Volatile Organic Compounds Induced upon Viral Infection in Cell Culture: Uniform Background Study with Use of Viruses from Different Families
Abstract
1. Introduction
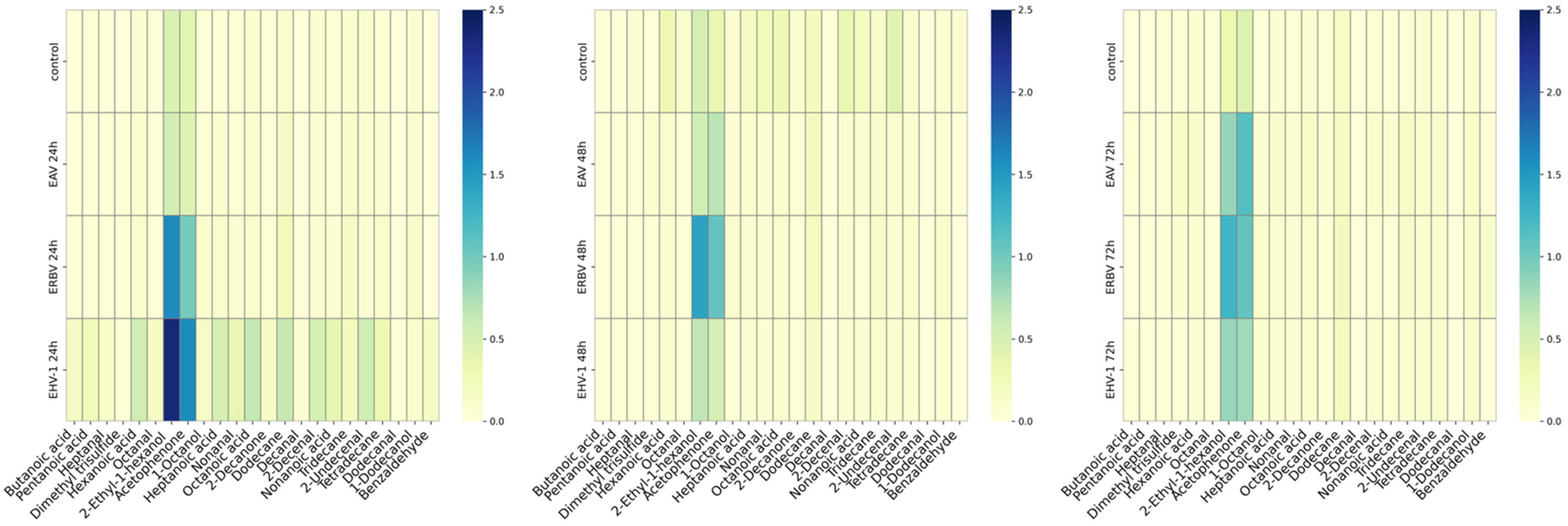
2. Results
3. Discussion
4. Summary
5. Study Limitations
6. Materials and Methods
6.1. Cell Lines
6.2. Viruses
6.3. Titration
6.4. Cell Viability Assay
6.5. GC-MS Sample Preparation
6.6. Headspace Solid-Phase Microextraction (HS-SPME)
6.7. Determination of VOCs
6.8. Statistical Analysis
Supplementary Materials
Author Contributions
Funding
Institutional Review Board Statement
Data Availability Statement
Acknowledgments
Conflicts of Interest
Abbreviations
| VOC | Volatile organic compound |
| CPE | Cytopathic effect |
| EHV-1 | Equine herpesvirus 1 |
| EAV | Equine arteritis virus |
| ERBV | Equine rhinitis B virus |
| TCID50 | Tissue culture infectious dose 50 |
| MOI | Multiplicity of infection |
| RK-13 | Rabbit kidney 13 |
| GC-MS | Gas chromatography–mass spectrometry |
| GC-IMS | Gas chromatography–ion mobility spectrometry |
| PCA | Principal component analysis |
References
- Shirasu, M.; Touhara, K. The Scent of Disease: Volatile Organic Compounds of the Human Body Related to Disease and Disorder. J. Biochem. 2011, 150, 257–266. [Google Scholar] [CrossRef]
- Kafeenah, H.; Eze, M.O. Trends in volatile organic compound-based metabolomics for biomarker discovery. Microchem. J. 2025, 213, n113700. [Google Scholar] [CrossRef]
- Gouzerh, F.; Ganem, G.; Pichevin, A.; Dormont, L.; Thomas, F. Ability of Animals to Detect Cancer Odors. Biochim. Biophys. Acta (BBA)-Rev. Cancer 2023, 1878, 188850. [Google Scholar] [CrossRef] [PubMed]
- Filipiak, W.; Mochalski, P.; Filipiak, A.; Ager, C.; Cumeras, R.; Davis, C.E.; Agapiou, A.; Unterkofler, K.; Troppmair, J. A Compendium of Volatile Organic Compounds (VOCs) Released by Human Cell Lines. Curr. Med. Chem. 2016, 23, 2112–2131. [Google Scholar] [CrossRef]
- Thorn, R.M.S.; Greenman, J. Microbial Volatile Compounds in Health and Disease Conditions. J. Breath Res. 2012, 6, 24001. [Google Scholar] [CrossRef]
- Abd El Qader, A.; Lieberman, D.; Shemer Avni, Y.; Svobodin, N.; Lazarovitch, T.; Sagi, O.; Zeiri, Y. Volatile Organic Compounds Generated by Cultures of Bacteria and Viruses Associated with Respiratory Infections. Biomed. Chromatogr. 2015, 29, 1783–1790. [Google Scholar] [CrossRef]
- Sumbria, D.; Berber, E.; Mathayan, M.; Rouse, B.T. Virus Infections and Host Metabolism—Can We Manage the Interactions? Front. Immunol. 2021, 11, 594963. [Google Scholar] [CrossRef] [PubMed]
- Sethi, S.; Nanda, R.; Chakraborty, T. Clinical Application of Volatile Organic Compound Analysis for Detecting Infectious Diseases. Clin. Microbiol. Rev. 2013, 26, 462–475. [Google Scholar] [CrossRef]
- Amann, A.; de Lacy Costello, B.; Miekisch, W.; Schubert, J.; Buszewski, B.; Pleil, J.; Ratcliffe, N.; Risby, T. The Human Volatilome: Volatile Organic Compounds (VOCs) in Exhaled Breath, Skin Emanations, Urine, Feces and Saliva. J. Breath Res. 2014, 8, 34001. [Google Scholar] [CrossRef]
- Boots, A.W.; Bos, L.D.; van der Schee, M.P.; van Schooten, F.-J.; Sterk, P.J. Exhaled Molecular Fingerprinting in Diagnosis and Monitoring: Validating Volatile Promises. Trends Mol. Med. 2015, 21, 633–644. [Google Scholar] [CrossRef]
- Schivo, M.; Aksenov, A.A.; Linderholm, A.L.; McCartney, M.M.; Simmons, J.; Harper, R.W.; Davis, C.E. Volatile Emanations from in Vitro Airway Cells Infected with Human Rhinovirus. J. Breath Res. 2014, 8, 37110. [Google Scholar] [CrossRef]
- Aksenov, A.A.; Sandrock, C.E.; Zhao, W.; Sankaran, S.; Schivo, M.; Harper, R.; Cardona, C.J.; Xing, Z.; Davis, C.E. Cellular Scent of Influenza Virus Infection. ChemBioChem 2014, 15, 1040–1048. [Google Scholar] [CrossRef]
- Purcaro, G.; Rees, C.A.; Wieland-Alter, W.F.; Schneider, M.J.; Wang, X.; Stefanuto, P.-H.; Wright, P.F.; Enelow, R.I.; Hill, J.E. Volatile Fingerprinting of Human Respiratory Viruses from Cell Culture. J. Breath Res. 2018, 12, 26015. [Google Scholar] [CrossRef]
- Kamal, F.; Kumar, S.; Edwards, M.R.; Veselkov, K.; Belluomo, I.; Kebadze, T.; Romano, A.; Trujillo-Torralbo, M.-B.; Shahridan Faiez, T.; Walton, R.; et al. Virus-Induced Volatile Organic Compounds Are Detectable in Exhaled Breath during Pulmonary Infection. Am. J. Respir. Crit. Care Med. 2021, 204, 1075–1085. [Google Scholar] [CrossRef]
- Feuerherd, M.; Sippel, A.-K.; Erber, J.; Baumbach, J.I.; Schmid, R.M.; Protzer, U.; Voit, F.; Spinner, C.D. A Proof of Concept Study for the Differentiation of SARS-CoV-2, HCoV-NL63, and IAV-H1N1 in Vitro Cultures Using Ion Mobility Spectrometry. Sci. Rep. 2021, 11, 20143. [Google Scholar] [CrossRef]
- Mougang, Y.K.; Di Zazzo, L.; Minieri, M.; Capuano, R.; Catini, A.; Legramante, J.M.; Paolesse, R.; Bernardini, S.; Di Natale, C. Sensor Array and Gas Chromatographic Detection of the Blood Serum Volatolomic Signature of COVID-19. iScience 2021, 24, 102851. [Google Scholar] [CrossRef]
- Lichtenstein, M.; Turjerman, S.; Pinto, J.M.; Barash, O.; Koren, O. Pathophysiology of SARS-CoV-2 Infection in the Upper Respiratory Tract and Its Relation to Breath Volatile Organic Compounds. mSystems 2021, 6, 10.1128/msystems.00104-21. [Google Scholar] [CrossRef]
- Manchester, M.; Anand, A. Metabolomics: Strategies to Define the Role of Metabolism in Virus Infection and Pathogenesis. Adv. Virus Res. 2017, 98, 57–81. [Google Scholar]
- Long, G.A.; Xu, Q.; Sunkara, J.; Woodbury, R.; Brown, K.; Huang, J.J.; Xie, Z.; Chen, X.; Fu, X.; Huang, J. A Comprehensive Meta-Analysis and Systematic Review of Breath Analysis in Detection of COVID-19 through Volatile Organic Compounds. Diagn. Microbiol. Infect. Dis. 2024, 109, 116309. [Google Scholar] [CrossRef] [PubMed]
- Arthur, C.L.; Pawliszyn, J. Solid Phase Microextraction with Thermal Desorption Using Fused Silica Optical Fibers. Anal. Chem. 1990, 62, 2145–2148. [Google Scholar] [CrossRef]
- Bojko, B.; Reyes-Garcés, N.; Bessonneau, V.; Goryński, K.; Mousavi, F.; Silva, E.A.S.; Pawliszyn, J. Solid-Phase Microextraction in Metabolomics. TrAC Trends Anal. Chem. 2014, 61, 168–180. [Google Scholar] [CrossRef]
- Beale, D.J.; Pinu, F.R.; Kouremenos, K.A.; Poojary, M.M.; Narayana, V.K.; Boughton, B.A.; Kanojia, K.; Dayalan, S.; Jones, O.A.H.; Dias, D.A. Review of Recent Developments in GC–MS Approaches to Metabolomics-Based Research. Metabolomics 2018, 14, 152. [Google Scholar] [CrossRef]
- MacLachlan, N.J.; Balasuriya, U.B. Equine Viral Arteritis. In The Nidoviruses; Perlman, S., Holmes, K.V., Eds.; Springer US: Boston, MA, USA, 2006; pp. 429–433. [Google Scholar]
- Khusro, A.; Aarti, C.; Rivas-Caceres, R.R.; Barbabosa -Pliego, A. Equine Herpesvirus-I Infection in Horses: Recent Updates on Its Pathogenicity, Vaccination, and Preventive Management Strategies. J. Equine Vet. Sci. 2020, 87, 102923. [Google Scholar] [CrossRef] [PubMed]
- Wutz, G.; Auer, H.; Nowotny, N.; Grosse, B.; Skern, T.; Kuechler, E. Equine Rhinovirus Serotypes 1 and 2: Relationship to Each Other and to Aphthoviruses and Cardioviruses. J. Gen. Virol. 1996, 77, 1719–1730. [Google Scholar] [CrossRef] [PubMed]
- Sun, D.; Wen, X.; Wang, M.; Mao, S.; Cheng, A.; Yang, X.; Jia, R.; Chen, S.; Yang, Q.; Wu, Y.; et al. Apoptosis and Autophagy in Picornavirus Infection. Front. Microbiol. 2019, 10, 2032. [Google Scholar] [CrossRef]
- Stasiak, K.; Dunowska, M.; Rola, J. Prevalence and Sequence Analysis of Equine Rhinitis Viruses among Horses in Poland. Viruses 2024, 16, 1204. [Google Scholar] [CrossRef]
- World Organisation for Animal Health (WOAH). Equine Viral Arteritis (Infection with Equine Arteritis Virus). In WOAH Terrestrial Manual 2024; World Organisation for Animal Health (WOAH): Paris, France, 2024. [Google Scholar]
- World Organisation for Animal Health (WOAH). Equine Rhinopneumonitis (Infection with Varicellovirus Equidalpha1). In WOAH Terrestrial Manual 2024; World Organisation for Animal Health (WOAH): Paris, France, 2024. [Google Scholar]
- Lin, J.-Y.; Chen, T.-C.; Weng, K.-F.; Chang, S.-C.; Chen, L.-L.; Shih, S.-R. Viral and Host Proteins Involved in Picornavirus Life Cycle. J. Biomed. Sci. 2009, 16, 103. [Google Scholar] [CrossRef]
- Kerr, S.-L.; Mathew, C.; Ghildyal, R. Rhinovirus and Cell Death. Viruses 2021, 13, 629. [Google Scholar] [CrossRef] [PubMed]
- Snijder, E.J.; Kikkert, M.; Fang, Y. Arterivirus Molecular Biology and Pathogenesis. J. Gen. Virol. 2013, 94, 2141–2163. [Google Scholar] [CrossRef]
- van der Hoeven, B.; Oudshoorn, D.; Koster, A.J.; Snijder, E.J.; Kikkert, M.; Bárcena, M. Biogenesis and Architecture of Arterivirus Replication Organelles. Virus Res. 2016, 220, 70–90. [Google Scholar] [CrossRef]
- Knoops, K.; Bárcena, M.; Limpens, R.W.A.L.; Koster, A.J.; Mommaas, A.M.; Snijder, E.J. Ultrastructural Characterization of Arterivirus Replication Structures: Reshaping the Endoplasmic Reticulum to Accommodate Viral RNA Synthesis. J. Virol. 2012, 86, 2474–2487. [Google Scholar] [CrossRef] [PubMed]
- Camini, F.C.; da Silva Caetano, C.C.; Almeida, L.T.; de Brito Magalhães, C.L. Implications of Oxidative Stress on Viral Pathogenesis. Arch. Virol. 2017, 162, 907–917. [Google Scholar] [CrossRef]
- Bażanów, B.; Michalczyk, K.; Kafel, A.; Chełmecka, E.; Skrzep-Poloczek, B.; Chwirot, A.; Nikiel, K.; Olejnik, A.; Suchocka, A.; Kukla, M.; et al. The Effects of Different Respiratory Viruses on the Oxidative Stress Marker Levels in an In Vitro Model: A Pilot Study. Int. J. Mol. Sci. 2024, 25, 12088. [Google Scholar] [CrossRef]
- Sinha, R.; Lockman, K.A.; Homer, N.Z.M.; Bower, E.; Brinkman, P.; Knobel, H.H.; Fallowfield, J.A.; Jaap, A.J.; Hayes, P.C.; Plevris, J.N. Volatomic Analysis Identifies Compounds That Can Stratify Non-Alcoholic Fatty Liver Disease. JHEP Rep. 2020, 2, 100137. [Google Scholar] [CrossRef]
- Zhang, H.; Zhu, Y.; Liu, Z.; Peng, Y.; Peng, W.; Tong, L.; Wang, J.; Liu, Q.; Wang, P.; Cheng, G. A Volatile from the Skin Microbiota of Flavivirus-Infected Hosts Promotes Mosquito Attractiveness. Cell 2022, 185, 2510–2522.e16. [Google Scholar] [CrossRef] [PubMed]
- Lange, P.T.; Lagunoff, M.; Tarakanova, V.L. Chewing the Fat: The Conserved Ability of DNA Viruses to Hijack Cellular Lipid Metabolism. Viruses 2019, 11, 119. [Google Scholar] [CrossRef]
- Kriegshäuser, G.; Hoey, E.M. Erbovirus BT—The Springer Index of Viruses; Tidona, C., Darai, G., Eds.; Springer: New York, NY, USA, 2011; pp. 1301–1305. ISBN 978-0-387-95919-1. [Google Scholar]
- Ritter, J.B.; Wahl, A.S.; Freund, S.; Genzel, Y.; Reichl, U. Metabolic Effects of Influenza Virus Infection in Cultured Animal Cells: Intra- and Extracellular Metabolite Profiling. BMC Syst. Biol. 2010, 4, 61. [Google Scholar] [CrossRef]
- Heaton, N.S.; Perera, R.; Berger, K.L.; Khadka, S.; LaCount, D.J.; Kuhn, R.J.; Randall, G. Dengue Virus Nonstructural Protein 3 Redistributes Fatty Acid Synthase to Sites of Viral Replication and Increases Cellular Fatty Acid Synthesis. Proc. Natl. Acad. Sci. USA 2010, 107, 17345–17350. [Google Scholar] [CrossRef] [PubMed]
- Greenacre, M.; Groenen, P.J.F.; Hastie, T.; D’Enza, A.I.; Markos, A.; Tuzhilina, E. Principal Component Analysis. Nat. Rev. Methods Primers 2022, 2, 100. [Google Scholar] [CrossRef]
- Fitzgerald, S.; Holland, L.; Morrin, A. An Investigation of Stability and Species and Strain-Level Specificity in Bacterial Volatilomes. Front. Microbiol. 2021, 12, 693075. [Google Scholar] [CrossRef]
- McCartney, M.M.; Yamaguchi, M.S.; Bowles, P.A.; Gratch, Y.S.; Iyer, R.K.; Linderholm, A.L.; Ebeler, S.E.; Kenyon, N.J.; Schivo, M.; Harper, R.W.; et al. Volatile Organic Compound (VOC) Emissions of CHO and T Cells Correlate to Their Expansion in Bioreactors. J. Breath Res. 2020, 14, 16002. [Google Scholar] [CrossRef] [PubMed]




| No. | VOC Name | Experimental LRI | Literature LRI | ΔLRI | MS Match (%) | Key Ions (m/z) | CAS | Molecular Formula | Comments |
|---|---|---|---|---|---|---|---|---|---|
| 1. | Butanoic acid | 805 | 803 | −2 | 90 | 60, 73, 88 | 107-92-6 | C4H8O2 | Significantly elevated 24 h p.i. with EHV-1. |
| 2. | Pentanoic acid | 897 | 901 | 4 | 91 | 60, 73, 87 | 109-52-4 | C5H10O2 | |
| 3. | Heptanal | 902 | 901 | −1 | 81 | 55, 70 | 111-71-7 | C7H14O | Elevated in SARS-CoV-2 studies. [19] |
| 4. | Benzaldehyde | 967 | 962 | −5 | 95 | 77, 105, 106 | 100-52-7 | C7H6O | Significantly elevated 72 h p.i. with EAV. |
| 5. | Dimethyl trisulfide | 975 | 971 | −4 | 85 | 60, 126 | 3658-80-8 | C2H6S3 | Absent in medium. |
| 6. | Hexanoic acid | 987 | 990 | 3 | 95 | 60, 101, 115 | 142-62-1 | C6H12O2 | |
| 7. | Octanal | 1004 | 1003 | −1 | 86 | 70, 110 | 124-13-0 | C8H16O | Elevated in SARS-CoV-2 studies [19] |
| 8. | 2-ethyl-1-hexanol | 1032 | 1030 | −2 | 95 | 70, 157 | 104-76-7 | C8H18O | Elevated in infected cells in this study. Reported in cancer research studies. [4] RSV-infected cells. [13] |
| 9. | Acetophenone | 1071 | 1066 | −5 | 97 | 77, 105 | 98-86-2 | C8H8O | Elevated in infected cells in this study. Elevated in Zika virus-infected mice [30] |
| 10. | 1-Octanol | 1075 | 1070 | −5 | 92 | 55, 70, 130 | 111-87-5 | C8H18O | Significantly elevated 24 h p.i. with EHV-1 and ERBV. |
| 11. | Heptanoic acid | 1079 | 1078 | −1 | 89 | 87, 101, 129 | 111-14-8 | C7H14O2 | |
| 12. | Nonanal | 1106 | 1104 | −2 | 96 | 57, 70, 98 | 124-19-6 | C9H18O | Elevated in SARS-CoV-2 studies. [19] |
| 13. | Octanoic acid | 1176 | 1180 | 4 | 82 | 101, 115, 143 | 124-07-2 | C8H16O2 | |
| 14. | 2-Decanone | 1194 | 1193 | −1 | 87 | 71, 170 | 693-54-9 | C10H20O | |
| 15. | Dodecane | 1199 | 1200 | 1 | 96 | 57, 71, 170 | 112-40-3 | C12H26 | |
| 16. | Decanal | 1206 | 1206 | 0 | 96 | 70, 95, 155 | 112-31-2 | C10H20O | |
| 17. | 2-Decenal | 1263 | 1263 | 0 | 92 | 69, 83, 153 | 3913-71-1 | C10H18O | |
| 18. | Nonanoic acid | 1268 | 1273 | 5 | 94 | 87, 101, 129 | 112-05-0 | C9H18O2 | |
| 19. | 2-Undecanone | 1294 | 1294 | 0 | 96 | 43, 58, 71 | 112-12-9 | C11H22O | Internal standard |
| 20. | Tridecane | 1298 | 1300 | 2 | 96 | 57, 71, 85 | 629-50-5 | C13H28 | |
| 21. | 2-Undecenal | 1364 | 1367 | 3 | 86 | 83, 124 | 2463-77-6 | C11H20O | |
| 22. | Tetradecane | 1397 | 1400 | 3 | 97 | 83, 113 | 629-59-4 | C14H30 | |
| 23. | Dodecanal | 1408 | 1409 | 1 | 93 | 57, 70, 156 | 112-54-9 | C12H24O | Significantly elevated 24 h p.i. in EHV-1 and 48 h p.i. with ERBV. |
| 24. | 1-Dodecanol | 1476 | 1474 | −2 | 92 | 55, 70, 168 | 112-53-8 | C12H26O |
Disclaimer/Publisher’s Note: The statements, opinions and data contained in all publications are solely those of the individual author(s) and contributor(s) and not of MDPI and/or the editor(s). MDPI and/or the editor(s) disclaim responsibility for any injury to people or property resulting from any ideas, methods, instructions or products referred to in the content. |
© 2025 by the authors. Licensee MDPI, Basel, Switzerland. This article is an open access article distributed under the terms and conditions of the Creative Commons Attribution (CC BY) license (https://creativecommons.org/licenses/by/4.0/).
Share and Cite
Matczuk, A.K.; Wolska, J.; Olszowy, M.; Kublicka, A.; Szumowski, A.; Kokocińska-Alexandre, A.; Dzięcioł, M.; Łyczko, J.; Woszczyło, M.; Skwark, M.J.; et al. Volatile Organic Compounds Induced upon Viral Infection in Cell Culture: Uniform Background Study with Use of Viruses from Different Families. Molecules 2025, 30, 4642. https://doi.org/10.3390/molecules30234642
Matczuk AK, Wolska J, Olszowy M, Kublicka A, Szumowski A, Kokocińska-Alexandre A, Dzięcioł M, Łyczko J, Woszczyło M, Skwark MJ, et al. Volatile Organic Compounds Induced upon Viral Infection in Cell Culture: Uniform Background Study with Use of Viruses from Different Families. Molecules. 2025; 30(23):4642. https://doi.org/10.3390/molecules30234642
Chicago/Turabian StyleMatczuk, Anna Karolina, Julia Wolska, Maria Olszowy, Agata Kublicka, Adam Szumowski, Agata Kokocińska-Alexandre, Michał Dzięcioł, Jacek Łyczko, Martyna Woszczyło, Marcin J. Skwark, and et al. 2025. "Volatile Organic Compounds Induced upon Viral Infection in Cell Culture: Uniform Background Study with Use of Viruses from Different Families" Molecules 30, no. 23: 4642. https://doi.org/10.3390/molecules30234642
APA StyleMatczuk, A. K., Wolska, J., Olszowy, M., Kublicka, A., Szumowski, A., Kokocińska-Alexandre, A., Dzięcioł, M., Łyczko, J., Woszczyło, M., Skwark, M. J., & Szumny, A. (2025). Volatile Organic Compounds Induced upon Viral Infection in Cell Culture: Uniform Background Study with Use of Viruses from Different Families. Molecules, 30(23), 4642. https://doi.org/10.3390/molecules30234642

