Effect of Glycoconjugation on Cytotoxicity and Selectivity of 8-Aminoquinoline Derivatives Compared to 8-Hydroxyquinoline
Abstract
1. Introduction
2. Results and Discussion
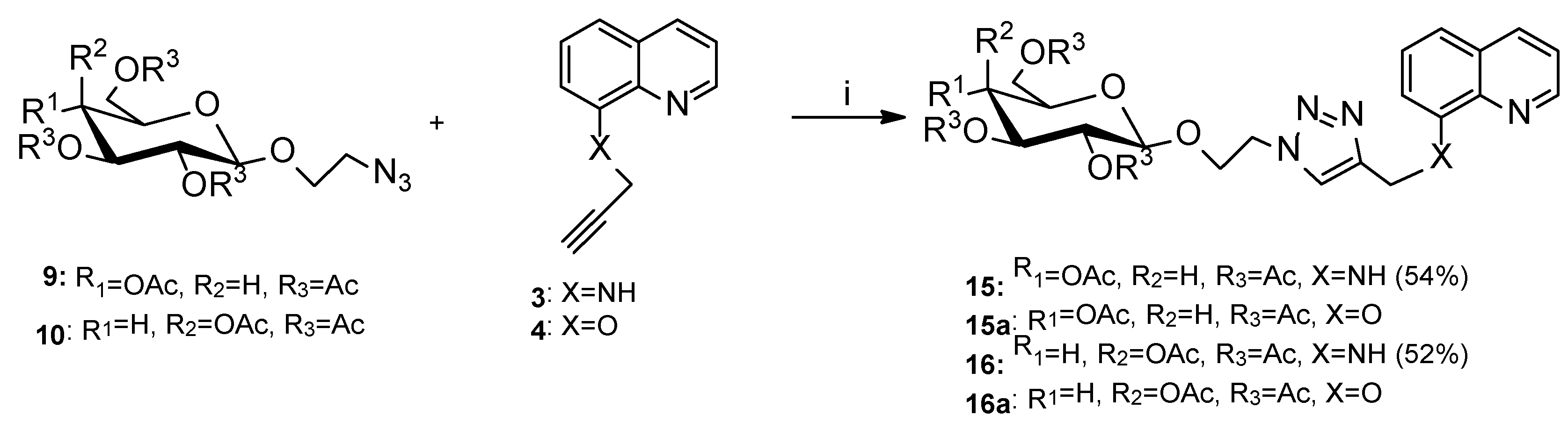
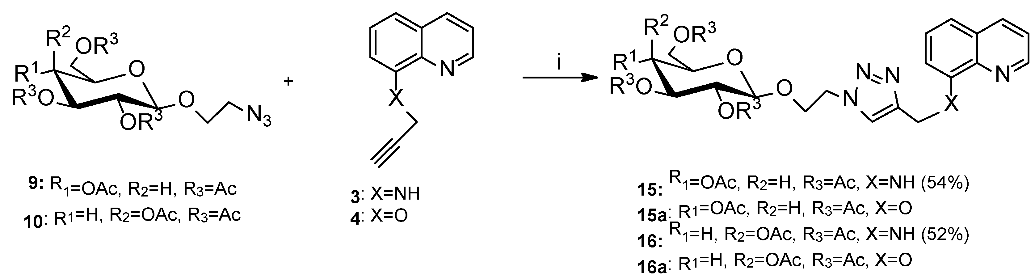
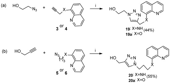
2.1. Synthesis of Glycoconjugates
2.2. Biological Evaluation of Glycoconjugates
2.2.1. Cytotoxicity Evaluation of Glycoconjugates
2.2.2. Physicochemical Data Prediction In Silico
3. Materials and Methods
3.1. General Information
3.2. Chemistry
3.2.1. Procedures for the Synthesis of N-(Prop-2-yn-1-yl)Quinolin-8-Amine 3
3.2.2. Procedure for the Synthesis of N-(3-Azidopropyl)Quinolin-8-Amine 5
3.2.3. General Procedure for the Synthesis of Glycoconjugates 13–18 by CuACC Reaction
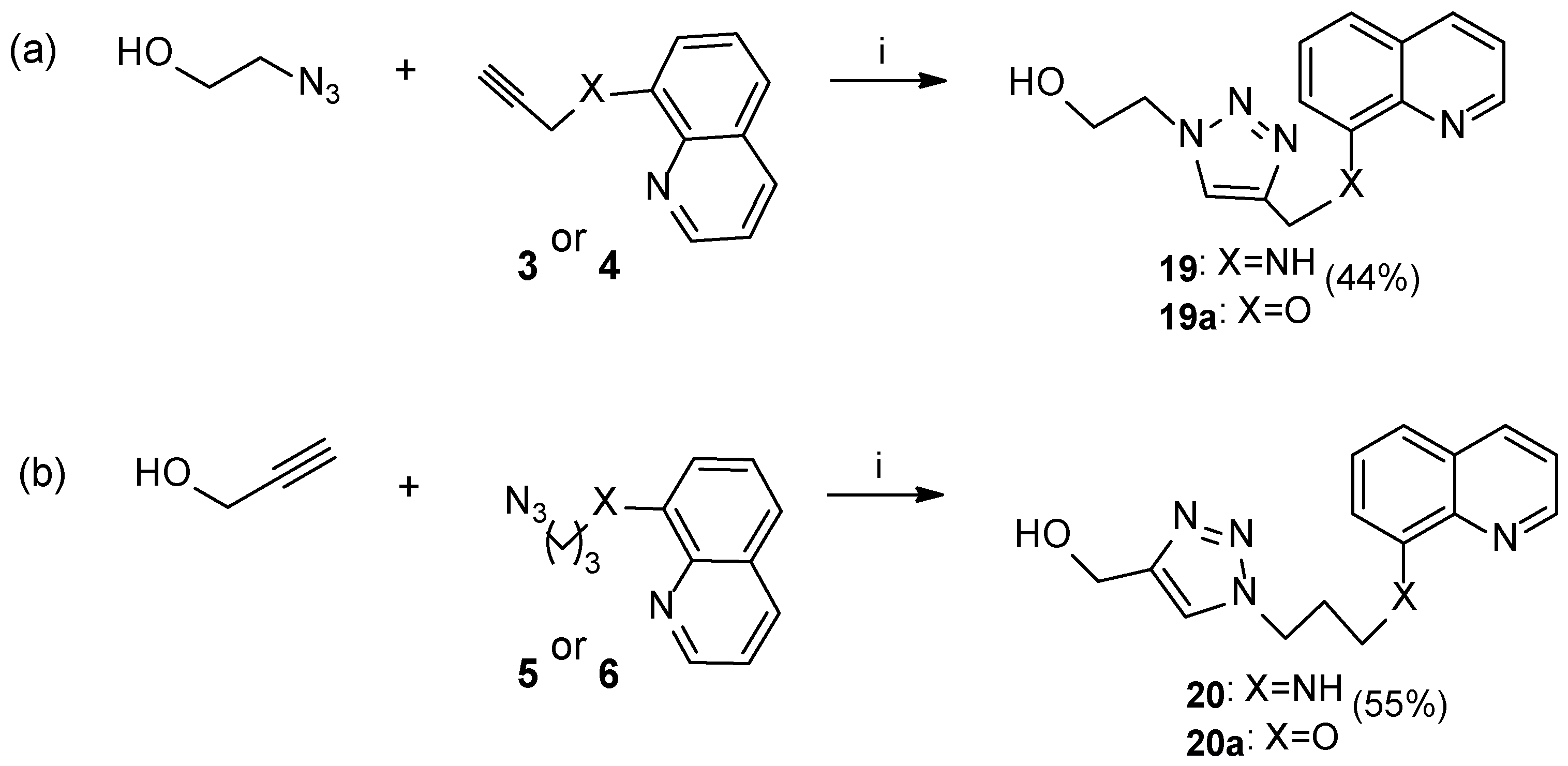
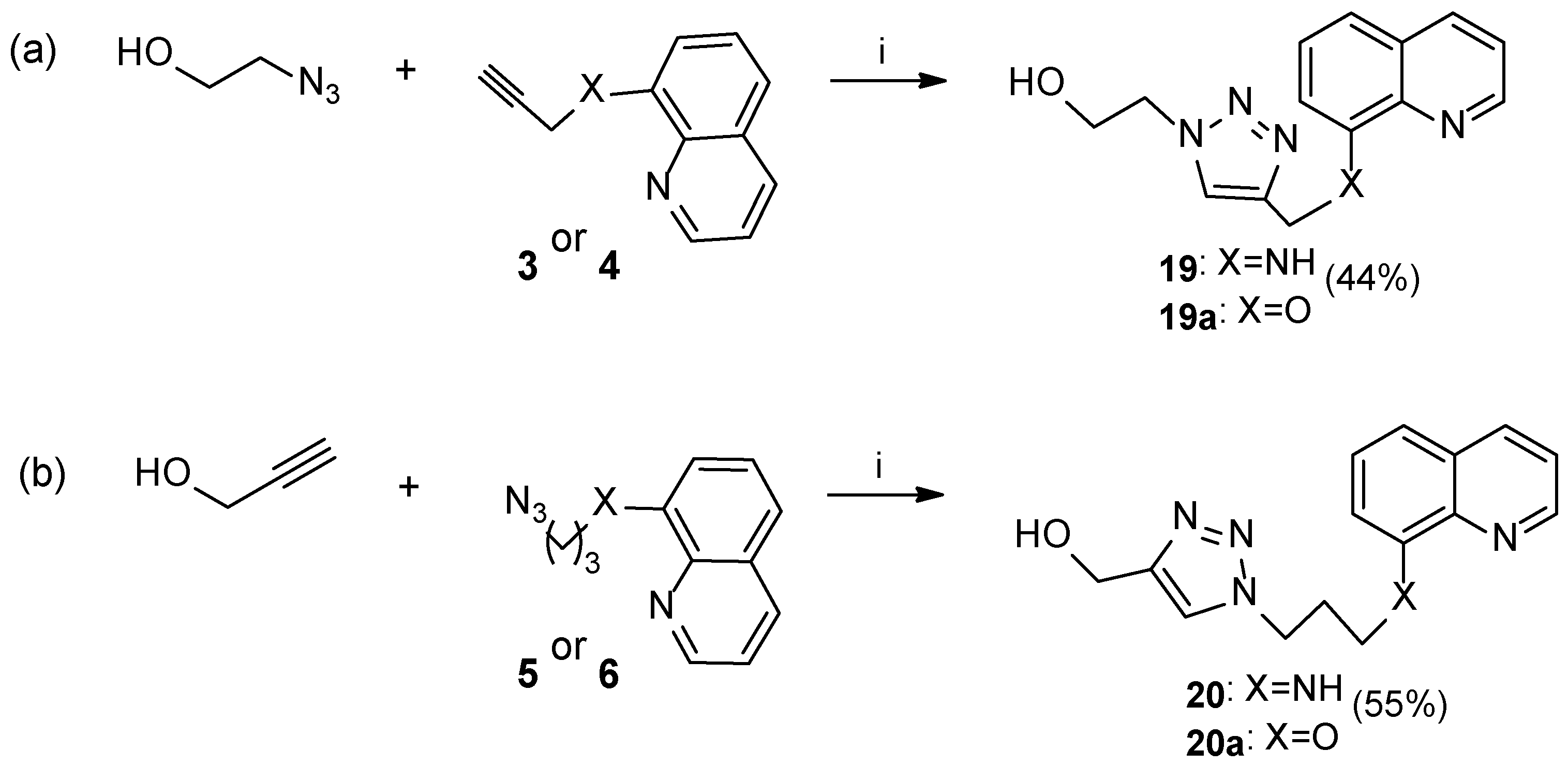
3.2.4. General Procedure for the Synthesis of Metabolites 19 and 20
3.3. Biological Evaluation of Glycoconjugates
3.3.1. Cell Lines
3.3.2. Cytotoxicity Studies
3.3.3. The Influence of Metal Ions on Cellular Proliferation
3.4. In Silico Pharmacokinetic Prediction
4. Conclusions
Supplementary Materials
Author Contributions
Funding
Institutional Review Board Statement
Informed Consent Statement
Data Availability Statement
Conflicts of Interest
References
- Guan, Y.; Nguyen, M.; Robert, A.; Liu, Y.; Meunier, B. Copper Selective 8-Aminoquinoline Based Tetradentate Chelators as Anticancer Agents. RSC Med. Chem. 2024, 15, 3048–3056. [Google Scholar] [CrossRef] [PubMed]
- Bray, F.; Laversanne, M.; Sung, H.; Ferlay, J.; Siegel, R.L.; Soerjomataram, I.; Jemal, A. Global Cancer Statistics 2022: GLOBOCAN Estimates of Incidence and Mortality Worldwide for 36 Cancers in 185 Countries. CA. Cancer J. Clin. 2024, 74, 229–263. [Google Scholar] [CrossRef] [PubMed]
- Siegel, R.L.; Miller, K.D.; Wagle, N.S.; Jemal, A. Cancer Statistics, 2023. CA. Cancer J. Clin. 2023, 73, 17–48. [Google Scholar] [CrossRef] [PubMed]
- Zugazagoitia, J.; Guedes, C.; Ponce, S.; Ferrer, I.; Molina-Pinelo, S.; Paz-Ares, L. Current Challenges in Cancer Treatment. Clin. Ther. 2016, 38, 1551–1566. [Google Scholar] [CrossRef]
- Maeda, H.; Khatami, M. Analyses of Repeated Failures in Cancer Therapy for Solid Tumors: Poor Tumor-selective Drug Delivery, Low Therapeutic Efficacy and Unsustainable Costs. Clin. Transl. Med. 2018, 7, e11. [Google Scholar] [CrossRef]
- Vasan, N.; Baselga, J.; Hyman, D.M. A View on Drug Resistance in Cancer. Nature 2019, 575, 299–309. [Google Scholar] [CrossRef]
- Dze, K.C. Heterocycles, Their Synthesis and Industrial Applications: A Review. Int. J. Res. Appl. Sci. Eng. Technol. 2020, 8, 36–56. [Google Scholar] [CrossRef]
- Lamberth, C.; Dinges, J. (Eds.) Bioactive Heterocyclic Compound Classes: Agrochemicals, 1st ed.; Wiley: Hoboken, NJ, USA, 2012; ISBN 978-3-527-33396-7. [Google Scholar]
- Akhtar, J.; Khan, A.A.; Ali, Z.; Haider, R.; Shahar Yar, M. Structure-Activity Relationship (SAR) Study and Design Strategies of Nitrogen-Containing Heterocyclic Moieties for Their Anticancer Activities. Eur. J. Med. Chem. 2017, 125, 143–189. [Google Scholar] [CrossRef]
- Singh, P.K.; Silakari, O. The Current Status of O-Heterocycles: A Synthetic and Medicinal Overview. ChemMedChem 2018, 13, 1071–1087. [Google Scholar] [CrossRef]
- Amin, A.; Qadir, T.; Sharma, P.K.; Jeelani, I.; Abe, H. A Review on The Medicinal And Industrial Applications of N-Containing Heterocycles. Open Med. Chem. J. 2022, 16, e187410452209010. [Google Scholar] [CrossRef]
- Maračić, S.; Grbčić, P.; Shammugam, S.; Radić Stojković, M.; Pavelić, K.; Sedić, M.; Kraljević Pavelić, S.; Raić-Malić, S. Amidine- and Amidoxime-Substituted Heterocycles: Synthesis, Antiproliferative Evaluations and DNA Binding. Molecules 2021, 26, 7060. [Google Scholar] [CrossRef] [PubMed]
- Vitaku, E.; Smith, D.T.; Njardarson, J.T. Analysis of the Structural Diversity, Substitution Patterns, and Frequency of Nitrogen Heterocycles among U.S. FDA Approved Pharmaceuticals: Miniperspective. J. Med. Chem. 2014, 57, 10257–10274. [Google Scholar] [CrossRef] [PubMed]
- Kumar, D.; Kumar Jain, S. A Comprehensive Review of N-Heterocycles as Cytotoxic Agents. Curr. Med. Chem. 2016, 23, 4338–4394. [Google Scholar] [CrossRef]
- Xu, Z.; Zhao, S.-J.; Liu, Y. 1,2,3-Triazole-Containing Hybrids as Potential Anticancer Agents: Current Developments, Action Mechanisms and Structure-Activity Relationships. Eur. J. Med. Chem. 2019, 183, 111700. [Google Scholar] [CrossRef] [PubMed]
- Shang, X.; Morris-Natschke, S.L.; Liu, Y.; Guo, X.; Xu, X.; Goto, M.; Li, J.; Yang, G.; Lee, K. Biologically Active Quinoline and Quinazoline Alkaloids Part I. Med. Res. Rev. 2018, 38, 775–828. [Google Scholar] [CrossRef]
- Keri, R.S.; Patil, S.A. Quinoline: A Promising Antitubercular Target. Biomed. Pharmacother. 2014, 68, 1161–1175. [Google Scholar] [CrossRef]
- Yadessa, A.M.; Zeleke, D. A Review on Synthesis of Quinoline Analogs as Antimalarial, Antibacterial and Anticancer Agents. Ethiop. J. Sci. Sustain. Dev. 2021, 8, 73–95. [Google Scholar] [CrossRef]
- Jain, S.; Chandra, V.; Kumar Jain, P.; Pathak, K.; Pathak, D.; Vaidya, A. Comprehensive Review on Current Developments of Quinoline-Based Anticancer Agents. Arab. J. Chem. 2019, 12, 4920–4946. [Google Scholar] [CrossRef]
- Spandana, Z.; Rekha, T.M.; Rao, M.V.B.; Pal, M. One-Pot Synthesis of 5-(Het)Aryl 8-Aminoquinoline Amide Derivatives as Potential Antibacterial / Cytotoxic Agents. Curr. Bioact. Compd. 2020, 16, 142–151. [Google Scholar] [CrossRef]
- Song, Y.; Xu, H.; Chen, W.; Zhan, P.; Liu, X. 8-Hydroxyquinoline: A Privileged Structure with a Broad-Ranging Pharmacological Potential. MedChemComm 2015, 6, 61–74. [Google Scholar] [CrossRef]
- Gupta, R.; Luxami, V.; Paul, K. Insights of 8-Hydroxyquinolines: A Novel Target in Medicinal Chemistry. Bioorganic Chem. 2021, 108, 104633. [Google Scholar] [CrossRef] [PubMed]
- Solomon, V.R.; Lee, H. Quinoline as a Privileged Scaffold in Cancer Drug Discovery. Curr. Med. Chem. 2011, 18, 1488–1508. [Google Scholar] [CrossRef] [PubMed]
- Afzal, O.; Kumar, S.; Haider, M.R.; Ali, M.R.; Kumar, R.; Jaggi, M.; Bawa, S. A Review on Anticancer Potential of Bioactive Heterocycle Quinoline. Eur. J. Med. Chem. 2015, 97, 871–910. [Google Scholar] [CrossRef] [PubMed]
- Lauria, A.; La Monica, G.; Bono, A.; Martorana, A. Quinoline Anticancer Agents Active on DNA and DNA-Interacting Proteins: From Classical to Emerging Therapeutic Targets. Eur. J. Med. Chem. 2021, 220, 113555. [Google Scholar] [CrossRef]
- Helsel, M.E.; Franz, K.J. Pharmacological Activity of Metal Binding Agents That Alter Copper Bioavailability. Dalton Trans. 2015, 44, 8760–8770. [Google Scholar] [CrossRef]
- Chen, L.; Min, J.; Wang, F. Copper Homeostasis and Cuproptosis in Health and Disease. Signal Transduct. Target. Ther. 2022, 7, 378. [Google Scholar] [CrossRef]
- Fnu, G.; Weber, G.F. Alterations of Ion Homeostasis in Cancer Metastasis: Implications for Treatment. Front. Oncol. 2021, 11, 765329. [Google Scholar] [CrossRef]
- Gupte, A.; Mumper, R.J. Elevated Copper and Oxidative Stress in Cancer Cells as a Target for Cancer Treatment. Cancer Treat. Rev. 2009, 35, 32–46. [Google Scholar] [CrossRef]
- Denoyer, D.; Masaldan, S.; La Fontaine, S.; Cater, M.A. Targeting Copper in Cancer Therapy: ‘Copper That Cancer’ . Metallomics 2015, 7, 1459–1476. [Google Scholar] [CrossRef]
- Santini, C.; Pellei, M.; Gandin, V.; Porchia, M.; Tisato, F.; Marzano, C. Advances in Copper Complexes as Anticancer Agents. Chem. Rev. 2014, 114, 815–862. [Google Scholar] [CrossRef]
- Gaur, K.; Vázquez-Salgado, A.M.; Duran-Camacho, G.; Dominguez-Martinez, I.; Benjamín-Rivera, J.A.; Fernández-Vega, L.; Carmona Sarabia, L.; Cruz García, A.; Pérez-Deliz, F.; Méndez Román, J.A.; et al. Iron and Copper Intracellular Chelation as an Anticancer Drug Strategy. Inorganics 2018, 6, 126. [Google Scholar] [CrossRef] [PubMed]
- Baldari, S.; Di Rocco, G.; Toietta, G. Current Biomedical Use of Copper Chelation Therapy. Int. J. Mol. Sci. 2020, 21, 1069. [Google Scholar] [CrossRef] [PubMed]
- Prachayasittikul, V.; Prachayasittikul, V.; Prachayasittikul, S.; Ruchirawat, S. 8-Hydroxyquinolines: A Review of Their Metal Chelating Properties and Medicinal Applications. Drug Des. Devel. Ther. 2013, 7, 1157–1178. [Google Scholar] [CrossRef] [PubMed]
- Oliveri, V.; Lanza, V.; Milardi, D.; Viale, M.; Maric, I.; Sgarlata, C.; Vecchio, G. Amino- and Chloro-8-Hydroxyquinolines and Their Copper Complexes as Proteasome Inhibitors and Antiproliferative Agents. Metallomics 2017, 9, 1439–1446. [Google Scholar] [CrossRef] [PubMed]
- Pingaew, R.; Worachartcheewan, A.; Prachayasittikul, V.; Prachayasittikul, S.; Ruchirawat, S.; Prachayasittikul, V. Transition Metal Complexes of 8-Aminoquinoline-5-Substituted Uracils with Antioxidative and Cytotoxic Activities. Lett. Drug Des. Discov. 2013, 10, 859–864. [Google Scholar] [CrossRef]
- Phopin, K.; Sinthupoom, N.; Treeratanapiboon, L.; Kunwittaya, S.; Prachayasittikul, S.; Ruchirawat, S.; Prachayasittikul, V. Antimalarial and Antimicrobial Activities of 8-Aminoquinoline-Uracils Metal Complexes. EXCLI J. 2016, 15, 144. [Google Scholar] [CrossRef]
- Ruankham, W.; Songtawee, N.; Prachayasittikul, V.; Worachartcheewan, A.; Suwanjang, W.; Pingaew, R.; Prachayasittikul, V.; Prachayasittikul, S.; Phopin, K. Promising 8-Aminoquinoline-Based Metal Complexes in the Modulation of SIRT1/3-FOXO3a Axis against Oxidative Damage-Induced Preclinical Neurons. ACS Omega 2023, 8, 46977–46988. [Google Scholar] [CrossRef]
- Myeza, N.; Slabber, C.; Munro, O.Q.; Sookai, S.; Zacharias, S.C.; Martins-Furness, C.; Harmse, L. An 8-Aminoquinoline-Naphthyl Copper Complex Causes Apoptotic Cell Death by Modulating the Expression of Apoptotic Regulatory Proteins in Breast Cancer Cells. Eur. J. Pharmacol. 2024, 978, 176764. [Google Scholar] [CrossRef]
- Facchetti, G.; Ferri, N.; Lupo, M.G.; Giorgio, L.; Rimoldi, I. Monofunctional PtII Complexes Based on 8-Aminoquinoline: Synthesis and Pharmacological Characterization. Eur. J. Inorg. Chem. 2019, 2019, 3389–3395. [Google Scholar] [CrossRef]
- Coccè, V.; Rimoldi, I.; Facchetti, G.; Ciusani, E.; Alessandri, G.; Signorini, L.; Sisto, F.; Giannì, A.; Paino, F.; Pessina, A. In Vitro Activity of Monofunctional Pt-II Complex Based on 8-Aminoquinoline against Human Glioblastoma. Pharmaceutics 2021, 13, 2101. [Google Scholar] [CrossRef]
- Dheer, D.; Singh, V.; Shankar, R. Medicinal Attributes of 1,2,3-Triazoles: Current Developments. Bioorganic Chem. 2017, 71, 30–54. [Google Scholar] [CrossRef] [PubMed]
- Zhang, G.; Wang, Y.; Wen, X.; Ding, C.; Li, Y. Dual-Functional Click-Triazole: A Metal Chelator and Immobilization Linker for the Construction of a Heterogeneous Palladium Catalyst and Its Application for the Aerobic Oxidation of Alcohols. Chem. Commun. 2012, 48, 2979. [Google Scholar] [CrossRef] [PubMed]
- Struthers, H.; Spingler, B.; Mindt, T.L.; Schibli, R. “Click-to-Chelate”: Design and Incorporation of Triazole-Containing Metal-Chelating Systems into Biomolecules of Diagnostic and Therapeutic Interest. Chem. Eur. J. 2008, 14, 6173–6183. [Google Scholar] [CrossRef] [PubMed]
- Wang, L.; Jin, J.; Zhao, L.; Shen, H.; Shen, C.; Zhang, P. Synthesis of C-Glycosyl Triazolyl Quinoline-Based Fluorescent Sensors for the Detection of Mercury Ions. Carbohydr. Res. 2016, 433, 41–46. [Google Scholar] [CrossRef]
- Albayrak, F.; Çiçek, M.; Alkaya, D.; Kulu, I. Design, Synthesis and Biological Evaluation of 8-Aminoquinoline-1,2,3-Triazole Hybrid Derivatives as Potential Antimicrobial Agents. Med. Chem. Res. 2022, 31, 652–665. [Google Scholar] [CrossRef]
- Krawczyk, M.; Pastuch-Gawolek, G.; Mrozek-Wilczkiewicz, A.; Kuczak, M.; Skonieczna, M.; Musiol, R. Synthesis of 8-Hydroxyquinoline Glycoconjugates and Preliminary Assay of Their Β1,4-GalT Inhibitory and Anti-Cancer Properties. Bioorganic Chem. 2019, 84, 326–338. [Google Scholar] [CrossRef]
- Krawczyk, M.; Pastuch-Gawołek, G.; Pluta, A.; Erfurt, K.; Domiński, A.; Kurcok, P. 8-Hydroxyquinoline Glycoconjugates: Modifications in the Linker Structure and Their Effect on the Cytotoxicity of the Obtained Compounds. Molecules 2019, 24, 4181. [Google Scholar] [CrossRef]
- Krawczyk, M.; Pastuch-Gawołek, G.; Hadasik, A.; Erfurt, K. 8-Hydroxyquinoline Glycoconjugates Containing Sulfur at the Sugar Anomeric Position—Synthesis and Preliminary Evaluation of Their Cytotoxicity. Molecules 2020, 25, 4174. [Google Scholar] [CrossRef]
- Vander Heiden, M.G.; Cantley, L.C.; Thompson, C.B. Understanding the Warburg Effect: The Metabolic Requirements of Cell Proliferation. Science 2009, 324, 1029–1033. [Google Scholar] [CrossRef]
- Calvaresi, E.C.; Hergenrother, P.J. Glucose Conjugation for the Specific Targeting and Treatment of Cancer. Chem. Sci. 2013, 4, 2319. [Google Scholar] [CrossRef]
- Beutler, E.; Duparc, S. Glucose-6-Phosphate Dehydrogenase Deficiency and Antimalarial Drug Development. Am. J. Trop. Med. Hyg. 2007, 77, 779–789. [Google Scholar] [CrossRef]
- Uthman, O.A.; Graves, P.M.; Saunders, R.; Gelband, H.; Richardson, M.; Garner, P. Safety of Primaquine given to People with G6PD Deficiency: Systematic Review of Prospective Studies. Malar. J. 2017, 16, 346. [Google Scholar] [CrossRef] [PubMed]
- Kolb, H.C.; Finn, M.G.; Sharpless, K.B. Click Chemistry: Diverse Chemical Function from a Few Good Reactions. Angew. Chem. Int. Ed. 2001, 40, 2004–2021. [Google Scholar] [CrossRef]
- Smith, J.M.; Frost, J.R.; Fasan, R. Designer Macrocyclic Organo-Peptide Hybrids Inhibit the Interaction between P53 and HDM2/X by Accommodating a Functional α-Helix. Chem Commun 2014, 50, 5027–5030. [Google Scholar] [CrossRef] [PubMed]
- Liang, L.; Astruc, D. The Copper(I)-Catalyzed Alkyne-Azide Cycloaddition (CuAAC) “Click” Reaction and Its Applications. An Overview. Coord. Chem. Rev. 2011, 255, 2933–2945. [Google Scholar] [CrossRef]
- Domińska, M.; Pastuch-Gawołek, G.; Domiński, A.; Kurcok, P.; Erfurt, K. Synthesis and Preliminary Evaluation of the Cytotoxicity of Potential Metabolites of Quinoline Glycoconjugates. Molecules 2022, 27, 1040. [Google Scholar] [CrossRef]
- Semenov, S.N.; Belding, L.; Cafferty, B.J.; Mousavi, M.P.S.; Finogenova, A.M.; Cruz, R.S.; Skorb, E.V.; Whitesides, G.M. Autocatalytic Cycles in a Copper-Catalyzed Azide–Alkyne Cycloaddition Reaction. J. Am. Chem. Soc. 2018, 140, 10221–10232. [Google Scholar] [CrossRef]
- Mosmann, T. Rapid Colorimetric Assay for Cellular Growth and Survival: Application to Proliferation and Cytotoxicity Assays. J. Immunol. Methods 1983, 65, 55–63. [Google Scholar] [CrossRef]
- Haber, R.S.; Rathan, A.; Weiser, K.R.; Pritsker, A.; Itzkowitz, S.H.; Bodian, C.; Slater, G.; Weiss, A.; Burstein, D.E. GLUT1 Glucose Transporter Expression in Colorectal Carcinoma: A Marker for Poor Prognosis. Cancer 1998, 83, 34–40. [Google Scholar] [CrossRef]
- Okcu, O.; Sen, B.; Ozturk, C.; Guvendi, G.F.; Bedir, R. Glut-1 Expression in Breast Cancer. Turk. J. Pathol. 2022, 2, 114–121. [Google Scholar] [CrossRef]
- Daniel, K.G.; Gupta, P.; Harbach, R.H.; Guida, W.C.; Dou, Q.P. Organic Copper Complexes as a New Class of Proteasome Inhibitors and Apoptosis Inducers in Human Cancer Cells. Biochem. Pharmacol. 2004, 67, 1139–1151. [Google Scholar] [CrossRef] [PubMed]
- Danishuddin; Khan, A.U. Descriptors and Their Selection Methods in QSAR Analysis: Paradigm for Drug Design. Drug Discov. Today 2016, 21, 1291–1302. [Google Scholar] [CrossRef] [PubMed]
- Prasanna, S.; Doerksen, R. Topological Polar Surface Area: A Useful Descriptor in 2D-QSAR. Curr. Med. Chem. 2009, 16, 21–41. [Google Scholar] [CrossRef] [PubMed]
- Gavezzotti, A. The Calculation of Molecular Volumes and the Use of Volume Analysis in the Investigation of Structured Media and of Solid-State Organic Reactivity. J. Am. Chem. Soc. 1983, 105, 5220–5225. [Google Scholar] [CrossRef]
- Clark, D.E. Rapid Calculation of Polar Molecular Surface Area and Its Application to the Prediction of Transport Phenomena. 1. Prediction of Intestinal Absorption. J. Pharm. Sci. 1999, 88, 807–814. [Google Scholar] [CrossRef]
- Lipinski, C.A.; Lombardo, F.; Dominy, B.W.; Feeney, P.J. Experimental and Computational Approaches to Estimate Solubility and Permeability in Drug Discovery and Development Settings. Adv. Drug Deliv. Rev. 1997, 23, 3–25, Erratum in Adv. Drug Deliv. Rev. 2001, 46, 3–26. [Google Scholar] [CrossRef]
- Wu, Y.; Pan, M.; Dai, Y.; Liu, B.; Cui, J.; Shi, W.; Qiu, Q.; Huang, W.; Qian, H. Design, Synthesis and Biological Evaluation of LBM-A5 Derivatives as Potent P-Glycoprotein-Mediated Multidrug Resistance Inhibitors. Bioorg. Med. Chem. 2016, 24, 2287–2297. [Google Scholar] [CrossRef]
- Lancuški, A.; Bossard, F.; Fort, S. Carbohydrate-Decorated PCL Fibers for Specific Protein Adhesion. Biomacromolecules 2013, 14, 1877–1884. [Google Scholar] [CrossRef]
- Bennani, Y.L. Drug Discovery in the next Decade: Innovation Needed ASAP. Drug Discov. Today 2011, 16, 779–792. [Google Scholar] [CrossRef]
- Lipinski, C.A. Lead- and Drug-like Compounds: The Rule-of-Five Revolution. Drug Discov. Today Technol. 2004, 1, 337–341. [Google Scholar] [CrossRef]









| Compound | HCT 116 b | MCF-7 c | NHDF-Neo b | ||
|---|---|---|---|---|---|
| IC50 [µM] a | SI | IC50 [µM] a | SI | IC50 [µM] a | |
| 1 | >800 | >400 | >800 | ||
| 2 | 9.33 ± 0.22 | 1 | 3.01 ± 0.05 | 3.1 | 9.34 ± 0.25 |
| 13 | >800 | - | >800 | - | >800 |
| 13 + Cu2+ d | 117.5 ± 5.0 | >1.7 | 71.3 ± 4.5 | >2.8 | >200 |
| 13a | 69.0 ± 2.5 | 0.8 | 57.7 ± 3.3 | 1.0 | 57.4 ± 3.2 |
| 14 | 281.5 ± 20.7 | >2.8 | 204.2 ± 1.4 | >3.9 | >800 |
| 14 + Cu2+ d | 87.1 ± 15.9 | 2.3 | 34.7 ± 5.0 | >5.8 | >200 |
| 14a | 22.7 ± 1.6 | 1.4 | 4.1 ± 0.03 | 7.8 | 31.9 ± 1.6 |
| 15 | 284.2 ± 2.3 | >2.8 | 102.94 ± 5.7 | >7.8 | >800 |
| 15 + Cu2+ d | 80.5 ± 2.2 | >2.5 | 34.1 ± 5.0 | >5.9 | >200 |
| 15a | 240.0 ± 2.3 | 0.9 | 105.9 ± 4.1 | 2.0 | 216.1 ± 9.7 |
| 16 | 290.5 ± 9.7 | >2.7 | 226.8 ± 6.3 | >1.8 | >800 |
| 16 + Cu2+ d | 70.8 ± 3.9 | >2.8 | 31.8 ± 4.9 | >6.3 | >200 |
| 16a | 280.9 ± 8.9 | 0.8 | 217.9 ± 5.2 | 1.0 | 220.0 ± 2.5 |
| 17 | 116.4 ± 5.9 | 3.6 | 78.1 ± 9.3 | 5.3 | 415.5 ± 12.4 |
| 17 + Cu2+ d | 71.9 ± 1.7 | >2.8 | 34.8 ± 0.7 | >5.7 | >200 |
| 17a | 143.0 ± 2.3 | 1.5 | 200.6 ± 1.1 | 1.1 | 214.8 ± 6.4 |
| 18 | 181.5 ± 15.6 | 3.2 | 96.8 ± 6.0 | 6.0 | 585.2 ± 7.1 |
| 18 + Cu2+ d | 43.4 ± 2.4 | >4.6 | 35.4 ± 0.1 | >5.6 | >200 |
| 18a | 168.9 ± 1.0 | 1.3 | 190.4 ± 3.0 | 1.1 | 213.1 ± 3.0 |
| 19 | 687.8 ± 35.7 | >1.2 | 116.4 ± 2.7 | >6.9 | >800 |
| 19a | >800 | - | >800 | - | >800 |
| 20 | 329.2 ± 5.4 | >2.4 | 149.6 ± 1.8 | >5.3 | >800 |
| 20a | >800 | - | 602.9 ± 1.9 | >1.3 | >800 |
| Doxorubicin | 5.6 ± 0.1 | >3.6 | 0.7 ± 0.01 | >28.6 | >20 |
| Structure | LogP | TPSA (Å2) | MW (g) | Vol (Å3) | nON | nOHNH | nrotb |
|---|---|---|---|---|---|---|---|
| 13 | 1.36 | 170.09 | 555.54 | 478.75 | 14 | 1 | 13 |
| 14 | 1.36 | 170.09 | 555.54 | 478.75 | 14 | 1 | 13 |
| 15 | 1.35 | 179.32 | 599.60 | 521.33 | 15 | 1 | 16 |
| 16 | 1.35 | 179.32 | 599.60 | 521.33 | 15 | 1 | 16 |
| 17 | 2.01 | 179.32 | 613.62 | 538.14 | 15 | 1 | 17 |
| 18 | 2.01 | 179.32 | 613.62 | 538.14 | 15 | 1 | 17 |
| 19 | 0.67 | 75.86 | 269.31 | 243.17 | 6 | 2 | 5 |
| 20 | 1.34 | 75.86 | 283.33 | 259.97 | 6 | 2 | 6 |
Disclaimer/Publisher’s Note: The statements, opinions and data contained in all publications are solely those of the individual author(s) and contributor(s) and not of MDPI and/or the editor(s). MDPI and/or the editor(s) disclaim responsibility for any injury to people or property resulting from any ideas, methods, instructions or products referred to in the content. |
© 2025 by the authors. Licensee MDPI, Basel, Switzerland. This article is an open access article distributed under the terms and conditions of the Creative Commons Attribution (CC BY) license (https://creativecommons.org/licenses/by/4.0/).
Share and Cite
Pastuch-Gawołek, G.; Szreder, J. Effect of Glycoconjugation on Cytotoxicity and Selectivity of 8-Aminoquinoline Derivatives Compared to 8-Hydroxyquinoline. Molecules 2025, 30, 427. https://doi.org/10.3390/molecules30020427
Pastuch-Gawołek G, Szreder J. Effect of Glycoconjugation on Cytotoxicity and Selectivity of 8-Aminoquinoline Derivatives Compared to 8-Hydroxyquinoline. Molecules. 2025; 30(2):427. https://doi.org/10.3390/molecules30020427
Chicago/Turabian StylePastuch-Gawołek, Gabriela, and Julia Szreder. 2025. "Effect of Glycoconjugation on Cytotoxicity and Selectivity of 8-Aminoquinoline Derivatives Compared to 8-Hydroxyquinoline" Molecules 30, no. 2: 427. https://doi.org/10.3390/molecules30020427
APA StylePastuch-Gawołek, G., & Szreder, J. (2025). Effect of Glycoconjugation on Cytotoxicity and Selectivity of 8-Aminoquinoline Derivatives Compared to 8-Hydroxyquinoline. Molecules, 30(2), 427. https://doi.org/10.3390/molecules30020427

