2-(Trihydroxyphenyl)thienopyrimidinones as Key Scaffolds for Targeting a Novel Allosteric Site of HIV-1 Integrase
Abstract
1. Introduction
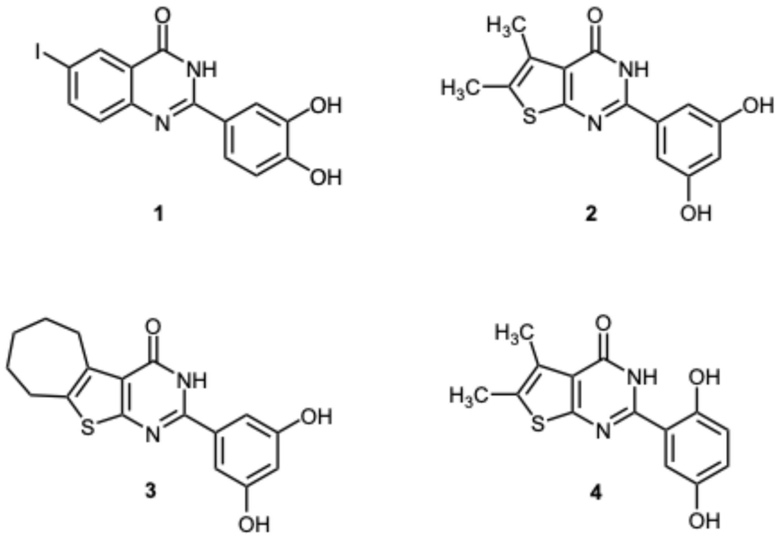
2. Results and Discussion
3. Materials and Methods
3.1. Chemistry
3.1.1. General
3.1.2. General Synthetic Procedure for Synthesis of 2-(Trihydroxyphenyl)Thieno[2,3-d]Pyrimidin-4(3H)-Ones 7–13
3.1.3. Characterization Data of All the Tested Compounds
3.2. In Silico Studies
3.2.1. Protein Preparation
- assignment of bond orders, particularly creating zero-order bonds to metals;
- addition of missing hydrogen atoms lost during crystallization;
- automatic creation of disulfide bridges;
- conversion of selenomethionine to methionine;
- rebuilding of missing loops and chain termini using the Prime module.
- Free N- and C-terminal residues were capped with acetyl (ACE) and methylamide (NMA) groups, respectively.
3.2.2. Binding Site Exploration
- -
- Crystallographic Ligand
- -
- Synthetic Ligands
3.2.3. Receptor Grid Generation
3.2.4. Docking Protocol
- Van der Waals radius scaling factor (for ligand): 0.80
- Partial charge cutoff: 0.15
- Penalization of states generated by Epik
- Post-docking energy minimization
- Recording interaction scores for all residues within a 12 Å cutoff from the ligand
3.2.5. Quantum Mechanical Docking Approach
3.2.6. Mutational Studies
- (1)
- The 6 and 10 BS
- (a)
- K173A: Lys173 demonstrated a strong energetic contribution to binding, though it also interacts with sucrose. Alanine was chosen to remove the charged side chain while minimizing steric perturbations.
- (b)
- Q95I: Gln95 contributed favorably to binding in 10–protein interactions and did not form optimal contacts with sucrose. Replacement with isoleucine was tested to observe significant energetic and pose changes.
- (c)
- Y99A: Tyr99 showed a relatively lower overall energy contribution but primarily interacted through its aromatic side chain. Mutation to alanine was chosen to reduce potential π-interactions and hydrogen bonding.
- (2)
- The unexplored BS
- (a)
- H185A: His185 exhibited a favorable interaction predominantly through its side chain. Ala185 was selected to remove the polar imidazole group and assess binding changes.
3.3. Biology
3.3.1. Site-Direct Mutagenesis on HIV-1 INs
3.3.2. Proteins Production
3.3.3. HTRF LEDGF/p75-Dependent and -Independent Assays
3.3.4. HTRF-Based IN-LEDGF/p75 Binding Assay
3.3.5. The HTRF-Based Assay to Monitor Higher-Order, Aberrant IN Multimerization or IN-IN Subunit Exchange
3.3.6. Antiviral Activity
4. Conclusions
Supplementary Materials
Author Contributions
Funding
Data Availability Statement
Acknowledgments
Conflicts of Interest
Abbreviations
| IN | Integrase |
| DNA | Deoxyribonucleic acid |
| ssRNA | Single strand RNA |
| NTD | N-terminal domain |
| CCD | Central catalytic core domain |
| CTD | C-terminal domain |
| LEDGF/p75 | Lens-epithelium-derived growth factor |
| INSTIs | Strand transfer inhibitors |
| ALLINIs | Allosteric integrase inhibitors |
| IBD | LEDGF/p75 Integrase Binding Pocket |
| SBS | Sucrose binding site |
| RT | ReverseTranscriptase |
| RNase H | Ribonuclease H |
| RdRp | RNA-dependent DNA polymerase |
| DEA | Diethylamine |
| MM | Molecular Mechanical |
| QM | Quantum Mechanical |
| ACE | Acetyl |
| DMSO | N,N-Dimethylsulfoxide |
| XP | Extra Precision |
| LEDGINs | LEDGF/p75 inhibitors |
| TLC | Thin-Layer Chromatography |
| NMA | Methylamide |
| ALLINIs | Allosteric HIV-1 integrase inhibitors |
| LYS | Lysine |
| ALA | Alanine |
| HIS | Histidine |
| NDDO | Neglect of diatomic differential overlap |
| GLN | Glutamine |
| TYR | Tyrosine |
| MM/GBSA | Generalised born and surface area solvation |
References
- Esposito, F.; Sechi, M.; Pala, N.; Sanna, A.; Koneru, P.C.; Kvaratskhelia, M.; Naesens, N.; Corona, A.; Grandi, N.; di Santo, R.; et al. Discovery of dihydroxyindole-2-carboxylic acid derivatives as dual allosteric HIV-1 Integrase and Reverse Transcriptase associated Ribonuclease H inhibitors. Antivir. Res. 2020, 174, 104671. [Google Scholar] [CrossRef] [PubMed]
- Polard, P.; Chandler, M. Bacterial transposases and retroviral integrases. Mol. Microbiol. 1995, 15, 13–23. [Google Scholar] [CrossRef] [PubMed]
- Zhao, X.Z.; Maddali, K.; Metifiot, M.; Smith, S.J.; Vu, B.C.; Marchand, C.; Hughes, S.H.; Pommier, Y.; Burke, T.R. Bicyclic hydroxy-1H-pyrrolopyridine-trione containing HIV-1 integrase inhibitors. Chem. Biol. Drug Des. 2012, 79, 157–165. [Google Scholar] [CrossRef] [PubMed]
- Vandegraaff, N.; Engelman, A. Molecular mechanisms of HIV integration and therapeutic intervention. Expert Rev. Mol. Med. 2007, 9, 1–19. [Google Scholar] [CrossRef]
- Krishnan, L.; Engelman, A. Retroviral integrase proteins and HIV-1 DNA integration. J. Biol. Chem. 2012, 287, 40858–40866. [Google Scholar] [CrossRef]
- Busschots, K.; Vercammen, J.; Emiliani, S.; Benarous, R.; Engelborghs, Y.; Christ, F.; Debyser, Z. The interaction of LEDGF/p75 with integrase is lentivirus-specific and promotes DNA binding. J. Biol. Chem. 2005, 280, 17841–17847. [Google Scholar] [CrossRef]
- Chamberlain, N.; Mena, L.; Brock, J.B. Case Report: Emergent Resistance in a Treatment-Naive Person With Human Immunodeficiency Virus Under Bictegravir-Based Therapy. Open Forum Infect. Dis. 2021, 8, ofab297. [Google Scholar] [CrossRef]
- Jentsch, N.G.; Hart, A.P.; Hume, J.D.; Sun, J.; McNeely, K.A.; Lama, C.; Pigza, J.A.; Donahue, M.G.; Kessl, J.J. Synthesis and Evaluation of Aryl Quinolines as HIV-1 Integrase Multimerization Inhibitors. ACS Med. Chem. Lett. 2018, 9, 1007–1012. [Google Scholar] [CrossRef]
- Sun, J.; Kessl, J.J. Optimizing the Multimerization Properties of Quinoline-Based Allosteric HIV-1 Integrase Inhibitors. Viruses 2024, 16, 200. [Google Scholar] [CrossRef]
- Global HIV, Hepatitis and STIs Programmes (HHS). HIV Drug Resistance: Brief Report 2024; World Health Organization: Geneva, Switzerland, 2024; ISBN 978-92-4-008631-9. Available online: https://www.who.int/publications/i/item/9789240086319 (accessed on 3 December 2025).
- Li, H.Y.; Zawahir, Z.; Song, L.D.; Long, Y.Q.; Neamati, N. Sequence-based design and discovery of peptide inhibitors of HIV-1 integrase: Insight into the binding mode of the enzyme. J. Med. Chem. 2006, 49, 4477–4486. [Google Scholar] [CrossRef]
- Shkriabai, N.; Patil, S.S.; Hess, S.; Budihas, S.R.; Craigie, R.; Burke, T.R., Jr.; Le Grice, S.F.; Kvaratskhelia, M. Identification of an inhibitor-binding site to HIV-1 integrase with affinity acetylation and mass spectrometry. Proc. Natl. Acad. Sci. USA 2004, 101, 6894–6899. [Google Scholar] [CrossRef] [PubMed]
- Kessl, J.J.; Eidahl, J.O.; Shkriabai, N.; Zhao, Z.; McKee, C.J.; Hess, S.; Burke, T.R., Jr.; Kvaratskhelia, M. An allosteric mechanism for inhibiting HIV-1 integrase with a small molecule. Mol. Pharmacol. 2009, 76, 824–832. [Google Scholar] [CrossRef] [PubMed]
- Kessl, J.J.; Jena, N.; Koh, Y.; Taskent-Sezgin, H.; Slaughter, A.; Feng, L.; de Silva, S.; Wu, L.; Le Grice, S.F.J.; Engelman, A.; et al. Multimode, cooperative mechanism of action of allosteric HIV-1 integrase inhibitors. J. Biol. Chem. 2012, 287, 16801–16811. [Google Scholar] [CrossRef] [PubMed]
- Feng, L.; Sharma, A.; Slaughter, A.; Jena, N.; Koh, Y.; Shkriabai, N.; Larue, R.C.; Patel, P.A.; Mitsuya, H.; Kessl, J.J.; et al. The A128T resistance mutation reveals aberrant protein multimerization as the primary mechanism of action of allosteric HIV-1 integrase inhibitors. J. Biol. Chem. 2013, 288, 15813–15820. [Google Scholar] [CrossRef]
- Shkriabai, N.; Dharmarajan, V.; Slaughter, A.; Kessl, J.J.; Larue, R.C.; Feng, L.; Fuchs, J.R.; Griffin, P.R.; Kvaratskhelia, M. A critical role of the C-terminal segment for allosteric inhibitor-induced aberrant multimerization of HIV-1 integrase. J. Biol. Chem. 2014, 289, 26430–26440. [Google Scholar] [CrossRef]
- Sharma, A.; Slaughter, A.; Jena, N.; Feng, L.; Kessl, J.J.; Fadel, H.J.; Malani, N.; Male, F.; Wu, L.; Poeschla, E.; et al. A new class of multimerization selective inhibitors of HIV-1 integrase. PLoS Pathog. 2014, 10, e1004171. [Google Scholar] [CrossRef]
- Cherepanov, P.; Ambrosio, A.L.; Rahman, S.; Ellenberger, T.; Engelman, A. Structural basis for the recognition between HIV-1 integrase and transcriptional coactivator p75. Proc. Natl. Acad. Sci. USA 2005, 102, 17308–17313. [Google Scholar] [CrossRef]
- Ciuffi, A.; Llano, M.; Poeschla, E.; Hoffmann, C.; Leipzig, J.; Shinn, P.; Ecker, J.R.; Bushman, F. A role for LEDGF/p75 in targeting HIV DNA integration. Nat. Med. 2005, 11, 1287–1289. [Google Scholar] [CrossRef]
- Shun, M.C.; Raghavendra, N.K.; Vandegraaff, N.; Daigle, J.E.; Hughes, S.; Kellam, P.; Cherepanov, P.; Engelman, A. LEDGF/p75 functions downstream from preintegration complex formation to effect gene-specific HIV-1 integration. Genes Dev. 2007, 21, 1767–1778. [Google Scholar] [CrossRef]
- Ferris, A.L.; Wu, X.; Hughes, C.M.; Stewart, C.; Smith, S.J.; Milne, T.A.; Wang, G.G.; Shun, M.C.; Allis, C.D.; Engelman, A.; et al. Lens epithelium-derived growth factor fusion proteins redirect HIV-1 DNA integration. Proc. Natl. Acad. Sci. USA 2010, 107, 3135–3140. [Google Scholar] [CrossRef]
- Christ, F.; Voet, A.; Marchand, A.; Nicolet, S.; Desimmie, B.A.; Marchand, D.; Bardiot, D.; Van der Veken, N.J.; Van Remoortel, B.; Strelkov, S.V.; et al. Rational design of small-molecule inhibitors of the LEDGF/p75-integrase interaction and HIV replication. Nat. Chem. Biol. 2010, 6, 442–448. [Google Scholar]
- Demeulemeester, J.; Chaltin, P.; Marchand, A.; De Maeyer, M.; Debyser, Z.; Christ, F.; Maeyer, M.; De Debyser, Z.; Christ, F. LEDGINs, non-catalytic site inhibitors of HIV-1 integrase: A patent review (2006–2014). Expert Opin. Ther. Pat. 2014, 24, 609–632. [Google Scholar] [CrossRef] [PubMed]
- Christ, F.; Shaw, S.; Demeulemeester, J.; Desimmie, B.A.; Marchand, A.; Butler, S.; Smets, W.; Chaltin, P.; Westby, M.; Debyser, Z.; et al. Small molecule inhibitors of the LEDGF/p75 binding site of integrase (LEDGINs) block HIV replication and modulate integrase multimerization. Antimicrob. Agents Chemother. 2012, 56, 4365–4374. [Google Scholar] [PubMed]
- Le Rouzic, E.; Bonnard, D.; Chasset, S.; Bruneau, J.-M.M.; Chevreuil, F.; Le Strat, F.; Nguyen, J.; Beauvoir, R.; Amadori, C.; Brias, J.; et al. Dual inhibition of HIV-1 replication by integrase-LEDGF allosteric inhibitors is predominant at the post-integration stage. Retrovirology 2013, 10, 144. [Google Scholar] [CrossRef]
- Fader, L.D.; Malenfant, E.; Parisien, M.; Carson, R.; Bilodeau, F.; Landry, S.; Pesant, M.; Brochu, C.; Morin, S.; Chabot, C.; et al. Discovery of BI 224436, a noncatalytic site integrase inhibitor (NCINI) of HIV-1. ACS Med. Chem. Lett. 2014, 5, 422–427. [Google Scholar] [CrossRef]
- Bruggemans, A.; Vansant, G.; Balakrishnan, M.; Mitchell, M.L.; Cai, R.; Christ, F.; Debyser, Z. GS-9822, a preclinical LEDGIN candidate, displays a block-and-lock phenotype in cell culture. Antimicrob. Agents Chemother. 2023, 65, e02328-20. [Google Scholar] [CrossRef]
- Sugiyama, S.; Akiyama, T.; Taoda, Y.; Iwaki, T.; Matsuoka, E.; Akihisa, E.; Seki, T.; Yoshinaga, T.; Kawasuji, T. Discovery of novel HIV-1 integrase-LEDGF/p75 allosteric inhibitors based on a pyridine scaffold forming an intramolecular hydrogen bond. Bioorg. Med. Chem. Lett. 2021, 33, 127742. [Google Scholar] [CrossRef]
- Sugiyama, S.; Iwaki, T.; Tamura, Y.; Tomita, K.; Matsuoka, E.; Arita, S.; Seki, T.; Yoshinaga, T.; Kawasuji, T. Discovery of novel integrase-LEDGF/p75 allosteric inhibitors based on a benzene scaffold. Bioorg. Med. Chem. 2020, 28, 115643. [Google Scholar] [CrossRef]
- Wielens, J.; Headey, S.J.; Jeevarajah, D.; Rhodes, D.I.; Deadman, J.; Chalmers, D.K.; Scanlon, M.J.; Parker, M.W. Crystal structure of the HIV-1 integrase core domain in complex with sucrose reveals details of an allosteric inhibitory binding site. FEBS Lett. 2010, 584, 1455–1462. [Google Scholar] [CrossRef]
- Tintori, C.; Esposito, F.; Morreale, F.; Martini, R.; Tramontano, E.; Botta, M. Investigation on the sucrose binding pocket of HIV-1 Integrase by molecular dynamics and synergy experiments. Bioorg. Med. Chem. Lett. 2015, 25, 3013–3016. [Google Scholar] [CrossRef]
- Esposito, F.; Tintori, C.; Martini, R.; Christ, F.; Debyser, Z.; Ferrarese, R.; Cabiddu, G.; Corona, A.; Ceresola, E.R.; Calcaterra, A.; et al. Kuwanon-L as a New Allosteric HIV-1 Integrase Inhibitor: Molecular Modeling and Biological Evaluation. ChemBioChem 2015, 16, 2507–2512. [Google Scholar] [CrossRef]
- Martini, R.; Esposito, F.; Corona, A.; Ferrarese, R.; Ceresola, E.R.; Visconti, L.; Tintori, C.; Barbieri, A.; Calcaterra, A.; Iovine, V.; et al. Natural Product Kuwanon-L Inhibits HIV-1 Replication through Multiple Target Binding. ChemBioChem 2017, 18, 374–377. [Google Scholar] [CrossRef]
- Tocco, G.; Esposito, F.; Caboni, P.; Laus, A.; Beutler, J.A.; Wilson, J.A.; Corona, A.; Le Grice, S.F.J.; Tramontano, E. Scaffold hopping and optimisation of 3′,4′-dihydroxyphenyl- containing thienopyrimidinones: Synthesis of quinazolinone derivatives as novel allosteric inhibitors of HIV-1 reverse transcriptase-associated ribonuclease H. J. Enzym. Inhib. Med. Chem. 2020, 35, 1953–1963. [Google Scholar] [CrossRef] [PubMed]
- Tocco, G.; Canton, S.; Laus, A.; Caboni, P.; Le Grice, S.F.J.; Tramontano, E.; Esposito, F. Dihydroxyphenyl- and Heteroaromatic-Based Thienopyrimidinones to Tackle HIV-1 LEDGF/p75-Dependent IN Activity. Molecules 2023, 28, 6700. [Google Scholar] [CrossRef] [PubMed]
- Masaoka, T.; Chung, S.; Caboni, P.; Rausch, J.W.; Wilson, J.A.; Taskent-Sezgin, H.; Beutler, J.A.; Tocco, G.; Le Grice, S.F. Exploiting drug-resistant enzymes as tools to identify thienopyrimidinone inhibitors of human immunodeficiency virus reverse transcriptase-associated ribonuclease H. J. Med. Chem. 2013, 56, 5436–5445. [Google Scholar] [CrossRef]
- Halgren, T.A. Identifying and characterizing binding sites and assessing druggability. J. Chem. Inf. Model. 2009, 49, 377–389. [Google Scholar] [CrossRef] [PubMed]
- Carcelli, M.; Rogolino, D.; Gatti, A.; Pala, N.; Corona, A.; Caredda, A.; Tramontano, E.; Pannecoque, C.; Naesens, L.; Esposito, F. Chelation motifs affecting metal-dependent viral enzymes: N’-acylhydrazone ligands as dual target inhibitors of HIV-1 integrase and reverse transcriptase ribonuclease H domain. Front. Microbiol. 2017, 8, 440. [Google Scholar] [CrossRef]
- Sanna, C.; Marengo, A.; Acquadro, S.; Caredda, A.; Lai, R.; Corona, A.; Tramontano, E.; Rubiolo, P.; Esposito, F. In vitro anti-HIV-1 reverse transcriptase and integrase properties of punica granatum L. Leaves, bark, and peel extracts and their main compounds. Plants 2021, 10, 2124. [Google Scholar] [CrossRef]
- Weislow, O.S.; Kiser, R.; Fine, D.L.; Bader, J.; Shoemaker, R.H.; Boyd, M.R. New soluble-formazan assay for HIV-1 cytopathic effects: Application to high-flux screening of synthetic and natural products for AIDS-antiviral activity. J. Natl. Cancer Inst. 1989, 81, 577–586, Erratum in J. Natl. Cancer Inst. 1989, 81, 963. [Google Scholar] [CrossRef]








| Compound | a IC50 (μM) |
|---|---|
![]() | 8.0 ± 2.00 |
![]() | 0.45 ± 0.09 |
![]() | 6.1 ± 1.6 |
![]() | 11.75 ± 1.85 |
![]() | 0.97 ± 0.035 |
![]() | 0.31 ± 0.035 |
![]() | 5.2 ± 1.20 |
![]() | 1.96 ± 0.125 |
![]() | 0.87 ± 0.045 |
| LEDGIN-6 | 9.0 ± 2.0 |
| Compound | a IC50 (μM) |
|---|---|
| 5 | 5.35 ± 0.55 |
| 6 | 0.76 ± 0.01 |
| 9 | 0.99 ± 0.09 |
| 10 | 3.6 ± 0.39 |
| 12 | 0.86 ± 0.14 |
| 13 | 1.12 ± 0.22 |
| LEDGIN-6 | 10.0 ± 2.0 |
| Compound | IC50 IN LEDGF/p75-Dependent Integration a (μM) | IC50 IN LEDGF/p75-Independent Integration b (μM) | IC50 IN/LEDGF/p75 Binding c (μM) | MI50 IN Multimerization d (μM) | IC50 IN-IN Subunit Exchange e (μM) |
|---|---|---|---|---|---|
| 6 | 0.45 ± 0.09 | 0.76 ± 0.01 | 75 ± 12 | - | 5.45 ± 0.05 |
| 9 | 0.965 ± 0.035 | 0.99 ± 0.09 | >100 (100%) | - | 6.35 ± 1.35 |
| 10 | 0.315 ± 0.035 | 3.6 ± 0.39 | 6.16 ± 0.98 | - | 2.05 ± 0.35 |
| 12 | 1.96 ± 0.125 | 0.86 ± 0.14 | 24.75 ± 1.75 | - | 17.3 ± 1.70 |
| LEDGIN-6 | 9.0 ± 2.0 | 10.0 ± 0.5 | 10.0 ± 0.4 | 10.0 ± 1.0 | >100 (100%) |
| Compound | HIV-1 IN a IC50 (μM) | |
|---|---|---|
| Alone | With Sucrose | |
| 10 | 0.315 ± 0.035 | 0.02 ± 0.001 |
| 6 | 0.45 ± 0.09 | 4.50 ± 0.002 |
| Compound | HIV-1 IN K173A Mutant a IC50 (μM) Alone | HIV-1 IN K173A Mutant a IC50 (μM) with Sucrose | Fold of Increase of Potency |
|---|---|---|---|
| 6 | 6.50 ± 1.70 | 0.20 ± 0.00013 | 32.5 |
| 10 | 3.30 ± 0.86 | 0.25 ± 0.003 | 13.2 |
| Compound | HIV-1 IN H185A Mutant a IC50 (μM) Alone | HIV-1 IN H185A Mutant a IC50 (μM) with Sucrose | Fold of Increase of Potency |
|---|---|---|---|
| 6 | 4.64 ± 0.70 | 0.48 ± 0.08 | 9.7 |
| 10 | 2.27 ± 0.43 | 0.61 ± 0.022 | 3.7 |
Disclaimer/Publisher’s Note: The statements, opinions and data contained in all publications are solely those of the individual author(s) and contributor(s) and not of MDPI and/or the editor(s). MDPI and/or the editor(s) disclaim responsibility for any injury to people or property resulting from any ideas, methods, instructions or products referred to in the content. |
© 2025 by the authors. Licensee MDPI, Basel, Switzerland. This article is an open access article distributed under the terms and conditions of the Creative Commons Attribution (CC BY) license (https://creativecommons.org/licenses/by/4.0/).
Share and Cite
Tocco, G.; Laus, A.; Casula, M.; Caboni, P.; Beutler, J.A.; Tramontano, E.; Esposito, F. 2-(Trihydroxyphenyl)thienopyrimidinones as Key Scaffolds for Targeting a Novel Allosteric Site of HIV-1 Integrase. Molecules 2025, 30, 4709. https://doi.org/10.3390/molecules30244709
Tocco G, Laus A, Casula M, Caboni P, Beutler JA, Tramontano E, Esposito F. 2-(Trihydroxyphenyl)thienopyrimidinones as Key Scaffolds for Targeting a Novel Allosteric Site of HIV-1 Integrase. Molecules. 2025; 30(24):4709. https://doi.org/10.3390/molecules30244709
Chicago/Turabian StyleTocco, Graziella, Antonio Laus, Mattia Casula, Pierluigi Caboni, John A. Beutler, Enzo Tramontano, and Francesca Esposito. 2025. "2-(Trihydroxyphenyl)thienopyrimidinones as Key Scaffolds for Targeting a Novel Allosteric Site of HIV-1 Integrase" Molecules 30, no. 24: 4709. https://doi.org/10.3390/molecules30244709
APA StyleTocco, G., Laus, A., Casula, M., Caboni, P., Beutler, J. A., Tramontano, E., & Esposito, F. (2025). 2-(Trihydroxyphenyl)thienopyrimidinones as Key Scaffolds for Targeting a Novel Allosteric Site of HIV-1 Integrase. Molecules, 30(24), 4709. https://doi.org/10.3390/molecules30244709










