Green Contributions to the Chemistry of Perezone and Oxidation of the Double Bond of the Side Chain: A Theoretical Study and Cytotoxic Evaluation in MDA-MB231 Cells
Abstract
1. Introduction
2. Results and Discussion
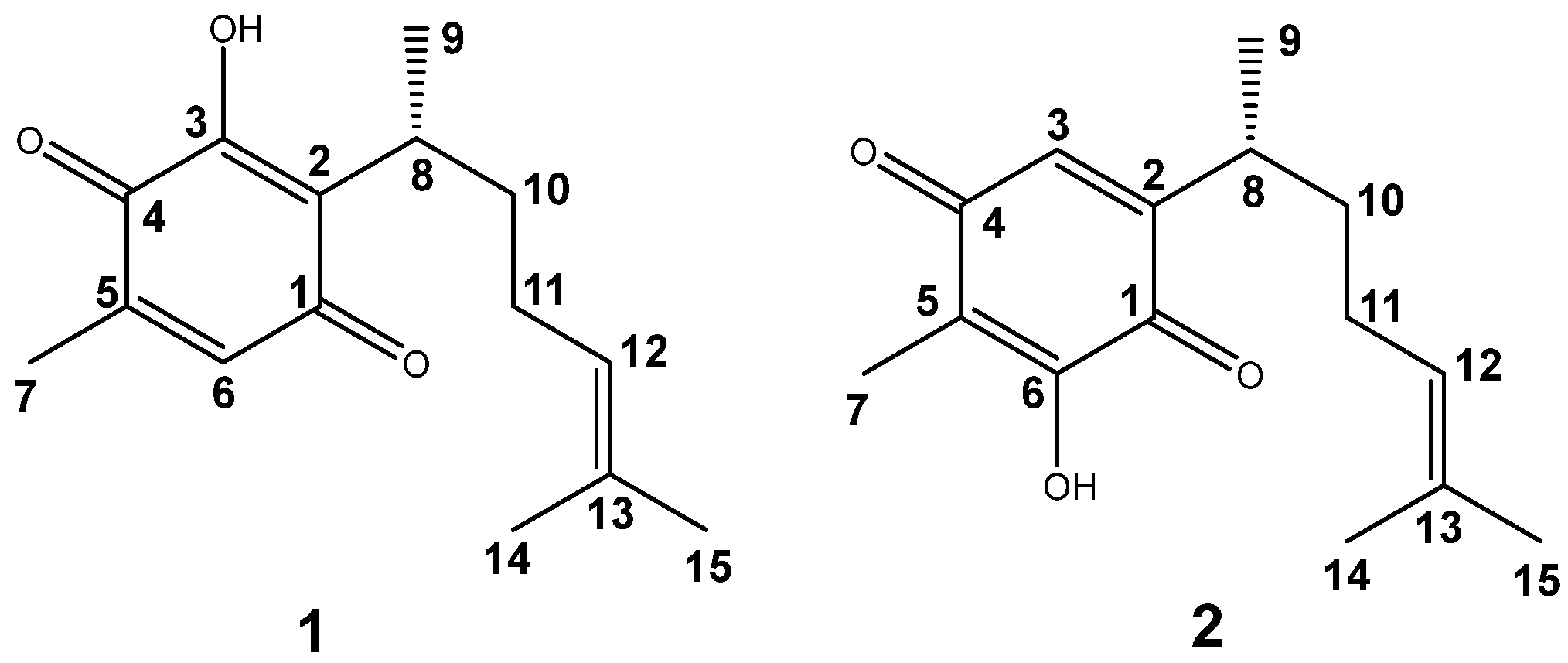
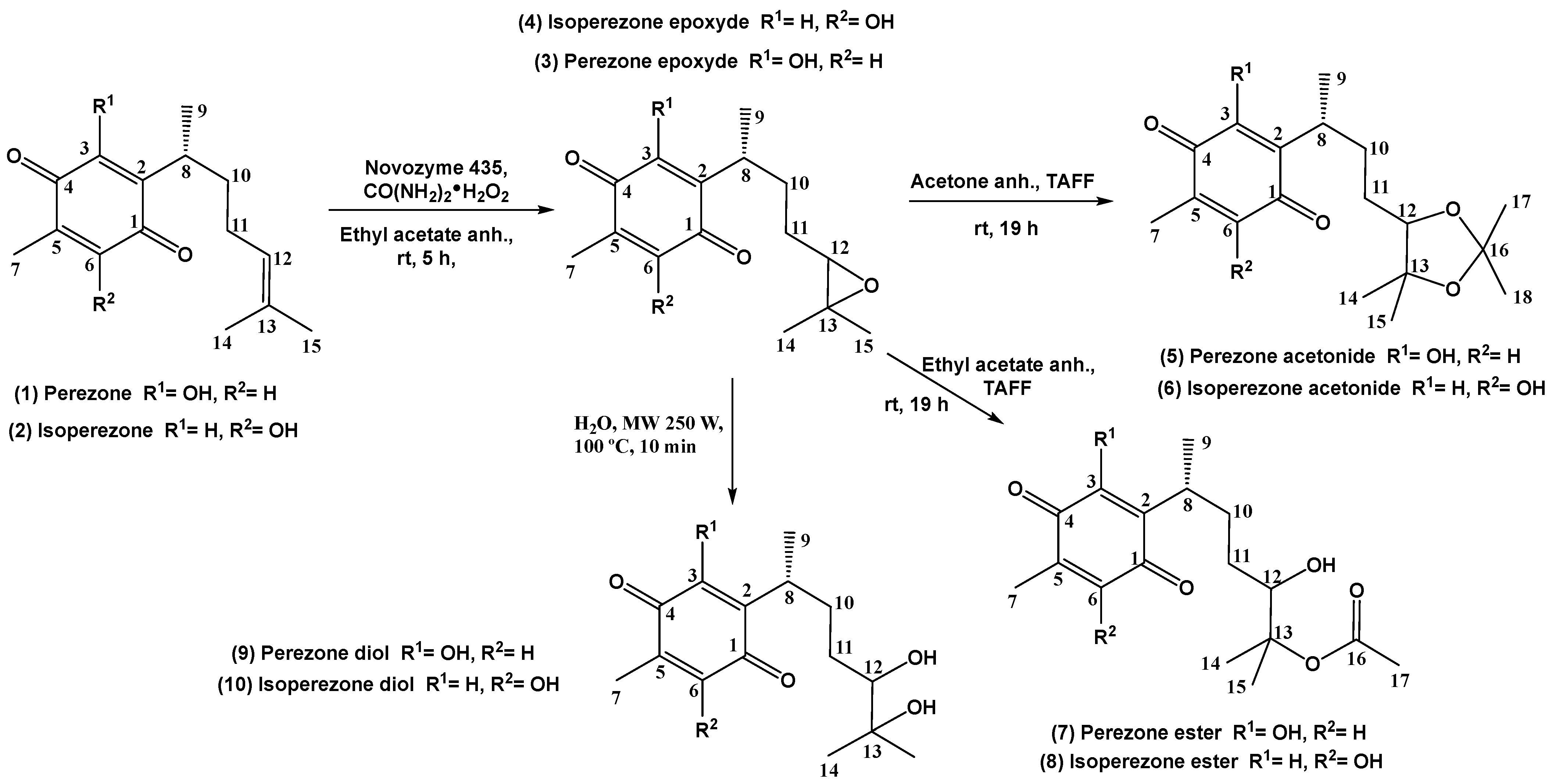
2.1. Classic Oxidations for the Double Bond of the Side Chain in 1 and 2
2.2. Green Oxidations for the Double Bond of the Side Chain in 1 and 2
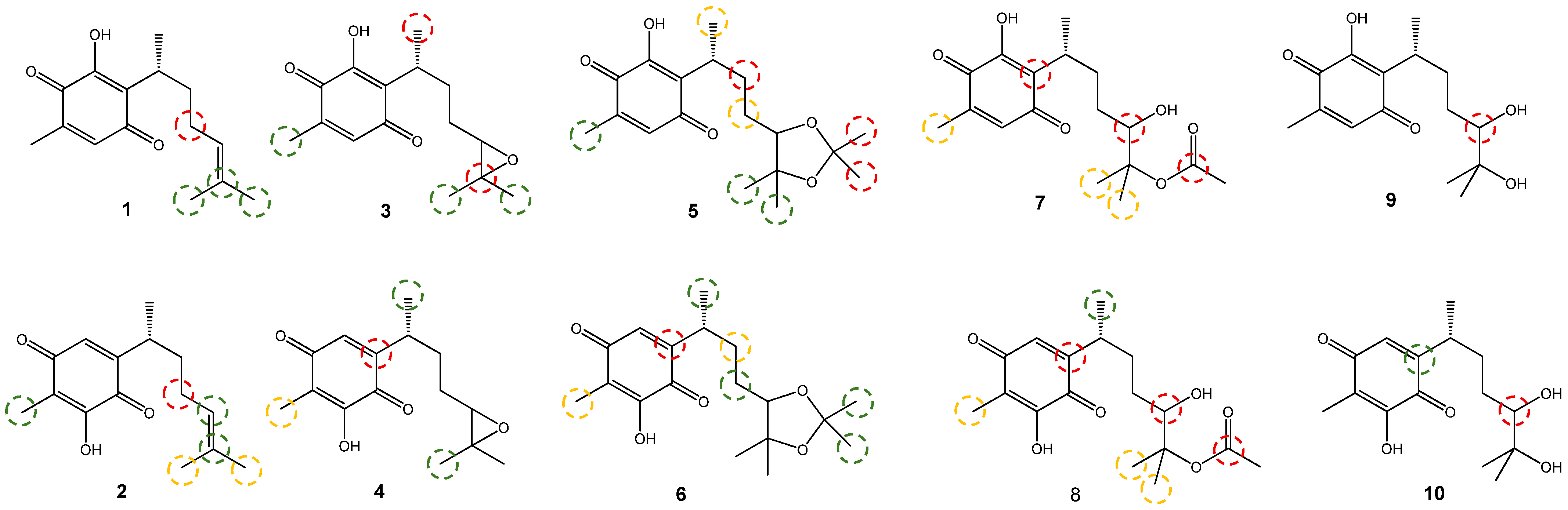
2.3. Structural Attribution
2.4. Cytotoxic Evaluation of the Target Molecules
2.5. In Silico Study of Molecules 3–10
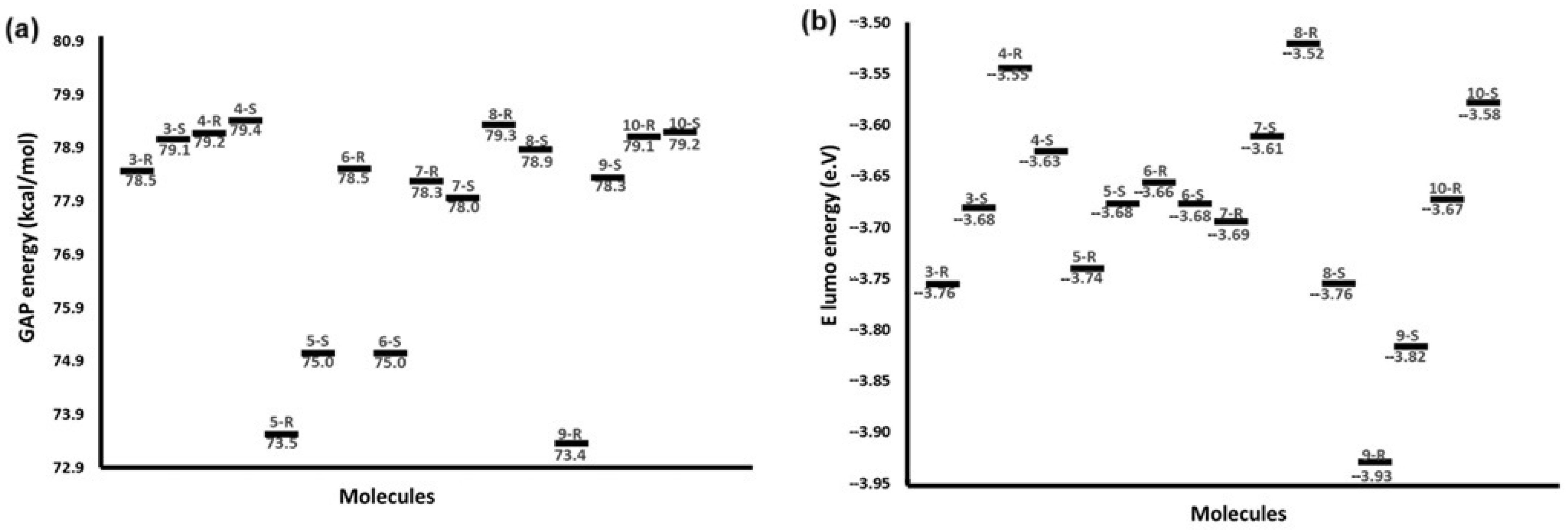
2.5.1. Determination of Geometric and Spectroscopic Parameters
2.5.2. Theoretical–Experimental Correlation of 1H and 13C Nuclear Magnetic Resonance Chemical Shifts

| Molecules | Equations | Quantity of Hydrogen Removed from the Hydroxyl Groups | Regression Coefficient |
|---|---|---|---|
| (a) | |||
| 3 | δexperimental = 1.0323δTheoretical + 0.0412 | 0 | 0.9880 |
| 4 | δexperimental = 1.0068δTheoretical + 0.0466 | 0 | 0.9925 |
| 5 | δexperimental = 1.0327δTheoretical − 0.1058 | 0 | 0.9683 |
| 6 | δexperimental = 1.0325δTheoretical − 0.0072 | 0 | 0.9696 |
| 7 | δexperimental = 1.0634δTheoretical − 0.0014 | 1 | 0.9601 |
| 8 | δexperimental = 1.0384δTheoretical − 0.1080 | 1 | 0.9577 |
| 9 | δexperimental = 0.9511δTheoretical + 0.1825 | 2 | 0.9874 |
| 10 | δexperimental = 1.0366δTheoretical + 0.0048 | 2 | 0.9843 |
| (b) | |||
| 3 | δexperimental = 0.9809δTheoretical − 5.3893 | - | 0.9983 |
| 4 | δexperimental = 0.9787δTheoretical − 5.1785 | - | 0.9907 |
| 5 | δexperimental = 0.9607δTheoretical − 1.2015 | - | 0.9982 |
| 6 | δexperimental = 0.9671δTheoretical − 3.7242 | - | 0.9921 |
| 7 | δexperimental = 0.9679δTheoretical − 4.0003 | - | 0.9927 |
| 8 | δexperimental = 0.9760δTheoretical − 5.1174 | - | 0.9599 |
| 9 | δexperimental = 0.9737δTheoretical − 3.3727 | - | 0.9968 |
| 10 | δexperimental = 0.9761δTheoretical − 3.4590 | - | 0.9960 |
2.5.3. Molecular Orbital Analysis
2.5.4. Molecular Electrostatic Potential Maps
2.5.5. Prediction of Toxicological and Physicochemical Properties
2.5.6. Study of Molecular Coupling in the Apoptosis Pathway
2.5.7. Prediction of Pharmacological and Metabolic Properties
2.5.8. Metabolism of Human Phase I Perezone and Isoperezone Derivatives
3. Materials and Methods
3.1. Materials and Equipment
3.2. Molecules Obtained by Oxidation of the C12™C13 Bond
3.2.1. Production of Epoxides 3 and 4 from Perezone (1) and Isoperezone (2)
3.2.2. Acetonides 5 and 6 from Epoxides 3 and 4
3.2.3. Monoacetylated Diols 7 and 8 from Epoxides 3 and 4
3.2.4. Diols 9 and 10 from 1 and 2 or Epoxides 3 and 4
Telescoped Process
Hydrolysis Activated by Microwave
3.3. Cytotoxicity Studies
3.3.1. Cytotoxicity Test Using the 3-(4,5-Dimethylthiazol-2-yl)-2,5-diphenyl Tetrazolium Bromide Technique (MTT Test)
3.3.2. IC50 Determination
3.4. Statistical Process Control
3.5. Computational Theoretical Chemistry Studies
3.5.1. Computational Theoretical Chemistry Studies at the Quantum Level
3.5.2. Molecular Coupling Simulation
3.5.3. Physicochemical Properties Studies
3.5.4. Studies of Metabolism, Absorption, and Excretion
3.5.5. Phase I and II Metabolism Studies
4. Conclusions
Supplementary Materials
Author Contributions
Funding
Institutional Review Board Statement
Informed Consent Statement
Data Availability Statement
Acknowledgments
Conflicts of Interest
References
- Concepción Lozada, M.; Soria-Arteche, O.; Teresa Ramírez Apan, M.; Nieto-Camacho, A.; Enríquez, R.G.; Izquierdo, T.; Jiménez-Corona, A. Synthesis, cytotoxic and antioxidant evaluations of amino derivatives from Perezone. Bioorg. Med. Chem. 2012, 20, 5077–5084. [Google Scholar] [CrossRef]
- Escobedo-González, R.; Mendoza, P.; Nicolás-Vázquez, I.; Hernández-Rodríguez, M.; Martínez, J.; Miranda Ruvalcaba, R. A Timeline of Perezone, the First Isolated Secondary Metabolite from the New World, Covering the Time from 1852 to 2020. In Progress in the Chemistry of Organic Natural Products; Kinghorn, A.D., Falk, H., Gibbons, S., Asakawa, Y., Liu, J.-K., Dirsch, V.M., Eds.; Springer International Publishing: Cham, Switzerland, 2022; Volume 116, pp. 67–134. [Google Scholar] [CrossRef]
- Anastas, P.; Warner, J. Green Chemistry: Theory and Practice; Oxford University Press: Oxford, NY, USA, 1998. [Google Scholar] [CrossRef]
- Miranda Ruvalcaba, R.; Cid del Prado Mejía, K.; Noguez Córdova, M.O.; Escobedo González, R.G.; Martínez, J.O.; Cortés Ruiz Velasco, J.F.; Reyes Sánchez, L.B.; Morales, D. Química Verde Principio por Principio, 1st ed.; UNAM-Autonomus National University of Mexico: Mexico City, Mexico, 2024; Volume 1, ISBN 978-607-30-8720-9. [Google Scholar]
- Nicolaou, K.C.; Adsool, V.A.; Hale, C.R.H. An expedient procedure for the oxidative cleavage of olefinic bonds with PhI(OAc)2, NMO, and catalytic OsO4. Org. Lett. 2010, 12, 1552–1555. [Google Scholar] [CrossRef] [PubMed]
- Miranda, R.; Ríos, H.; Delgado, F.; Castro, M.; Cogordán, A.; Salmón, M. Characterization of a bentonitic clay and its application as catalyst in the preparation of benzyltoluenes and oligotoluenes. Appl. Catal. A Gen. 2003, 244, 217–233. [Google Scholar] [CrossRef]
- Martínez, J.; Cortés, J.F.; Miranda, R. Green chemistry metrics: A review. Processes 2022, 10, 1274. [Google Scholar] [CrossRef]
- Chen, B.; Hu, J.; Miller, E.; Xie, W.; Cai, M. Candida antarctica Lipase B chemically immobilized on epoxy-activated micro-and nanobeads: Catalysts for polyester synthesis. Biomacromolecules 2008, 9, 463–471. [Google Scholar] [CrossRef]
- Miranda, R.; Arroyo, G.; Penieres, G.; Delgado, F. Preparative heterocyclic chemistry using Tonsil a bentonitic clay; 1981 to 2003. Trends Heterocycl. Chem. 2003, 9, 195–235. [Google Scholar]
- Soetaredjo, F.E.; Ayucitra, A.; Ismadji, S.; Maukar, A.L. KOH/bentonite catalysts for transesterification of palm oil to biodiesel. Appl. Clay Sci. 2011, 53, 341–346. [Google Scholar] [CrossRef]
- Smith, M.B. March’s Advanced Organic Chemistry: Reactions, Mechanisms, and Structure, 8th ed.; John Wiley & Sons: Hoboken, NJ, USA, 2020; ISBN 1119371805. [Google Scholar]
- Sánchez-Torres, L.E.; Torres-Martínez, J.A.; Godínez-Victoria, M.; Omar, J.-M.; Velasco-Bejarano, B. Perezone and its isomer isoperezone induce caspase-dependent and caspase-independent cell death. Phytomedicine 2010, 17, 614–620. [Google Scholar] [CrossRef] [PubMed]
- Abreu, P.A.; Wilke, D.V.; Araujo, A.J.; Marinho-Filho, J.D.B.; Ferreira, E.G.; Ribeiro, C.M.R.; Pinheiro, L.S.; Amorim, J.W.; Valverde, A.L.; Epifanio, R.A.; et al. Perezone, from the Gorgonian Pseudopterogorgia rigida, induces oxidative stress in human leukemia cells. Rev. Bras. Farmacogn. 2015, 25, 634–640. [Google Scholar] [CrossRef]
- Deppmeier, B.J.; Driessen, A.J.; Hehre, T.S.; Hehre, W.J.; Johnson, J.A.; Klunzinger, P.E.; Leonard, J.M.; Pham, I.N.; Pietro, W.J.; Jianguo, Y.; et al. Spartan 06; Wavefunction Inc.: Irvine, CA, USA, 2006. [Google Scholar]
- Frisch, A.; Nielsen, A.B.; Holder, A.J. GaussView Users Manual; Gaussian Inc.: Pittsburg, PA, USA, 2000. [Google Scholar]
- Soriano-García, M.; Toscano, R.A.; Flores-Valverde, E.; Montoya-Vega, F.; López-Celis, I. Structure of 2-(1,5-dimethyl-4-hexenyl)-3-hydroxy-5-methyl-1,4-benzoquinone (Perezone), a sesquiterpene. Acta Cryst. 1986, 42, 327–329. [Google Scholar] [CrossRef]
- Enríquez, R.G.; Fernández, G.J.M.; Gnecco, D.; Pénicaud, A.; Reynolds, W.F. The crystal and molecular structures of isoperezone, aminoperezone, and isoaminoperezone: A comparative study of their crystal packing. J. Chem. Crystallogr. 1998, 28, 529–537. [Google Scholar] [CrossRef]
- Sankar, T.; Raju, P.; Mohanakrishnan, A.K.; Naveen, S.; Lokanath, N.; Gunasekaran, K. Crystal structure analysis of epoxy derivatives. Struct. Chem. Cryst. Commun. 2015, 1, 1–4. [Google Scholar] [CrossRef]
- Xu, J.-F.; Jian-Long, D.; Deng, Q.; Gu, X.-F.; Tang, Y.; Zhang, Z.-F. Synthesis of cyclohexanone pentaerythritol ketal catalyzed by sulfonated zeolite. In Proceedings of the 3rd International Conference on Material Engineering and Application (ICMEA 2016), Hong Kong, China, 19–21 August 2016. [Google Scholar]
- Allen, F.H.; Kennard, O.; Watson, D.G.; Brammer, L.; Orpen, A.G.; Taylor, R. Tables of bond lengths determined by X-Ray and neutron diffraction. Part 1. Bond lengths in organic compounds. J. Chem. Soc. Perkin Trans. 1987, 2, S1–S19. [Google Scholar] [CrossRef]
- Ermer, O.; Dunitz, J.D.; Bernal, I. The structures of medium-ring compounds. XVIII. X-Ray and neutron diffraction analysis of cyclodecane-1,6-trans-diol. Acta Crystallogr. B 1973, 29, 2278–2285. [Google Scholar] [CrossRef]
- Abraham, R.J.; Bardsley, B.; Mobli, M.; Smith, R.J. 1H chemical shifts in NMR. Part 21-prediction of the 1H chemical shifts of molecules containing the ester group: A modelling and ab initio investigation. Magn. Reson. Chem. 2005, 43, 3–15. [Google Scholar] [CrossRef]
- Martínez, J.; Rodríguez, M.H.; Escobedo-González, R.; Nicolás-Vázquez, M.I.; Saavedra-Leos, Z.; Ruvalcaba, R.M. Computational characterization of perezone, isoperezone and their sulfur-derivatives: Anti-inflammatory activity. ChemistrySelect 2019, 4, 13333–13346. [Google Scholar] [CrossRef]
- Ballinas-Indilí, R.; Nicolás-Vázquez, M.I.; Martínez, J.; Ramírez-Apan, T.; Álvarez-Toledano, C.; Toscano, A.; Hernández-Rodríguez, M.; Mera Jiménez, E.; Miranda Ruvalcaba, R. Synthesis, cytotoxic activity and in silico study of novel dihydropyridine carboxylic acids derivatives. Int. J. Mol. Sci. 2023, 24, 15414. [Google Scholar] [CrossRef] [PubMed]
- Gersch, M.; Kreuzer, J.; Sieber, S.A. Electrophilic natural products and their biological targets. Nat. Prod. Rep. 2012, 29, 659–682. [Google Scholar] [CrossRef] [PubMed]
- De La Peña, A.; Izaguirre, R.; Baños, G.; Viveros, M.; Enriquez, R.G.; Fernandez, J.M. Effect of perezone, aminoperezone and their corresponding isomers isoperezone and isoaminoperezone upon in vitro platelet aggregation. Phytomedicine 2001, 8, 465–468. [Google Scholar] [CrossRef] [PubMed]
- Moyers-Montoya, E.D.; Castañeda-Muñoz, M.J.; Márquez-Olivas, D.; Miranda-Ruvalcaba, R.; Martínez-Pérez, C.A.; García-Casillas, P.E.; Montejo-López, W.; Nicolás-Vázquez, M.I.; Escobedo-González, R.G. Theoretical-cheminformatic study of four indolylphytoquinones, prospective anticancer candidates. Pharmaceuticals 2024, 17, 1595. [Google Scholar] [CrossRef]
- Escobedo-González, R.G.; Moyers-Montoya, E.D.; Martínez-Pérez, C.A.; García-Casillas, P.E.; Miranda-Ruvalcaba, R.; Nicolás-Vázquez, M.I.N. In silico study of novel cyclodextrin inclusion complexes of polycaprolactone and its correlation with skin regeneration. Int. J. Mol. Sci. 2023, 24, 8932. [Google Scholar] [CrossRef]
- Sander, T. OSIRIS Property Explorer. Available online: https://www.cheminfo.org/flavor/cheminformatics/Utility/Property_explorer/index.html (accessed on 1 July 2024).
- Sander, T.; Freyss, J.; von Korff, M.; Rufener, C. DataWarrior: An open-source program for chemistry aware data visualization and analysis. J. Chem. Inf. Model 2015, 55, 460–473. [Google Scholar] [CrossRef]
- Sipinen, V.; Laubenthal, J.; Baumgartner, A.; Cemeli, E.; Linschooten, J.O.; Godschalk, R.W.L.; Van Schooten, F.J.; Anderson, D.; Brunborg, G. In vitro evaluation of baseline and induced DNA damage in human sperm exposed to benzo[a]pyrene or its metabolite benzo[a]pyrene-7,8-diol-9,10-epoxide, using the comet assay. Mutagenesis 2010, 25, 417–425. [Google Scholar] [CrossRef] [PubMed]
- Polkam, N.; Ramaswamy, V.R.; Rayam, P.; Allaka, T.R.; Anantaraju, H.S.; Dharmarajan, S.; Perumal, Y.; Gandamalla, D.; Yellu, N.R.; Balasubramanian, S.; et al. Synthesis, molecular properties prediction and anticancer, antioxidant evaluation of new edaravone derivatives. Bioorg. Med. Chem. Lett. 2016, 26, 2562–2568. [Google Scholar] [CrossRef] [PubMed]
- Cheminformatics, M. Mol Inspiration 2010. Available online: http://www.molinspiration.com (accessed on 27 November 2025).
- Lipinski, C.A.; Lombardo, F.; Dominy, B.W.; Feeney, P.J. Experimental and computational approaches to estimate solubility and permeability in drug discovery and development settings. Adv. Drug Deliv. Rev. 1997, 23, 3–25. [Google Scholar] [CrossRef]
- Wood, A.W.; Wislocki, P.G.; Chang, R.L.; Levin, W.; Lu, A.Y.; Yagi, J.; Hernandez, O.; Herina, D.M.; Conney, A.H. Mutagenicity and cytotoxicity of benzo(a)pyrene benzo-ring epoxides. Cancer Res. 1976, 36, 3358–3366. [Google Scholar]
- Ertl, P.; Schuffenhauer, A. Estimation of synthetic accessibility score of drug-like molecules based on molecular complexity and fragment contributions. J. Cheminform. 2009, 1, 8. [Google Scholar] [CrossRef]
- Tariq, M.; Sirajuddin, M.; Ali, S.; Khalid, N.; Tahir, M.N.; Khan, H.; Ansari, T.M. Pharmacological investigations and Petra/Osiris/Molinspiration (POM) analyses of newly synthesized potentially bioactive organotin (IV) carboxylates. J. Photochem. Photobiol. B 2016, 158, 174–183. [Google Scholar] [CrossRef]
- Greeff, J.; Joubert, J.; Malan, S.F.; van Dyk, S. Antioxidant properties of 4-quinolones and structurally related flavones. Bioorg. Med. Chem. 2012, 20, 809–818. [Google Scholar] [CrossRef]
- Carrillo Cabrera, Y.; Camacho Montes, H.; Matínez Pérez, C.; Betancourt Galindo, R.; Espinosa Neira, R.; Escobedo-González, R.G.; Nicolás Vázquez, M.I.; García-Casillas, P.E. Multivitamin complex-loaded electrospun polyvinyl alcohol core/shell structure fibers for transdermal delivery system: In-silico and experimental studies. J. Drug. Deliv. Sci. Technol. 2024, 92, 105292. [Google Scholar] [CrossRef]
- Hongmei, Z. Extrinsic and Intrinsic Apoptosis Signal Pathway Review. In Apoptosis and Medicine; IntechOpen: London, UK, 2012. [Google Scholar] [CrossRef]
- Morris, G.M.; Ruth, H.; Lindstrom, W.; Sanner, M.F.; Belew, R.K.; Goodsell, D.S.; Olson, A.J. AutoDock4 and AutoDockTools4: Automated docking with selective receptor flexibility. J. Comput. Chem. 2009, 30, 2785–2791. [Google Scholar] [CrossRef]
- Dassault Systèmes. BIOVIA Discovery Studio Visualizer, Client 19.1; Dassault Systèmes: Vélizy-Villacoublay, France, 2019.
- El-Sheref, E.; Aly, A.A.; Alshammari, M.B.; Brown, A.B.; Abdel-Hafez, S.M.N.; Abdelzaher, W.Y.; Bräse, S.; Abdelhafez, E.M.N. Design, synthesis, molecular docking, antiapoptotic and caspase-3 inhibition of new 1,2,3-triazole/bis-2(1H)-quinoline hybrids. Molecules 2020, 25, 5057. [Google Scholar] [CrossRef]
- Saeed, M.; Tasleem, M.; Siddiqui, S.; Upadhyay, T.K.; Bhardwaj, T.; Alam, M.J.; Alqathani, S.S.; Bardakci, F.; Almuzaini, N.; Hussain Abdalla, R.A.; et al. Exploring the potential of plumbagin as an activator of caspase-3 for non-small cell lung carcinoma: A comprehensive in silico study. Ind. J. Pharm. Edu. Res. 2024, 58, 526–534. [Google Scholar] [CrossRef]
- Krishna Ghanta, M.; Nayaka, S.R.; Nuthalaphati, P.; Afzal Khan, A.K.; Elango, P.; Bhaskar, L.V.K.S. Molecular docking study of Momordica charantia Linn phytoconstituent with caspase 3 and implications for renoprotective actions in diabetes mellitus. J. Nephropharmacol. 2025, 14, e10394. [Google Scholar] [CrossRef]
- Hongbin, Y.; Chaofeng, L.; Lixia, S.; Jie, L.; Yingchun, C.; Zhuang, W.; Weihua, L.; Guixia, L.; Yun, T. AdmetSAR. Available online: http://lmmd.ecust.edu.cn/admetsar2/about/ (accessed on 1 February 2024).
- Mishra, N.K.; Agarwal, S.; Raghava, G.P.S. Prediction of cytochrome P450 isoform responsible for metabolizing a drug molecule. BMC Pharmacol. 2010, 10, 8. [Google Scholar] [CrossRef] [PubMed]
- Brown, C.M.; Reisfeld, B.; Mayeno, A.N. Cytochromes P450: A structure-based summary of biotransformations using representative substrates. Drug Metab. Rev. 2008, 40, 1–100. [Google Scholar] [CrossRef]
- Chen, L.; Li, Y.; Zhao, Q.; Peng, H.; Hou, T. ADME evaluation in drug discovery. 10. Predictions of P-glycoprotein inhibitors using recursive partitioning and Naive Bayesian classification techniques. Mol. Pharm. 2011, 8, 889–900. [Google Scholar] [CrossRef] [PubMed]
- Carlsson, L.; Spjuth, O.; Adams, S.; Glen, R.C.; Boyer, S. Use of historic metabolic biotransformation data as a means of anticipating metabolic sites using metaprint2D and bioclipse. BMC Bioinform. 2010, 11, 362. [Google Scholar] [CrossRef]
- Casey, M.; Leonard, J.; Lygo, B.; Procter, G. Advanced Practical Organic Chemistry; Springer: New York, NY, USA, 1990; ISBN 978-0-216-92796-4. [Google Scholar]
- Rodríguez-Hernández, A.; Barrios, H.; Collera, O.; Enríquez, R.G.; Ortiz, B.; Sánchez-obregón, R.; Walls, F.; Yuste, F.; Reynolds, W.F.; Yu, M. Isomerization of perezone into isoperezone and preparation of dihydroisoperezinone. Nat. Prod. Lett. 1994, 4, 133–139. [Google Scholar] [CrossRef]
- GraphPad Software Inc. GraphPad PRISM, v. 9.0.0; Statistical Program; GraphPad Software Inc.: San Diego, CA, USA, 2020.
- Frisch, J.M.; Trucks, G.W.; Schlegel, H.B.; Scuseria, G.E.; Robb, M.A.; Cheeseman, J.R.; Scalmani, G.; Barone, V.; Mennucci, B.; Petersson, G.A.; et al. Gaussian 09, Revision D. 01; Gaussian Inc.: Wallingford, CT, USA, 2009.
- Mustafa, N.N.; El-Desouky, M.A.; Shawush, N.A.; Hanna, D.H. Apoptosis induction in ascorbic acid treated human colorectal cancer cell lines (Caco-2). J. Biol. Act. Prod. Nat. 2025, 15, 56–71. [Google Scholar] [CrossRef]
- Parr, R.G.; Donnelly, R.A.; Levy, M.; Palke, W.E. Electronegativity: The density functional viewpoint. J. Chem. Phys. 2008, 68, 3801. [Google Scholar] [CrossRef]
- Parr, R.G.; Yang, W. Density-functional theory of the electronic structure of molecules. Annu. Rev. Phys. Chem. 1995, 46, 701–728. [Google Scholar] [CrossRef] [PubMed]
- Becke, A.D. Density-functional thermochemistry. III. The role of exact exchange. J. Chem. Phys. 1993, 98, 5648–5652. [Google Scholar] [CrossRef]
- Lee, C.; Yang, W.; Parr, R.G. Development of the Colle-Salvetti correlation-energy formula into a functional of the electron density. Phys. Rev. B 1988, 37, 785. [Google Scholar] [CrossRef]
- Clark, T.; Chandrasekhar, J.; Spitznagel, G.W.; Schleyer, P.V.R. Efficient diffuse function-augmented basis sets for anion calculations. III. The 3-21+G basis set for first-row elements, Li-F. J. Comput. Chem. 1983, 4, 294–301. [Google Scholar] [CrossRef]
- London, F. Théorie quantique des courants interatomiques dans les combinaisons aromatiques. J. Phys. Radium. 1937, 8, 397–409. [Google Scholar] [CrossRef]
- Buhl, M.; Kaupp, M.; Malkina, O.L.; Malkin, V.G. The DFT route to NMR chemical shifts. J. Comput. Chem. 1999, 20, 91–105. [Google Scholar] [CrossRef]
- Frisch, J.M.; Trucks, G.W.; Schlegel, H.B.; Scuseria, G.E.; Robb, M.A.; Cheeseman, J.R.; Scalmani, G.; Barone, V.; Petersson, G.A.; Nakatsuji, H.; et al. Gaussian 16, Revision C.01; Gaussian Inc.: Wallingford, CT, USA, 2016.
- Glendening, E.D.; Reed, A.E.; Carpenter, J.E.; Weinhold, F. NBO Version 3.1; University of Wisconsin: Madison, WI, USA, 1998. [Google Scholar]
- Gangadharan, R.P.; Sampath Krishnan, S. First order hyperpolarizabilities, NPA and Fukui functions of cyclohexanone by density functional theory method. Acta Phys. Pol. A 2015, 127, 748–752. [Google Scholar] [CrossRef]
- Politzer, P.; Laurence, P.R.; Jayasuriya, K. Molecular electrostatic potentials: An effective tool for the elucidation of biochemical phenomena. Environ. Health Perspect. 1985, 61, 191. [Google Scholar] [CrossRef]
- Roy, D.D.; Todd, A.K.; John, M.M. GaussView, v.5.0.8.; Gaussian Inc.: Wallingford, CT, USA, 2009.
- Solania, A.; González-Páez, G.E.; Wolan, D.W. Selective and rapid cell-permeable inhibitor of human caspase-3. ACS Chem. Biol. 2019, 14, 2463–2470. [Google Scholar] [CrossRef]
- Ramírez, D.; Caballero, J. Is it reliable to take the molecular docking top scoring position as the best solution without considering available structural data? Molecules 2018, 23, 1038. [Google Scholar] [CrossRef] [PubMed]
- Wang, L.; Xu, Y.; Zhao, X.; Zhu, X.; He, X.; Sun, A.; Zhuang, G. Antagonistic effects of N-acetylcysteine on lead-induced apoptosis and oxidative stress in chicken embryo fibroblast cells. Heliyon 2023, 9, e21847. [Google Scholar] [CrossRef] [PubMed]
- Adams, S.E. Molecular Similarity and Xenobiotic Metabolism; Apollo-University of Cambridge Repository: Cambridge, UK, 2010. [Google Scholar] [CrossRef]
- Piechota, P.; Cronin, M.T.; Hewitt, M.; Madden, J.C. Pragmatic approaches to using computational methods to predict xenobiotic metabolism. J. Chem. Inf. Model. 2013, 53, 1282–1293. [Google Scholar] [CrossRef] [PubMed]










| Compound | IC50 (μM) | IC50 (μg/mL) | Mortality (%) 3 |
|---|---|---|---|
| Cisplatin | 40.53 ± 0.135 1 | - | - |
| 1 | 13.2 2 | - | - |
| 2 | 19.31 ± 0.05 | 4.79 ± 0.01 | - |
| 3 | 9.62 ± 0.76 | 2.54 ± 0.2 | 19.51 ± 3.27 |
| 4 | 114.39 ± 31.82 | 30.2 ± 8.4 | 42.38 ± 0.19 |
| 5 | 74.91 ± 14.75 | 24.12 ± 4.75 | 90.70 ± 0.58 |
| 6 | 8.44 ± 1.46 | 2.72 ± 0.47 | 18.39 ± 1.54 |
| 7 | 102.53 ± 5.96 | 33.22 ± 1.93 | 96.82 ± 2.76 |
| 9 | 100.53 ± 19.15 | 28.35 ± 5.4 | 46.41 ± 1.08 |
| 10 | 139.75 ± 6.13 | 39.41 ± 1.73 | 68.72 ± 1.08 |
| Bond | 1 1 | 3-R | 3-S | 5-R | 5-S | 7-R | 7-S | 9-R | 9-S |
|---|---|---|---|---|---|---|---|---|---|
| C1=O | 1.226 | 1.225 | 1.224 | 1.225 | 1.225 | 1.225 | 1.225 | 1.223 | 1.226 |
| C1−C2 | 1.469 | 1.479 | 1.481 | 1.480 | 1.480 | 1.480 | 1.479 | 1.485 | 1.480 |
| C2−C3 | 1.334 | 1.355 | 1.354 | 1.355 | 1.355 | 1.355 | 1.355 | 1.353 | 1.354 |
| C3−C4 | 1.498 | 1.497 | 1.496 | 1.496 | 1.496 | 1.496 | 1.495 | 1.494 | 1.497 |
| C4−C5 | 1.472 | 1.481 | 1.481 | 1.481 | 1.482 | 1.481 | 1.482 | 1.481 | 1.481 |
| C4=O | 1.220 | 1.224 | 1.225 | 1.225 | 1.225 | 1.225 | 1.225 | 1.225 | 1.225 |
| C5−C6 | 1.332 | 1.342 | 1.342 | 1.342 | 1.342 | 1.342 | 1.342 | 1.342 | 1.342 |
| C6−C1 | 1.469 | 1.492 | 1.492 | 1.480 | 1.492 | 1.493 | 1.492 | 1.492 | 1.492 |
| C5−C7 | 1.507 | 1.498 | 1.498 | 1.498 | 1.498 | 1.498 | 1.498 | 1.498 | 1.498 |
| C6/C3−O | 1.347 | 1.344 | 1.345 | 1.345 | 1.345 | 1.345 | 1.345 | 1.353 | 1.344 |
| C2−C8 | 1.499 | 1.517 | 1.517 | 1.517 | 1.516 | 1.517 | 1.516 | 1.518 | 1.517 |
| C8−C9 | 1.523 | 1.543 | 1.5425 | 1.543 | 1.543 | 1.542947 | 1.543 | 1.542 | 1.517 |
| C8−C10 | 1.535 | 1.546 | 1.547 | 1.546 | 1.549 | 1.546 | 1.549 | 1.551 | 1.547 |
| C10−C11 | 1.509 | 1.535 | 1.536 | 1.534 | 1.535 | 1.535 | 1.534 | 1.541 | 1.534 |
| C11−C12 | 1.512 | 1.510 | 1.509 | 1.521 | 1.521 | 1.565 | 1.539 | 1.532 | 1.532 |
| C12−C13 | 1.312 | 1.478 | 1.477 | 1.548 | 1.548 | 1.565 | 1.560 | 1.557 | 1.550 |
| C12−O | - | 1.439 | 1.442 | 1.431 | 1.430 | 1.417 | 1.419 | 1.438 | 1.443 |
| C13−O | - | 1.448 | 1.446 | 1.446 | 1.447 | 1.500 | 1.491 | 1.435 | 1.437 |
| C13−C14 | - | 1.514 | 1.515 | 1.533 | 1.526 | 1.527 | 1.529 | 1.536 | 1.536 |
| C13−C15 | - | 1.513 | 1.513 | 1.526 | 1.533 | 1.529 | 1.531 | 1.529 | 1.528 |
| C4=OH | 2.340 | 2.011 | 2.010 | 2.009 | 2.011 | 2.010 | 2.011 | 1.994 | 2.010 |
| C16−O12 | - | - | - | 1.428 | 1.429 | - | - | - | - |
| C16−O13 | - | - | - | 1.439 | 1.438 | 1.336 | 1.337 | - | - |
| C16−C17 | - | - | - | 1.529 | 1.529 | 1.509 | 1.508 | - | - |
| C16−C18 | - | - | - | 1.523 | 1.523 | - | - | - | - |
| C16=O | - | - | - | - | - | 1.215 | 1.215 | - | - |
| C16=OH | - | - | - | - | - | 1.817 | 1.897 | - | - |
| OH12−OH13 | - | - | - | - | - | - | - | 2.110 | 2.141 |
| OH12−OH3 | - | - | - | - | - | - | - | 2.083 | - |
| Bond | 2 1 | 4-R | 4-S | 6-R | 6-S | 8-R | 8-S | 10-R | 10-S |
|---|---|---|---|---|---|---|---|---|---|
| C1=O | 1.240 | 1.227 | 1.225 | 1.225 | 1.226 | 1.227 | 1.226 | 1.226 | 1.225 |
| C1−C2 | 1.450 | 1.485 | 1.487 | 1.487 | 1.487 | 1.485 | 1.487 | 1.487 | 1.487 |
| C2−C3 | 1.350 | 1.345 | 1.343 | 1.344 | 1.344 | 1.345 | 1.344 | 1.344 | 1.344 |
| C3−C4 | 1.490 | 1.490 | 1.491 | 1.490 | 1.490 | 1.490 | 1.490 | 1.490 | 1.490 |
| C4−C5 | 1.430 | 1.476 | 1.476 | 1.475 | 1.475 | 1.476 | 1.476 | 1.475 | 1.475 |
| C4=O | 1.180 | 1.224 | 1.224 | 1.225 | 1.224 | 1.225 | 1.224 | 1.225 | 1.225 |
| C5−C6 | 1.390 | 1.351 | 1.352 | 1.352 | 1.352 | 1.351 | 1.352 | 1.352 | 1.352 |
| C6−C1 | 1.430 | 1.499 | 1.495 | 1.498 | 1.498 | 1.499 | 1.498 | 1.499 | 1.499 |
| C5−C7 | 1.580 | 1.498 | 1.498 | 1.498 | 1.498 | 1.498 | 1.498 | 1.498 | 1.498 |
| C6/C3−O | 1.250 | 1.348 | 1.345 | 1.344 | 1.344 | 1.345 | 1.344 | 1.344 | 1.344 |
| C2−C8 | 1.500 | 1.517 | 1.514 | 1.516 | 1.516 | 1.517 | 1.516 | 1.516 | 1.516 |
| C8−C9 | 1.500 | 1.542 | 1.545 | 1.542 | 1.542 | 1.542 | 1.543 | 1.542 | 1.542 |
| C8−C10 | 1.490 | 1.549 | 1.540 | 1.547 | 1.546 | 1.549 | 1.551 | 1.546 | 1.547 |
| C10−C11 | 1.510 | 1.539 | 1.537 | 1.534 | 1.534 | 1.540 | 1.535 | 1.534 | 1.053 |
| C11−C12 | 1.410 | 1.511 | 1.510 | 1.521 | 1.521 | 1.532 | 1.542 | 1.527 | 1.536 |
| C12−C13 | 1.380 | 1.477 | 1.477 | 1.548 | 1.548 | 1.554 | 1.556 | 1.552 | 1.554 |
| C12−O | - | 1.445 | 1.441 | 1.429 | 1.430 | 1.434 | 1.426 | 1.426 | 1.427 |
| C13−O | - | 1.448 | 1.447 | 1.446 | 1.446 | 1.491 | 1.480 | 1.451 | 1.449 |
| C13−C14 | 1.520 | 1.514 | 1.514 | 1.526 | 1.526 | 1.527 | 1.529 | 1.531 | 1.533 |
| C13−C15 | 1.490 | 1.513 | 1.513 | 1.533 | 1.533 | 1.530 | 1.532 | 1.532 | 1.532 |
| C4=OH | 2.650 | 1.996 | 2.016 | 2.000 | 2.000 | 1.994 | 1.994 | 1.999 | 1.998 |
| C16−O12 | - | - | - | 1.430 | 1.438 | - | - | - | - |
| C16−O13 | - | - | - | 1.438 | 1.430 | 1.354 | 1.353 | - | - |
| C16−C17 | - | - | - | 1.529 | 1.523 | 1.510 | 1.510 | - | - |
| C16−C18 | - | - | - | 1.523 | 1.529 | - | - | - | - |
| C16=O | - | - | - | - | - | 1.207 | 1.206 | - | - |
| C16=OH | - | - | - | - | - | - | - | - | |
| OH−OH | - | - | - | - | - | - | - | 2.160 | 2.216 |
| Compounds | |||||||||||
|---|---|---|---|---|---|---|---|---|---|---|---|
| 1 | 2 | 3 | 4 | 5 | 6 | 7 | 8 | 9 | 10 | ||
| Toxicological risk | Mutagenic | N 1 | N 1 | N 1 | N 1 | N 1 | N 1 | N 1 | N 1 | N 1 | N 1 |
| Tumorigenic | N 1 | N 1 | L 2 | L 2 | N 1 | N 1 | N 1 | N 1 | N 1 | N 1 | |
| Reproductive effects | N 1 | N 1 | H 3 | H 3 | N 1 | N 1 | N 1 | N 1 | N 1 | N 1 | |
| Irritating | H 3 | H 3 | N 1 | N 1 | N 1 | N 1 | L 2 | L 2 | N 1 | N 1 | |
| Physicochemical properties | cLogP | 3.31 | 3.31 | 1.88 | 1.88 | 2.49 | 2.49 | 1.78 | 1.78 | 1.29 | 1.29 |
| LogS | −2.58 | −2.58 | −2.48 | −2.48 | −2.97 | −2.97 | −2.41 | −2.41 | −2.00 | −2.00 | |
| TPSA | 54.37 | 54.37 | 66.9 | 66.9 | 72.83 | 72.83 | 100.9 | 100.9 | 94.83 | 94.83 | |
| Drug-likeness | −3.7 | −1.77 | −2.54 | −0.57 | −2.15 | −0.19 | −5.18 | −3.23 | −2.11 | −0.15 | |
| Drug score | 0.265 | 0.296 | 0.236 | 0.299 | 0.474 | 0.624 | 0.360 | 0.372 | 0.516 | 0.682 | |
| H acceptors | 3 | 3 | 4 | 4 | 5 | 5 | 6 | 6 | 5 | 5 | |
| H donors | 1 | 1 | 1 | 1 | 1 | 1 | 2 | 2 | 3 | 3 | |
| Compound | ΔG (kcal/mol) | Compound | ΔG (kcal/mol) |
|---|---|---|---|
| N-acetylcysteine (cocrystallized) | −4.39 | ||
| 1 | −5.26 | 6-S | −8.04 |
| 2 | −5.58 | 7-R | −7.11 |
| 3-R | −7.29 | 7-S | −7.27 |
| 3-S | −7.22 | 8-R | −7.26 |
| 4-R | −7.10 | 8-S | −7.04 |
| 4-S | −7.06 | 9-R | −6.72 |
| 5-R | −8.00 | 9-S | −7.02 |
| 5-S | −7.82 | 10-R | −6.75 |
| 6-R | −8.14 | 10-S | −6.65 |
| Absorption Model | Molecule | |||||||||
|---|---|---|---|---|---|---|---|---|---|---|
| 1 | 3 | 5 | 7 | 9 | ||||||
| Res 1 | P 2 | Res 1 | P 2 | Res 1 | P 2 | Res 1 | P 2 | Res 1 | P 2 | |
| Blood–brain barrier | BBB+ 3 | 0.841 | BBB+ 3 | 0.913 | BBB+ 3 | 0.903 | BBB+ 3 | 0.804 | BBB+ 3 | 0.718 |
| Human intestinal absorption | HIA+ 3 | 0.991 | HIA+ 3 | 0.915 | HIA+ 3 | 0.813 | HIA+ 3 | 0.847 | HIA+ 3 | 0.913 |
| Caco-2 permeability | Caco2+ 3 | 0.711 | Caco2+ 3 | 0.598 | Caco2− 4 | 0.529 | Caco2− 4 | 0.572 | Caco2+ 3 | 0.500 |
| P-glycoprotein substrate | S 5 | 0.514 | S 5 | 0.672 | S 5 | 0.527 | S 5 | 0.738 | S 5 | 0.767 |
| P-glycoprotein inhibitor | NI 6 | 0.555 | NI 6 | 0.508 | NI 6 | 0.533 | NI 6 | 0.618 | NI 6 | 0.787 |
| I 7 | 0.664 | I 7 | 0.500 | I 7 | 0.529 | I 7 | 0.580 | NI 6 | 0.750 | |
| Renal organic cation transporter | NI 6 | 0.831 | NI 6 | 0.862 | NI 6 | 0.847 | NI 6 | 0.893 | NI 6 | 0.909 |
| Metabolism Model | Compounds | |||||||||
|---|---|---|---|---|---|---|---|---|---|---|
| 1 | 3 | 5 | 7 | 9 | ||||||
| Res 1 | P 2 | Res 1 | P 2 | Res 1 | P 2 | Res 1 | P 2 | Res 1 | P 2 | |
| CYP450 2C9 Substrate | NS 3 | 0.794 | NS 3 | 0.771 | NS 3 | 0.789 | NS 3 | 0.851 | NS 3 | 0.851 |
| CYP450 2D6 Substrate | NS 3 | 0.870 | NS 3 | 0.873 | NS 3 | 0.880 | NS 3 | 0.913 | NS 3 | 0.890 |
| CYP450 3A4 Substrate | S 4 | 0.609 | S 4 | 0.686 | S 4 | 0.645 | S 4 | 0.695 | S 4 | 0.680 |
| CYP450 1A2 Inhibitor | NI 5 | 0.687 | NI 5 | 0.769 | NI 5 | 0.768 | NI 5 | 0.904 | NI 5 | 0.897 |
| CYP450 2C9 Inhibitor | NI 5 | 0.656 | NI 5 | 0.800 | NI 5 | 0.819 | NI 5 | 0.771 | NI 5 | 0.828 |
| CYP450 2D6 Inhibitor | NI 5 | 0.743 | NI 5 | 0.893 | NI 5 | 0.923 | NI 5 | 0.919 | NI 5 | 0.902 |
| CYP450 2C19 Inhibitor | NI 5 | 0.759 | NI 5 | 0.758 | NI 5 | 0.834 | NI 5 | 0.815 | NI 5 | 0.807 |
| CYP450 3A4 Inhibitor | NI 5 | 0.862 | NI 5 | 0.715 | NI 5 | 0.750 | NI5 | 0.840 | NI 5 | 0.748 |
Disclaimer/Publisher’s Note: The statements, opinions and data contained in all publications are solely those of the individual author(s) and contributor(s) and not of MDPI and/or the editor(s). MDPI and/or the editor(s) disclaim responsibility for any injury to people or property resulting from any ideas, methods, instructions or products referred to in the content. |
© 2025 by the authors. Licensee MDPI, Basel, Switzerland. This article is an open access article distributed under the terms and conditions of the Creative Commons Attribution (CC BY) license (https://creativecommons.org/licenses/by/4.0/).
Share and Cite
Escobedo-González, R.G.; Martínez, J.; Rivera-Espejel, A.L.; Vargas-Requena, C.L.; Nicolás-Vázquez, M.I.; Miranda Ruvalcaba, R. Green Contributions to the Chemistry of Perezone and Oxidation of the Double Bond of the Side Chain: A Theoretical Study and Cytotoxic Evaluation in MDA-MB231 Cells. Molecules 2025, 30, 4603. https://doi.org/10.3390/molecules30234603
Escobedo-González RG, Martínez J, Rivera-Espejel AL, Vargas-Requena CL, Nicolás-Vázquez MI, Miranda Ruvalcaba R. Green Contributions to the Chemistry of Perezone and Oxidation of the Double Bond of the Side Chain: A Theoretical Study and Cytotoxic Evaluation in MDA-MB231 Cells. Molecules. 2025; 30(23):4603. https://doi.org/10.3390/molecules30234603
Chicago/Turabian StyleEscobedo-González, René Gerardo, Joel Martínez, Adriana L. Rivera-Espejel, Claudia L. Vargas-Requena, María Inés Nicolás-Vázquez, and René Miranda Ruvalcaba. 2025. "Green Contributions to the Chemistry of Perezone and Oxidation of the Double Bond of the Side Chain: A Theoretical Study and Cytotoxic Evaluation in MDA-MB231 Cells" Molecules 30, no. 23: 4603. https://doi.org/10.3390/molecules30234603
APA StyleEscobedo-González, R. G., Martínez, J., Rivera-Espejel, A. L., Vargas-Requena, C. L., Nicolás-Vázquez, M. I., & Miranda Ruvalcaba, R. (2025). Green Contributions to the Chemistry of Perezone and Oxidation of the Double Bond of the Side Chain: A Theoretical Study and Cytotoxic Evaluation in MDA-MB231 Cells. Molecules, 30(23), 4603. https://doi.org/10.3390/molecules30234603

