Creation of Zinc (II)-Complexed Green Tea and Its Effects on Gut Microbiota by Daily Green Tea Consumption
Abstract
1. Introduction
2. Results
2.1. Structural Characterization of Zn-GTE and Zn-EGCg
2.1.1. Analysis of Zn-GTE
2.1.2. Analysis of Zn-EGCg
2.2. Catechin-Specific Contributions to Zn (II) Chelation in GTE
2.3. Effects of GTE and Its Zn (II) Complex on WD-Induced Gut Microbial Diversity
2.4. Pattern Differentiation of Gut Microbiota by GTE and Its Zn(II) Complex
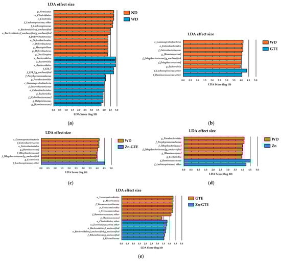
2.5. Effects of GTE and Its Zn (II) Complex on WD-Induced Gut Microbial Composition
2.6. Effects of GTE and Its Zn (II) Complex on WD-Induced Gut Microbial Metabolic Pathway
2.7. Effects of GTE and Its Zn (II) Complex on Organic Acid Composition in the Cecum
2.8. Effects of GTE and Its Zn (II) Complex on Serum and Hepatic Zn Status
3. Discussion
3.1. Chemical Structure of Zn-EGCg and Zn-GTE
3.2. Effects of Zn-GTE on Gut Microbial Diversity
3.3. Effects of Zn-GTE on Gut Microbial Composition
3.4. Effects of Zn-GTE on Gut Microbial Metabolic Pathway
3.5. Effects of Zn-GTE on Obesity-Related Symptoms and Zinc Status in the Host
3.6. Limitations and Future Perspectives
4. Materials and Methods
4.1. Chemicals and Reagents
4.2. Sample Preparation
4.2.1. Green Tea Extract (GTE) and Zn-GTE Preparation
4.2.2. Zn-EGCg Preparation
4.3. Characterization of Zn-GTE and Zn-EGCg
4.3.1. UV–Visible Spectroscopy (UV–Vis) Analysis
4.3.2. Fourier Transform Infrared Spectroscopy (FT-IR) Analysis
4.3.3. 1H Nuclear Magnetic Resonance (NMR) Analysis
4.3.4. Powder X-Ray Diffraction (PXRD) Analysis
4.4. Measurement of Zn (II) Chelating Ability of GTE and Its Catechins
- FIs: Fluorescence intensity of the sample;
- FIsb: Fluorescence intensity of the sample blank;
- FIct: Fluorescence intensity of the control;
- FIb: Fluorescence intensity of the control blank.
4.5. Animal Experiment Design
4.6. Gut Microbiota Analysis
4.6.1. 16S rRNA Sequencing from Mice Feces
4.6.2. 16S rRNA Sequence Processing
4.6.3. Gut Microbial Metabolic Pathway Prediction by PICRUSt2
4.7. Cecal Organic Acids Analysis
4.8. Measurement of Serum Biochemical Indexes
4.9. Measurement of Zn Content in Serum and Liver
4.10. Statistical Analysis
5. Conclusions
Supplementary Materials
Author Contributions
Funding
Institutional Review Board Statement
Informed Consent Statement
Data Availability Statement
Acknowledgments
Conflicts of Interest
Abbreviations
| EGCg | (−)-Epigallocatechin gallate |
| ECg | (−)-Epicatechin gallate |
| EGC | (−)-Epigallocatechin |
| EC | (−)-Epicatechin |
| GCg | (−)-Gallocatechin gallate |
| Cg | (−)-Catechin gallate |
| GC | (−)-Gallocatechin |
| C | (+)-Catechin |
| GTE | Green tea extract |
| PCA | Principal component analysis |
| PLS-DA | Partial least squares discriminant analysis |
| ND | Normal diet |
| HFD | High-fat diet |
| WD | Western diet |
| UV–Vis | UV–Visible spectroscopy |
| FT-IR | Fourier transform infrared spectroscopy |
| NMR | Nuclear magnetic resonance |
| PXRD | Powder X-ray diffraction |
| LEfSe | Linear Discriminant Analysis LDA Effect Size |
| PICRUSt2 | Phylogenetic Investigation of Communities by Reconstruction of Unobserved States |
| MetaCyc | Metabolic Pathways From all Domains of Life |
| KEGG | Kyoto Encyclopedia of Genes and Genomes |
| ANOVA | Analysis of variance |
| PERMANOVA | Permutational multivariate analysis of variance |
References
- Zhao, T.; Li, C.; Wang, S.; Song, X. Green Tea (Camellia sinensis): A Review of Its Phytochemistry, Pharmacology, and Toxicology. Molecules 2022, 27, 3909. [Google Scholar] [CrossRef]
- Liu, Z.; Chen, Q.; Zhang, C.; Ni, L. Comparative Study of the Anti-Obesity and Gut Microbiota Modulation Effects of Green Tea Phenolics and Their Oxidation Products in High-Fat-Induced Obese Mice. Food Chem. 2022, 367, 130735. [Google Scholar] [CrossRef]
- Oh, J.W.; Muthu, M.; Pushparaj, S.S.C.; Gopal, J. Anti-cancer Therapeutic Effects of Green Tea Catechins (GTCs) When Integrated with Antioxidant Natural Components. Molecules 2023, 28, 2151. [Google Scholar] [CrossRef]
- Huang, Z.; Zhang, L.; Xuan, J.; Yang, L.; Zhao, T.; Peng, W. Tea for Histamine Anti-Allergy: Component Analysis of Tea Extracts and Potential Mechanism for Treating Histamine Anti-Allergy. Front. Pharmacol. 2024, 15, 1296190. [Google Scholar] [CrossRef]
- Shen, J.; Xie, J.; Ye, L.; Mao, J.; Sun, S.; Chen, W.; Wei, S.; Ruan, S.; Wang, L.; Hu, H.; et al. Neuroprotective Effect of Green Tea Extract (-)-Epigallocatechin-3-Gallate in a Preformed Fibril-Induced Mouse Model of Parkinson’s Disease. Neuroreport 2024, 35, 421–430. [Google Scholar] [CrossRef]
- Orita, T.; Chogahara, S.; Okuda, M.; Sakao, K.; Miyata, T.; Hou, D.X. Extraction Efficiency and Alpha-Glucosidase Inhibitory Activities of Green Tea Catechins by Different Infusion Methods. Foods 2023, 12, 2611. [Google Scholar] [CrossRef] [PubMed]
- Onakpoya, I.; Spencer, E.; Heneghan, C.; Thompson, M. The Effect of Green Tea on Blood Pressure and Lipid Profile: A Systematic Review and Meta-Analysis of Randomized Clinical Trials. Nutr. Metab. Cardiovasc. Dis. 2014, 24, 823–836. [Google Scholar] [CrossRef] [PubMed]
- Li, Z.; Kang, M.; Zhang, S.; Zhang, S.; Dongye, Z.; Wang, L.; Chen, C.; Cheng, X.; Qian, Y.; Ren, Y. The Improved Inhibition of Mn (II)-EGCG on α-Glucosidase: Characteristics and Interactions Properties. J. Mol. Struct. 2023, 1283, 135314. [Google Scholar] [CrossRef]
- Alhafez, M.; Kheder, F.; Aljoubbeh, M. Synthesis, Antioxidant Activity and Antibacterial Study of EGCG Complexes with Iron(III) Ions. Results Chem. 2022, 4, 100638. [Google Scholar] [CrossRef]
- Farhan, M.; Khan, H.Y.; Oves, M.; Al-Harrasi, A.; Rehmani, N.; Arif, H.; Hadi, S.M.; Ahmad, A. Cancer Therapy by Catechins Involves Redox Cycling of Copper Ions and Generation of Reactive Oxygenspecies. Toxins 2016, 8, 37. [Google Scholar] [CrossRef]
- Wang, X.; Feng, Y.; Chen, C.; Yang, H.; Yang, X. Preparation, Characterization and Activity of Tea Polyphenols-Zinc Complex. LWT 2020, 131, 109810. [Google Scholar] [CrossRef]
- Zhang, L.C.; Yu, H.N.; Sun, S.L.; Yang, J.G.; He, G.Q.; Ruan, H.; Shen, S.R. Investigations of the Cytotoxicity of Epigallocatechin-3-Gallate against PC-3 Cells in the Presence of Cd2+ in Vitro. Toxicol. In Vitro 2008, 22, 953–960. [Google Scholar] [CrossRef] [PubMed]
- Gokhale, K.M.; Yadav, V.D. Study on Synthesis, in-Vitro Anti-Inflammatory and Anti-cancer Activity of L-Catechin Metal Complexes. Eur. J. Mol. Clin. Med. 2020, 7, 5948–5959. [Google Scholar]
- Dabbagh-Bazarbachi, H.; Clergeaud, G.; Quesada, I.M.; Ortiz, M.; O’Sullivan, C.K.; Fernández-Larrea, J.B. Zinc Ionophore Activity of Quercetin and Epigallocatechin-Gallate: From Hepa 1-6 Cells to a Liposome Model. J. Agric. Food Chem. 2014, 62, 8085–8093. [Google Scholar] [CrossRef] [PubMed]
- Clergeaud, G.; Dabbagh-Bazarbachi, H.; Ortiz, M.; Fernández-Larrea, J.B.; O’Sullivan, C.K. A Simple Liposome Assay for the Screening of Zinc Ionophore Activity of Polyphenols. Food Chem. 2016, 197, 916–923. [Google Scholar] [CrossRef]
- Sun, S.L.; He, G.Q.; Yu, H.N.; Yang, J.G.; Borthakur, D.; Zhang, L.C.; Shen, S.R.; Das, U.N. Free Zn2+ Enhances Inhibitory Effects of EGCG on the Growth of PC-3 Cells. Mol. Nutr. Food Res. 2008, 52, 465–471. [Google Scholar] [CrossRef] [PubMed]
- Chen, X.; Yu, H.; Shen, S.; Yin, J. Role of Zn2+ in Epigallocatechin Gallate Affecting the Growth of PC-3 Cells. J. Trace Res. Elem. Med. Biol. 2007, 21, 125–131. [Google Scholar] [CrossRef]
- Zhang, H.; Zhao, Y. Preparation, Characterization and Evaluation of Tea Polyphenol-Zn Complex Loaded β-Chitosan Nanoparticles. Food Hydrocoll. 2015, 48, 260–273. [Google Scholar] [CrossRef]
- Kader, D.A.; Aziz, D.M.; Mohammed, S.J.; Maarof, N.N.N.; Karim, W.O.; Mhamad, S.A.; Rashid, R.M.; Ayoob, M.M.; Kayani, K.F.; Qurbani, K. Green Synthesis of ZnO/Catechin Nanocomposite: Comprehensive Characterization, Optical Study, Computational Analysis, Biological Applications and Molecular Docking. Mater. Chem. Phys. 2024, 319, 129408. [Google Scholar] [CrossRef]
- Pohl, P.; Prusisz, B. Fractionation Analysis of Manganese and Zinc in Tea Infusions by Two-Column Solid Phase Extraction and Flame Atomic Absorption Spectrometry. Food Chem. 2007, 102, 1415–1424. [Google Scholar] [CrossRef]
- Dube, A.; Nicolazzo, J.A.; Larson, I. Chitosan Nanoparticles Enhance the Intestinal Absorption of the Green Tea Catechins (+)-Catechin and (-)-Epigallocatechin Gallate. Eur. J. Pharm. Sci. 2010, 41, 219–225. [Google Scholar] [CrossRef]
- Clifford, M.N.; Van Der Hooft, J.J.J.; Crozier, A. Human Studies on the Absorption, Distribution, Metabolism, and Excretion of Tea Polyphenols1-3. Am. J. Clin. Nutr. 2013, 98, 1619S–1630S. [Google Scholar] [CrossRef]
- Hussain, K.; Yang, Y.; Wang, J.; Bian, H.; Lei, X.; Chen, J.; Li, Q.; Wang, L.; Zhong, Q.; Fang, X.; et al. Comparative Study on the Weight Loss and Lipid Metabolism by Tea Polyphenols in Diet Induced Obese C57BL/6J Pseudo Germ Free and Conventionalized Mice. Food Sci. Hum. Wellness 2022, 11, 697–710. [Google Scholar] [CrossRef]
- Yuan, X.; Long, Y.; Ji, Z.; Gao, J.; Fu, T.; Yan, M.; Zhang, L.; Su, H.; Zhang, W.; Wen, X.; et al. Green Tea Liquid Consumption Alters the Human Intestinal and Oral Microbiome. Mol. Nutr. Food Res. 2018, 62, e1800178. [Google Scholar] [CrossRef]
- Liu, X.; Zhao, K.; Jing, N.; Zhao, Y.; Yang, X. EGCG Regulates Fatty Acid Metabolism of High-Fat Diet-Fed Mice in Association with Enrichment of Gut Akkermansia Muciniphila. J. Funct. Foods 2020, 75, 104261. [Google Scholar] [CrossRef]
- Song, Q.; Zhang, X. The Role of Gut–Liver Axis in Gut Microbiome Dysbiosis Associated NAFLD and NAFLD-HCC. Biomedicines 2022, 10, 524. [Google Scholar] [CrossRef]
- Canale, M.P.; Noce, A.; Di Lauro, M.; Marrone, G.; Cantelmo, M.; Cardillo, C.; Federici, M.; Di Daniele, N.; Tesauro, M. Gut Dysbiosis and Western Diet in the Pathogenesis of Essential Arterial Hypertension: A Narrative Review. Nutrients 2021, 13, 1162. [Google Scholar] [CrossRef] [PubMed]
- Malesza, I.J.; Malesza, M.; Walkowiak, J.; Mussin, N.; Walkowiak, D.; Aringazina, R.; Bartkowiak-Wieczorek, J.; Mądry, E. High-Fat, Western-Style Diet, Systemic Inflammation, and Gut Microbiota: A Narrative Review. Cells 2021, 10, 3164. [Google Scholar] [CrossRef]
- Suárez-Zamorano, N.; Fabbiano, S.; Chevalier, C.; Stojanović, O.; Colin, D.J.; Stevanović, A.; Veyrat-Durebex, C.; Tarallo, V.; Rigo, D.; Germain, S.; et al. Microbiota Depletion Promotes Browning of White Adipose Tissue and Reduces Obesity. Nat. Med. 2015, 21, 1497–1501. [Google Scholar] [CrossRef] [PubMed]
- Hrncir, T. Gut Microbiota Dysbiosis: Triggers, Consequences, Diagnostic and Therapeutic Options. Microorganisms 2022, 10, 578. [Google Scholar] [CrossRef]
- Molinari, R.; Merendino, N.; Costantini, L. Polyphenols as Modulators of Pre-Established Gut Microbiota Dysbiosis: State-of-the-Art. BioFactors 2022, 48, 255–273. [Google Scholar] [CrossRef] [PubMed]
- Le Chatelier, E.; Nielsen, T.; Qin, J.; Prifti, E.; Hildebrand, F.; Falony, G.; Almeida, M.; Arumugam, M.; Batto, J.M.; Kennedy, S.; et al. Richness of Human Gut Microbiome Correlates with Metabolic Markers. Nature 2013, 500, 541–546. [Google Scholar] [CrossRef] [PubMed]
- Clemente-Suárez, V.J.; Beltrán-Velasco, A.I.; Redondo-Flórez, L.; Martín-Rodríguez, A.; Tornero-Aguilera, J.F. Global Impacts of Western Diet and Its Effects on Metabolism and Health: A Narrative Review. Nutrients 2023, 15, 2749. [Google Scholar] [CrossRef] [PubMed]
- Nakano, H.; Wu, S.; Sakao, K.; Hara, T.; He, J.; Garcia, S.; Shetty, K.; Hou, D.X. Bilberry Anthocyanins Ameliorate NAFLD by Improving Dyslipidemia and Gut Microbiome Dysbiosis. Nutrients 2020, 12, 3252. [Google Scholar] [CrossRef]
- Huang, Y.; Lu, F.; Guo, Y.; Cheng, K.K.; Wang, Z.; Li, W.; Dong, J.; Huang, B.; Cui, X. Solvent Selection in the Quality Analysis of White Tea by Nuclear Magnetic Resonance Spectroscopy. LWT 2025, 215, 117155. [Google Scholar] [CrossRef]
- Yasarawan, N.; Thipyapong, K.; Sirichai, S.; Ruangpornvisuti, V. Fundamental Insights into Conformational Stability and Orbital Interactions of Antioxidant (+)-Catechin Species and Complexation of (+)-Catechin with Zinc(II) and Oxovanadium(IV). J. Mol. Struct. 2013, 1047, 344–357. [Google Scholar] [CrossRef]
- Diniz, P.H.G.D.; Barbosa, M.F.; De Melo Milanez, K.D.T.; Pistonesi, M.F.; De Araújo, M.C.U. Using UV-Vis Spectroscopy for Simultaneous Geographical and Varietal Classification of Tea Infusions Simulating a Home-Made Tea Cup. Food Chem. 2016, 192, 374–379. [Google Scholar] [CrossRef]
- López-Martínez, L.; López-de-Alba, P.L.; García-Campos, R.; De León-Rodríguez, L.M. Simultaneous Determination of Methylxanthines in Coffees and Teas by UV-Vis Spectrophotometry and Partial Least Squares. Anal. Chim. Acta 2003, 493, 83–94. [Google Scholar] [CrossRef]
- Yousefbeyk, F.; Ebrahimi-Najafabadi, H.; Dabirian, S.; Salimi, S.; Baniardalani, F.; Moghadam, F.A.; Ghasemi, S. Phytochemical Analysis and Antioxidant Activity of Eight Cultivars of Tea (Camellia sinensis) and Rapid Discrimination with FTIR Spectroscopy and Pattern Recognition Techniques. Pharm. Sci. 2023, 29, 100–110. [Google Scholar] [CrossRef]
- Primikyri, A.; Mazzone, G.; Lekka, C.; Tzakos, A.G.; Russo, N.; Gerothanassis, I.P. Understanding Zinc(II) Chelation with Quercetin and Luteolin: A Combined NMR and Theoretical Study. J. Phys. Chem. B 2015, 119, 83–95. [Google Scholar] [CrossRef] [PubMed]
- Deshaies, S.; Le Guernevé, C.; Suc, L.; Mouls, L.; Garcia, F.; Saucier, C. Unambiguous Nmr Structural Determination of (+)-Catechin—Laccase Dimeric Reaction Products as Potential Markers of Grape and Wine Oxidation. Molecules 2021, 26, 6165. [Google Scholar] [CrossRef]
- Quesada, I.M.; Bustos, M.; Blay, M.; Pujadas, G.; Ardèvol, A.; Salvadó, M.J.; Bladé, C.; Arola, L.; Fernández-Larrea, J. Dietary Catechins and Procyanidins Modulate Zinc Homeostasis in Human HepG2 Cells. J. Nutr. Biochem. 2011, 22, 153–163. [Google Scholar] [CrossRef] [PubMed]
- Zhang, L.; Liu, R.; Gung, B.W.; Tindall, S.; Gonzalez, J.M.; Halvorson, J.J.; Hagerman, A.E. Polyphenol-Aluminum Complex Formation: Implications for Aluminum Tolerance in Plants. J. Agric. Food Chem. 2016, 64, 3025–3033. [Google Scholar] [CrossRef]
- Sun, X.; Liu, Y.; Jiang, P.; Song, S.; Ai, C. Interaction of Sulfated Polysaccharides with Intestinal Bacteroidales Plays an Important Role in Its Biological Activities. Int. J. Biol. Macromol. 2021, 168, 496–506. [Google Scholar] [CrossRef]
- Tavella, T.; Rampelli, S.; Guidarelli, G.; Bazzocchi, A.; Gasperini, C.; Pujos-Guillot, E.; Comte, B.; Barone, M.; Biagi, E.; Candela, M.; et al. Elevated Gut Microbiome Abundance of Christensenellaceae, Porphyromonadaceae and Rikenellaceae Is Associated with Reduced Visceral Adipose Tissue and Healthier Metabolic Profile in Italian Elderly. Gut Microbes 2021, 13, 1–19. [Google Scholar] [CrossRef]
- Dong, M.; Liang, X.; Zhu, T.; Xu, T.; Xie, L.; Feng, Y. Reoxygenation Mitigates Intermittent Hypoxia-Induced Systemic Inflammation and Gut Microbiota Dysbiosis in High-Fat Diet-Induced Obese Rats. Nat. Sci. Sleep 2024, 16, 517–530. [Google Scholar] [CrossRef]
- Gomes, M.J.C.; Martino, H.S.D.; Tako, E. Effects of Iron and Zinc Biofortified Foods on Gut Microbiota in Vivo (Gallus gallus): A Systematic Review. Nutrients 2021, 13, 189. [Google Scholar] [CrossRef]
- Reed, S.; Knez, M.; Uzan, A.; Stangoulis, J.C.; Glahn, R.P.; Koren, O.; Tako, E. Alterations in the Gut (Gallus gallus) Microbiota Following the Consumption of Zinc Biofortified Wheat (Triticum aestivum)-Based Diet. J. Agric. Food Chem. 2018, 66, 6291–6299. [Google Scholar] [CrossRef] [PubMed]
- Jeong, H.W.; Kim, J.K.; Kim, A.Y.; Cho, D.; Lee, J.H.; Choi, J.K.; Park, M.; Kim, W. Tea Encourages Growth of Akkermansia Muciniphila. J. Med. Food 2020, 23, 841–851. [Google Scholar] [CrossRef]
- Xia, Y.; Zhang, X.; Jiang, M.; Zhang, H.; Wang, Y.; Zhang, Y.; Seviour, R.; Kong, Y. In Vitro Co-Metabolism of Epigallocatechin-3gallate (EGCG) by the Mucin-Degrading Bacterium Akkermansia Muciniphila. PLoS ONE 2021, 16, e0260757. [Google Scholar] [CrossRef] [PubMed]
- Chen, L.; Wang, Z.; Wang, P.; Yu, X.; Ding, H.; Wang, Z.; Feng, J. Effect of Long-Term and Short-Term Imbalanced Zn Manipulation on Gut Microbiota and Screening for Microbial Markers Sensitive to Zinc Status. Microbiol. Spectr. 2021, 9, e0048321. [Google Scholar] [CrossRef]
- Rodrigues, V.F.; Elias-Oliveira, J.; Pereira, Í.S.; Pereira, J.A.; Barbosa, S.C.; Machado, M.S.G.; Carlos, D. Akkermansia Muciniphila and Gut Immune System: A Good Friendship That Attenuates Inflammatory Bowel Disease, Obesity, and Diabetes. Front. Immunol. 2022, 13, 934695. [Google Scholar] [CrossRef] [PubMed]
- Qu, S.; Zheng, Y.; Huang, Y.; Feng, Y.; Xu, K.; Zhang, W.; Wang, Y.; Nie, K.; Qin, M. Excessive Consumption of Mucin by Over-Colonized Akkermansia Muciniphila Promotes Intestinal Barrier Damage during Malignant Intestinal Environment. Front. Microbiol. 2023, 14, 1111911. [Google Scholar] [CrossRef]
- Zhou, J.; Tang, L.; Shen, C.L.; Wang, J.S. Green Tea Polyphenols Boost Gut-Microbiota-Dependent Mitochondrial TCA and Urea Cycles in Sprague–Dawley Rats. J. Nutr. Biochem. 2020, 81, 108395. [Google Scholar] [CrossRef] [PubMed]
- Holmes, E.; Li, J.V.; Marchesi, J.R.; Nicholson, J.K. Gut Microbiota Composition and Activity in Relation to Host Metabolic Phenotype and Disease Risk. Cell Metab. 2012, 16, 559–564. [Google Scholar] [CrossRef] [PubMed]
- Cani, P.D.; Delzenne, N.M. The Role of the Gut Microbiota in Energy Metabolism and Metabolic Disease. Curr. Pharm. Des. 2009, 15, 1546–1558. [Google Scholar] [CrossRef]
- Serena, C.; Ceperuelo-Mallafré, V.; Keiran, N.; Queipo-Ortuño, M.I.; Bernal, R.; Gomez-Huelgas, R.; Urpi-Sarda, M.; Sabater, M.; Pérez-Brocal, V.; Andrés-Lacueva, C.; et al. Elevated Circulating Levels of Succinate in Human Obesity Are Linked to Specific Gut Microbiota. ISME J. 2018, 12, 1642–1657. [Google Scholar] [CrossRef]
- De Vadder, F.; Kovatcheva-Datchary, P.; Zitoun, C.; Duchampt, A.; Bäckhed, F.; Mithieux, G. Microbiota-Produced Succinate Improves Glucose Homeostasis via Intestinal Gluconeogenesis. Cell Metab. 2016, 24, 151–157. [Google Scholar] [CrossRef]
- Chung, M.Y.; Park, H.J.; Manautou, J.E.; Koo, S.I.; Bruno, R.S. Green Tea Extract Protects against Nonalcoholic Steatohepatitis in Ob/Ob Mice by Decreasing Oxidative and Nitrative Stress Responses Induced by Proinflammatory Enzymes. J. Nutr. Biochem. 2012, 23, 361–367. [Google Scholar] [CrossRef]
- Yu, J.; Yang, J.; Li, M.; Yang, X.; Wang, P.; Xu, J. Protective Effects of Chinese Fenggang Zinc Selenium Tea on Metabolic Syndrome in High-Sucrose-High-Fat Diet-Induced Obese Rats. Sci. Rep. 2018, 8, 3528. [Google Scholar] [CrossRef]
- Kagaya, N.; Kawase, M.; Maeda, H.; Tagawa, Y.-I.; Nagashima, H.; Ohmori, H.; Yagi, K. Enhancing Effect of Zinc on Hepatoprotectivity of Epigallocatechin Gallate in Isolated Rat Hepatocytes. Biol. Pharm. Bull. 2002, 25, 1156–1160. [Google Scholar] [CrossRef]
- Fathi, M.; Alavinejad, P.; Haidari, Z.; Amani, R. The Effect of Zinc Supplementation on Steatosis Severity and Liver Function Enzymes in Overweight/Obese Patients with Mild to Moderate Non-Alcoholic Fatty Liver Following Calorie-Restricted Diet: A Double-Blind, Randomized Placebo-Controlled Trial. Biol. Trace Elem. Res. 2020, 197, 394–404. [Google Scholar] [CrossRef]
- Prasad, A.S. The Role of Zinc in Gastrointestinal and Liver Disease. Clin. Gastroenterol. 1983, 12, 713–741. [Google Scholar] [CrossRef] [PubMed]
- Samman, S.; Sandström, B.; Toft, M.B.; Bukhave, K.; Jensen, M.; Sørensen, S.S.; Hansen, M. Green Tea or Rosemary Extract Added to Foods Reduces-Iron Absorption. Am. J. Clin. Nutr. 2001, 73, 607–612. [Google Scholar] [CrossRef]
- Ma, Q.; Kim, E.Y.; Lindsay, E.A.; Han, O. Bioactive Dietary Polyphenols Inhibit Heme Iron Absorption in a Dose-Dependent Manner in Human Intestinal Caco-2 Cells. J. Food Sci. 2011, 76, H143–H150. [Google Scholar] [CrossRef] [PubMed]
- Kim, E.Y.; Pai, T.K.; Han, O. Effect of Bioactive Dietary Polyphenols on Zinc Transport across the Intestinal Caco-2 Cell Monolayers. J. Agric. Food Chem. 2011, 59, 3606–3612. [Google Scholar] [CrossRef]
- Hugenholtz, F.; de Vos, W.M. Mouse Models for Human Intestinal Microbiota Research: A Critical Evaluation. Cell. Mol. Life Sci. 2018, 75, 149–160. [Google Scholar] [CrossRef] [PubMed]
- Ley, R.E.; Bä Ckhed, F.; Turnbaugh, P.; Lozupone, C.A.; Knight, R.D.; Gordon, J.I. Obesity Alters Gut Microbial Ecology. Proc. Natl. Acad. Sci. USA 2005, 102, 11070–11075. [Google Scholar] [CrossRef]
- Nakamura, M.; Urakawa, D.; He, Z.; Akagi, I.; Hou, D.X.; Sakao, K. Apoptosis Induction in HepG2 and HCT116 Cells by a Novel Quercetin-Zinc (II) Complex: Enhanced Absorption of Quercetin and Zinc (II). Int. J. Mol. Sci. 2023, 24, 17457. [Google Scholar] [CrossRef] [PubMed]
- Xie, K.; He, X.; Chen, K.; Sakao, K.; Hou, D.X. Ameliorative Effects and Molecular Mechanisms of Vine Tea on Western Diet-Induced NAFLD. Food Funct. 2020, 11, 5976–5991. [Google Scholar] [CrossRef]
- Reagan-Shaw, S.; Nihal, M.; Ahmad, N. Dose Translation from Animal to Human Studies Revisited. FASEB J. 2008, 22, 659–661. [Google Scholar] [CrossRef] [PubMed]
- Sakata, R.; Nakamura, T.; Torimura, T.; Ueno, T.; Sata, M. Green Tea with High-Density Catechins Improves Liver Function and Fat Infiltration in Non-Alcoholic Fatty Liver Disease (NAFLD) Patients: A Double-Blind Placebo-Controlled Study. Int. J. Mol. Med. 2013, 32, 989–994. [Google Scholar] [CrossRef] [PubMed]
- Wu, S.; Hu, R.; Nakano, H.; Chen, K.; Liu, M.; He, X.; Zhang, H.; He, J.; Hou, D.X. Modulation of Gut Microbiota by Lonicera Caerulea l. Berry Polyphenols in a Mouse Model of Fatty Liver Induced by High Fat Diet. Molecules 2018, 23, 3213. [Google Scholar] [CrossRef] [PubMed]










| Component (%) | ND | WD | GTE | Zn-GTE | Zn |
|---|---|---|---|---|---|
| Lard | 3 | 30 | 30 | 30 | 30 |
| Soybean oil | 3 | 3 | 3 | 3 | 3 |
| Corn Starch | 45 | 16.5 | 16 | 16.5 | 16 |
| Casein | 20 | 20 | 20 | 20 | 20 |
| Sucrose | 20 | 20 | 20 | 20 | 20 |
| Cellulose | 4 | 4 | 4 | 4 | 4 |
| Mineral Mix | 3.5 | 3.5 | 3.5 | 3.5 | 3.5 |
| Vitamin Mix | 1 | 1 | 1 | 1 | 1 |
| Cholesterol | 0 | 1.5 | 1.5 | 1.5 | 1.5 |
| Choline Bitartrate | 0.2 | 0.2 | 0.2 | 0.2 | 0.2 |
| Methionine | 0.3 | 0.3 | 0.3 | 0.3 | 0.3 |
| GTE | - | - | 0.5 | - | - |
| Zn-GTE | - | - | - | 0.51 | - |
| ZnSO4 7H2O | - | - | - | - | 0.01 |
| Total calories (kcal/100 g) | 358.0 | 511.2 | 509.4 | 509.4 | 511.2 |
| Zn (µg/g) | 29.1 | 29.1 | 29.4 | 59.5 | 59.1 |
Disclaimer/Publisher’s Note: The statements, opinions and data contained in all publications are solely those of the individual author(s) and contributor(s) and not of MDPI and/or the editor(s). MDPI and/or the editor(s) disclaim responsibility for any injury to people or property resulting from any ideas, methods, instructions or products referred to in the content. |
© 2025 by the authors. Licensee MDPI, Basel, Switzerland. This article is an open access article distributed under the terms and conditions of the Creative Commons Attribution (CC BY) license (https://creativecommons.org/licenses/by/4.0/).
Share and Cite
Orita, T.; Ijiri, D.; Hou, D.-X.; Sakao, K. Creation of Zinc (II)-Complexed Green Tea and Its Effects on Gut Microbiota by Daily Green Tea Consumption. Molecules 2025, 30, 3191. https://doi.org/10.3390/molecules30153191
Orita T, Ijiri D, Hou D-X, Sakao K. Creation of Zinc (II)-Complexed Green Tea and Its Effects on Gut Microbiota by Daily Green Tea Consumption. Molecules. 2025; 30(15):3191. https://doi.org/10.3390/molecules30153191
Chicago/Turabian StyleOrita, Tsukasa, Daichi Ijiri, De-Xing Hou, and Kozue Sakao. 2025. "Creation of Zinc (II)-Complexed Green Tea and Its Effects on Gut Microbiota by Daily Green Tea Consumption" Molecules 30, no. 15: 3191. https://doi.org/10.3390/molecules30153191
APA StyleOrita, T., Ijiri, D., Hou, D.-X., & Sakao, K. (2025). Creation of Zinc (II)-Complexed Green Tea and Its Effects on Gut Microbiota by Daily Green Tea Consumption. Molecules, 30(15), 3191. https://doi.org/10.3390/molecules30153191

