Polymer Systems with Correlated Activity: Stars Versus Linear Chains
Abstract
1. Introduction
2. Results
2.1. Structure of Stars Made of Velocity Aligned Active Particles
2.2. Structure of Stars Made of Active Brownian Particles
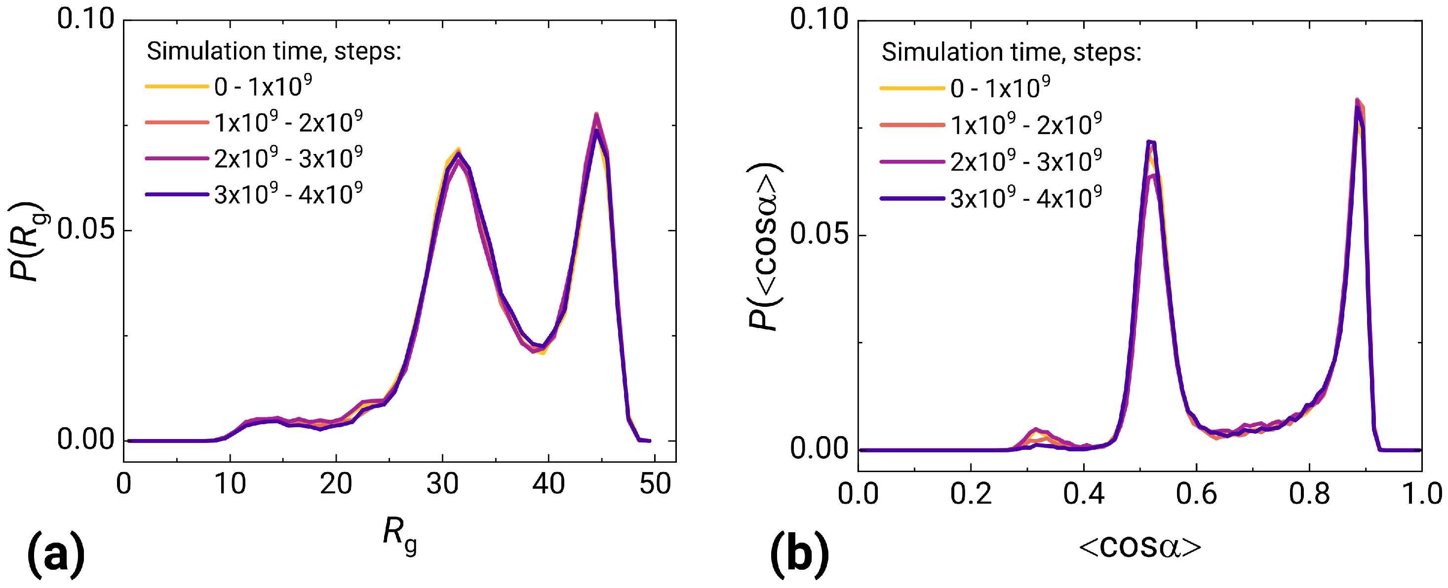
2.3. Dynamical Multistability in Velocity Aligned Active Stars
3. Simulation Models and Methods
3.1. The Interaction Potentials and the Simulation Procedure
3.2. Monomer Activity Models
3.3. On the Choice of the Activity Parameters
4. Conclusions and Final Remarks
Author Contributions
Funding
Data Availability Statement
Acknowledgments
Conflicts of Interest
Appendix A. Stability of Coexisting Conformation States Within the Transition Region

References
- Bechinger, C.; Di Leonardo, R.; Löwen, H.; Reichhardt, C.; Volpe, G.; Volpe, G. Active particles in complex and crowded environments. Rev. Mod. Phys. 2016, 88, 045006. [Google Scholar] [CrossRef]
- Ramaswamy, S. The Mechanics and Statistics of Active Matter. Annu. Rev. Condens. Matter Phys. 2010, 1, 323–345. [Google Scholar] [CrossRef]
- Shaebani, M.R.; Rieger, H.; Wysocki, A.; Winkler, R.G.; Gompper, G. Computational models for active matter. Nat. Rev. Phys. 2020, 2, 181–199. [Google Scholar] [CrossRef]
- Gompper, G.; Stone, H.A.; Kurzthaler, C.; Saintillan, D.; Peruani, F.; Fedosov, D.A.; Auth, T.; Cottin-Bizonne, C.; Ybert, C.; Clément, E.; et al. The 2025 motile active matter roadmap. J. Phys. Condens. Matter 2025, 37, 143501. [Google Scholar] [CrossRef]
- Schaller, V.; Weber, C.A.; Hammerich, B.; Frey, E.; Bausch, A.R. Frozen steady states in active systems. Proc. Natl. Acad. Sci. USA 2011, 108, 19183–19188. [Google Scholar] [CrossRef]
- Schaller, V.; Weber, C.; Semmrich, C.; Frey, E.; Bausch, A.R. Polar patterns of driven filaments. Nature 2010, 467, 73–77. [Google Scholar] [CrossRef] [PubMed]
- Eisenstecken, T.; Gompper, G.; Winkler, R.G. Conformational properties of active semiflexible polymers. Polymers 2016, 8, 304. [Google Scholar] [CrossRef] [PubMed]
- Winkler, R.G.; Elgeti, J.; Gompper, G. Active Polymers—Emergent Conformational and Dynamical Properties: A Brief Review. J. Phys. Soc. Jpn. 2017, 86, 101014. [Google Scholar] [CrossRef]
- Guimarães, C.F.; Gasperini, L.; Marques, A.P.; Reis, R.L. The stiffness of living tissues and its implications for tissue engineering. Nat. Rev. Mater. 2020, 5, 351–370. [Google Scholar] [CrossRef]
- Brangwynne, C.P.; Koenderink, G.H.; MacKintosh, F.C.; Weitz, D.A. Cytoplasmic diffusion: Molecular motors mix it up. J. Cell Biol. 2008, 183, 583–587. [Google Scholar] [CrossRef]
- Nuzhin, E.; Panov, M.; Brilliantov, N. Why animals swirl and how they group. Sci. Rep. 2021, 11, 20843. [Google Scholar] [CrossRef]
- Vicsek, T.; Czirók, A.; Ben-Jacob, E.; Cohen, I.; Shochet, O. Novel Type of Phase Transition in a System of Self-Driven Particles. Phys. Rev. Lett. 1995, 75, 1226–1229. [Google Scholar] [CrossRef]
- Demirörs, A.F.; Akan, M.T.; Poloni, E.; Studart, A.R. Active cargo transport with Janus colloidal shuttles using electric and magnetic fields. Soft Matter 2018, 14, 4741–4749. [Google Scholar] [CrossRef]
- Uspal, W.; Popescu, M.; Dietrich, S.; Tasinkevych, M. Active Janus colloids at chemically structured surfaces. J. Chem. Phys. 2019, 150, 204904. [Google Scholar] [CrossRef]
- Sarkar, D.; Thakur, S. Coarse-grained simulations of an active filament propelled by a self-generated solute gradient. Phys. Rev. E 2016, 93, 032508. [Google Scholar] [CrossRef] [PubMed]
- Anand, S.K.; Singh, S.P. Conformation and dynamics of a self-avoiding active flexible polymer. Phys. Rev. E 2020, 101, 030501. [Google Scholar] [CrossRef]
- Mokhtari, Z.; Zippelius, A. Dynamics of Active Filaments in Porous Media. Phys. Rev. Lett. 2019, 123, 028001. [Google Scholar] [CrossRef] [PubMed]
- Locatelli, E.; Bianco, V.; Malgaretti, P. Activity-Induced Collapse and Arrest of Active Polymer Rings. Phys. Rev. Lett. 2021, 126, 097801. [Google Scholar] [CrossRef] [PubMed]
- Bianco, V.; Locatelli, E.; Malgaretti, P. Globulelike Conformation and Enhanced Diffusion of Active Polymers. Phys. Rev. Lett. 2018, 121, 217802. [Google Scholar] [CrossRef]
- Chubak, I.; Pachong, S.M.; Kremer, K.; Likos, C.N.; Smrek, J. Active Topological Glass Confined within a Spherical Cavity. Macromolecules 2022, 55, 956–964. [Google Scholar] [CrossRef]
- Tejedor, A.R.; Ramirez, J. Reptation of Active Entangled Polymers. Macromolecules 2019, 52, 8788–8792. [Google Scholar] [CrossRef]
- Winkler, R.G.; Gompper, G. The physics of active polymers and filaments. J. Chem. Phys. 2020, 153, 040901. [Google Scholar] [CrossRef]
- Paul, S.; Majumder, S.; Das, S.K.; Janke, W. Effects of alignment activity on the collapse kinetics of a flexible polymer. Soft Matter 2022, 18, 1978–1990. [Google Scholar] [CrossRef] [PubMed]
- Mahajan, A.; Saintillan, D. Self-induced hydrodynamic coil-stretch transition of active polymers. Phys. Rev. E 2022, 105, 014608. [Google Scholar] [CrossRef] [PubMed]
- Rudyak, V.Y.; Lopushenko, A.; Palyulin, V.V.; Chertovich, A.V. Long-range ordering of velocity-aligned active polymers. J. Chem. Phys. 2024, 160, 044905. [Google Scholar] [CrossRef] [PubMed]
- Buglakov, A.; Lelecova, V.; Chertovich, A. Motility-induced collapse of an active Brownian particle polymer chain. Phys. Chem. Chem. Phys. 2025, 27, 1691–1700. [Google Scholar] [CrossRef] [PubMed]
- Sasaki, Y.; Takikawa, Y.; Jampani, V.S.; Hoshikawa, H.; Seto, T.; Bahr, C.; Herminghaus, S.; Hidaka, Y.; Orihara, H. Colloidal caterpillars for cargo transportation. Soft Matter 2014, 10, 8813–8820. [Google Scholar] [CrossRef]
- Yan, J.; Han, M.; Zhang, J.; Xu, C.; Luijten, E.; Granick, S. Reconfiguring active particles by electrostatic imbalance. Nat. Mater. 2016, 15, 1095–1099. [Google Scholar] [CrossRef]
- Kumar, M.; Murali, A.; Subramaniam, A.G.; Singh, R.; Thutupalli, S. Emergent dynamics due to chemo-hydrodynamic self-interactions in active polymers. Nat. Commun. 2024, 15, 4903. [Google Scholar] [CrossRef]
- Deblais, A.; Maggs, A.C.; Bonn, D.; Woutersen, S. Phase Separation by Entanglement of Active Polymerlike Worms. Phys. Rev. Lett. 2020, 124, 208006. [Google Scholar] [CrossRef]
- Sinaasappel, R.; Fazelzadeh, M.; Hooijschuur, T.; Di, Q.; Jabbari-Farouji, S.; Deblais, A. Locomotion of active polymerlike worms in porous media. Phys. Rev. Lett. 2025, 134, 128303. [Google Scholar] [CrossRef]
- Weber, C.A.; Suzuki, R.; Schaller, V.; Aranson, I.S.; Bausch, A.R.; Frey, E. Random bursts determine dynamics of active filaments. Proc. Natl. Acad. Sci. USA 2015, 112, 10703–10707. [Google Scholar] [CrossRef]
- Osmanović, D.; Rabin, Y. Dynamics of active Rouse chains. Soft Matter 2017, 13, 963–968. [Google Scholar] [CrossRef] [PubMed]
- Mousavi, S.M.; Gompper, G.; Winkler, R.G. Active Brownian ring polymers. J. Chem. Phys. 2019, 150, 064913. [Google Scholar] [CrossRef]
- Kaiser, A.; Löwen, H. Unusual swelling of a polymer in a bacterial bath. J. Chem. Phys. 2014, 141, 044903. [Google Scholar] [CrossRef] [PubMed]
- Eisenstecken, T.; Ghavami, A.; Mair, A.; Gompper, G.; Winkler, R.G. Conformational and dynamical properties of semiflexible polymers in the presence of active noise. AIP Conf. Proc. 2017, 1871, 050001. [Google Scholar]
- Philipps, C.A.; Gompper, G.; Winkler, R.G. Tangentially driven active polar linear polymers—An analytical study. J. Chem. Phys 2022, 157, 194904. [Google Scholar] [CrossRef]
- Peterson, M.S.; Hagan, M.F.; Baskaran, A. Statistical properties of a tangentially driven active filament. J. Stat. Mech. Theory Exp. 2020, 2020, 013216. [Google Scholar] [CrossRef]
- Anand, S.K.; Singh, S.P. Structure and dynamics of a self-propelled semiflexible filament. Phys. Rev. E 2018, 98, 042501. [Google Scholar] [CrossRef]
- Tejedor, A.R.; Ramírez, J.; Ripoll, M. Progressive polymer deformation induced by polar activity and the influence of inertia. Phys. Rev. Res. 2024, 6, L032002. [Google Scholar] [CrossRef]
- Paul, S.; Majumder, S.; Janke, W. Motion of a polymer globule with Vicsek-like activity: From super-diffusive to ballistic behavior. Soft Mater. 2021, 19, 306–315. [Google Scholar] [CrossRef]
- Yang, D.P.; Oo, M.N.N.L.; Deen, G.R.; Li, Z.; Loh, X.J. Nano-Star-Shaped Polymers for Drug Delivery Applications. Macromol. Rapid Commun. 2017, 38, 1700410. [Google Scholar] [CrossRef]
- Potemkin, I.I.; Palyulin, V.V. Comblike macromolecules. Polym. Sci. Ser. A 2009, 51, 123–149. [Google Scholar] [CrossRef]
- Palyulin, V.; Potemkin, I. Microphase separation in melts of double comb copolymers. Polym. Sci. Ser. A 2007, 49, 473–481. [Google Scholar] [CrossRef]
- Maity, N.; Dawn, A. Conducting polymer grafting: Recent and key developments. Polymers 2020, 12, 709. [Google Scholar] [CrossRef]
- Karg, M.; Pich, A.; Hellweg, T.; Hoare, T.; Lyon, L.A.; Crassous, J.J.; Suzuki, D.; Gumerov, R.A.; Schneider, S.; Potemkin, I.I.; et al. Nanogels and Microgels: From Model Colloids to Applications, Recent Developments, and Future Trends. Langmuir 2019, 35, 6231–6255. [Google Scholar] [CrossRef]
- Liffland, S.; Hillmyer, M.A. Enhanced Mechanical Properties of Aliphatic Polyester Thermoplastic Elastomers through Star Block Architectures. Macromolecules 2021, 54, 9327–9340. [Google Scholar] [CrossRef]
- Kalyuzhnyi, O.; Haidukivska, K.; Blavatska, V.; Ilnytskyi, J. Universal Size and Shape Ratios for Arms in Star-Branched Polymers: Theory and Mesoscopic Simulations. Macromol. Theory Simul. 2019, 28, 1900012. [Google Scholar] [CrossRef]
- Miyake, A.; Freed, K.F. Internal chain conformations of star polymers. Macromolecules 1984, 17, 678–683. [Google Scholar] [CrossRef]
- Birshtein, T.; Zhulina, E. Conformations of star-branched macromolecules. Polymer 1984, 25, 1453–1461. [Google Scholar] [CrossRef]
- Alessandrini, J.; Carignano, M. Static scattering function for a regular star-branched polymer. Macromolecules 1992, 25, 1157–1163. [Google Scholar] [CrossRef]
- Blavatska, V.; Metzler, R. Conformational properties of complex polymers: Rosette versus star-like structures. J. Phys. A 2015, 48, 135001. [Google Scholar] [CrossRef]
- Grest, G.S.; Kremer, K.; Witten, T. Structure of many arm star polymers: A molecular dynamics simulation. Macromolecules 1987, 20, 1376–1383. [Google Scholar] [CrossRef]
- Zifferer, G. Monte Carlo simulation studies of the size and shape of linear and star-branched polymers embedded in the tetrahedral lattice. Macromol. Theory Simul. 1999, 8, 433–462. [Google Scholar] [CrossRef]
- Grest, G.S. Structure of many-arm star polymers in solvents of varying quality: A molecular dynamics study. Macromolecules 1994, 27, 3493–3500. [Google Scholar] [CrossRef]
- Shin, J.; Cherstvy, A.G.; Metzler, R. Self-subdiffusion in solutions of star-shaped crowders: Non-monotonic effects of inter-particle interactions. New J. Phys. 2015, 17, 113028. [Google Scholar] [CrossRef]
- Joo, S.; Durang, X.; Lee, O.; Jeon, J.H. Anomalous diffusion of active Brownian particles cross-linked to a networked polymer: Langevin dynamics simulation and theory. Soft Matter 2020, 16, 9188–9201. [Google Scholar] [CrossRef]
- Ren, J.M.; McKenzie, T.G.; Fu, Q.; Wong, E.H.H.; Xu, J.; An, Z.; Shanmugam, S.; Davis, T.P.; Boyer, C.; Qiao, G.G. Star Polymers. Chem. Rev. 2016, 116, 6743–6836. [Google Scholar] [CrossRef]
- England, R.M.; Moss, J.I.; Gunnarsson, A.; Parker, J.S.; Ashford, M.B. Synthesis and Characterization of Dendrimer-Based Polysarcosine Star Polymers: Well-Defined, Versatile Platforms Designed for Drug-Delivery Applications. Biomacromolecules 2020, 21, 3332–3341. [Google Scholar] [CrossRef]
- Yong, H.W.; Kakkar, A. Nanoengineering Branched Star Polymer-Based Formulations: Scope, Strategies, and Advances. Macromol. Biosci. 2021, 21, 2100105. [Google Scholar] [CrossRef]
- Sulistio, A.; Lowenthal, J.; Blencowe, A.; Bongiovanni, M.N.; Ong, L.; Gras, S.L.; Zhang, X.; Qiao, G.G. Folic acid conjugated amino acid-based star polymers for active targeting of cancer cells. Biomacromolecules 2011, 12, 3469–3477. [Google Scholar] [CrossRef]
- Plimpton, S. Fast Parallel Algorithms for Short-Range Molecular Dynamics. J. Comput. Phys. 1995, 117, 1–19. [Google Scholar] [CrossRef]
- Papale, A.; Smrek, J.; Rosa, A. Nanorheology of active–passive polymer mixtures differentiates between linear and ring polymer topology. Soft Matter 2021, 17, 7111–7117. [Google Scholar] [CrossRef]
- Wang, J.; Ge, T. Crazing Reveals an Entanglement Network in Glassy Ring Polymers. Macromolecules 2021, 54, 7500–7511. [Google Scholar] [CrossRef]
- Yadav, R.S.; Metzler, R.; Chakrabarti, R. Behavior of passive polymeric tracers of different topologies in a dilute bath of active Brownian particles. arXiv 2025, arXiv:2510.11337. [Google Scholar] [CrossRef]
- Shin, J.; Cherstvy, A.G.; Kim, W.K.; Zaburdaev, V. Elasticity-based polymer sorting in active fluids: A Brownian dynamics study. Phys. Chem. Chem. Phys. 2017, 19, 18338–18347. [Google Scholar] [CrossRef]





Disclaimer/Publisher’s Note: The statements, opinions and data contained in all publications are solely those of the individual author(s) and contributor(s) and not of MDPI and/or the editor(s). MDPI and/or the editor(s) disclaim responsibility for any injury to people or property resulting from any ideas, methods, instructions or products referred to in the content. |
© 2025 by the authors. Licensee MDPI, Basel, Switzerland. This article is an open access article distributed under the terms and conditions of the Creative Commons Attribution (CC BY) license (https://creativecommons.org/licenses/by/4.0/).
Share and Cite
Buglakov, A.I.; Chuphal, P.; Rudyak, V.Y.; Chertovich, A.V.; Palyulin, V.V. Polymer Systems with Correlated Activity: Stars Versus Linear Chains. Molecules 2025, 30, 4442. https://doi.org/10.3390/molecules30224442
Buglakov AI, Chuphal P, Rudyak VY, Chertovich AV, Palyulin VV. Polymer Systems with Correlated Activity: Stars Versus Linear Chains. Molecules. 2025; 30(22):4442. https://doi.org/10.3390/molecules30224442
Chicago/Turabian StyleBuglakov, Aleksandr I., Prabha Chuphal, Vladimir Yu. Rudyak, Alexander V. Chertovich, and Vladimir V. Palyulin. 2025. "Polymer Systems with Correlated Activity: Stars Versus Linear Chains" Molecules 30, no. 22: 4442. https://doi.org/10.3390/molecules30224442
APA StyleBuglakov, A. I., Chuphal, P., Rudyak, V. Y., Chertovich, A. V., & Palyulin, V. V. (2025). Polymer Systems with Correlated Activity: Stars Versus Linear Chains. Molecules, 30(22), 4442. https://doi.org/10.3390/molecules30224442

