A Stereospecific Synthesis and In Vitro Anti-Influenza H1N1 Properties of Lithocholic Acid-Based Spiro-1,2,4-trioxolane
Abstract
1. Introduction
2. Results and Discussion
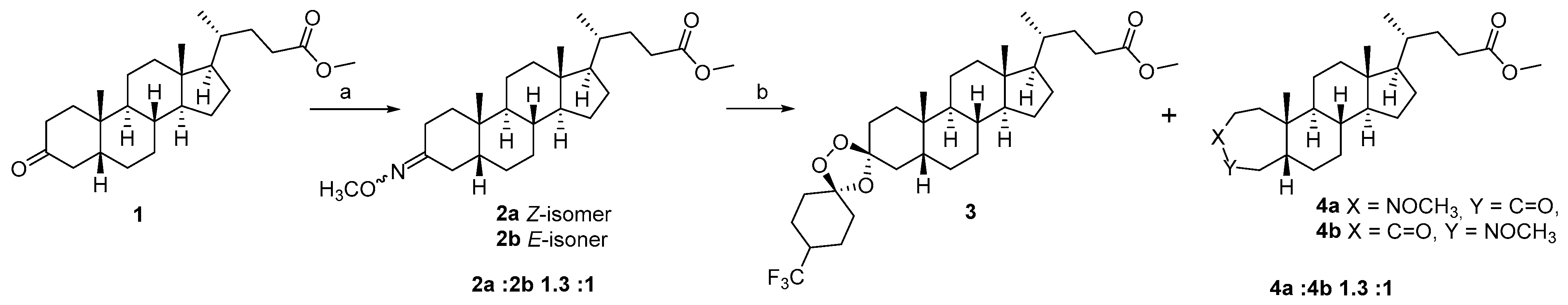
2.1. Chemistry
2.2. In Vitro Antiviral Evaluation
2.3. In Silico ADMET Study and Physicochemical Profiles of Compound 3
2.4. Formatting of Mathematical Components
2.4.1. Physicochemical Profile
2.4.2. Lipophilicity and Solubility
2.4.3. Pharmacokinetic Predictions
2.4.4. Drug-likeness and Medicinal Chemistry Filters
2.5. Predicted Biological Activities of Compound 3
3. Materials and Methods
3.1. The Procedure for Synthesis of Compound 2
3.1.1. Methyl-O-methyl-3(Z)-oxyimino-5β-cholan-24-oate (2a)
- 1H NMR (CDCl3, δ ppm, J Hz): 0.64 (s, 3H, H-18); 0.89 (d, 3H, 3J21-20 = 6.5, H-21); 0.94 (s, 3H, H-19); 1.04 (m, 1H, H-14); 1.05 (m, 1H, Hβ-15); 1.07 (m, 1H, Hax-7); 1.08 (m, 1H, H-17); 1.14 (m, 1H, Hax-1); 1.15 (m, 1H, Hax-12); 1.26 (m, 1H, Hβ-16); 1.26 (m, 1H, Hax-11); 1.28 (m, 1H, Heq-6); 1.30 (m, 1H, HA-22); 1.35 (m, 1H, H-9); 1.38 (m, 1H, H-20); 1.39 (m, 1H, H-8); 1.41 (m, 1H, Heq-11); 1.44 (m, 1H, Heq-7); 1.48 (m, 1H, H-5); 1.56 (m, 1H, Hα-15); 1.77 (m, 1H, HB-22); 1.83 (m, 1H, Hα-16); 1.84 (m, 1H, Hax-6); 1.87 (m, 1H, Heq-1); 1.96 (m, 1H, Heq-12); 2.07 (td, 1H, 2J = 14.8, 3J2ax-1ax = 14.8, 3J2ax-1eq = 4.8, Hax-2); 2.11 (dd, 1H, 2J = 15.5, 3J4ax-5 = 13.4, Hax-4); 2.12 (m, 1H, Heq-2); 2.19 (ddd, 1H, 2J = 15.4, 3J23A-22A = 9.7, 3J23A-22B = 6.5, HA-23); 2.33 (ddd, 1H, 2J = 15.4, 3J23B-22B = 10.1, 3J23B-22A = 5.2, HB-23); 2.79 (ddd, 1H, 2J = 15.5, 3J4eq-5 = 5.0, 4J4eq-2eq = 1.5, Heq-4); 3.64 (s, 3H, OMe); 3.79 (s, 3H, NOCH3). 13C NMR (CDCl3, δ ppm): 12.05 (C18); 18.26 (C21); 21.05 (C11); 23.13 (C19); 24.16 (C15); 25.69 (C4); 25.92 (C7); 26.61 (C6); 26.90 (C2); 28.15 (C16); 30.98 (C22); 31.02 (C23); 35.28 (C10); 35.35 (C20); 35.58 (C8); 37.11 (C1); 40.06 (C12); 40.55 (C9); 42.50 (C5); 42.74 (C13); 51.46 (OMe); 55.94 (C17); 56.44 (C14); 60.97 (NOCH3); 160.94 (C3); 174.71 (C24). 15N NMR (CDCl3, δ ppm): 357.33 (NOCH3). Anal. Calcd. for C26H43NO3: C, 74.78 H, 10.38; N, 3.35. Found: C, 74.56; H, 10.26; N, 3.11.
3.1.2. Methyl-O-methyl-3(E)-oxyimino-5β-cholan-24-oate (2b)
- 1H NMR (CDCl3, δ ppm, J Hz): 0.64 (s, 3H, H-18); 0.89 (d, 3H, 3J21-20 = 6.5, H-21); 0.93 (s, 3H, H-19); 1.04 (m, 1H, H-14); 1.05 (m, 1H, Hβ-15); 1.06 (m, 1H, Hax-1); 1.07 (m, 1H, Hax-7); 1.08 (m, 1H, H-17); 1.15 (m, 1H, Hax-12); 1.26 (m, 1H, Hβ-16); 1.26 (m, 1H, Hax-11); 1.28 (m, 1H, Heq-6); 1.30 (m, 1H, HA-22); 1.38 (m, 1H, H-20); 1.39 (m, 1H, H-9); 1.39 (m, 1H, H-8); 1.41 (m, 1H, Heq-11); 1.44 (m, 1H, Heq-7); 1.54 (m, 1H, H-5); 1.56 (m, 1H, Hα-15); 1.69 (td, 1H, 2J = 14.6, 3J2ax-1ax = 14.6, 3J2ax-1eq = 4.8, Hax-2); 1.77 (m, 1H, HB-22); 1.83 (m, 1H, Hα-16); 1.84 (m, 1H, Heq-1); 1.84 (m, 1H, Hax-6); 1.94 (ddd, 1H, 2J = 14.6, 3J4eq-5 = 4.8, 4J4eq-2eq = 2.0, Heq-4); 1.96 (m, 1H, Heq-12); 2.19 (ddd, 1H, 2J = 15.4, 3J23A-22A = 9.7, 3J23A-22B = 6.5, HA-23); 2.33 (ddd, 1H, 2J = 15.4, 3J23B-22B = 10.1, 3J23B-22A = 5.2, HB-23); 2.49 (dd, 1H, 2J = 14.6, 3J4ax-5 = 13.3, Hax-4); 2.95 (dddd, 1H, 2J = 14.6, 3J2eq-1ax = 4.5, 3J2eq-1eq = 2.6, 4J2eq-4eq = 2.0, Heq-2); 3.64 (s, 3H, OMe); 3.78 (s, 3H, NOCH3). 13C NMR (CDCl3, δ ppm): 12.05 (C18); 18.27 (C21); 20.48 (C2); 21.05 (C11); 23.02 (C19); 24.16 (C15); 25.98 (C7); 26.61 (C6); 28.15 (C16); 30.98 (C22); 31.02 (C23); 32.20 (C4); 35.35 (C20); 35.36 (C10); 35.61 (C8); 36.17 (C1); 40.10 (C12); 40.33 (C9); 42.74 (C13); 44.07 (C5); 51.46 (OMe); 55.94 (C17); 56.46 (C14); 60.94 (NOCH3); 161.09 (C3); 174.71 (C24). 15N NMR (CDCl3, δ ppm): 355.36 (NOCH3). Anal. Calcd. for C26H43NO3: C, 74.78 H, 10.38; N, 3.35. Found: C, 74.56; H, 10.26; N, 3.11.
3.2. The Procedure of Griesbaum Co-Ozonolysis
3.2.1. (3S)-3,5′-dispiro-[(4″-trifluoromethyl-cyclohexyl)-1′,2′,4′-trioxolane]-5β-cholan-24-oate (3)
- Obtained by crystallization from Et2O. [α]20D + 45° (c 0.10, CHCl3). mp. 101 °C. 1H NMR (CDCl3, δ ppm, J Hz): 0.64 (s, 3H, H-18); 0.91 (d, 3H, 3J21-20 = 6.5, H-21); 0.93 (s, 3H, H-19); 1.01 (m, 1H, H-14); 1.03 (m, 1H, Hβ-15); 1.04 (m, 1H, Hax-7); 1.08 (m, 1H, H-17); 1.11 (td, 1H, 2J = 12.5, 3J12ax-11ax = 12.5, 3J12ax-11eq = 4.4, Hax-12); 1.21 (m, 1H, Hax-1); 1.22 (m, 1H, Heq-6); 1.25 (m, 1H, Hax-11); 1.28 (m, 1H, Hβ-16); 1.31 (m, 1H, H-9); 1.33 (m, 1H, HA-22); 1.35 (m, 1H, Heq-11); 1.37 (m, 1H, H-8); 1.42 (m, 1H, H-20); 1.42 (m, 1H, Heq-7); 1.51 (ddd, 1H, 2J = 13.6, 3J4eq-5 = 4.2, 4J4eq-2eq =1.4, Heq-4); 1.55 (m, 1H, H-5); 1.56 (m, 1H, Hα-15); 1.60 (m, 1H, Hax-5″); 1.61 (m, 1H, Hax-3″); 1.64 (m, 1H, Hax-6″); 1.67 (m, 1H, Hax-2″); 1.68 (m, 2H, H-2); 1.71 (dt, 1H, 2J = 11.3, 3J1eq-2ax = 3.2, 3J1eq-2eq = 3.2, Heq-1); 1.79 (m, 1H, HB-22); 1.82 (m, 1H, Hax-6); 1.83 (m, 1H, Hα-16); 1.91 (m, 1H, Heq-3″); 1.92 (m, 1H, Heq-5″); 1.96 (dt, 1H, 2J = 12.6, 3J12eq-11ax = 3.1, 3J12eq-11eq = 3.1, Heq-12); 2.02 (m, 1H, Heq-2″); 2.03 (m, 1H, H-4″); 2.05 (m, 1H, Heq-6″); 2.15 (t, 1H, 2J = 13.6, 3J4ax-5 = 13.6, Hax-4); 2.22 (ddd, 1H, 2J = 15.4, 3J23A-22A = 9.7, 3J23A-22B = 6.5, HA-23); 2.35 (ddd, 1H, 2J = 15.4, 3J23B-22B = 10.2, 3J23B-22A = 5.2, HB-23); 3.66 (s, 3H, OMe). 13C NMR (CDCl3, δ ppm): 12.05 (C18); 18.27 (C21); 21.05 (C11); 22.53 (C3″); 22.58 (C5″); 22.99 (C19); 24.17 (C15); 25.96 (C7); 26.41 (C6); 28.18 (C16); 29.57 (C2); 31.00 (C22); 31.08 (C23); 32.74 (C2″); 32.80 (C6″); 34.02 (C1); 34.32 (C10); 34.79 (C4); 35.37 (C20); 35.55 (C8); 39.74 (C9); 40.14 (C12); 40.42 (q, 2JCF = 27.3, C4″); 40.82 (C5); 42.75 (C13); 51.49 (OMe); 55.99 (C17); 56.54 (C14); 107.05 (C3′); 110.33 (C3); 127.38 (q, 1JCF =278.3, CF3); 174.77 (C24). 19F NMR (CDCl3, δ ppm): -73.26 (d, 2JFH = 8.1, CF3). Anal. Calcd. for C32H49F3O5: C, 67.34 H, 8.65; F, 9.99. Found: C, 67.19; H, 8.57; F, 9.81.
3.2.2. Methyl 4-oxo-3-methoxyaza-A-homo-5β-cholan-24-oate (4a)
- 1H NMR (CDCl3, δ ppm, J Hz): 0.66 (s, 3H, H-18); 0.86 (m, 1H, Hax-7); 0.91 (d, 3H, 3J21-20 = 6.5, H-21); 1.00 (s, 3H, H-19); 1.05 (m, 1H, H-14); 1.06 (m, 1H, Hβ-15); 1.11 (dt, 1H, 3J17-20 = 10.1, 3J17-16α = 9.5, 3J17-16β = 9.5, H-17); 1.18 (m, 1H, Hax-12); 1.22 (m, 1H, H-9); 1.29 (m, 1H, Hβ-16); 1.33 (m, 1H, Heq-11); 1.33 (m, 1H, HA-22); 1.34 (m, 1H, Hax-11); 1.34 (m, 1H, H-8); 1.43 (m, 1H, H-20); 1.44 (m, 1H, Heq-6); 1.46 (m, 1H, Heq-7); 1.58 (m, 1H, Hα-15); 1.61 (dd, 1H, 2J = 15.4, 3J1ax-2ax = 9.1, Hax-1); 1.79 (m, 1H, H-5); 1.80 (m, 1H, HB-22); 1.81 (dd, 1H, 2J = 15.4, 3J1eq-2eq = 9.1, Heq-1); 1.86 (m, 1H, Hα-16); 1.87 (m, 1H, Hax-6); 1.99 (m, 1H, Heq-12); 2.16 (d, 1H, 2J = 15.3, Heq-4a); 2.22 (ddd, 1H, 2J = 15.4, 3J23A-22A = 9.7, 3J23A-22B = 6.5, HA-23); 2.35 (ddd, 1H, 2J = 15.4, 3J23B-22B = 10.1, 3J23B-22A = 5.2, HB-23); 2.95 (dd, 1H, 2J = 15.3, 3J4aax-5 = 12.0, Hax-4a); 3.54 (d, 1H, 2J = 14.9, 3J2eq-1eq = 9.1, Heq-2); 3.66 (s, 3H, OMe); 3.67 (d, 1H, 2J = 14.9, 3J2ax-1ax = 9.1, Hax-2); 3.73 (s, 3H, NOCH3). 13C NMR (CDCl3, δ ppm): 12.04 (C18); 18.26 (C21); 21.28 (C11); 22.28 (C19); 24.11 (C15); 26.16 (C7); 28.10 (C16); 29.58 (C6); 30.96 (C22); 31.05 (C23); 35.34 (C20); 35.71 (C8); 36.35 (C10); 37.83 (C4a); 38.56 (C1); 39.68 (C5); 40.03 (C12); 42.61 (C13); 43.76 (C9); 45.95 (C2); 51.51 (OMe); 55.95 (C17); 56.14 (C14); 61.61 (NOCH3); 171.39 (C4); 174.73 (C24). 15N NMR (CDCl3, δ ppm): 195.68 (NOCH3). Anal. Calcd. for C26H43NO4: C, 72.02 H, 10.00; N, 3.23. Found: C, 71.95; H, 9.89; N, 3.01.
3.2.3. Methyl-3-oxo-4-methoxyaza-A-homo-5β-cholan-24-oate (4b)
- 1H NMR (CDCl3, δ ppm, J Hz): 0.66 (s, 3H, H-18); 0.82 (m, 1H, Hax-7); 0.91 (d, 3H, 3J21-20 = 6.5, H-21); 0.99 (s, 3H, H-19); 1.06 (m, 1H, Hβ-15); 1.07 (m, 1H, H-14); 1.11 (dt, 1H, 3J17-20 = 10.1, 3J17-16α = 9.5, 3J17-16β = 9.5, H-17); 1.18 (m, 1H, Hax-12); 1.28 (m, 1H, H-9); 1.29 (m, 1H, Hβ-16); 1.32 (m, 1H, Heq-11); 1.33 (m, 1H, HA-22); 1.35 (m, 1H, Hax-11); 1.37 (m, 1H, H-8); 1.43 (m, 1H, H-20); 1.44 (dd, 1H, 2J = 15.0, 3J1ax-2ax = 11.4, Hax-1); 1.51 (m, 1H, Heq-7); 1.52 (m, 1H, Heq-6); 1.58 (m, 1H, Hα-15); 1.76 (m, 1H, H-5); 1.78 (dd, 1H, 2J = 15.0, 3J1eq-2eq = 10.0, Heq-1); 1.80 (m, 1H, HB-22); 1.86 (m, 1H, Hα-16); 1.92 (m, 1H, Hax-6); 1.99 (m, 1H, Heq-12); 2.22 (ddd, 1H, 2J = 15.4, 3J23A-22A = 9.7, 3J23A-22B = 6.5, HA-23); 2.32 (d, 1H, 2J = 15.9, 3J2eq-1eq = 10.0, Heq-2); 2.35 (ddd, 1H, 2J = 15.4, 3J23B-22B = 10.1, 3J23B-22A = 5.2, HB-23); 2.50 (d, 1H, 2J = 15.9, 3J2ax-1ax = 11.4, Hax-2); 3.20 (d, 1H, 2J = 15.2, Heq-4a); 3.66 (s, 3H, OMe); 3.75 (s, 3H, NOCH3); 4.25 (dd, 1H, 2J = 15.2, 3J4aax-5 = 11.0, Hax-4a). 13C NMR (CDCl3, δ ppm): 12.03 (C18); 18.26 (C21); 20.97 (C11); 22.73 (C19); 24.11 (C15); 26.88 (C7); 28.10 (C16); 28.21 (C6); 29.44 (C2); 30.96 (C22); 31.05 (C23); 34.05 (C1); 35.34 (C20); 35.73 (C8); 36.54 (C10); 40.00 (C12); 42.64 (C13); 42.90 (C9); 43.56 (C5); 51.51 (OMe); 53.27 (C4a); 55.95 (C17); 56.21 (C14); 61.43 (NOCH3); 171.55 (C4); 174.73 (C24). 15N NMR (CDCl3, δ ppm): 192.78 (NOCH3). Anal. Calcd. for C26H43NO4: C, 72.02 H, 10.00; N, 3.23. Found: C, 71.95; H, 9.89; N, 3.01.
3.3. Biological Activity Assays
3.3.1. Cytotoxicity Assay
3.3.2. CPE Reduction Assay
3.3.3. Statistical Data
3.4. SwissADME
3.5. PASS Analysis
4. Conclusions
Supplementary Materials
Author Contributions
Funding
Institutional Review Board Statement
Informed Consent Statement
Data Availability Statement
Acknowledgments
Conflicts of Interest
References
- Kazakova, O.; Giniyatullina, G.; Babkov, D.; Wimmer, Z. From Marine Metabolites to the Drugs of the Future: Squalamine, Trodusquemine, Their Steroid and Triterpene Analogues. Int. J. Mol. Sci. 2022, 23, 1075. [Google Scholar] [CrossRef] [PubMed]
- Wang, Q.; Jiang, N.; Fu, B.; Huang, F.; Liu, J. Self-Assembling Peptide-Based Nanodrug Delivery Systems. Biomater. Sci. 2019, 7, 4888–4911. [Google Scholar] [CrossRef] [PubMed]
- Salunke, D.B.; Hazra, B.G.; Pore, V.S. Steroidal Conjugates and Their Pharmacological Applications. Curr. Med. Chem. 2006, 13, 813–847. [Google Scholar] [CrossRef] [PubMed]
- Taylor, S.A.; Green, R.M. Bile Acids, Microbiota, and Metabolism. Hepatology 2018, 68, 1229–1231. [Google Scholar] [CrossRef]
- Li, T.; Chiang, J.Y.L. Bile Acid Signaling in Metabolic Disease and Drug Therapy. Pharmacol. Rev. 2015, 66, 948–983. [Google Scholar] [CrossRef]
- Chiang, J.Y.L. Bile Acid Metabolism and Signaling in Liver Disease and Therapy. Liver Res. 2018, 2, 3–15. [Google Scholar] [CrossRef]
- Kong, X.; Niu, X.; Liu, M.; Wang, Q. Bile Acids LCA and CDCA Inhibited Porcine Deltacoronavirus Replication In Vitro. Vet. Microbiol. 2021, 257, 109097. [Google Scholar] [CrossRef]
- Mishra, R.; Mishra, S. Updates in Bile Acid–Bioactive Molecule Conjugates and Their Applications. Steroids 2020, 159, 108639. [Google Scholar] [CrossRef]
- De Oca, E.P.M.; Díaz, J.C.M.; Ávila, M.G.; Hernández, D.A.G. Process for Obtaining a Molecule Serving as an Antimicrobial Peptide. Patent MX356006B, 23 April 2015. [Google Scholar]
- Marchesi, E.; Gentili, V.; Bortolotti, D.; Preti, L.; Marchetti, P.; Cristofori, V.; Fantinati, A.; Rizzo, R.; Trapella, C.; Perrone, D.; et al. Dihydroartemisinin-Ursodeoxycholic Bile Acid Hybrids in the Fight against SARS-CoV-2. ACS Omega 2023, 8, 45078–45087. [Google Scholar] [CrossRef]
- Winkler, E.S.; Shrihari, S.; Hykes, B.L., Jr.; Handley, S.A.; Andhey, P.S.; Huang, Y.S.; Swain, A.; Droit, L.; Chebrolu, K.K.; Mack, M.; et al. The Intestinal Microbiome Restricts Alphavirus Infection and Dissemination through a Bile Acid-Type I IFN Signaling Axis. Cell 2020, 182, 901–918.e18. [Google Scholar] [CrossRef]
- Villalobos Sánchez, E.; Márquez-Villa, J.M.; Vega-Rodríguez, A.D.; Curiel-Pedraza, D.A.; Canales-Aguirre, A.A.; Bravo-Madrigal, J.; Mateos-Díaz, J.C.; Elizondo-Quiroga, D.E. Lithocholic Acid Oleate Preparative Synthesis and Its Formulation with Lithocholic Acid as a Preventive Antiviral: In Vitro and In Vivo Assays Against HSV-1. Viruses 2025, 17, 416. [Google Scholar] [CrossRef]
- Petrova, A.V.; Smirnova, I.E.; Fedij, S.V.; Pavlyukova, Y.N.; Zarubaev, V.V.; Tran Thi Phuong, T.; Myint Myint, K.; Kazakova, O.B. Synthesis and Inhibition of Influenza H1N1 Virus by Propargylaminoalkyl Derivative of Lithocholic Acid. Molbank 2023, 2023, M1626. [Google Scholar] [CrossRef]
- Vil’, V.A.; Yaremenko, I.A.; Ilovaisky, A.I.; Terent’ev, A.O. Peroxides with Anthelmintic, Antiprotozoal, Fungicidal and Antiviral Bioactivity: Properties, Synthesis and Reactions. Molecules 2017, 22, 1881. [Google Scholar] [CrossRef] [PubMed]
- Shukla, M.; Rathi, K.; Hassam, M.; Yadav, D.K.; Karnatak, M.; Rawat, V.; Verma, V.P. An Overview on the Antimalarial Activity of 1,2,4-Trioxanes, 1,2,4-Trioxolanes and 1,2,4,5-Tetraoxanes. Med. Res. Rev. 2024, 44, 66–137. [Google Scholar] [CrossRef] [PubMed]
- Qian, R.S.; Li, Z.L.; Yu, J.L.; Ma, D.J. The immunologic and antiviral effect of qinghaosu. J. Tradit. Chin. Med. 1982, 2, 271–276. [Google Scholar] [PubMed]
- Efferth, T.; Romero, M.R.; Wolf, D.G.; Stamminger, T.; Marin, J.J.G.; Marschall, M. The Antiviral Activities of Artemisinin and Artesunate. Clin. Infect. Dis. 2008, 47, 804–811. [Google Scholar] [CrossRef]
- Chou, S.; Marousek, G.; Auerochs, S.; Stamminger, T.; Milbradt, J.; Marschall, M. The Unique Antiviral Activity of Artesunate Is Broadly Effective against Human Cytomegaloviruses Including Therapy-Resistant Mutants. Antivir. Res. 2011, 92, 364–368. [Google Scholar] [CrossRef]
- Dai, R.; Xiao, X.; Peng, F.; Li, M.; Gong, G. Artesunate, an Anti-Malarial Drug, Has a Potential to Inhibit HCV Replication. Virus Genes 2016, 52, 22–28. [Google Scholar] [CrossRef]
- Herrmann, L.; Yaremenko, I.A.; Çapcı, A.; Struwe, J.; Tailor, D.; Dheeraj, A.; Hodek, J.; Belyakova, Y.Y.; Radulov, P.S.; Weber, J.; et al. Synthesis and In Vitro Study of Artemisinin/Synthetic Peroxide-Based Hybrid Compounds against SARS-CoV-2 and Cancer. ChemMedChem 2022, 17, e202200005. [Google Scholar] [CrossRef]
- Si, L.; Bai, H.; Rodas, M.; Cao, W.; Oh, C.Y.; Jiang, A.; Møller, R.; Hoagland, D.; Oishi, K.; Horiuchi, S.; et al. A Human-Airway-on-a-Chip for the Rapid Identification of Candidate Antiviral Therapeutics and Prophylactics. Nat. Biomed. Eng. 2021, 5, 815–829. [Google Scholar] [CrossRef]
- El Sayed, K.A.; Hamann, M.T.; Hashish, N.E.; Shier, W.T.; Kelly, M.; Khan, A.A. Antimalarial, Antiviral, and Antitoxoplasmosis Norsesterterpene Peroxide Acids from the Red Sea Sponge Diacarnus erythraeanus. J. Nat. Prod. 2001, 64, 522–524. [Google Scholar] [CrossRef]
- Jia, M.; Zhao, R.; Xu, B.; Yan, W.; Chu, F.; Gu, H.; Xie, T.; Xiang, H.; Ren, J.; Chen, D.; et al. Synthesis and Biological Activity Evaluation of Novel Peroxo-Bridged Derivatives as Potential Anti-Hepatitis B Virus Agents. MedChemComm 2016, 8, 148–151. [Google Scholar] [CrossRef]
- Duan, C.; Ge, X.; Wang, J.; Wei, Z.; Feng, W.H.; Wang, J. Ergosterol Peroxide Exhibits Antiviral and Immunomodulatory Abilities against Porcine Deltacoronavirus (PDCoV) via Suppression of NF-κB and p38/MAPK Signaling Pathways In Vitro. Int. Immunopharmacol. 2021, 93, 107317. [Google Scholar] [CrossRef]
- Zhou, B.; Liang, X.; Feng, Q.; Li, J.; Pan, X.; Xie, P.; Jiang, Z.; Yang, Z. Ergosterol Peroxide Suppresses Influenza A Virus-Induced Pro-Inflammatory Response and Apoptosis by Blocking RIG-I Signaling. Eur. J. Pharmacol. 2019, 865, 172543. [Google Scholar] [CrossRef] [PubMed]
- Šolaja, B.A.; Terzić, N.; Pocsfalvi, G.; Gerena, L.; Tinant, B.; Opsenica, D.; Milhous, W.K. Mixed Steroidal 1,2,4,5-Tetraoxanes: Antimalarial and Antimycobacterial Activity. J. Med. Chem. 2002, 45, 3331–3336. [Google Scholar] [CrossRef] [PubMed]
- Opsenica, D.; Pocsfalvi, G.; Juranić, Z.; Tinant, B.; Declercq, J.-P.; Kyle, D.E.; Milhous, W.K.; Šolaja, B.A. Cholic Acid Derivatives as 1,2,4,5-Tetraoxane Carriers: Structure and Antimalarial and Antiproliferative Activity. J. Med. Chem. 2000, 43, 3274–3282. [Google Scholar] [CrossRef] [PubMed]
- Singh, C.; Hassam, M.; Verma, V.P.; Singh, A.S.; Naikade, N.K.; Puri, S.K.; Maulik, P.R.; Kant, R. Bile Acid-Based 1,2,4-Trioxanes: Synthesis and Antimalarial Assessment. J. Med. Chem. 2012, 55, 10662–10673. [Google Scholar] [CrossRef]
- Opsenica, D.; Kyle, D.E.; Milhous, W.K.; Šolaja, B.A. Antimalarial, Antimycobacterial and Antiproliferative Activity of Phenyl-Substituted Mixed Tetraoxanes. J. Serb. Chem. Soc. 2003, 68, 291–302. [Google Scholar] [CrossRef]
- Oliveira, R.; Miranda, D.; Magalhães, J.; Capela, R.; Perry, M.J.; O’Neill, P.M.; Moreira, R.; Lopes, F. From Hybrid Compounds to Targeted Drug Delivery in Antimalarial Therapy. Bioorg. Med. Chem. 2015, 23, 5120–5130. [Google Scholar] [CrossRef]
- Tang, Y.; Dong, Y.; Karle, J.M.; DiTusa, C.A.; Vennerstrom, J.L. Synthesis of Tetrasubstituted Ozonides by the Griesbaum Co-Ozonolysis Reaction. J. Org. Chem. 2004, 69, 6470–6476. [Google Scholar] [CrossRef]
- Charman, S.A.; Arbe-Barnes, S.; Bathurst, I.C.; Brun, R.; Campbell, M.; Charman, W.N.; Chiu, F.C.; Chollet, J.; Craft, J.C.; Creek, D.J.; et al. Synthetic Ozonide Drug Candidate OZ439 Offers New Hope for a Single-Dose Cure of Uncomplicated Malaria. Proc. Natl. Acad. Sci. USA 2011, 108, 4400–4405. [Google Scholar] [CrossRef]
- Griesbaum, K.; Övez, B.; Huh, T.S.; Dong, Y. Ozonolyses of O-methyloximes in the presence of acid derivatives: A new access to substituted ozonides. Liebigs Ann. 1995, 1995, 1571–1574. [Google Scholar] [CrossRef]
- Zain-ul-Abideen, M.; Saeed, A.; Haider, M.B.; Shabir, G.; El-Seedi, H.R. Three Decades of Selective Product Formation via Griesbaum Co-Ozonolysis: Insight and Advances (1995–2025). RSC Adv. 2025, 41, 34340–34361. [Google Scholar] [CrossRef]
- Yamansarov, E.Y.; Kazakova, O.B.; Medvedeva, N.I.; Kazakov, D.V.; Kukovinetz, O.S.; Tolstikov, G.A. First Synthesis of Steroidal 1,2,4-Trioxolanes. Russ. J. Org. Chem. 2014, 50, 1043–1047. [Google Scholar] [CrossRef]
- Yamansarov, E.Y.; Kazakov, D.V.; Medvedeva, N.I.; Khusnutdinova, E.F.; Kazakova, O.B.; Legostaeva, Y.V.; Ishmuratov, G.Y.; Huong, L.M.; Ha, T.T.H.; Huong, D.T.; et al. Synthesis and Antimalarial Activity of 3′-Trifluoromethylated 1,2,4-Trioxolanes and 1,2,4,5-Tetraoxanes Based on Deoxycholic Acid. Steroids 2018, 129, 17–23. [Google Scholar] [CrossRef]
- Chen, J.; Gonciarz, R.L.; Renslo, A.R. Expanded Scope of Griesbaum Co-Ozonolysis for the Preparation of Structurally Diverse Sensors of Ferrous Iron. RSC Adv. 2021, 11, 34338–34342. [Google Scholar] [CrossRef]
- Kazakova, O.B.; Kazakov, D.V.; Yamansarov, E.Y.; Medvedeva, N.I.; Tolstikov, G.A.; Suponitsky, K.Y.; Arkhipov, D.E. Synthesis of Triterpenoid-Based 1,2,4-Trioxolanes and 1,2,4-Dioxazolidines by Ozonolysis of Allobetulin Derivatives. Tetrahedron Lett. 2011, 52, 976–979. [Google Scholar] [CrossRef]
- Kazakova, O.B.; Khusnutdinova, E.F.; Petrova, A.V.; Yamansarov, E.Y.; Lobov, A.N.; Fedorova, A.A.; Suponitsky, K.Y. Diastereoselective Synthesis of Triterpenoid 1,2,4-Trioxolanes by Griesbaum Co-Ozonolysis. J. Nat. Prod. 2019, 82, 2550–2558. [Google Scholar] [CrossRef] [PubMed]
- Thombre, K.; Umap, A.; Gupta, K.; Umekar, M. Crystals, Crystallization and X-ray Techniques: Pharmaceutical Application. Res. J. Pharm. Technol. 2025, 18, 1906–1912. [Google Scholar] [CrossRef]
- Spek, A.L. PLATON: A Multipurpose Crystallographic Tool; Utrecht University: Utrecht, The Netherlands, 2003. [Google Scholar]
- Macrae, C.F.; Bruno, I.J.; Chisholm, J.A.; Edgington, P.R.; McCabe, P.; Pidcock, E.; Rodriguez-Monge, L.; Taylor, R.; Streek, J.V.D.; Wood, P.A. Mercury CSD 2.0—New Features for Visualization and Analysis of Crystal Structures. J. Appl. Crystallogr. 2006, 41, 466–470. [Google Scholar] [CrossRef]
- Allen, F.H.; Kennard, O.; Watson, D.G.; Brammer, L.; Orpen, G.A.; Taylor, R. Tables of Bond Lengths Determined by X-Ray and Neutron Diffraction. J. Chem. Soc. Perkin Trans. 2 1987, 12, S1–S19. [Google Scholar] [CrossRef]
- Kirby, E. The Anomeric Effect of Oxygen-Containing Compounds; Mir Publishers: Moscow, Russia, 1985. [Google Scholar]
- Daina, A.; Michielin, O.; Zoete, V. SwissADME: A Free Web Tool to Evaluate Pharmacokinetics, Druglikeness and Medicinal Chemistry Friendliness of Small Molecules. Sci. Rep. 2017, 7, 42717. [Google Scholar] [CrossRef] [PubMed]
- Lovering, F.; Bikker, J.; Humblet, C. Escape from Flatland: Increasing Saturation as an Approach to Improving Clinical Success. J. Med. Chem. 2009, 52, 6752–6756. [Google Scholar] [CrossRef] [PubMed]
- Lipinski, C.A. Lead- and Drug-Like Compounds: The Rule-of-Five Revolution. Drug Discov. Today Technol. 2004, 1, 337–341. [Google Scholar] [CrossRef]
- Di, L.; Fish, P.V.; Mano, T. Bridging Solubility between Drug Discovery and Development. Drug Discov. Today 2012, 17, 486–495. [Google Scholar] [CrossRef]
- Martin, Y.C. A Bioavailability Score. J. Med. Chem. 2005, 48, 3164–3170. [Google Scholar] [CrossRef]
- Brenk, R.; Schipani, A.; James, D.; Krasowski, A.; Gilbert, I.H.; Frearson, J. Lessons Learnt from Assembling Screening Libraries for Neglected Diseases. ChemMedChem 2008, 3, 435–444. [Google Scholar] [CrossRef]
- Kenny, P.W. Hydrogen-Bond Donors in Drug Design. J. Med. Chem. 2022, 65, 14261–14275. [Google Scholar] [CrossRef]
- Duffy, S.; Avery, V.M. Development and Optimization of a Novel 384-Well Anti-Malarial Imaging Assay. Malar. J. 2013, 12, 419. [Google Scholar] [CrossRef]
- Potts, R.O.; Guy, R.H. Predicting Skin Permeability. Pharm. Res. 1992, 9, 663–669. [Google Scholar] [CrossRef]
- Zhang, C. Fluorine in Medicinal Chemistry: In Perspective to COVID-19. ACS Omega 2022, 7, 18206–18212. [Google Scholar] [CrossRef]
- Park, B.K.; Kitteringham, N.R.; O’Neill, P.M. Metabolism of Fluorine-Containing Drugs. Annu. Rev. Pharmacol. Toxicol. 2001, 41, 443–470. [Google Scholar] [CrossRef]
- Dembitsky, V.M.; Ermolenko, E.; Savidov, N.; Gloriozova, T.A.; Poroikov, V.V. Antiprotozoal and Antitumor Activity of Natural Polycyclic Endoperoxides: Origin, Structures and Biological Activity. Molecules 2021, 26, 686. [Google Scholar] [CrossRef]
- Vil’, V.A.; Terent’ev, A.O.; Savidov, N.; Gloriozova, T.A.; Poroikov, V.V.; Pounina, T.A.; Dembitsky, V.M. Hydroperoxy steroids and triterpenoids derived from plant and fungi: Origin, structures and biological activities. J. Steroid Biochem. Mol. Biol. 2019, 190, 76–87. [Google Scholar] [CrossRef]
- Dembitsky, V.M. In Silico Prediction of Steroids and Triterpenoids as Potential Regulators of Lipid Metabolism. Mar. Drugs 2021, 19, 650. [Google Scholar] [CrossRef] [PubMed]
- Dembitsky, V.M.; Gloriozova, T.A.; Poroikov, V.V. Natural Peroxy Anticancer Agents. Mini Rev. Med. Chem. 2007, 7, 571–589. [Google Scholar] [CrossRef] [PubMed]
- Filimonov, D.A.; Druzhilovskiy, D.S.; Lagunin, A.A.; Gloriozova, T.A.; Rudik, A.V.; Dmitriev, A.V.; Pogodin, P.V.; Poroikov, V.V. Computer-Aided Prediction of Biological Activity Spectra for Chemical Compounds: Opportunities and Limitations. Biomed. Chem. Res. Methods 2018, 1, e00004. [Google Scholar] [CrossRef]
- Dembitsky, V.M. Astonishing diversity of natural peroxides as potential therapeutic agents. J. Mol. Genet. Med. 2015, 9, 1000163. [Google Scholar] [CrossRef]
- Sheldrick, G.M. SHELXT—Integrated Space-Group and Crystal-Structure Determination. Acta Crystallogr. Sect. A 2015, 71, 3–8. [Google Scholar] [CrossRef]
- SADABS, Version 2008/1; Bruker AXS Inc.: Madison, WI, USA, 2008.
- Smee, D.F.; Hurst, B.L.; Evans, W.J.; Clyde, N.; Wright, S.; Peterson, C.; Jung, K.-H.; Day, C.W. Evaluation of cell viability dyes in antiviral assays with RNA viruses that exhibit different cytopathogenic properties. J. Virol. Meth. 2017, 246, 51–57. [Google Scholar] [CrossRef]
- Upadhyay, C.; Chaudhary, M.; De Oliveira, R.N.; Borbas, A.; Kempaiah, P.; Rathi, B. Fluorinated Scaffolds for Antimalarial Drug Discovery. Expert Opin. Drug Discov. 2020, 15, 705–718. [Google Scholar] [CrossRef]






| Compound | CC50, μM a | IC50, μM b | SI c |
|---|---|---|---|
| 1 | 107.4 ± 2.1 | 84 * | 1 |
| 2 | 17.0 ± 1.3 | 7.8 ** | 2 |
| 3 | 47.5 ± 2.2 | 4.3 ± 0.6 | 11 |
| Rimantadine | 62 ± 4 | 11 ± 2 | 6 |
| Oseltamivir | >200 | 0.3 ± 0.01 | >667 |
| Compound | 3 |
|---|---|
| Physicochemical Properties | |
| Formula | C32H49F3O5 |
| Molecular weight | 570.72 g/mol |
| Num. heavy atoms | 40 |
| Num. arom. heavy atoms | 0 |
| Fraction Csp3 | 0.97 |
| Num. rotatable bonds | 6 |
| Num. H-bond acceptors | 8 |
| Num. H-bond donors | 0 |
| Molar refractivity | 147.54 |
| TPSA | 53.99 Å2 |
| Lipophilicity | |
| Log Po/w (iLOGP) | 5.65 |
| Log Po/w (XLOGP3) | 9.27 |
| Log Po/w (WLOGP) | 9.62 |
| Log Po/w (MLOGP) | 6.53 |
| Log Po/w (SILICOS-IT) | 6.66 |
| Consensus log Po/w | 7.54 |
| Water Solubility | |
| Log S (ESOL) | 5.65 |
| Solubility | 9.27 |
| Class | 9.62 |
| Log S (Ali) | 6.53 |
| Solubility | 6.66 |
| Class | 7.54 |
| Log S (SILICOS-IT) | −8.82 |
| Solubility | 8.59 × 10−7 mg/mL; 1.50 × 10−9 mol/L |
| Class | Poorly soluble |
| Pharmacokinetics | |
| GI absorption | Low |
| BBB permeant | No |
| P-gp substrate | No |
| CYP1A2 inhibitor | No |
| CYP2C19 inhibitor | Yes |
| CYP2C9 inhibitor | No |
| CYP2D6 inhibitor | No |
| CYP3A4 inhibitor | No |
| Log Kp (skin permeation) | −3.20 cm/s |
| Drug-likeness | |
| Lipinski | No; 2 violations: MW > 500, MLOGP > 4.15 |
| Ghose | No; 4 violations: MW > 480, WLOGP > 5.6, MR > 130; atoms > 70 |
| Veber | Yes |
| Egan | No; 1 violation: WLOGP > 5.88 |
| Muegge | No; 1 violation: XLOGP3 > 5 |
| Bioavailability score | 0.17 |
| Medicinal Chemistry | |
| PAINS | 0 alert |
| Brenk | 1 alert: peroxide |
| Leadlikeness | No; 2 violations: MW > 350, XLOGP3 > 3.5 |
| Synthetic accessibility | 7.77 |
| Compound | Predicted Biological Activities, (Pa) * |
|---|---|
| 3 | Acylcarnitine hydrolase (0.908); Antiprotozoal (0.869); Alkylacetylglycerophosphatase (0.850); Alkenylglycerophosphocholine hydrolase (0.850); Cholesterol antagonism (0.839); Glyceryl-ether monooxygenase (0.785) Antieczematic (0.788); Adenomatous polyposis treatment (0.767); Antipruritic (0.723); Dermatologic (0.689); CYP7 inhibitor (0.597); Antiviral (Rhinovirus) (0.501) |
Disclaimer/Publisher’s Note: The statements, opinions and data contained in all publications are solely those of the individual author(s) and contributor(s) and not of MDPI and/or the editor(s). MDPI and/or the editor(s) disclaim responsibility for any injury to people or property resulting from any ideas, methods, instructions or products referred to in the content. |
© 2025 by the authors. Licensee MDPI, Basel, Switzerland. This article is an open access article distributed under the terms and conditions of the Creative Commons Attribution (CC BY) license (https://creativecommons.org/licenses/by/4.0/).
Share and Cite
Smirnova, I.; Lobov, A.; Zakirova, L.; Polovyanenko, D.; Bagryanskaya, I.; Zarubaev, V.; Kazakova, O. A Stereospecific Synthesis and In Vitro Anti-Influenza H1N1 Properties of Lithocholic Acid-Based Spiro-1,2,4-trioxolane. Molecules 2025, 30, 4613. https://doi.org/10.3390/molecules30234613
Smirnova I, Lobov A, Zakirova L, Polovyanenko D, Bagryanskaya I, Zarubaev V, Kazakova O. A Stereospecific Synthesis and In Vitro Anti-Influenza H1N1 Properties of Lithocholic Acid-Based Spiro-1,2,4-trioxolane. Molecules. 2025; 30(23):4613. https://doi.org/10.3390/molecules30234613
Chicago/Turabian StyleSmirnova, Irina, Alexander Lobov, Liana Zakirova, Dmitriy Polovyanenko, Irina Bagryanskaya, Vladimir Zarubaev, and Oxana Kazakova. 2025. "A Stereospecific Synthesis and In Vitro Anti-Influenza H1N1 Properties of Lithocholic Acid-Based Spiro-1,2,4-trioxolane" Molecules 30, no. 23: 4613. https://doi.org/10.3390/molecules30234613
APA StyleSmirnova, I., Lobov, A., Zakirova, L., Polovyanenko, D., Bagryanskaya, I., Zarubaev, V., & Kazakova, O. (2025). A Stereospecific Synthesis and In Vitro Anti-Influenza H1N1 Properties of Lithocholic Acid-Based Spiro-1,2,4-trioxolane. Molecules, 30(23), 4613. https://doi.org/10.3390/molecules30234613

