Semi-Synthesis, Anti-Leukemia Activity, and Docking Study of Derivatives from 3α,24-Dihydroxylup-20(29)-en-28-Oic Acid
Abstract
1. Introduction
2. Results and Discussion
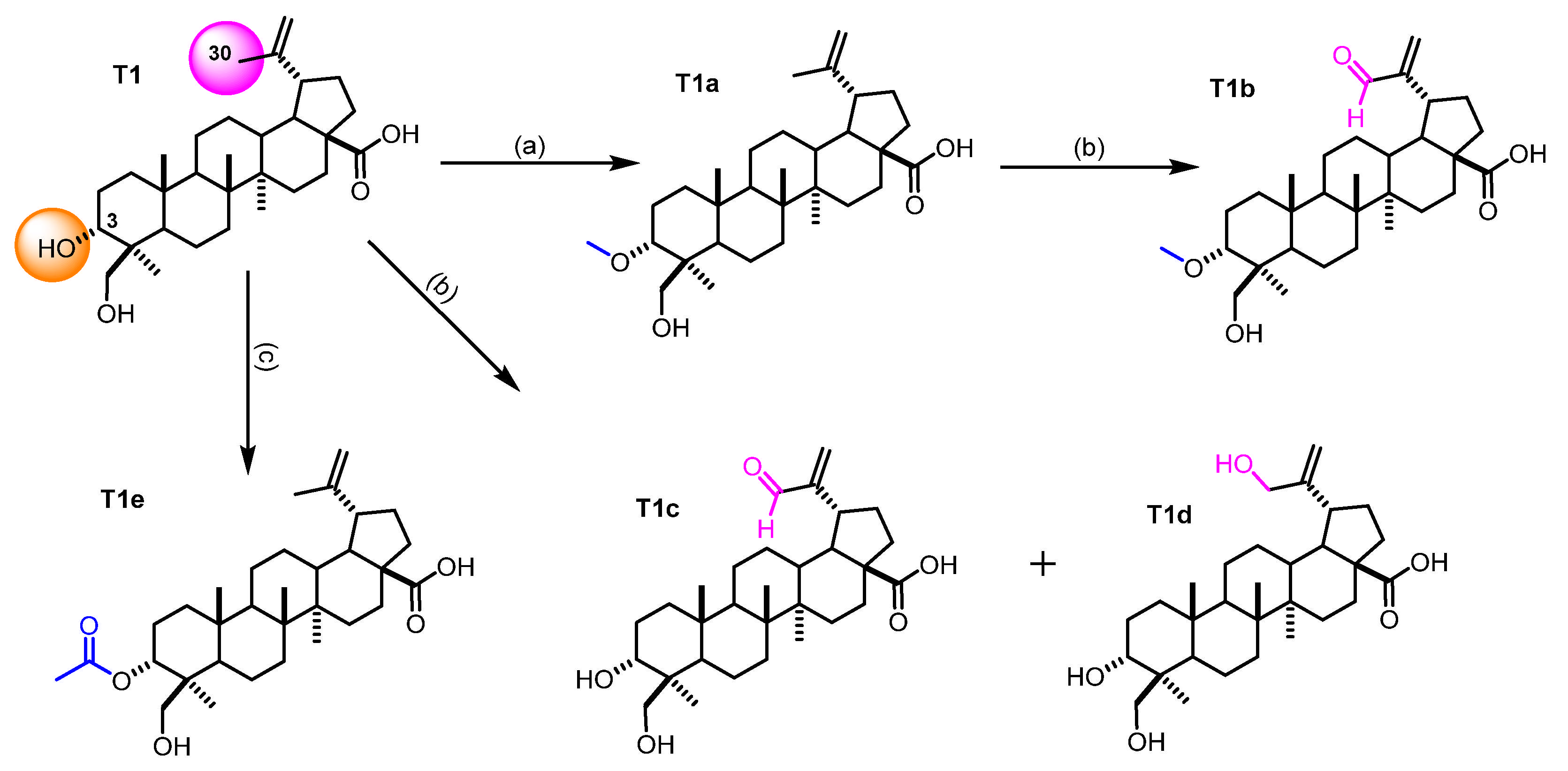
2.1. Chemical Synthesis of the Target Compounds
2.2. In Vitro Anti-Leukemia Activity
2.3. Effect of Compounds on the Viability of Peripheral Blood Mononuclear Cells (MNCs)
2.4. Apoptosis Assay
2.5. Molecular Docking
2.5.1. Molecular Docking with the BCL-2 Protein
2.5.2. Molecular Docking with the EGFR Tyrosine Kinase
2.5.3. Molecular Docking with FLT3 Protein
2.5.4. Similarity to Drugs
3. Materials and Methods
3.1. General Experimental Procedures
3.2. Extraction and Isolation of Compounds
3.3. Synthesis of Compound T1a from T1
3.4. Synthesis of Compound T1b from T1a
3.5. Synthesis of Compounds T1c and T1d from T1
3.6. Synthesis of Compound T1e from T1
3.7. Leukemia Cell Lines
3.8. Compounds and Controls
3.9. Cell Viability Assay in Leukemic Cell Lines and Normal Mononuclear Cells
3.10. Apoptosis Assay
3.11. In Silico Studies
3.12. Analysis of Results
4. Conclusions
Supplementary Materials
Author Contributions
Funding
Institutional Review Board Statement
Informed Consent Statement
Data Availability Statement
Acknowledgments
Conflicts of Interest
References
- Siegel, R.L.; Miller, K.D.; Fuchs, H.E.; Jemal, A. Cancer statistics, 2022. CA Cancer J. Clin. 2022, 72, 7–33. [Google Scholar] [CrossRef]
- Bray, F.; Laversanne, M.; Sung, H.; Ferlay, J.; Siegel, R.L.; Soerjomataram, I.; Jemal, A. Global cancer statistics 2022: GLOBOCAN estimates of incidence and mortality worldwide for 36 cancers in 185 countries. CA Cancer J. Clin. 2024, 74, 229–263. [Google Scholar] [CrossRef]
- Tejera, P.; Tešan, T.; Atefyekta, A.; Fehr, A.; Stenman, G.; Andersson, M.K. Synthetic oleanane triterpenoids suppress MYB oncogene activity and sensitize T-cell acute lymphoblastic leukemia cells to chemotherapy. Front. Oncol. 2023, 13, 1126354. [Google Scholar] [CrossRef]
- Leifheit, M.E.; Johnson, G.; Kuzel, T.M.; Schneider, J.R.; Barker, E.; Yun, H.D.; Ustun, C.; Goldufsky, J.W.; Gupta, K.; Marzo, A.L. Enhancing therapeutic efficacy of FLT3 inhibitors with combination therapy for treatment of acute myeloid leukemia. Int. J. Mol. Sci. 2024, 25, 9448. [Google Scholar] [CrossRef]
- Ahmad, S.; Kifayatullah; Shah, K.A.; Hussain, H.; Haq, A.U.; Ullah, A.; Khan, A.; Rahman, N.U. Prevalence of acute and chronic forms of leukemia in various regions of Khyber Pakhtunkhwa, Pakistan: Needs much more to be done! Bangladesh J. Med. Sci. 2019, 18, 222–227. [Google Scholar] [CrossRef]
- Liu, D.T.; Kantarjian, H.; Thomas, D.A.; O’Brien, S.; Ravandi, F. Philadelphia-positive acute lymphoblastic leukemia: Current treatment options. Curr. Oncol. Rep. 2012, 14, 387–394. [Google Scholar] [CrossRef] [PubMed]
- Machado, V.R.; Jacques, A.V.; Marceli, N.S.; Biavatti, M.W.; Santos, M.C. Anti-leukemic activity of semisynthetic derivatives of lupeol. Nat. Prod. Res. 2021, 35, 4494–4501. [Google Scholar] [CrossRef] [PubMed]
- Moreno, L.D.; Avilés, V.S.; Sandoval, M.A.; Alvarado, M.A.; Ortiz, N.V.; Torres, M.H.; Ayala, S.M.; Mayani, H.; Chavez, G.A. CDKIs p18INK4c and p57Kip2 are involved in quiescence of CML leukemic stem cells after treatment with TKI. Cell Cycle 2016, 15, 1276–1287. [Google Scholar] [CrossRef] [PubMed]
- O’Reilly, E.; Zeinabad, H.A.; Szegezdi, E. Hematopoietic versus leukemic stem cell quiescence: Challenges and therapeutic opportunities. Blood Rev. 2021, 50, 100850. [Google Scholar] [CrossRef] [PubMed]
- Newman, D.J.; Cragg, G.M. Natural products as sources of new drugs over the nearly four decades from 01/1981 to 09/2019. J. Nat. Prod. 2020, 83, 770–803. [Google Scholar] [CrossRef]
- Barreto, D.R.; Gotardi, J.; Gnoatto, S.C.; Pilger, D.A. Natural and semisynthetic pentacyclic triterpenes for chronic myeloid leukemia therapy: Reality, challenges and perspectives. ChemMedChem 2021, 16, 1835–1860. [Google Scholar] [CrossRef]
- Alfaro, J.A.; Mejía, L.A.; González, J. State of the art and opportunities for bioactive pentacyclic triterpenes from native Mexican plants. Plants 2022, 11, 2184. [Google Scholar] [CrossRef] [PubMed]
- Nistor, M.; Rugina, D.; Diaconeasa, Z.; Socaciu, C.; Socaciu, M.A. Pentacyclic triterpenoid phytochemicals with anticancer activity: Updated studies on mechanisms and targeted delivery. Int. J. Mol. Sci. 2023, 24, 12923. [Google Scholar] [CrossRef] [PubMed]
- Madej, M.; Gola, J.; Chrobak, E. Synthesis, pharmacological properties, and potential molecular mechanisms of antitumor activity of betulin and its derivatives in gastrointestinal cancers. Pharmaceutics 2023, 15, 2768. [Google Scholar] [CrossRef] [PubMed]
- Bębenek, E.; Chrobak, E.; Marciniec, K.; Kadela, T.M.; Trynda, J.; Wietrzyk, J.; Boryczka, S. Biological activity and in silico study of 3-modified derivatives of betulin and betulinic aldehyde. Int. J. Mol. Sci. 2019, 20, 1372. [Google Scholar] [CrossRef]
- Chodurek, E.; Orchel, A.; Gwiazdoń, P.; Kaps, A.; Paduszyński, P.; Jaworska, K.M.; Chrobak, E.; Bębenek, E.; Boryczka, S.; Kasperczyk, J. Antiproliferative and cytotoxic properties of propynoyl betulin derivatives against human ovarian cancer cells: In vitro studies. Int. J. Mol. Sci. 2023, 24, 16487. [Google Scholar] [CrossRef]
- Chrobak, E.; Kadela, T.M.; Bębenek, E.; Marciniec, K.; Wietrzyk, J.; Trynda, J.; Pawełczak, B.; Kusz, J.; Kasperczyk, J.; Chodurek, E.; et al. New phosphate derivatives of betulin as anticancer agents: Synthesis, crystal structure, and molecular docking study. Bioorg. Chem. 2019, 87, 613–628. [Google Scholar] [CrossRef]
- Nistor, G.; Trandafirescu, C.; Prodea, A.; Milan, A.; Cristea, A.; Ghiulai, R.; Racoviceanu, R.; Mioc, A.; Mioc, M.; Ivan, V.; et al. Semisynthetic derivatives of pentacyclic triterpenes bearing heterocyclic moieties with therapeutic potential. Molecules 2022, 27, 6552. [Google Scholar] [CrossRef]
- Dubinin, M.V.; Semenova, A.A.; Nedopekina, D.A.; Davletshin, E.V.; Spivak, A.Y.; Belosludtsev, K.N. Effect of f16-betulin conjugate on mitochondrial membranes and its role in cell death initiation. Membranes 2021, 11, 352. [Google Scholar] [CrossRef]
- Furtado, N.A.; Pirson, L.; Edelberg, H.; Miranda, L.M.; Loira-Pastoriza, C.; Preat, V.; Larondelle, Y.; André, C.M. Pentacyclic triterpene bioavailability: An overview of in vitro and in vivo studies. Molecules 2017, 22, 400. [Google Scholar] [CrossRef]
- Santos, R.C.; Salvador, J.A.; Marín, S.; Cascante, M.; Moreira, J.N.; Dinis, T.C. Synthesis and structure–activity relationship study of novel cytotoxic carbamate and N-acylheterocyclic bearing derivatives of betulin and betulinic acid. Bioorg. Med. Chem. 2010, 18, 4385–4396. [Google Scholar] [CrossRef] [PubMed]
- Bębenek, E.; Kadela, T.M.; Chrobak, E.; Wietrzyk, J.; Sadowska, J.; Boryczka, S. New acetylenic derivatives of betulin and betulone, synthesis and cytotoxic activity. Med. Chem. Res. 2017, 26, 1–8. [Google Scholar] [CrossRef] [PubMed]
- Rajendran, P.; Jaggi, M.; Singh, M.K.; Mukherjee, R.; Burman, A.C. Pharmacological evaluation of C-3 modified betulinic acid derivatives with potent anticancer activity. Investig. New Drugs 2008, 26, 25–34. [Google Scholar] [CrossRef]
- Pokorny, J.; Krajcovicova, S.; Hajduch, M.; Holoubek, M.; Gurska, S.; Dzubak, P.; Volna, T.; Popa, I.; Urban, M. Triterpenic azines, a new class of compounds with selective cytotoxicity to leukemia cells CCRF-CEM. Future Med. Chem. 2018, 10, 483–491. [Google Scholar] [CrossRef] [PubMed]
- Hata, K.; Ogawa, S.; Makino, M.; Mukaiyama, T.; Hori, K.; Iida, T.; Fujimoto, Y. Lupane triterpenes with a carbonyl group at C-20 induce cancer cell apoptosis. J. Nat. Med. 2008, 62, 332–335. [Google Scholar] [CrossRef]
- Ghosh, S.K.; Dhungana, K.; Headley, A.D.; Ni, B. Highly enantioselective and recyclable organocatalytic Michael addition of malonates to α,β-unsaturated aldehydes in aqueous media. Org. Biomol. Chem. 2012, 10, 8322–8325. [Google Scholar] [CrossRef]
- Mutai, C.; Abatis, D.; Vagias, C.; Moreau, D.; Roussakis, C.; Roussis, V. Lupane triterpenoids from Acacia mellifera with cytotoxic activity. Molecules 2007, 12, 1035–1044. [Google Scholar] [CrossRef]
- Valencia, C.L.; García, C.I.; Torres, L.W.; Moo, P.R.; Peraza, S.S. Lupane-type triterpenes of Phoradendron vernicosum. J. Nat. Prod. 2017, 80, 3038–3042. [Google Scholar] [CrossRef]
- Valencia, C.L.; Moreno, L.D.; Ceballos, C.J.; Peraza, S.S.; Chávez, G.A.; Moo, P.R. Apoptotic and cell cycle effects of triterpenes isolated from Phoradendron wattii on leukemia cell lines. Molecules 2022, 27, 5616. [Google Scholar] [CrossRef]
- Valencia, C.L.; Estrada, A.N.; Ceballos, C.J.; Torres, T.L.; Peraza, S.S.; Moo, P.R. Lupane triterpene derivatives improve antiproliferative effect on leukemia cells through apoptosis induction. Molecules 2022, 27, 8263. [Google Scholar] [CrossRef]
- Młochowski, J.; Wójtowicz, M.H. Developments in synthetic application of selenium (IV) oxide and organoselenium compounds as oxygen donors and oxygen transfer agents. Molecules 2015, 20, 10205–10243. [Google Scholar] [CrossRef]
- Hossain, M.; Das, U.; Dimmock, J.R. Recent advances in α,β-unsaturated carbonyl compounds as mitochondrial toxins. Eur. J. Med. Chem. 2019, 183, 111687. [Google Scholar] [CrossRef]
- Salvador, J.A.; Leal, A.S.; Valdeira, A.S.; Gonçalves, B.M.; Alho, D.P.; Figueiredo, S.A.; Silvestre, S.M.; Mendes, V.I. Oleanane, ursane, and quinone methide friedelane-type triterpenoid derivatives: Recent advances in cancer treatment. Eur. J. Med. Chem. 2017, 142, 95–130. [Google Scholar] [CrossRef]
- Lee, S.H.; Meng, X.W.; Flatten, K.S.; Loegering, D.A.; Kaufmann, S.H. Phosphatidylserine exposure during apoptosis reflects bidirectional trafficking between plasma membrane and cytoplasm. Cell Death Differ. 2013, 20, 64–76. [Google Scholar] [CrossRef]
- Mariño, G.; Kroemer, G. Mechanisms of apoptotic phosphatidylserine exposure. Cell Res. 2013, 23, 1247–1248. [Google Scholar] [CrossRef]
- Mustafa, M.; Ahmad, R.; Tantry, I.Q.; Ahmad, W.; Siddiqui, S.; Alam, M.; Abbas, K.; Moinuddin; Hassan, M.I.; Habib, S.; et al. Apoptosis: A comprehensive overview of signaling pathways, morphological changes, and physiological significance and therapeutic implications. Cells 2024, 13, 1838. [Google Scholar] [CrossRef] [PubMed]
- Wlodkowic, D.; Telford, W.; Skommer, J.; Darzynkiewicz, Z. Apoptosis and beyond: Cytometry in studies of programmed cell death. Methods Cell Biol. 2011, 103, 55–98. [Google Scholar] [PubMed]
- Qian, S.; Wei, Z.; Yang, W.; Huang, J.; Yang, Y.; Wang, J. The role of BCL-2 family proteins in regulating apoptosis and cancer therapy. Front. Oncol. 2022, 12, 985363. [Google Scholar] [CrossRef] [PubMed]
- Wei, Y.; Cao, Y.; Sun, R.; Cheng, L.; Xiong, X.; Jin, X.; He, X.; Lu, W.; Zhao, M. Targeting Bcl-2 proteins in acute myeloid leukemia. Front. Oncol. 2020, 10, 584974. [Google Scholar] [CrossRef]
- Chemical Computing Group (CCG) Research. Available online: https://www.chemcomp.com/en/Research-Citing_MOE.htm (accessed on 9 February 2025).
- Roberts, A.W. Therapeutic development and current uses of BCL-2 inhibition. Hematology 2020, 2020, 1–9. [Google Scholar] [CrossRef]
- Seshacharyulu, P.; Ponnusamy, M.P.; Haridas, D.; Jain, M.; Ganti, A.K.; Batra, S.K. Targeting the EGFR signaling pathway in cancer therapy. Expert Opin. Ther. Targets 2012, 16, 15–31. [Google Scholar] [CrossRef]
- Uribe, M.L.; Marrocco, I.; Yarden, Y. EGFR in cancer: Signaling mechanisms, drugs, and acquired resistance. Cancers 2021, 13, 2748. [Google Scholar] [CrossRef] [PubMed]
- Mahmud, H.; Kornblau, S.M.; ter Elst, A.; Scherpen, F.J.; Qiu, Y.H.; Coombes, K.R.; de Bont, E.S. Epidermal growth factor receptor is expressed and active in a subset of acute myeloid leukemia. J. Hematol. Oncol. 2016, 9, 64. [Google Scholar] [CrossRef] [PubMed]
- Tecik, M.; Adan, A. Therapeutic targeting of FLT3 in acute myeloid leukemia: Current status and novel approaches. OncoTargets Ther. 2022, 15, 1449–1478. [Google Scholar] [CrossRef] [PubMed]
- Zhao, L.; Chen, H.; Lan, F.; Hao, J.; Zhang, W.; Li, Y.; Yin, Y.; Huang, M.; Wu, X. Distinct FLT3 pathways gene expression profiles in pediatric de novo acute lymphoblastic and myeloid leukemia with FLT3 mutations: Implications for targeted therapy. Int. J. Mol. Sci. 2024, 25, 9581. [Google Scholar] [CrossRef]
- Antar, A.I.; Otrock, Z.K.; Jabbour, E.; Mohty, M.; Bazarbachi, A. FLT3 inhibitors in acute myeloid leukemia: Ten frequently asked questions. Leukemia 2020, 34, 682–696. [Google Scholar] [CrossRef]
- Daina, A.; Michielin, O.; Zoete, V. SwissADME: A free web tool to evaluate pharmacokinetics, drug-likeness and medicinal chemistry friendliness of small molecules. Sci. Rep. 2017, 7, 42717. [Google Scholar] [CrossRef]
- Lipinski, C.A.; Lombardo, F.; Dominy, B.W.; Feeney, P.J. Experimental and computational approaches to estimate solubility and permeability in drug discovery and development settings. Adv. Drug Deliv. Rev. 1997, 23, 3–25. [Google Scholar] [CrossRef]
- Castro, M.J.; Careaga, V.P.; Sacca, P.A.; Faraoni, M.B.; Murray, A.P.; Calvo, J.C. Lupane triterpenoids and new derivatives as antiproliferative agents against prostate cancer cells. Anticancer Res. 2019, 39, 3835–3845. [Google Scholar] [CrossRef]
- Castro, M.J.; Richmond, V.; Faraoni, M.B.; Murray, A.P. Oxidation at C-16 enhances butyrylcholinesterase inhibition in lupane triterpenoids. Bioorg. Chem. 2018, 79, 301–309. [Google Scholar] [CrossRef]
- Callies, O.; Bedoya, L.M.; Beltrán, M.; Muñoz, A.; Calderón, P.O.; Osorio, A.A.; Jiménez, I.A.; Alcamí, J.; Bazzocchi, I.L. Isolation, structural modification, and HIV inhibition of pentacyclic lupane-type triterpenoids from Cassine xylocarpa and Maytenus cuzcoina. J. Nat. Prod. 2015, 78, 1045–1055. [Google Scholar] [CrossRef] [PubMed]
- Urban, M.; Sarek, J.; Klinot, J.; Korinkova, G.; Hajduch, M. Synthesis of A-seco derivatives of betulinic acid with cytotoxic activity. J. Nat. Prod. 2004, 67, 1100–1105. [Google Scholar] [CrossRef]
- Miltenyi, B. Isolation of Mononuclear Cells from Human Peripheral Blood by Density Gradient Centrifugation. Available online: https://static.miltenyibiotec.com/asset/150655405641/document_octemlbj1d3b395nto9qdj5b48?content-disposition=inline (accessed on 10 October 2023).
- Healthcare, G. Isolation of Mononuclear Cells Methodology and Applications. Available online: https://kersnikova.org/wp-content/uploads/2022/03/1.-Isolation-of-mononuclear-cells-_-basic-protocol_-GE-Healthcare.pdf (accessed on 10 October 2023).
- Soumya, T.; Lakshmipriya, T.; Klika, K.D.; Jayasree, P.R.; Manish Kumar, P.R. Anticancer potential of rhizome extract and a labdane diterpenoid from Curcuma mutabilis plant endemic to Western Ghats of India. Sci. Rep. 2021, 11, 552. [Google Scholar] [CrossRef]
- BD Pharmingen. Bioimaging Certified Reagent DAPI Solution. Available online: https://www.bdbiosciences.com/content/dam/bdb/product_assets/product_pdf/singcolorpureantibody/pdf_0/564907.pdf (accessed on 13 October 2023).
- BD Pharmingen. FITC Annexin V Apoptosis Detection Kit I. Available online: https://www.bdbiosciences.com/content/dam/bdb/product_assets/product_pdf/kitproduct/pdf_0/556547.pdf (accessed on 13 October 2023).
- Berman, H.M. The protein data bank. Nucleic Acids Res. 2000, 28, 235–242. [Google Scholar] [CrossRef]









| Compound | IC50 µM (SI) | ||||
|---|---|---|---|---|---|
| CCRF-CEM | REH | JURKAT | MOLT-4 | THP-1 | |
| T1 | N/A | N/A | N/A | N/A | N/A |
| T1a | N/A | 64.22 ± 4.7 | N/A | N/A | N/A |
| T1b | 6.87 ± 0.6 (1.59) | 9.46 ± 3.2 (1.13) | 14.97 ± 1.6 (0.72) | 4.05 ± 0.1 (2.66) | 11.04 ± 0.1 (0.97) |
| T1c | 17.79 ± 1.0 (75.02) | 24.92 ± 0.4 (53.55) | 18.67 ± 1.4 (71.46) | 13.86 ± 0.7 (96.30) | 12.90 ± 0.1 (103.46) |
| T1d | N/A | N/A | N/A | N/A | N/A |
| T1e | N/A | N/A | N/A | N/A | N/A |
| T2 | 27.36 ± 0.9 (19.48) | 46.74 ± 1.6 (11.40) | 62.27 ± 2.3 (8.56) | N/A | N/A |
| Dasatinib | 10.76 ± 1.2 | 5.43 ± 0.3 | 5.26 ± 0.5 | 2.63 ± 0.1 | 4.66 ± 0.3 |
| IC50 µM | |||
|---|---|---|---|
| Compound | MNCs | Compound | MNCs |
| T1 | 275.01 ± 3.1 | T1d | N/A |
| T1a | N/A | T1e | N/A |
| T1b | 10.78 ± 1.3 | T2 | 532.98 ± 6.1 |
| T1c | 1334.73 ± 4.3 | Dasatinib | N/A |
| Compound | Score (kcal/mol) | ||
|---|---|---|---|
| BCL-2 | EGFR (TK Domain) | FLT3 | |
| T1 | −10.12 | −12.75 | −14.05 |
| T1c | −10.23 | −14.50 | −14.07 |
| T2 | −11.59 | −15.00 | −14.03 |
| Betulinic acid | −9.74 | −12.73 | −13.64 |
| Co-crystalized inhibitor | −17.72 | −13.97 | −18.17 |
| Compounds | |||||
|---|---|---|---|---|---|
| T1 | T1c | T2 | BA | ||
| Molecular Weight (g/mol) | 472.70 | 486.68 | 486.68 | 456.70 | |
| Physicochemical Parameters | nHBA | 4 | 5 | 5 | 3 |
| nHBD | 3 | 3 | 3 | 2 | |
| cLogP | 5.52 | 4.66 | 4.69 | 6.14 | |
| nROTB | 3 | 4 | 4 | 2 | |
| TPSA (Å2) | 77.76 | 94.83 | 94.83 | 57.53 | |
| Pharmacokinetic Parameters | GI absorption | High | High | High | Low |
| CYP1A2 inhibitor | No | No | No | No | |
| CYP2C19 inhibitor | No | No | No | No | |
| CYP2C9 inhibitor | Yes | No | No | Yes | |
| CYP2D6 inhibitor | No | No | No | No | |
| CYP3A4 inhibitor | No | No | No | No | |
Disclaimer/Publisher’s Note: The statements, opinions and data contained in all publications are solely those of the individual author(s) and contributor(s) and not of MDPI and/or the editor(s). MDPI and/or the editor(s) disclaim responsibility for any injury to people or property resulting from any ideas, methods, instructions or products referred to in the content. |
© 2025 by the authors. Licensee MDPI, Basel, Switzerland. This article is an open access article distributed under the terms and conditions of the Creative Commons Attribution (CC BY) license (https://creativecommons.org/licenses/by/4.0/).
Share and Cite
Noh-Burgos, M.J.; García-Sánchez, S.; Tun-Rosado, F.J.; Chávez-González, A.; Peraza-Sánchez, S.R.; Moo-Puc, R.E. Semi-Synthesis, Anti-Leukemia Activity, and Docking Study of Derivatives from 3α,24-Dihydroxylup-20(29)-en-28-Oic Acid. Molecules 2025, 30, 3193. https://doi.org/10.3390/molecules30153193
Noh-Burgos MJ, García-Sánchez S, Tun-Rosado FJ, Chávez-González A, Peraza-Sánchez SR, Moo-Puc RE. Semi-Synthesis, Anti-Leukemia Activity, and Docking Study of Derivatives from 3α,24-Dihydroxylup-20(29)-en-28-Oic Acid. Molecules. 2025; 30(15):3193. https://doi.org/10.3390/molecules30153193
Chicago/Turabian StyleNoh-Burgos, Mario J., Sergio García-Sánchez, Fernando J. Tun-Rosado, Antonieta Chávez-González, Sergio R. Peraza-Sánchez, and Rosa E. Moo-Puc. 2025. "Semi-Synthesis, Anti-Leukemia Activity, and Docking Study of Derivatives from 3α,24-Dihydroxylup-20(29)-en-28-Oic Acid" Molecules 30, no. 15: 3193. https://doi.org/10.3390/molecules30153193
APA StyleNoh-Burgos, M. J., García-Sánchez, S., Tun-Rosado, F. J., Chávez-González, A., Peraza-Sánchez, S. R., & Moo-Puc, R. E. (2025). Semi-Synthesis, Anti-Leukemia Activity, and Docking Study of Derivatives from 3α,24-Dihydroxylup-20(29)-en-28-Oic Acid. Molecules, 30(15), 3193. https://doi.org/10.3390/molecules30153193

