J1,8 = 29, J7,8 = 28.5, F-8), −114.4 (br.d, 1F, JA,B ~ 290, FA-1 or 3), −116.8 (br.d, 1F, JA,B ~ 290, FB-1 or 3), −137.7 (br.d, 1F, JA,B ~ 270, FA-2), −139.9 (br.d, 1F, JA,B ~ 270, FB-2), −145.4 (dm, 1F, J6,7 = 26.5, F-6), −150.1 (m, 1F, F-5).
1,4-Dichloro-2,2,3,3,5,6,7,8-octafluorotetralin (36) (isomers A:B = 64:36). Colorless liquid. Isomer A. 1H NMR (CDCl3): δ 5.53 (m, 2H, H-1,4). 19F NMR (CDCl3): −109.6 (dm, 2F, J ~ 280, CF2), −125.8 (dm, 2F, J ~ 280, CF2), −137.3 (m, 2F, F-5,8), −150.6 (m, 2F, F-6,7). Isomer B. 1H NMR (CDCl3): δ 5.45 (m, 2H, H-1,4). 19F NMR (CDCl3): −118.0 (dm, 2F, J ~ 260, CF2), −119.1 (dm, 2F, J ~ 260, CF2), −135.3 (m, 2F, F-5,8), −150.7 (m, 2F, F-6,7). HRMS, m/z: calcd. for C10H1Cl2F8 343.9400; found 343.9403.
3.4.5. Synthesis of Fluoroderivatives 7a,d, and 18
a. A mixture of compound 8a (4.35 g, 20.1 mmol) and CsF (9.00 g, 59.2 mmol) was sealed in a glass tube and heated (10 h, 250–260 °C). Distillation of volatile product gave 3.44 g of compound 7a (yield 86%).
b. A mixture of compound 8d (0.740 g, 2.78 mmol) and CsF (2.220 g, 14.6 mmol) was sealed in a glass tube and heated (9 h, 250–260 °C). Distillation of volatile product gave 0.560 g of compound 7d (yield 81%).
c. A mixture of compound 19 (2.75 g, 7.2 mmol) and CsF (6.39 g, 42.0 mmol) was sealed in a glass tube and heated (17 h, 250–260 °C). Steam distillation gave 1.706 g of compound 18 (yield 65%).
3.4.6. Synthesis of (1,2,2,3,3,3-Hexafluoropropyl)pentafluorobenzene (22b)
Alcohol 41b (3.664 g, 11.59 mmol) was added to a mixture of C6F5CF3 (3.275 g, 13.88 mmol) with SbF5 (2.516 g, 11.62 mmol), the resulting mixture was intensively stirred (4 h, 70 °C), poured into of 5% hydrochloric acid (25 mL), extracted with CH2Cl2 (2 × 10 mL), and dried over MgSO4. The extract contained compounds 22b and pentafluorobenzoate of the starting alcohol (GC-MS, M = 510) in a 90:10 molar ratio, along with C6F5CF3 and C6F5CO2H. It was washed with a saturated aqueous solution of NaHCO3 (60 mL), the solvent was evaporated, and fractional distillation of the residue in a vacuum (100 Torr) gave a fraction (1.828 g, bp 90 °C) containing 98% of compound 22b (yield 50%).
(1,2,2,3,3,3-Hexafluoropropyl)pentafluorobenzene (22b). Colorless liquid. 1H NMR (CDCl3): δ 6.11 (ddd, 1H, JH,F(1) = 43, JH,F(B) = 19, JH,F(A) = 4, CHF). 19F NMR (CDCl3): δ −83.6 (d, 3F, CF3), −124.4 (ddtd, 1F, CF2-FA), −131.1 (ddtd, 1F, CF2-FB), −139.8 (m, 2F, F-ortho), −148.8 (ttd, 1F, F-para), −160.8 (br.s, 2F, F-meta), −206.0 (dddtqd, 1F, F-1); JF(1),H = 43, J1,A = 14.5, J1,B = 15.5, J1,3 = 10, J1,ortho = 13, J1,para = 2, JA,B = 282.5, JF(A),H = 4, JA,ortho = 6.5, JF(B),H = 19, JB,ortho = 17, JH,F(A) = 12.5, JA,B = 267, JH,F(B) = 13.5, Jpara,meta = 21, Jpara,ortho = 4. HRMS, m/z: calcd. for C9H1F11 317.9897; found 317.9893.
3.4.7. Synthesis of Acids 11–13
a. A mixture of acid 9e (0.524 g, 1.90 mmol), CF3CO2H (0.330 g, 2.89 mmol), and SbF5 (1.690 g, 7.81 mmol) (molar ratio 1:1.5:4.1) was stirred at room temperature for 4.5 h, r.t., poured into 5% hydrochloric acid (20 mL), and extracted with Et2O. The resulting solution contained compounds 9e and 11 in an 18:82 molar ratio. After evaporation of Et2O, the residue was dissolved in a saturated aqueous solution of NaHCO3 (50 mL), acidified with HCl (pH < 1), and extracted with CH2Cl2 (2 × 5 mL) to separate the acid 9e. The aqueous layer was extracted with Et2O (3 × 5 mL). Evaporation of the solvent, sublimation (190 °C, 1 Torr), and recrystallization from CCl4-acetone resulted in 0.337 g of acid 11 (yield 70%).
b. Acid 9d (0.559 g, 2.02 mmol), CF3CO2H (0.391 g, 3.42 mmol), and SbF5 (1.956 g, 9.03 mmol) (molar ratio 1:1.7:4.5), similarly to previous procedure, gave a mixture of compounds 9d and 12 in a 15:85 molar ratio. Evaporation of the solvent fractional sublimation (130 °C, 1 Torr), then (210 °C, 1 Torr) and recrystallization of the second fraction from CCl4-acetone gave 0.322 g of acid 12 (yield 63%).
c. In a manner analogous to [79], 4-methylheptafluorotoluene (0.565 g, 2.44 mmol) was dissolved in SbF5 (3.175 g, 14.67 mmol), the resulting solution was poured into of 5% hydrochloric acid (30 mL), extracted with CH2Cl2 (2 × 10 mL), and dried over MgSO4. The extract contained compound 13 and the starting compound in a 75:25 molar ratio. Evaporation of the solvent and sublimation (130 °C, 2 Torr) resulted in 0.312 g of acid 13 (yield 61%).
3-Carboxymethyl-2,4,5,6-tetrafluorobenzoic acid (11). White solid; mp 176.5–178 °C (CCl4-acetone). IR (KBr) ν, cm−1: 1705, 1743 (C=O), 1502, 1490, 1431, 1416 (FAR). 1H NMR (acetone-d6): δ 5.9 (br.s, 2H, COOH), 3.81 (s, 2H, CH2). 19F NMR (acetone-d6): δ −117.3 (dddt, 1F, F-2), −131.4 (dddt, 1F, F-4), −134.5 (dd, 1F, F-6), −164.9 (td, 1F, F-5); J2,4 = 4, J2,5 = 11, J2,6 = 1.5, J4,5 = 21, J4,6 = 8, J5,6 = 21, JCH2,F(2) = JCF2,F(4) = 1.5. HRMS, m/z: calcd. for C9H4O4F4 252.0040; found 252.0038. Anal. calcd. for C9H4O4F4: C, 42.88; H, 1.60; F, 30.14%. Found: C, 43.3; H, 2.10; F, 30.26%.
4-Carboxymethyl-2,3,5,6-tetrafluorobenzoic acid (12). White solid; mp 216.5–218 °C (after sublimation). IR (KBr) ν, cm−1: 1714 (C=O), 1495 (FAR). 1H NMR (acetone-d6): δ 5.9 (br.s, 2H, COOH), 3.91 (s, 2H, CH2). 19F NMR (acetone-d6): δ −141.2 (m, 2F), −141.9 (m, 2F). HRMS, m/z: calcd. for C9H4O4F4 252.0040; found 252.0043. Anal. calcd. for C9H4O4F4: C, 42.88; H, 1.60; F, 30.14%. Found: C, 42.76; H, 1.35; F, 30.06%.
2,3,5,6-Tetrafluoro-4-methylbenzoic acid (13). White solid; mp 166–168 °C (after sublimation). IR (KBr) ν, cm−1: 1730 (C=O), 1535, 1508, 1500, 1481 (FAR). 1H NMR (acetone-d6): δ 4.7 (br.s, 1H, COOH), 2.33 (t, 3H, CH3, JCH3,F(3) = JCF3,F(5) = 2). 19F NMR (acetone-d6): δ −141.6 (m, 2F, F-2,6), −142.7 (m, 2F, F-3,5).
4. Conclusions
The carbonylation at the benzyl C-Hal (Hal = F, Cl) bond of polyfluorinated alkyl aromatic compounds with different types of their aliphatic moiety in the CO–SbF5 system, resulting in corresponding carboxylic acids, or their methyl esters was demonstrated. Polyfluorinated alkylaromatic compounds ArFCHHalR (R = Hal, H, AlkF, C6F5) containing a hydrogen atom at the benzyl position undergo carbonylation in the CO–SbF5 system; for CCl2H derivatives, the possibility of selective mono- and dicarbonylation depending on the amount of SbF5 was demonstrated, whereas for CF2H derivatives, only dicarbonylation is possible. The carbonylation of para-substituted benzyl halides XC6F4CH2Hal (X = AlkF, C6F5, CH2Cl), in contrast to meta- and ortho-isomers (X = CF3, CH2Cl), gives corresponding acids in low yields, due to side transformations of the starting compounds in an SbF5 medium. The addition of CO to compounds ArFCHHalAlkF can be accompanied by the elimination of HF, thus leading to saturated or α,β-unsaturated α-arylcarboxylic acids (or esters), with the outcome depending on the reaction conditions.
Supplementary Materials
The following supporting information can be downloaded at: https://www.mdpi.com/article/10.3390/molecules30040931/s1, Figures S1–S80: 1H and 19F NMR spectra of the products.
Author Contributions
Conceptualization, Y.V.Z. and V.M.K.; methodology, Y.V.Z. and V.M.K.; formal analysis, Y.V.Z. and S.W.; investigation, Y.V.Z. and S.W.; writing—original draft preparation, Y.V.Z.; writing—review and editing, V.V.K., T.V.M. and D.A.P.; visualization, V.V.K. and D.A.P.; supervision, T.V.M.; project administration, T.V.M. All authors have read and agreed to the published version of the manuscript.
Funding
This research received no external funding.
Institutional Review Board Statement
Not applicable.
Informed Consent Statement
Not applicable.
Data Availability Statement
All raw data of this study are available within this article.
Acknowledgments
The authors are grateful to the Multi-Access Chemical Research Center of SB RAS for spectral and analytical measurements.
Conflicts of Interest
Author Siqi Wang was employed by the company PetroChina Company Limite. The remaining authors declare that the research was conducted in the absence of any commercial or financial relationships that could be construed as a potential conflict of interest.
References
- Chambers, R.D. Fluorine in Organic Chemistry; Blackwell Pub: New York, NY, USA, 2004. [Google Scholar]
- Kirsch, P. Modern Fluoroorganic Chemistry: Synthesis, Reactivity, Applications, 1st ed.; Wiley: Hoboken, NJ, USA, 2004; pp. 203–277. [Google Scholar]
- Banks, R.E.; Smart, B.E.; Tatlow, J.C. (Eds.) Organofluorine Chemistry: Principles and Commercial Applications; Springer: Boston, MA, USA, 1994. [Google Scholar]
- Tang, M.L.; Bao, Z. Halogenated Materials as Organic Semiconductors. Chem. Mater. 2011, 23, 446–455. [Google Scholar] [CrossRef]
- Babudri, F.; Farinola, G.M.; Naso, F.; Ragni, R. Fluorinated Organic Materials for Electronic and Optoelectronic Applications: The Role of the Fluorine Atom. Chem. Commun. 2007, 10, 1003–1022. [Google Scholar] [CrossRef] [PubMed]
- Ojima, I. (Ed.) Fluorine in Medicinal Chemistry and Chemical Biology; Wiley-Blackwell: Chichester, UK, 2009; pp. 291–311. [Google Scholar]
- Bégué, J.-P.; Bonnet-Delpon, D. Bioorganic and Medicinal Chemistry of Fluorine; John Wiley & Sons: Hoboken, NJ, USA, 2008. [Google Scholar]
- Purser, S.; Moore, P.R.; Swallow, S.; Gouverneur, V. Fluorine in Medicinal Chemistry. Chem. Soc. Rev. 2008, 37, 320–330. [Google Scholar] [CrossRef] [PubMed]
- Leroux, F.; Jeschke, P.; Schlosser, M. α-Fluorinated Ethers, Thioethers, and Amines: Anomerically Biased Species. Chem. Rev. 2005, 105, 827–856. [Google Scholar] [CrossRef]
- Prchalová, E.; Štěpánek, O.; Smrček, S.; Kotora, M. Medicinal Applications of Perfluoroalkylated Chain-Containing Compounds. Future Med. Chem. 2014, 6, 1201–1229. [Google Scholar] [CrossRef]
- Eidus, Y.T.; Lapidus, A.L.; Puzitskii, K.V.; Nefedov, B.K. Carbonylation of Polyunsaturated Hydrocarbons and of Saturated and Unsaturated Alcohols and Halogeno-Derivatives. Russ. Chem. Rev. 1973, 42, 199–213. [Google Scholar] [CrossRef]
- Falbe, J. (Ed.) New Syntheses with Carbon Monoxide; Reactivity and Structure; Springer: Berlin/Heidelberg, Germany; New York, NY, USA, 1980. [Google Scholar]
- Farooq, O.; Marcelli, M.; Prakash, G.K.S.; Olah, G.A. Electrophilic Reactions at Single Bonds. 22. Superacid-Catalyzed Electrophilic Formylation of Adamantane with Carbon Monoxide Competing with Koch-Haaf Carboxylation. J. Am. Chem. Soc. 1988, 110, 864–867. [Google Scholar] [CrossRef]
- Zonov, Y.V.; Karpov, V.M.; Platonov, V.E. The First Carbonylation of Perfluoroorganic Compounds: The Reactions of Perfluorobenzocyclobutene and Its Perfluoroalkyl and Pentafluorophenyl Derivatives with CO in SbF5 Medium. J. Fluor. Chem. 2014, 162, 71–77. [Google Scholar] [CrossRef]
- Zonov, Y.V.; Karpov, V.M.; Mezhenkova, T.V.; Rybalova, T.V.; Gatilov, Y.V.; Platonov, V.E. Transformations of Perfluorinated 1,2-Dialkyl-, 1,1- and 1,2-Alkylphenylbenzocyclobutenes to Indan-2-one and Isochromene Derivatives under the Action of CO/SbF5. J. Fluor. Chem. 2016, 188, 117–125. [Google Scholar] [CrossRef]
- Zonov, Y.V.; Karpov, V.M.; Mezhenkova, T.V.; Platonov, V.E. Carbonylation of Polyfluorinated Indans, Tetralins and Perfluoro-2,3- Dihydrobenzofuran under the Action of CO/SbF5. J. Fluor. Chem. 2018, 214, 24–34. [Google Scholar] [CrossRef]
- Zonov, Y.V.; Karpov, V.M.; Mezhenkova, T.V. Carbonylation of Polyfluorobenzocyclobutenones in a SbF5 Medium. Russ. J. Org. Chem. 2019, 55, 1103–1111. [Google Scholar] [CrossRef]
- Wang, S.; Zonov, Y.V.; Karpov, V.M.; Luzina, O.A.; Mezhenkova, T.V. Carbonylation of Polyfluorinated 1-Arylalkan-1-ols and Diols in Superacids. Molecules 2022, 27, 8757. [Google Scholar] [CrossRef] [PubMed]
- Olah, G.A.; Germain, A.; Lin, H.C. Stable Carbocations. CLXXXIII. Haloacetylium Ions. J. Am. Chem. Soc. 1975, 97, 5481–5488. [Google Scholar] [CrossRef]
- Steiner, S.; Jessen, C.; Nitzer, A.; Bockmair, V.; Kornath, A.J. Synthesis and Stabilization of Highly Reactive Haloacetylium Ions. J. Org. Chem. 2024, 89, 14399–14407. [Google Scholar] [CrossRef]
- Krespan, C.G.; Petrov, V.A. The Chemistry of Highly Fluorinated Carbocations. Chem. Rev. 1996, 96, 3269–3302. [Google Scholar] [CrossRef]
- Bardin, V.V.; Furin, G.G.; Yakobson, G.G. Aromatic fluoroderivatives XCVIII. Heptafluorophenylacetic acid. Synthesis and some properties. J. Org. Chem. USSR 1984, 20, 514–519. [Google Scholar]
- Takahashi, Y.; Yoneda, N.; Nagai, H. Carboxylation of alcohols with carbon monoxide supersaturated in strong acid. Facile synthesis of 2,2-bis(4-halophenyl)acetic, -propionic, and related acids. Chem. Lett. 1985, 14, 1733–1734. [Google Scholar] [CrossRef]
- Zhyhadlo, Y.Y.; Gaidai, A.V.; Levandovskiy, I.A.; Bezdudny, A.V.; Rassukana, Y.V. Facile Synthesis of 3-(Trifluoromethyl) Adamantane Derivatives. J. Fluor. Chem. 2017, 201, 11–14. [Google Scholar] [CrossRef]
- Nazarova, M.P.; Morozov, V.A.; Podkhalyuzin, A.T. Reactivity of (fluoroalkyl)adamantanes and their derivatives. III. Synthesis of (fluoroalkyl)adamantanecarboxylic acids. J. Org. Chem. USSR 1983, 19, 499–504. [Google Scholar] [CrossRef]
- Zhang, Y.; Geng, H.; Wu, X. Palladium-Catalyzed Carbonylative Four-Component Synthesis of B-Perfluoroalkyl Amides. Chem. A Eur. J. 2021, 27, 17682–17687. [Google Scholar] [CrossRef]
- Zhang, Y.; Geng, H.; Wu, X. Palladium-Catalyzed Perfluoroalkylative Carbonylation of Unactivated Alkenes: Access to B- Perfluoroalkyl Esters. Angew. Chem. Intl. Ed. 2021, 60, 24292–24298. [Google Scholar] [CrossRef] [PubMed]
- Urata, H.; Kinoshita, Y.; Asanuma, T.; Kosukegawa, O.; Fuchikami, T. A Facile Synthesis of. Alpha.,.Omega.-Dicarboxylic Acids Containing Perfluoroalkylene Groups. J. Org. Chem. 1991, 56, 4996–4999. [Google Scholar] [CrossRef]
- Urata, H.; Kosukegawa, O.; Ishii, Y.; Yugari, H.; Fuchikami, T. Carbonylation of 1-Perfluoroalkyl-Substituted 2-Iodoalkanes Catalyzed by Transition-Metal Complexes. Tetrahedron Lett. 1989, 30, 4403–4406. [Google Scholar] [CrossRef]
- Urata, H.; Ishii, Y.; Fuchikami, T. Palladium-Catalyzed Double Carbonylation of Alkyl Iodides Bearing Perfluoroalkyl Group. Tetrahedron Lett. 1989, 30, 4407–4410. [Google Scholar] [CrossRef]
- Ai, H.-J.; Rabeah, J.; Brückner, A.; Wu, X.-F. Rhodium-Catalyzed Carbonylative Coupling of Alkyl Halides with Thiols: A Radical Process Faster than Easier Nucleophilic Substitution. Chem. Commun. 2021, 57, 1466–1469. [Google Scholar] [CrossRef]
- Ai, H.-J.; Yuan, Y.; Wu, X.-F. Ruthenium Pincer Complex-Catalyzed Heterocycle Compatible Alkoxycarbonylation of Alkyl Iodides: Substrate Keeps the Catalyst Active. Chem. Sci. 2022, 13, 2481–2486. [Google Scholar] [CrossRef]
- Liu, J.; Dong, K.; Franke, R.; Neumann, H.; Jackstell, R.; Beller, M. Development of Efficient Palladium Catalysts for Alkoxycar- bonylation of Alkenes. Chem. Commun. 2018, 54, 12238–12241. [Google Scholar] [CrossRef]
- Yang, J.; Liu, J.; Ge, Y.; Huang, W.; Schneider, C.; Dühren, R.; Franke, R.; Neumann, H.; Jackstell, R.; Beller, M. A General Platinum-Catalyzed Alkoxycarbonylation of Olefins. Chem. Commun. 2020, 56, 5235–5238. [Google Scholar] [CrossRef]
- Sang, R.; Kucmierczyk, P.; Dühren, R.; Razzaq, R.; Dong, K.; Liu, J.; Franke, R.; Jackstell, R.; Beller, M. Synthesis of Carboxylic Acids by Palladium-Catalyzed Hydroxycarbonylation. Angew. Chem. Int. Ed. 2019, 58, 14365–14373. [Google Scholar] [CrossRef]
- Fuchikami, T.; Ohishi, K.; Ojima, I. Regioselective Hydroesterification and Hydrocarboxylation of 3,3,3-Trifluoropropene and Pentafluorostyrene Catalyzed by Phosphine-Palladium Complex. J. Org. Chem. 1983, 48, 3803–3807. [Google Scholar] [CrossRef]
- Ren, X.; Wang, Z.; Shen, C.; Tian, X.; Tang, L.; Ji, X.; Dong, K. Asymmetric Alkoxy- and Hydroxy-Carbonylations of Functionalized Alkenes Assisted by B-Carbonyl Groups. Angew. Chem. Int. Ed. 2021, 60, 17693–17700. [Google Scholar] [CrossRef] [PubMed]
- Liu, J.; Yang, J.; Ferretti, F.; Jackstell, R.; Beller, M. Pd-Catalyzed Selective Carbonylation of Gem-Difluoroalkenes: A Practical Synthesis of Difluoromethylated Esters. Angew. Chem. Int. Ed. 2019, 58, 4690–4694. [Google Scholar] [CrossRef] [PubMed]
- Wakuluk-Machado, A.-M.; Dewez, D.F.; Baguia, H.; Imbratta, M.; Echeverria, P.-G.; Evano, G. Pd(OH)2/C, a Practical and Efficient Catalyst for the Carboxylation of Benzylic Bromides with Carbon Monoxide. Org. Process Res. Dev. 2020, 24, 713–723. [Google Scholar] [CrossRef]
- Rilvin-Derrick, E.; Oram, N.; Richardson, J. An Efficient Palladium-Catalysed Aminocarbonylation of Benzyl Chlorides. Synlett 2020, 31, 369–372. [Google Scholar] [CrossRef]
- Li, H.; Zhang, Y.; Liu, D.; Liu, X. An Improved Method for the Synthesis of Phenylacetic Acid Derivatives via Carbonylation. J. Chem. Res. 2019, 43, 548–552. [Google Scholar] [CrossRef]
- She, M.; Xiao, D.; Yin, B.; Yang, Z.; Liu, P.; Li, J.; Shi, Z. An Efficiently Cobalt-Catalyzed Carbonylative Approach to Phenylacetic Acid Derivatives. Tetrahedron 2013, 69, 7264–7268. [Google Scholar] [CrossRef]
- Karimi, F.; Långström, B. Synthesis of 11C-Amides Using [11C] Carbon Monoxide and in Situ Activated Amines by Palladium- Mediated Carboxaminations. Org. Biomol. Chem. 2003, 1, 541–546. [Google Scholar] [CrossRef]
- Karimi, F.; Langström, B. Synthesis of 11C-Labelled Amides by Palladium-Mediated Carboxamination Using [11C]Carbon Monoxide, in Situ Activated Amines and 1,2,2,6,6-Pentamethylpiperidine. Eur. J. Org. Chem. 2003, 2003, 2132–2137. [Google Scholar] [CrossRef]
- Karimi, F.; Långström, B. Palladium-Mediated Carboxylation of Aryl Halides (Triflates) or Benzyl Halides Using [13C]/[11C] Carbon Monoxide with Tetrabutylammonium Hydroxide or Trimethylphenylammonium Hydroxide. J. Chem. Soc. Perkin Trans. 1 2002, 20, 2256–2259. [Google Scholar] [CrossRef]
- Wang, W.; Qi, X.; Wu, X. Palladium-Catalyzed Thiocarbonylation of Benzyl Chlorides with Sulfonyl Chlorides for the Synthesis of Arylacetyl Thioesters. Adv. Synth. Catal. 2021, 363, 2541–2545. [Google Scholar] [CrossRef]
- Li, Y.; Wang, Z.; Wu, X.-F. A Sustainable Procedure toward Alkyl Arylacetates: Palladium-Catalysed Direct Carbonylation of Benzyl Alcohols in Organic Carbonates. Green. Chem. 2018, 20, 969–972. [Google Scholar] [CrossRef]
- Xu, J.-X.; Wu, X.-F. Palladium-Catalyzed Decarboxylative Carbonylative Transformation of Benzyl Aryl Carbonates: Direct Synthesis of Aryl 2-Arylacetates. Org. Lett. 2018, 20, 5938–5941. [Google Scholar] [CrossRef] [PubMed]
- Allmendinger, T.; Dandois, C.; Walliser, B. The Hydrogenation of Fluoroolefins. Tetrahedron Lett. 1991, 32, 2735–2736. [Google Scholar] [CrossRef]
- Inokuchi, E.; Narumi, T.; Niida, A.; Kobayashi, K.; Tomita, K.; Oishi, S.; Ohno, H.; Fujii, N. Efficient Synthesis of Trifluoromethyl and Related Trisubstituted Alkene Dipeptide Isosteres by Palladium-Catalyzed Carbonylation of Amino Acid Derived Allylic Carbonates. J. Org. Chem. 2008, 73, 3942–3945. [Google Scholar] [CrossRef]
- Das’ko, M.; Przybyłowska, M.; Rachon, J.; Masłyk, M.; Kubin’ski, K.; Misiak, M.; Składanowski, A.; Demkowicz, S. Synthesis and Biological Evaluation of Fluorinated N-Benzoyl and N -Phenylacetoyl Derivatives of 3-(4-Aminophenyl)-Coumarin-7-O-Sulfamate as Steroid Sulfatase Inhibitors. Eur. J. Med. Chem. 2017, 128, 79–87. [Google Scholar] [CrossRef]
- Yamauchi, Y.; Hara, S.; Senboku, H. Synthesis of 2-Aryl-3,3,3-Trifluoropropanoic Acids Using Electrochemical Carboxylation of (1- Bromo-2,2,2-Trifluoroethyl) Arenes and Its Application to the Synthesis of β,β,β-Trifluorinated Non-Steroidal Anti-Inflammatory Drugs. Tetrahedron 2010, 66, 473–479. [Google Scholar] [CrossRef]
- Yan, S.-J.; Huang, C.; Zeng, X.-H.; Huang, R.; Lin, J. Solvent-Free, Microwave Assisted Synthesis of Polyhalo Heterocyclic Ketene Aminals as Novel Anti-Cancer Agents. Bioorg. Med. Chem. Lett. 2010, 20, 48–51. [Google Scholar] [CrossRef]
- Nguyen, J.-T.; Kato, K.; Kumada, H.-O.; Hidaka, K.; Kimura, T.; Kiso, Y. Maintaining Potent HTLV-I Protease Inhibition without the P3-Cap Moiety in Small Tetrapeptidic Inhibitors. Bioorg. Med. Chem. Lett. 2011, 21, 1832–1837. [Google Scholar] [CrossRef]
- Ye, S.; Yoshida, S.; Fröhlich, R.; Haufe, G.; Kirk, K.L. Fluorinated Phenylcyclopropylamines. Part 4: Effects of Aryl Substituents and Stereochemistry on the Inhibition of Monoamine Oxidases by 1-Aryl-2-Fluoro-Cyclopropylamines. Bioorg. Med. Chem. 2005, 13, 2489–2499. [Google Scholar] [CrossRef]
- Su, H.; Xie, Y.; Liu, W.-B.; You, S.-L. Methyl-Monofluorination of Ibuprofen Selectively Increases Its Inhibitory Activity toward Cyclooxygenase-1 Leading to Enhanced Analgesic Activity and Reduced Gastric Damage in Vivo. Bioorg. Med. Chem. Lett. 2011, 21, 3578–3582. [Google Scholar] [CrossRef]
- Fujibayashi, K.; Sakamoto, K.; Watanabe, M.; Iizuka, Y. Pharmacological Properties of R-84760, a Novel κ-Opioid Receptor Agonist. Eur. J. Pharmacol. 1994, 261, 133–140. [Google Scholar] [CrossRef] [PubMed]
- Guo, T.; Gan, Z.; Chen, J.; Wang, D.; He, L.; Song, Q.; Xu, Y. Design, Synthesis and Biological Evaluation of Novel Tetrahydroisoquinoline Quaternary Derivatives as Peripheral κ-Opioid Receptor Agonists. Bioorg. Med. Chem. 2016, 24, 2964–2970. [Google Scholar] [CrossRef]
- Zhang, L.; Wang, J.; Chen, J.; Tao, Y.; Wang, Y.; Xu, X.; Chen, J.; Xu, Y.; Xi, T.; Hu, X.; et al. Novel κ-Opioid Receptor Agonist MB-1C-OH Produces Potent Analgesia with Less Depression and Sedation. Acta Pharm. Sin. 2015, 36, 565–571. [Google Scholar] [CrossRef] [PubMed]
- Bachar, S.C.; Nahar, L.; Sarker, S.D. Synthesis and Structure-Activity-Relationships of Indan Acid Derivatives as Analgesic and Anti-Inflammatory Agents. Ref. J. Chem. 2016, 6, 125–138. [Google Scholar] [CrossRef]
- Kiyoi, T.; Reid, M.; Francis, S.; Davies, K.; Laats, S.; McArthur, D.; Easson, A.-M.; Kiyoi, Y.; Tarver, G.; Caulfield, W.; et al. Synthesis of Hexahydro [2] Benzopyrano [3,4-c] Pyrroles as Serotonin 5-HT2C Receptor Agonists via Intramolecular Hetero Diels–Alder Reactions. Tetrahedron Lett. 2011, 52, 3413–3416. [Google Scholar] [CrossRef]
- Im, J.; Sterner, E.; Swager, T. Integrated Gas Sensing System of SWCNT and Cellulose Polymer Concentrator for Benzene, Toluene, and Xylenes. Sensors 2016, 16, 183. [Google Scholar] [CrossRef]
- Hsu, S.-M.; Wu, F.-Y.; Lai, T.-S.; Lin, Y.-C.; Lin, H.-C. Self-Assembly and Hydrogelation from Multicomponent Coassembly of Pentafluorobenzyl-Phenylalanine and Pentafluorobenzyl-Diphenylalanine. RSC Adv. 2015, 5, 22943–22946. [Google Scholar] [CrossRef]
- Talloj, S.K.; Cheng, B.; Weng, J.-P.; Lin, H.-C. Glucosamine-Based Supramolecular Nanotubes for Human Mesenchymal Cell Therapy. ACS Appl. Mater. Interfaces 2018, 10, 15079–15087. [Google Scholar] [CrossRef]
- Stoll, I.; Brockhinke, R.; Brockhinke, A.; Böttcher, M.; Koop, T.; Stammler, H.-G.; Neumann, B.; Niemeyer, A.; Hütten, A.; Mattay, J. 2-Aminopyrimidine-Silver (I) Based Hybrid Organic Polymers: Self-Assembly and Phase Transitions of a Novel Class of Electronic Material. Chem. Mater. 2010, 22, 4749–4755. [Google Scholar] [CrossRef]
- Belousov, Y.A.; Kiskin, M.A.; Sidoruk, A.V.; Varaksina, E.A.; Shmelev, M.A.; Gogoleva, N.V.; Taydakov, I.V.; Eremenko, I.L. Monometallic Ln3+ and heterometallic Ln3+–Cd2+ complexes based on pentafluorophenylacetic acid: Efficient control of dimension and luminescent properties. Aust. J. Chem. 2022, 75, 572–580. [Google Scholar] [CrossRef]
- Taydakov, I.V.; Kiskin, M.A. On the hydrolysis of diethyl 2-(perfluorophenyl) malonate. Org. Chem. 2020, 16, 1863–1868. [Google Scholar] [CrossRef] [PubMed]
- Beregovaya, I.V.; Karpov, V.M.; Mezhenkova, T.V.; Platonov, V.E.; Chuikov, I.P. Generation of perfluoro- and 1-chloropolyfluorobenzocycloalken-1-yl cations and their relative stability. Russ. J. Org. Chem. 2012, 48, 523–528. [Google Scholar] [CrossRef]
- Sinyakov, V.R.; Zonov, Y.V.; Karpov, V.M.; Beregovaya, I.V.; Platonov, V.E. Reactions of perfluorobenzocycloalkenes with ethyl cyanoacetate and methyllithium and some transformations of the products. Russ. J. Org. Chem. 2013, 49, 1010–1018. [Google Scholar] [CrossRef]
- Krasnov, V.I.; Platonov, V.E.; Beregovaya, I.V.; Shohegoleva, L.N. Transformations of perfluoroxylenes and perfluoro-p-cymene under the action of Zn(Cu)-D-DMF-H2O. Tetrahedron 1997, 53, 1797–1812. [Google Scholar] [CrossRef]
- Brooke, G.M.; Mawson, S.D. The attempted synthesis of polyparatetrafluorophenylene vinylene via water-soluble and organic solvent-soluble precursor polymers. J. Fluor. Chem. 1990, 50, 101–109. [Google Scholar] [CrossRef]
- Tashiro, M.; Fujimoto, H.; Tsuge, A.; Mataka, S.; Kobayashi, H. Metacyclophanes and related compounds. 23. Preparation of fluorinated [2,2]metacyclophanes. J. Org. Chem. 1989, 54, 2012–2015. [Google Scholar] [CrossRef]
- Karpov, V.M.; Platonov, V.E.; Chuikov, I.P.; Yakobson, G.G. Reactions of polyfluoroindans with aluminum chloride and some other Lewis acids. Synthesis of 1,1-dichloropolyfluoroindans. J. Org. Chem. USSR 1983, 19, 1880–1888. [Google Scholar]
- Barbour, A.K.; Buxton, M.W.; Coe, P.L.; Stephens, R.; Tatlow, J.C. 173. Aromatic Polyfluoro-Compounds. Part VIII. Pentafluorobenzaldehyde and Related Pentafluorophenyl Ketones and Carboxylic Acids. J. Chem. Soc. 1961, 808–817. [Google Scholar] [CrossRef]
- Wang, S.; Golokhvastova, D.S.; Zonov, Y.V.; Karpov, V.M.; Mezhenkova, T.V.; Gatilov, Y.V. Reduction of Perfluorinated Benzocycloalkenones and Other Polyfluoroaryl Ketones to Alcohols with LiBH4. Russ. J. Org. Chem. 2022, 58, 780–790. [Google Scholar] [CrossRef]
- Zonov, Y.V.; Mezhenkova, T.V.; Karpov, V.M.; Platonov, V.E. Reaction of perfluoro-1-methylindan with SiO2-SbF5. Russ. J. Org. Chem. 2008, 44, 1652–1656. [Google Scholar] [CrossRef]
- Zonov, Y.V.; Karpov, V.M.; Platonov, V.E.; Rybalova, T.V.; Gatilov, Y.V. Oxygen replacement by fluorine in carbonyl derivatives of perfluoroaromatic compounds and isomerization of perfluoroindan-1,3-dione to perfluoro-3-methylenephthalide under the action of HF/SbF5. J. Fluor. Chem. 2006, 127, 1574–1583. [Google Scholar] [CrossRef]
- Zonov, Y.V.; Karpov, V.M.; Platonov, V.E. Transformation of Perfluorinated Benzocycloalkenes and Alkylbenzenes to Their Carbonyl Derivatives under the Action of CF3COOH/SbF5. J. Fluor. Chem. 2007, 128, 1058–1064. [Google Scholar] [CrossRef]
- Pozdnyakovich, Yu.V.; Shteingarts, V.D. Fluorine-containing carbocations. IV. The use of salt solutions of stable polyfluorinated α,α-difluorobenzyl and α-fluorodiphenylmethyl cations in antimony pentafluoride in the synthesis of polyfluorinated benzoic acids, benzophenones and diphenyldifluoromethanes. J. Fluor. Chem. 1974, 4, 317–326. [Google Scholar] [CrossRef]
Disclaimer/Publisher’s Note: The statements, opinions and data contained in all publications are solely those of the individual author(s) and contributor(s) and not of MDPI and/or the editor(s). MDPI and/or the editor(s) disclaim responsibility for any injury to people or property resulting from any ideas, methods, instructions or products referred to in the content. |
© 2025 by the authors. Licensee MDPI, Basel, Switzerland. This article is an open access article distributed under the terms and conditions of the Creative Commons Attribution (CC BY) license (https://creativecommons.org/licenses/by/4.0/).














