Abstract
Cancer remains one of the leading causes of morbidity and mortality worldwide, driving the search for innovative and selective therapeutic agents. Topoisomerases I and II are essential enzymes involved in key cellular processes such as DNA replication and transcription. They have emerged as valuable anticancer targets; thus, many inhibitors of topoisomerases have been designed and some of them are considered to be major anticancer agents such as anthracyclines, etoposide or irinotecan. A great deal of attention is currently being paid to chalcones, a class of naturally occurring compounds, since they exhibit a wide range of biological activities, including anticancer properties. These compounds are characterized by an open-chain structure and an α,β-unsaturated carbonyl moiety that enables interaction with cellular targets. Recent studies aiming to design anti-topoisomerase agents have identified both natural and synthetic chalcones, including chalcone-based hybrids. This review highlights the structural diversity of chalcones as topoisomerase inhibitors and particular attention is given to structure–activity relationship studies and molecular hybridization strategies aimed at optimizing the pharmacological profile of chalcones. These findings underline the potential of chalcones as promising scaffolds in the design of next-generation anticancer agents.
1. Introduction
The latest GLOBOCAN estimates, produced by the International Agency for Research on Cancer (IARC) in 2022, announced 20 million new cancer cases and 9.7 million cancer deaths worldwide [1]. Considering these statistics, cancer is expected to be the leading cause of death in the 21st century. Consequently, major goals of current research are the development of more efficient and specific chemotherapeutics as well as advances in targeted therapies with regard to novel biological targets. Among the latter, DNA topoisomerases are of considerable interest since they are involved in the regulation of the three-dimensional structure of DNA, which is important for the handling of DNA during vital cellular processes such as replication, transcription, chromosome segregation and recombination [2,3].
Control of the DNA topological state by topoisomerases is performed through transient DNA cuts using a transesterification reaction, which is highly reversible. These enzymes can be classified into two main types according to their mechanism of action [2].
Type I topoisomerases cleave single DNA strand whereas type II enzymes break both strands. Topoisomerases I can be divided into three subfamilies: topoisomerases IA, IB and IC [2]. For all these subtypes, controlling the DNA topology by the phosphodiester bond breakage between DNA strands is based on the following mechanism: the phosphoryl group of DNA is attacked by the tyrosyl group of topoisomerase I (topo I), creating a covalent bond between this tyrosyl group and one side of the broken DNA. This allows the free hydroxylated strand to rotate. Then, the hydroxyl termination of the free strand of DNA attacks the phosphotyrosine bond and remakes the phosphodiester bond between the two strands, releasing the topoisomerase to start the next catalytic cycle. Topo I inhibitors mechanism of action implies the entrapment of a newly created topo I–DNA covalent complex and prevents its rupture. This leads to the permanent disruption of the DNA strands and therefore, to cell cycle arrest and apoptosis induction. Camptothecin (CPT, 1, Table 1) is the first identified example of a topo I inhibitor (IC50 = 5.7 µM) [4,5]; it is a natural compound with a pentacyclic structure isolated from the bark of the Camptotheca acuminata tree. Two semi-synthetic derivatives have been developed and serve as anticancer drugs in chemotherapy protocols: these are topotecan (2, IC50 = 3.2 µM) and irinotecan [4,6].
Type II topoisomerases, meanwhile, are divided into two subfamilies: topoisomerases IIA and IIB [2]. The general mechanism of DNA topology control by type II topoisomerases is based on cleaving both strands of the DNA duplex. Topo II covalently binds tyrosine to the 5′ end of broken DNA, releases a free 3′ end and allows it to pass a second DNA duplex through the gap. Currently, two types of topo II inhibitors have been described: topoisomerase poisons and catalytic inhibitors. Topo II poisons act through inhibition of topo II’s ability to religate the cleaved DNA strands. This mechanism of action is based on blocking the rejoining of the broken DNA ends as a result of slipping the topo II poison agents between the separated nitrogenous bases. Well-known examples of topo II poisons are the anthracyclines, including doxorubicin (DOX, 3, IC50 = 0.9 µM) and epirubicin [4,7]. Despite their great anticancer properties, anthracyclines are responsible for a serious side effect, dose-dependent cardiotoxicity. Another important topo II poison is etoposide (4), which is a glycosidic podophyllotoxin derivative (IC50 = 34.5 µM) [4,5]. Catalytic inhibitors are the second type of topo II inhibitors but there are few examples of these inhibitors in the literature. Dexrazoxane and merbarone may be cited [2]. These agents are a heterogeneous group of compounds that might interfere with the binding between DNA and topo II, stabilize noncovalent DNA–topo II complexes, or inhibit ATP binding.
Chalcones, of the family of flavonoids, constitute a major group of natural compounds that display a wide range of biological activities, including anti-inflammatory [8], antimicrobial [9,10], antioxidant [11] and anticancer properties [12]. Moreover, chalcones are the immediate precursors in the biosynthesis and synthetic preparation of other classes of flavonoids, which are also known for their numerous beneficial effects [13].
Unlike flavonoids, chalcones are open-chain molecules with a structure based on a 1,3-diarylprop-2-en-1-one skeleton (Figure 1). The three-carbon enone fragment, which joins the two aromatic rings, can be considered as a Michael acceptor [14]. This explains the ability of chalcones to interact with many biological targets. Indeed, the α,β-unsaturated carbonyl functional moiety participates in covalent bond formation with thiols through Michael addition, especially with cysteine units present in certain proteins or enzymes. Besides, it is also worth considering the substituents of aromatic rings, which may have a double influence:
Figure 1.
General structures of flavonoids and chalcones.
- toward the electron density on the ring and consequently the electrophilicity of the α,β-unsaturated ketone system, affecting the binding ability and the biological activity of chalcones;
- on the capacity of chalcones to establish hydrogen bonds with pertinent residues (amino acids) of proteins or active sites of enzymes.
Thus, for many years, chalcones have been demonstrated to be efficient topoisomerases inhibitors even if there is still no clinically available antitumor drug with a chalcone structure. In this review, we focused on the biological effects of chalcone derivatives as topoisomerase inhibitors reported in recent years and we have classified them according to two families: natural chalcones and synthetic chalcones, including chalcone-based hybrids.
Table 1.
Known natural topoisomerase inhibitors.
Table 1.
Known natural topoisomerase inhibitors.
| C. No (Name) | Structure | Activity on Topo: IC50 (µM) or % Inhibition | Activity on Cancer Cells IC50 (µM) | Ref. |
|---|---|---|---|---|
| 1 (camptothecin) | ![]() | Topo I: 5.7 µM 72% at 100 µM 31% at 20 µM | HCT15: 7.1 BT474: 7.0 T47D: 4.1 | [5,15] |
| 2 (topotecan) | ![]() | Topo I: 3.2 µM Topo IIB: 99.1 µM | HCT116: 12.2 SR: 13.4 | [6,16] |
| 3 (doxorubicin) | ![]() | Topo II: 0.9 µM | Caco-2: 0.7 Hep-2: 0.5 HepG2: 0.6 | [7] |
| 4 (etoposide) | ![]() | Topo II: 34.5 µM 78% at 100 µM 39% at 20 µM | HCT15: 6.9 BT474: 6.6 T47D: 6.4 | [5,15] |
2. Natural Chalcones as Topoisomerase Inhibitors
Chalcones are widely distributed in the plant kingdom and generally have hydroxyl or methoxy substituents on their aromatic rings. However, other types of substitution are also commonly observed, such as prenyl and geranyl moieties. Here, we report natural chalcones as topoisomerases inhibitors considering two classes, monomeric chalcones and oligomeric ones (Table 2).
2.1. Natural Monomeric Chalcones
Yoon et al. revealed an inhibitory effect of licochalcones A and E (5 and 6) toward topo I (dose-dependent inhibition in the range of 18.5 to 295.5 µM), in addition to an antiproliferative activity against human cancer cell lines (A549: lung, SK-OV-3: ovary, SK-MEL-2: melanoma and HCT-15: colon) [17]; however, the exact cytotoxic and anti-topo mechanisms remain to be investigated. Licochalcones A and E correspond to retrochalcones, i.e., chalcones lacking hydroxy groups at the 2′ and 6′ positions. These compounds are present in the Glycyrrhiza genus, for example in Glycyrrhiza inflata.
The Glycyrrhiza genus includes also Glycyrrhiza glabra (named licorice) and Glycyrrhiza uralensis, which are found in common foods and Chinese herbal medicines. Isoliquiritigenin (2′,4,4′-trihydroxychalcone, ISL, 7), which is isolated from licorice root, seems to be one of the most interesting bioactive compounds with a chalcone structure. ISL has been shown to significantly inhibit the viability of numerous cancer cells, with little toxicity on normal cells [18]. Many studies have focused on the targeted pathways and molecular mechanisms of ISL against tumors. Thus, Zhao et al. demonstrated that in glioma U87 cells, ISL was able to induce cell apoptosis, especially through the inhibition of topo I; the inhibitory effect became obvious in the DNA electrophoretogram when the concentration reached up to 2.5 µM [19]. Besides, it was found that ISL also blocks DNA cleavage reactions by inhibiting topo I activity (IC50 = 178 µM, measured by an in vitro enzymatic assay) as well as the growth of SNU475 cells, which are from hepatocellular carcinoma [20]. These two studies mentioned performing molecular docking work; for both studies, it appeared that binding of ISL to topo I was based mainly on hydrophobic interactions. It was shown that ISL bound to the active central pocket of topo I, close to the amino acid residues (Arg364, Asn352, Tyr723 and Thr718) of the catalytic center. Moreover, one hydroxyl group on the A ring formed a hydrogen bond with residue Tyr723. This inhibitory effect of ISL was confirmed by the study of Zhang et al., which concerned secondary metabolites from Isodon ternifolius and their anticancer activities [21]. ISL displayed a moderate anti-topo I activity as did a retrochalcone named echinatin (8, IC50 = 45 µM); moreover, these two chalcones showed a synergistic effect with topotecan against the proliferation of breast cancer MCF-7 cells.
Another important natural chalcone is millepachine (9), which was initially extracted from the seeds of Millettia pachycarpa Benth.; the presence of a 2,2-dimethylbenzopyran pattern gives it structural originality and increased lipophilicity for efficient membrane penetration [22]. This natural compound was found to exert a wide range of anticancer activities [23]. Among the latter, topo II appeared as a biological target of millepachine. In 2016, Wu et al. first demonstrated that this chalcone was able to induce apoptosis in two ovarian cancer cell lines (SK-OV-3 and A2780S cells). Furthermore, they proved, through the use of a topo II drug screening kit, its inhibitory effect against topo II (IC50 < 100 µM). A computer modeling study allowed them to investigate how millepachine interfered with topo II; in fact, this chalcone acted by binding to the topo II-cleaved DNA complex to stabilize it; so, millepachine could be considered as a topo II poison [24]. It was found that there were some π–π interactions between aromatic rings of millepachine and DG-12/DG-13 nucleotides (DG: deoxyguanosine); moreover, the oxygen atom of 2H-benzopyran formed a hydrogen bond with the amine of DC-8 nucleotide (DC: deoxycytosine). The same authors continued their investigation, showing that millepachine significantly inhibits the proliferation of cisplatin-resistant A2780CP cells (human ovarian cancer), still via inducing apoptosis and down-regulating the activity of topo II (dose-dependent inhibition in the range 2 to 8 µM) [25].
Xanthohumol (10) is a prenylated chalcone isolated from hops that demonstrated a wide range of biological activities [26]. Among them, the anticancer effect of xanthohumol was reviewed in 2021 by Harish et al., and this chalcone showed promising bioactivities on different cancers [27]. Moreover, several signaling pathways were found to be affected; thus, Lee et al. revealed a clear inhibition of topo I activity with a concentration of 140 µM, campthotecin being the positive control [28]. Besides, xanthohumol was shown to exert a strong cytotoxic effect against A549, HCT-15, SK-OV-3 and SK-MEL-2.
Another prenylated chalcone, named 4-hydroxyderricin (11), was found to inhibit topo II (IC50 = 21.9 µM) but not topo I activity [5]. This compound was isolated from Angelica keiskei roots, with eight other chalcones (Figure 2). 4-Hydroxyderricin was the only one to exert an anti-topo effect and was the most potent cytotoxic agent against four human cancer cell lines (HL-60, CRL1579 melanoma, A549 and AZ521 stomach). This chalcone was found to induce apoptotic cell death in HL60 cells via both the death receptor-mediated pathway and the mitochondrial one. In comparison to this compound, isobavachalcone with a 4′-hydroxy instead of a 4′-methoxy, was totally inactive against topoisomerases as were the other chalcones. The latter were characterized by a geranyl moiety (xanthoangelol and xanthoangelol F) or by a 3,4-dihydrobenzopyran pattern (derivatives of xanthoangelol H and I, and lespeol). This heterocycle came from the cyclisation of the prenyl or geranyl moiety, as found in the millepachine structure. It is worth noticing some structural differences, which seem to influence the activity against topoisomerases:
Figure 2.
Structures of chalcones isolated from Angelica keiskei root extract. Adapted from Ref. [5].
- xanthoangelol F bearing a geranyl moiety was inactive while 4-hydroxyderricine, with a prenyl substituent, was able to significantly inhibit topo II;
- derivatives of xanthoangelol H, which were inactive against topoisomerases, are characterized by a 3,4-dihydrobenzopyran ring and a 4-hydroxy group, compared to millepachine, a topo II inhibitor, which presents a benzopyran and a 4-methoxy substituent.
In 2023, Savaspun et al. isolated flavokawain B (12) from Kaempferia elegans rhizomes [29]. This chalcone was found to have cytotoxic activity against hepatocellular carcinoma (HepG2), acute lymphoblastic leukemia (MOLT-3), cholangiocarcinoma (HuCCA-1), and lung carcinoma (A549) cancer cells (IC50 between 10.0 and 21.7 µM). Molecular modeling tests demonstrated that flavokawain B was able to present interactions with topo IIA, similar to those of etoposide. More precisely, the docking experiment exhibited π–π interactions with DNA residues, DG-13 and DC-8, as etoposide does and as previously described for millepachine. The strong π–π interactions could be owing to the electron-donating groups, i.e., methoxy groups that increase the electron density of the aromatic ring. Further biological tests are required to validate these data.
Most natural chalcones seem to present a moderate inhibitory effect against topoisomerases while their cytotoxic activity is often significant toward many cancer cell lines. Therefore, different mechanisms of action may be involved in addition to the anti-topo effect to explain these outcomes. 4-hydroxyderricin appeared to be one of the most potent natural chalcones, with strong activity against topo II. Its structure is characterized by hydroxy and methoxy groups as well as a prenyl substituent. These data suggest that lipophilicity is critical for efficient membrane penetration in order to have an anti-topo effect. Besides, oxygenated groups appear essential, particularly for establishing hydrogen bonds with amino acid residues of the topo active site or π–π interactions with DNA residues. The comparison between 4-hydroxyderricin and isobavachalcone demonstrates that simply replacing a methoxy with a hydroxy can reverse the inhibitory effect against topoisomerases. This is also the case for replacement of the prenyl substituent by a geranyl one. So, we may suggest that too much lipophilicity is unfavorable for the activity. This study also revealed the potency of millepachine, another methoxylated chalcone bearing a 2,2-dimethylbenzopyran pattern involved in lipophilicity as well as hydrogen bond formation through the oxygen atom with DNA nucleotides. Results of computer modeling demonstrate that this chalcone could bind to the topo II-cleaved DNA complex to stabilize it, indicating a topo II poison effect.
2.2. Natural Oligomeric Chalcones
Some original chalcones, having oligomeric forms, were found to act as topoisomerase inhibitors. Pauferrol A (13) is an example of a chalcone trimer fused by a cyclobutane ring and was isolated from Caesalpinia ferrea, a leguminous plant in Brazil. This compound has been reported to possess a topo II inhibitory effect (IC50 = 2.1 µM) and apoptosis inducing activity in the human acute myeloid leukemia HL-60 cell line [30]. Later, the same plant revealed the presence of two new chalcone dimers, pauferrol B (14) and pauferrol C (15). They also showed inhibitory potencies against human topo II (IC50 = 15.3 and 14.5 µM) and cell proliferation via the induction of apoptosis in HL-60 cells but they were significantly less active than pauferrol A [31]. Then, Aljancic et al. isolated a chalcone dimer, fused by a cyclobutane ring, from Helichrysum zivojinii [32]. This compound, named tomoroside A (16), was studied considering its effect on the level of topo IIA mRNA expression in NCI-H460 and NCI-H460/R (resistant to paclitaxel and DOX drugs) lung cancer cells. This expression was really decreased after treatment with tomoroside A; moreover, the chalcone dimer enhanced the DOX anticancer effect.
Finally, Yue et al. investigated the biological properties of quinochalcones isolated from Carthamus tinctorius L. by Kazuma et al. [33,34,35]. These compounds include anhydrosafflor yellow B (also known as carthorquinoside B, 17), which consists of two C-glucosylquinochalcone moieties with an additional sugar part. It showed a moderate inhibitory effect on topo I (inhibition at 100 µM, no lower dose tests). Furthermore, it revealed an antiproliferative effect on many cancer cell lines with an inhibition rate of over 50% at 9.6 μM. Therefore, this highly original molecule was patented by the Nanjing University of Chinese Medicine [36].
As a partial conclusion, some oligomeric chalcones, particularly pauferrols that are polyhydroxylated compounds, seem to be interesting as topoisomerase inhibitors since they reveal IC50 values lower than that of monomeric chalcones like ISL (2′,4,4′-trihydroxychalcone).
Table 2.
Natural chalcones as topoisomerases inhibitors.
Table 2.
Natural chalcones as topoisomerases inhibitors.
| C. No (Name) | Structure | Activity on Topo: IC50 (µM) or % Inhibition | Activity on Cancer Cells IC50 (µM) | Ref. |
|---|---|---|---|---|
| 5 (licochalcone A) | ![]() | Topo I: dose-dependent inhibition 18.5 to 295.5 µM | A549: 14.3 HCT-15: 10.1 SK-OV-3: 13.5 SK-MEL-2: 7.9 | [17] |
| 6 (licochalcone E) | ![]() | A549: 17.3 HCT-15: 10.1 SK-OV-3: 15.5 SK-MEL-2: 8.5 | [17] | |
| 7 (isoliquiritigenin) | ![]() | Topo I: 178 µM | SNU475: 243 U87: 6.3 | [19,20] |
| 8 (echinatin) | ![]() | Topo I: 45 µM | A549: 36.0 HCT116: 64.0 MCF-7: 46.0 | [21] |
| 9 (millepachine) | ![]() | Topo II: <100 µM dose-dependent inhibition 2 to 8 µM | A2780CP: 4.0 A2780S: 2.5 SK-OV-3: 4.0 | [24,25] |
| 10 (xanthohumol) | ![]() | Topo I: inhibition of activity with a concentration of 140 µM | A549: 12.1 SK-MEL-2: 14.4 HCT115: 10.2 SK-OV-3: 16.1 | [28] |
| 11 (4-hydroxyderricin) | ![]() | Topo I: No activity Topo II: 21.9 µM | A549: 10.2 AZ521: 4.2 CRL1579: 4.6 HL-60: 5.5 | [5] |
| 12 (flavokawain B) | ![]() | Topo IIA | A549: 21.7 HepG2: 20.7 HuCCA-1: 19.6 MOLT-3: 10.0 | [29] |
| 13 (pauferrol A) | ![]() | Topo IIA: 2.1 µM | HL-60: 5.2 | [30] |
| 14–15 (pauferrol B and C) | ![]() | Topo IIA: 14. 15.3 µM 15. 14.5 µM | HL-60: 14. 11.6 15. 12.1 | [31] |
| 16 (tomoroside A) | ![]() | Topo IIA: decreased mRNA expression in cancer cells | NCI-H460: 44.4 NCI-H460/R: 199 | [32] |
| 17 (carthorquinoside B) | ![]() | Topo I: inhibition at 100 µM (no lower dose tests) | HeLa, HepG-2, A549, K562, and HCT116: between 3.13 and 200 | [34] |
3. Synthetic Chalcones as Topoisomerase Inhibitors
In this section, we will first present the studies concerning synthetic chalcones including variously substituted chalcones, heterocyclic chalcones and chalcone–metal complexes. Then, investigations dealing with chalcone hybrids as topoisomerase inhibitors will be reported.
3.1. Synthetic Chalcones
Natural chalcones often present hydroxyl or methoxy substituents on their aromatic rings; therefore, several works were carried out around the modification of methoxylated or hydroxylated chalcones. Some other studies have focused on the introduction of heterocycles or their complexation with different metals. All of these chalcones were synthesized by Claisen–Schmidt condensation, most often in basic conditions, between appropriate acetophenones and benzaldehydes (Scheme 1). Structures and biological evaluation of these synthetic chalcones are reported in Table 3.
Scheme 1.
Synthesis of chalcones by Claisen–Schmidt condensation.
In 2019, Sangpheak et al. performed docking studies and tested 47 chalcones on the ATP-binding pocket of the hTopo IIA ATPase domain [37]. There are two important patterns for drugs targeting hTopoIIA, namely the ATPase domain and the DNA-binding core. The resulting data highlighted three polymethoxylated chalcones that were synthesized and biologically tested. All these derivatives had a 2-hydroxy-4,6-dimethoxy substitution pattern on A ring while their B ring was trimethoxylated at different positions. First, the cell viabilities of three cancer cell lines: HT-1376 (human bladder carcinoma), HeLa (cervical cancer metastasis) and MCF-7, exposed to the selected chalcones, were determined by an MTT assay; the most cytotoxic was the chalcone bearing a 3,4,5-trimethoxyphenyl as its B ring (18). So, its inhibitory activity was evaluated by measuring the ATPase activity of rhTopo IIA ATPase, with salvicine (19, catalytic inhibitor) as the reference compound [38]. The IC50 value of this chalcone was some 43.5-fold lower than that of salvicine (IC50 = 7.5 and 326.5 nM). Some important residues that contributed to ligand stabilization via van der Waals and H-bond interactions were identified, like K168, which is in common with salvicine, and residues S149 and G164, which form two strong H-bond interactions with the carbonyl and 3-methoxy groups of chalcone 18.
Recently, Chen et al. screened more than three hundred synthetic, semisynthetic or naturally occurring chalcones for inhibition of the TOP2A/Wnt/β-catenin signaling [39]. The Wnt/β-catenin pathway implies a family of proteins that play critical roles in embryonic development and adult tissue homeostasis. Persistent activation of this pathway is common in carcinogenesis, such as colorectal cancer (CRC) and hepatocellular carcinoma. Moreover, it was demonstrated that topo IIA acts as a co-activator of β-catenin, thus increasing the transcription of oncogenes. Among the whole chalcones tested, one derivative (5′-chloro-3,4-ethylenedioxy-2′-methoxychalcone, 20) was selected because it inhibited the in vitro cell growth of well-known CRC cell lines. Further assays highlighted this chalcone to be a novel inhibitor of TOP2A/Wnt/β-catenin signaling (decreased mRNA expression at 5 µM). Therefore, it has been patented by the University of Kentucky Research Foundation, where the researchers came from [40].
Another work has focused on the modification of hydroxylated chalcones, particularly in the 4′-position. In 2009, Gul et al. synthesized a small series of 4′-hydroxychalcone derivatives to study their cytotoxic activity against transformed human T lymphocytes (Jurkat cell line) as well as their effect on mammalian topo I [41]. The B ring of these compounds was para-substituted with a methyl, a methoxy or a chlorine atom. Their activities were compared to those of 4′-hydroxychalcone, the parent chalcone. An additional chlorine atom appeared to be favorable since 4-chloro-4′-hydroxychalcone (21) was the most efficient against both cellular proliferation and topo I activity (76% inhibition at 3.9 mM). Nevertheless, this inhibitory effect could be described as weak compared to that of other compounds.
Kim et al. also investigated the effect of different chalcones, especially 4′-hydroxychalcones, against topoisomerases I and II [42]. A Claisen–Schmidt reaction performed without protection of the 4-hydroxy group on acetophenone and/or benzaldehyde gave unsatisfactory yields; so, a protection step was carried out using a tetrahydropyranyl group, allowing a significant increase of the obtained yields. First, unlike a chlorine atom (in compound 21), an additional fluorine atom was found to decrease the inhibitory effect toward topo I (topo I: 51% and 18% inhibition at 100 and 20 µM; topo II: 0% inhibition at 100 µM). Secondly, within the series, other compounds were more interesting against topo I whereas most were inactive on topo II. The derivative bearing a 1-pyrrolidine (22) as the substituent on the 4-position of the B ring was the most potent since it was more active than camptothecin at 20 µM against topo I, while also being a weak inhibitor of topo II (topo I: 75% and 60% inhibition at 100 and 20 µM respectively; topo II: 19% inhibition at 20 µM). Moreover, this chalcone was found to be the most cytotoxic agent against T47D (human breast ductal carcinoma) and SNU638 (human gastric cancer) cells. The whole compounds synthesized have been patented by Ewha University [43].
Then, Na and Nam designed some original chalcones through the introduction of epoxide or thioepoxide moieties on a hydroxylated chalcone scaffold [44]. Their study was based on their previous results, which showed that substitution of xanthones with epoxide or thioepoxide fragments could generate inhibitory activity on topoisomerase I or II [45,46]. The same strategy as previously described allowed them to obtain some hydroxy-chalcones, which were treated with excess amounts of epichlorohydrin or epithiochlorohydrin under basic conditions. The most potent compound synthesized by Na and Nam was a chalcone with a bis-thioepoxypropoxy substitution pattern on the A ring and a 4-methoxyphenyl as the B ring (23). This compound strongly inhibited MCF-7 and HCT-15 cancer cells proliferation (IC50 0.49 and 0.23 µM, respectively). Moreover, it inhibited topo II activity with an extent comparable to etoposide at a 100 µM concentration (topo I: 61% and 21% inhibition at 100 and 20 µM, respectively; topo II: 0% inhibition at 100 µM).
In 2016, the previous team published additional results, keeping a thioepoxypropoxy or epoxypropoxy on the 2′, 3′ or 4′ position of the A ring, but changing the B ring in the form of a thiophene or furan. In this article, Jeon et al. synthesized 22 chalcones using the same synthetic pathway as described by Na and Nam [47]; four of these molecules (24–27) were found to be topoisomerase inhibitors. Compounds 24, 25 and 26 (A ring with a thioepoxypropoxy and B ring: 2-furan) presented selective activity against topo II (around 90% and 30% inhibition at 100 and 20 µM, respectively) and were superior to etoposide (72% and 18% inhibition at the same concentrations). Compound 24 inhibited T47D cancer cells growth while compound 26 suppressed MDA-MB-468 (breast) cancer cells proliferation. As for the chalcone 27, with a 2′-epoxypropoxy-substituted A ring and a furan-2-yl as the B ring, it presented the highest activity against topo I, but lower than CPT. So, replacement of an epoxide by a thioepoxide was likely to modify the selectivity for topo I or topo II; thus, at 20 µM, percentages of inhibition for compound 24 were 6% and 31% against topo I and topo II, respectively, while for chalcone 27, they were equal to 24% and 0%, respectively. Moreover, having a thiophene or a furan-3-yl instead of a furan-2-yl completely suppressed the inhibitory effect.
Heterocycles seem to be interesting in terms of modulation of the chalcone structure. Thus, Kasetti et al. designed 20 thiazole-chalcones, considering that this heterocycle was pertinent to favorably influence both the pharmacokinetic and pharmacodynamic properties of the resulting drugs [48]. Synthesis was performed through the condensing of different aromatic ketones with 2,4-dichlorothiazole-5-carboxaldehyde, but in acidic conditions. This series was tested on a prostate cancer cell line (DU145). Only the molecule 28, for which both A and B cores corresponded to a thiazole moiety, had an IC50 of less than 10 µM, i.e., inferior to that of methotrexate (the reference molecule in this article). The series was further investigated through molecular modeling studies on topo IIA ATPase, chalcone 28 obtaining the highest score in terms of binding affinity. H-bond interactions with the Asn95, Ser149, Asn150, and Arg168 and hydrophobic interactions with the Arg98 and Ala167 amino acid residues were highlighted. Nevertheless, these promising results have to be confirmed by biological tests.
Instead of classic hydroxy substituents, Santos et al. were interested in introducing amino groups on the chalcone core [49]. They synthesized 15 chalcones featuring a NH2 group in the 2′ or 4′ position with various B rings. The compounds were tested on a canine malignant histiocytic cell line (DH82). Within the series, three chalcones (4′-amino/4-fluoro, 4′-amino/4-chloro and 2′-amino/4-methyl) appeared as the most active with IC50 values ranging from 31 to 38 µM. Thus, these molecules were more efficient than etoposide and then they were tested on topo IIA. Only the 2′-amino-4-methylchalcone (29) showed an inhibitory effect toward transcription of the TOP2A and TP53 genes (decreased mRNA expression in cancer cells at 40 µM).
Then, a study by Štefanišinová et al. described one chalcone and three chalcone-like compounds, with a single substituent: a 4-N,N-dimethylamino group (30) [50]. This study focused on the interaction between chalcones and DNA using spectroscopic techniques and topo I relaxation assays. The whole molecules were demonstrated to inhibit topo I at 60 µM.
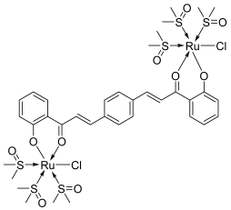
Finally, some studies were carried out to evaluate the potency of chalcone–metal complexes. Thus, Gaur and Mishra developed chalcone or bis-chalcone complexes with ruthenium. Cis-[Ru(S-DMSO)3(chalcone)Cl] type complexes were synthesized and characterized using spectroscopic and single crystal X-ray diffraction techniques [51]. Ruthenium complexes are well-known for their antitumor activity, in particular cis-Ru(DMSO)4Cl2, owing to its stabilization using heteroaromatic ligands [52,53]. Two complexes from Gaur and Mishra were proven to strongly interact with DNA. These are complexes of cis-[Ru(S-DMSO)3(chalcone)Cl]: 2′-hydroxyphenyl as the A ring and 2-thiophenyl (31) or 3-methyl-2-thiophenyl (32) as the B ring. Both Ru(II) complexes inhibited the activity of topo II at a low concentration (IC50 = 13–18 μM), comparable to some classical topo II inhibitors. To go further, they looked at Ru(II) complexes of bis-chalcones, developing complex 33, which showed moderate potential for inhibiting, this time, topo I (IC50 = 87 μM) [54].
In addition, some ferrocenyl chalcone-like derivatives were designed and investigated to evaluate their ability to inhibit the activity of topoisomerases I/II [55]. Many reports have demonstrated that ferrocenyl derivatives may be greatly cytotoxic against numerous cancer cell lines, having also a possible topoisomerase inhibitory effect [56]. The study of Konkolova et al. pointed out the potency of three ferrocenyl chalcone-like compounds against topo I; among them, two complexes (34–35) were found to also inhibit topo II activity (partial inhibition at 30 and 5 µM, respectively) [55].
As a discussion from the previous results concerning these synthetic chalcones, some structure–activity relationship elements can be highlighted. First, the potential of methoxy groups may be confirmed by different studies, like those of Sangpheak et al. or Na and Nam [37,44]. The introduction of heterocycles on the chalcone core also appears as a positive way to obtain inhibitory effects against topoisomerases. Then, molecular modeling studies could be pertinent to explain some results, for example, those of Jeon et al. concerning the nature of heterocycles, which influences either the activity or the selectivity toward topoisomerases. It is worth noticing that a chalcone–ruthenium complex with a 2-thiophenyl as a B ring was able to significantly inhibit topo II [51], whereas this heterocycle cancels the anti-topo effect for chalcones bearing a thioepoxypropoxy or epoxypropoxy on the A ring.
Table 3.
Synthetic chalcones and reference substances as topoisomerases inhibitors.
Table 3.
Synthetic chalcones and reference substances as topoisomerases inhibitors.
| C. No (Name) | Structure | Activity on Topo: IC50 (µM) or % Inhibition | Activity on Cancer Cells IC50 (µM) | Ref. |
|---|---|---|---|---|
| 18 | ![]() | Topo IIA ATPase: 7.5 nM | HeLa: 3.2 HT-1376: 10.8 MCF-7: 21.1 | [37] |
| 19 (salvicine) | ![]() | Topo IIA ATPase: 326.5 nM | HeLa: 70.1 HT-1376: 106.5 MCF-7: >200 | [37,38] |
| 20 | ![]() | Topo IIA: decreased mRNA expression at 5 µM | DLD-1: 0.3 HCT116: 0.3 HT-29: 0.7 LS174T: 0.4 | [39] |
| 21 | ![]() | Topo I: 76% at 3.9 mM | Jurkat: 9.3 | [41] |
| 22 | ![]() | Topo I: 75% at 100 µM 60% at 20 µM Topo II: 97% at 100 µM 19% at 20 µM | SNU638: 0.6 T47D: 1.4 | [42] |
| 23 | ![]() | Topo I: 0% at 100 µM Topo II: 61% at 100 µM 21% at 20 µM | DU145: 1.1 HCT15: 0.2 K562: 7.6 MCF-7: 0.5 | [44] |
| 24 | ![]() | Topo I: 61% at 100 µM 6% at 20 µM Topo II: 95% at 100 µM 31% at 20 µM | MDA-MB-231: 32.2 MDA-MB-468: 8.3 T47D: 6.6 | [47] |
| 25 | Topo I: 75% at 100 µM 1% at 20 µM Topo II: 90% at 100 µM 30% at 20 µM | MDA-MB-231: 28.9 MDA-MB-468: 7.2 T47D: 10.4 | ||
| 26 | Topo I: 64% at 100 µM 0% at 20 µM Topo II: 95% at 100 µM 25% at 20 µM | MDA-MB-231: 18.0 MDA-MB-468: 4.3 T47D: 9.4 | ||
| 27 | ![]() | Topo I: 37% at 100 µM 24% at 20 µM Topo II: 82% at 100 µM 0% at 20 µM | MDA-MB-231: 28.7 MDA-MB-468: 48.3 T47D: 19.4 | [47] |
| 28 | ![]() | Topo IIA ATPase | DU145: 6.9 | [48] |
| 29 | ![]() | Topo IIA: decreased mRNA expression in cancer cells at 40 µM | DH82: 38.2 | [49] |
| 30 | ![]() | Topo I: inhibition at 60 µM | - | [50] |
| 31–32 | ![]() | Topo II: 31. 18 µM 32. 13 µM | - | [51] |
| 33 | ![]() | Topo I: 87 µM | - | [54] |
| 34–35 | ![]() | Topo I: partial inhibition at 30 µM Topo II: partial inhibition at 5 µM | - | [55] |
3.2. Chalcone Hybrids as Topoisomerases Inhibitors
The hybridization of biologically active molecules is a powerful tool for drug discovery. Different objectives are considered through this strategy. Generally, hybridization involves the combination of two (or more) drugs/pharmacophores into a single molecule. Either the goal is to strengthen the potency against one biological target, or it is aimed, more and more often now, to design multi-targeted drugs (MTDs). Indeed, in the field of cancer treatment, the development of MTDs has been under constant escalation for the last two decades. The advantages of MTDs are numerous: they can improve treatment outcomes, lead to synergistic effects, and reduce drug resistance probability and side effects [57]. The design of such MTDs may be based on the framework combination approach, which consists of combining drugs/pharmacophores to develop a new hybrid molecule with activity toward multiple biological targets. The individual partners or molecular components can be assembled covalently to form a molecular matrix by linking, fusing or merging strategies [58]. The structures and biological evaluation of these chalcone hybrids are reported in Table 4.
3.2.1. Fluoroquinolone Hybrids
Fluoroquinolones such as ciprofloxacine (36) are major antibacterial agents for which the cellular target is topo II (IC50 = 104 µM). Therefore, fluoroquinolones can also be considered as potent anticancer agents [59]. In this part of our review, we report different works dealing with hybrids that combine the ciprofloxacine unit with the chalcone core to design novel topoisomerase inhibitors. This hybridization involves different types of linkers, as described below.
In 2013, Abdel-Aziz et al. reported the synthesis of C-7-piperazinyl–ciprofloxacin-chalcone hybrids in order to improve the physicochemical properties of ciprofloxacin and/or to obtain a synergistic effect through combining ciprofloxacin and chalcone in a unique structure [15]. First, chalcone derivatives were synthesized by a base-catalyzed Claisen–Schmidt condensation between 4-aminoacetophenone and different benzaldehydes. Then, treatment of the chalcone intermediates with bromoacetyl bromide in the presence of potassium carbonate produced the corresponding 2-bromo-N-{4-[3-arylacryloyl]phenyl}acetamides. Finally, alkylation of ciprofloxacin with the previous acylated chalcones using triethylamine as a base gave the target ciprofloxacin–chalcone hybrids (Scheme 2). So, the ciprofloxacin unit was linked, from the piperazinyl part, to the chalcone moiety through an amide function. These compounds were evaluated for their inhibitory effect against topo I and II enzymes in addition to investigation of their in vitro antiproliferative effect toward several cancer cell lines. Within the series, two compounds (37–38) revealed similar topo I inhibitory potency at 20 µM compared to CPT used as a positive control (25%, 26% and 31% inhibition, respectively). Considering topo II, the two previous hybrids exhibited a remarkable inhibitory effect compared to etoposide (a positive control for topo II) at both 100 and 20 µM (50%, 44% and 39% inhibition at 20 µM, respectively).
Scheme 2.
Synthesis of compounds 37 and 38. Reagents: (a) 10% NaOH, EtOH; (b) bromoacetyl bromide, K2CO3, DCM; (c) ciprofloxacin, triethylamine, acetonitrile. Adapted from Ref. [15].
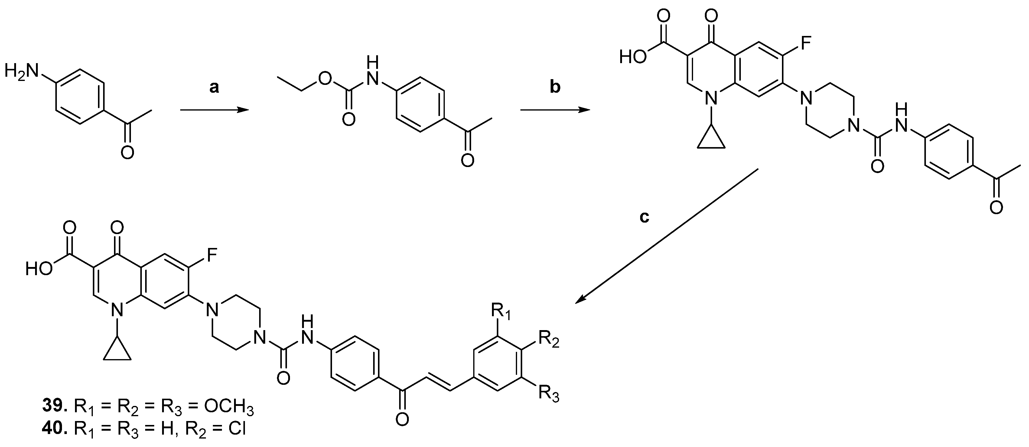
In 2021, the same research team designed a novel series of urea-linked ciprofloxacine–chalcone hybrids [16]. Once more, the ciprofloxacin unit was linked to the chalcone core from its piperazinyl part. However, the two scaffolds were directly connected to each other through a urea moiety. A carbamate was prepared by stirring 4-aminoacetophenone with ethyl chloroformate using pyridine as a base. Then, ciprofloxacin was refluxed with the previous carbamate intermediate in xylene; condensation of the resulting intermediate with various aromatic aldehydes in ethanolic sodium hydroxide solution led to the target hybrids (Scheme 3). This study revealed the potency of one hybrid compound not only as a dual inhibitor of both topo I and topo II but also as an antiproliferative agent against leukemia and colorectal carcinoma. This compound interestingly possessed a 3,4,5-trimethoxyphenyl (39) as the B ring in the chalcone core (IC50 = 16 and 137 µM against topo I and II, respectively). This work also pointed out the great interest of another derivative bearing a 4-chlorophenyl (40) as the B ring of the chalcone part (IC50 = 18.0 and 107 µM against topo I and II, respectively). Thus, this compound was the subject of further investigations in 2024, confirming its inhibitory effects on topoisomerases I and II (IC50 = 37.5 and 19.9 µM) and its ability to induce apoptosis in colorectal cancer cells [60].
Scheme 3.
Synthesis of compounds 39 and 40. Reagents: (a) ethyl chloroformate, pyridine, acetonitrile; (b) ciprofloxacin, xylene; (c) appropriate aromatic aldehydes, 60% NaOH, EtOH. Adapted from Ref. [16].
Finally, the diversification of the linker in this series led these authors to develop new ciprofloxacine–chalcone hybrids, this time with a 1,2,3-triazole linkage [61]. Their synthetic pathway was based on click chemistry using the copper-catalyzed azide-alkyne cycloaddition (CuAAC) between an azido chalcone and a N-propargylated (on piperazine heterocycle) ciprofloxacine. More precisely, azido chalcones were synthesized by condensation, in the presence of sodium hydroxide, of the appropriate aromatic aldehydes with 1-(4-azidophenyl)ethanone. The latter was prepared from 4-aminoacetophenone, which was reacted with sodium nitrite in acidic medium at 0 °C; then, an aqueous solution of sodium azide was added. Besides, ciprofloxacin was N-alkylated using propargyl bromide in the presence of NaHCO3. The final hybrids were synthesized by coupling azido chalcones with the ciprofloxacin derivative using sodium ascorbate and copper sulfate as a catalyst (Scheme 4). As before, the most interesting derivative was still the one with a 3,4,5-trimethoxyphenyl as the B ring in the chalcone core (41). In addition to a remarkable anti-proliferative activity against leukemia (RPMI-8226) and colon (HCT116) cancer cells, it exhibited a wide range of inhibitory effects toward topoisomerases I and II (topo I: 25% inhibition at 2.5 µM; topo II: 95%inhibition at 10 µM), but also against tubulin polymerization thanks to the 3,4,5-trimethoxyphenyl moiety (100% inhibition at 2.5 µM) [62].
Scheme 4.
Synthesis of compound 41. Reagents: (a) conc. H2SO4, NaNO2, NaN3; (b) appropriate aromatic aldehydes, 60% NaOH, EtOH; (c) propargyl bromide, NaHCO3, DMF; (d) CuSO4·5H2O, sodium ascorbate, DMF, DCM, MeOH, H2O. Adapted from Ref. [61].
In brief, these four previous studies demonstrated the potential of ciprofloxacine–chalcone hybrids against both topo I and topo II while ciprofloxacine is only a well-known topo II inhibitor. Different linkers were used to obtain these hybrids and the triazole linker was found to be better than the urea one since compound 41 was more active than hybrid 39.
To conclude this section on fluoroquinolone derivatives, a final work from Ma et al. is discussed; it concerns a novel bis-fluoroquinolone chalcone-like derivative (42) that was synthesized by the Institute of Chemistry and Biology of Henan University (Scheme 5) [63,64]. This latter was designed to retain the structural features of both sunitinib, an inhibitor of tyrosine kinases with an α,β-unsaturated ketone, and fluoroquinolones as topoisomerase inhibitors. This is why this compound has to be considered as a chalcone-like derivative. This one was the first reported dual topo II and tyrosine kinase inhibitor (topo II: partial inhibition at 1.6 µM and virtually complete inhibition at 3.2 μM); moreover, it demonstrated interesting antiproliferative activity against several cancer cell lines, especially pancreatic cells. Considering the effects of this hybrid on topo II activity, the results suggested an increase of topo II-mediated DNA double-strand breaks and inhibition of DNA religation. Finally, Ma et al.’s study reported an example of a merged hybrid with this chalcone-like compound, while all previous works dealt with hybrids containing a linker [15,16,60,61].
Scheme 5.
Synthesis of compound 42. Reagents: (a) NaBH4, p-TsOH; (b) ethyl formate, sodium ethoxide; (c) MnO2; (d) NaBH4, p-TsOH; (e) piperidine, EtOH. Adapted from Ref. [64].
3.2.2. Chalcone Hybrids Including Natural Compounds
To continue this review of chalcone hybrids based on a linking strategy, we report studies about hybridization with known natural topoisomerases inhibitors.
First, a series of novel epipodophyllotoxin–chalcone hybrids was synthesized by Banday et al. in 2015 [65]. These hybrids consist of structurally different but functionally similar topo II inhibitors. They were conjugated together through a 1,2,3-triazole linker, using click-chemistry by CuAAC between C4-β-azido podophyllotoxins and propargylated chalcones (43, Scheme 6).
Scheme 6.
Synthesis of compound 43. Reagents: (a) CuSO4, sodium ascorbate, t-BuOH, H2O. Adapted from Ref. [65].
Evaluation of the antiproliferative activity of these conjugates against a panel of six human cancer cell lines revealed their potency, especially toward SW-620 (colon) and SKN-SH (CNS) cell lines. Then, the compounds were docked against topo II and the glide scores were in good agreement with the observed antiproliferative effect. Moreover, the docking calculations evidenced that the synthesized hybrids have much better binding affinities than etoposide toward topo II.
Secondly, Wang et al. reported a series of dual-targeted anti-cancer agents based on indolic chalcone derivatives and the CPT scaffold [66]. The synthetic pathway involved several steps that are described below. First, camptothecin reacted with 2-hydroxyethyl disulfide in the presence of triphosgene and DMAP to afford a carbonate ester of CPT. Then, aldol condensation between 3,4,5-trimethoxyacetophenone and indole-3-carbaldehyde in the presence of piperidine gave indolic chalcones, which reacted with different bromo esters through a nucleophilic substitution. Basic hydrolysis of the intermediate esters led to the corresponding carboxylic acids, which reacted with the carbonate ester of CPT using EDC and HOBT as condensation agents to form hybrid esters between CPT with a disulfide moiety and indolic chalcones (Scheme 7). The latter are known to be potent microtubule destabilizing agents (MDAs) [67] while CPT acts as a topo I inhibitor. In fact, these two parts were attached through disulfide bonds, i.e., a GSH-responsive linker; so, these hybrids must be considered as prodrugs since glutathione (GSH) can reduce the disulfide bonds, resulting in their breakage. Moreover, a correlation between elevated intracellular GSH levels and multidrug resistance (MDR) is well established. Therefore, the design of such compounds is a global strategy to address MDR associated with microtubule destabilizing agents. The different investigations allowed us to demonstrate a considerable antiproliferative activity of one conjugate (44) against the tested cancer cell lines, notably paclitaxel-resistant A549 and HCT116 cells. This conjugate was found to operate as a GSH-responsive prodrug, releasing the chalcone moiety and CPT and leading consequently to an inhibition of tubulin polymerization and topo I activity.
Scheme 7.
Synthesis of compound 44. Reagents: (a) triphosgene, DMAP, DCM; (b) piperidine, EtOH; (c) ethyl 3-bromopropionate, K2CO3, KI, DMF; (d) NaOH, MeOH, H2O; (e) 44-1, EDCI, HOBt, DMF. Adapted from Ref. [66].
3.2.3. Nitrogen Heterocycle-Based Hybrids
Other chalcone hybrids were designed combining nitrogen heterocycles with a chalcone scaffold. Thus, a series of benzimidazole-chalcone hybrids was synthesized by Zhou et al. [68] since several benzimidazole derivatives have been reported as new topo II inhibitors [69]. These hybrids were obtained in four steps: first, (1H-benzo[d]imidazol-2-yl) methanol was synthesized by refluxing o-phenylenediamine with glycolic acid in hydrochloric acid; this intermediate reacted with appropriate benzyl bromides in the presence of K2CO3 to give substituted (1-benzyl-1H-benzo[d]imidazol-2-yl)methanols. Then, these compounds were oxidized using the Dess–Martin reagent in the corresponding benzo[d]imidazole-2-carbaldehydes. The target compounds were finally prepared from the previous carbaldehydes and the appropriate acetophenones through the Claisen–Schmidt condensation (Scheme 8). The benzimidazole–chalcone conjugates demonstrated a good inhibitory effect in topo II-mediated DNA relaxation assays and antiproliferative activity against four tumor cell lines: HepG2, A549, LNCaP (prostate) and MG-63 (bone). Within the series, two compounds were identified as the most potent, having IC50 values less than 5 µM, superior to etoposide. The first hybrid was characterized by a N-2-fluorobenzyl and a 4′-bromophenyl as a chalcone A ring (45). The second one was built with a 3′,4′,5′-trimethoxyphenyl as a chalcone A ring and with a N-4-methylbenzyl (46). Mechanistic studies revealed that these derivatives acted as non-intercalative topo II catalytic inhibitors (87% inhibition for 45, and 95% inhibition for 46 at 20 µM).
Scheme 8.
Synthesis of compounds 45 and 46. Reagents: (a) glycolic acid, 4 N HCl; (b) appropriate benzyl bromides, K2CO3, DMF; (c) Dess–Martin periodinane, DCM; (d) appropriate acetophenones, 10% NaOH, EtOH. Adapted from Ref. [68].
The carbazole scaffold is also of great interest since some studies showed that carbazole derivatives may exert their anticancer effect by topo inhibition [70]. Therefore, the previous researchers designed a series of carbazole derivatives containing chalcone analogs and tested their topo II inhibitory and cytotoxic activities against four cell lines (HeLa, A549, PC-3, and HL-60) [71]. The synthetic pathway involved three steps, the first one being N-alkylation of carbazole with appropriate benzyl bromides. The Vilsmeier–Haack reaction from the obtained intermediates led to N-substituted 9H-3-carbaldehydes, which gave the desired hybrids after aldol condensation with appropriate acetophenones (Scheme 9). Two compounds, bearing an N-ethyl and either a 4′-fluorophenyl (47) or a 4′-chlorophenyl (48) as the A ring of the chalcone showed the best topo II inhibition at 20 µM. Mechanism investigations demonstrated that these hybrids may function as non-intercalative topo II catalytic inhibitors. However, this study highlighted no correlation between the topo II inhibitory activity and cytotoxic effect. Therefore, further assays concerning the cell cycle distribution and annexin V binding were performed to study their action on cancer cells and evidenced apoptosis induction.
Scheme 9.
Synthesis of compounds 47 and 48. Reagents: (a) bromoethane, KOH, acetone; (b) POCl3, DMF, DCM; (c) appropriate acetophenones, 10% NaOH, EtOH. Adapted from Ref. [71].
Another heterocycle has been widely explored as an anti-topoisomerase agent: carbolines, which present an additional nitrogen atom compared to carbazoles, are based on an indole ring fused with a pyridine one. β-carboline represents the basic scaffold for numerous alkaloids and many synthetic compounds designed for anticancer effects via multiple mechanisms, especially topoisomerase inhibition [72]. Thus, Kamal et al. designed a series of chalcone-linked β-carboline hybrids to be original topo I inhibitors [73]; they considered previous structure–activity relationship analysis revealing that the introduction of appropriate substituents at the C1 and C3 positions of the β-carboline ring increased antitumor activity as well as DNA binding ability [74]. Therefore, they synthesized, via a multistep pathway, some hybrids by placing a substituted phenyl at the C1 position and a chalcone part at the C3 position. Initially, a Pictet–Spengler condensation of L-tryptophan methyl ester with various substituted benzaldehydes yielded the corresponding 1,2,3,4-tetrahydro β-carboline derivatives. Their aromatization was achieved using sulfur in xylene to form the corresponding methyl β-carboline-3-carboxylate derivatives. The ester group at the C3 position of these intermediates was then reduced to its corresponding alcohol by lithium aluminum hydride in dry THF. These primary alcohols were further oxidized using Dess–Martin periodinane to afford 1-phenyl-3-carboxaldehyde β-carboline derivatives. Finally, the latter was reacted with a variety of aromatic as well as heteroaromatic ketones through a barium hydroxide-mediated Claisen–Schmidt condensation to give chalcone-linked β-carboline hybrids (Scheme 10). Among all of the hybrids synthesized, one derivative (49) bearing a 4-trifluoromethyl substituent at the C1-phenyl and a furan-containing chalcone moiety at C3 displayed a potent cytotoxic effect against several cancer cell lines, correlated to a moderate inhibition of topo I. To gain further insight into the binding mode of these hybrids to topo I, molecular docking studies were performed. In particular, the nitrogen atom in the last β-carboline ring showed a hydrogen bonding interaction with the guanidine group of Arg364 while the furan ring was stacked with Cys112, with the enone region forming interactions with Ala113.
Scheme 10.
Synthesis of compound 49. Reagents: (a) SOCl2, MeOH; (b) 4-(trifluoromethyl)benzaldehyde, p-TsOH, toluene; (c) sulfur, xylene; (d) LiAlH4, THF; (e) Dess–Martin periodinane, DCM; (f) 2-acetylfuran, Ba(OH)2, MeOH. Adapted from Ref. [73].
The β-carboline scaffold is found in many alkaloids such as harmine (50), which occurs in a number of different plants including Syrian rue (Peganum harmala L.) and presents a variety of biological properties, especially anticancer effects [75]. Very recently, Guo et al. reported a series of harmine–chalcone hybrids: the 1-methyl substituent of harmine was replaced by a chalcone moiety; this hybridization was based on the merging strategy, with the A ring of chalcone corresponding to the β-carboline nucleus. Three steps of synthesis were necessary starting from tryptamine or 5-methoxytryptamine; first, these two compounds reacted with acetaldehyde in acidic medium and the resulting intermediates, bearing a methylketone moiety, were subsequently oxidized with potassium permanganate to give the corresponding β-carbolines. The methylketone part allowed the aldol condensation with different benzaldehydes in alkaline medium to afford the desired harmine–chalcone hybrids (Scheme 11). Guo et al. evaluated their antiproliferative activities against six human cancer cell lines: MCF-7, MDA-MB-231 (breast), HepG2, HT29, A549 and PC-3 [76]. The most potent derivative (51) was further studied and its ability to inhibit topo I was demonstrated (dose-dependent inhibition 25 to 100 µM). Additional assays proved that this compound was acting as a topo I poison like CPT, and that its inhibitory effect was superior to that of CPT. A molecular docking study revealed that its molecular structure overlapped with that of CPT and hydrogen bonding interactions were identified, especially between Cl and NO2 substituents with amino acid residues THR718 and DG12, respectively.
Scheme 11.
Synthesis of compound 51. Reagents: (a) pyruvic aldehyde, 1% H2SO4; (b) KMnO4, DMF; (c) 4-chloro-3-nitro-benzaldehyde, NaOH, anhydrous EtOH. Adapted from Ref. [76].
Then, Via et al. developed three hybrids by combining a chalcone core with a pyrroloquinoline unit through an amino linker on the 4′-position of the chalcone A ring [77]. The design of such hybrids was based on a previous study dealing with DNA-targeted alkylating pyrroloquinolines [78]. 9-chloro-pyrrolo[3,2-f]quinoline reacted with p-amino-acetophenone in the presence of HCl as a catalyst, according to a nucleophilic substitution, to afford an acetyl-aniline derivative as a mono-hydrochloride. The latter led to the expected compounds when submitted to Claisen–Schmidt condensation with the appropriate aromatic aldehydes. The B rings of the chalcone hybrids were 2-pyrrolyl, 2-thienyl and 4-nitrophenyl (Scheme 12). The capacity of the pyrroloquinoline derivatives to intercalate between base pairs was linked to the inhibition of the supercoiled DNA relaxation by topo II, compound 52 (with a 4-nitrophenyl) being the most potent of the series (inhibition at 10 µM). However, these compounds induced no significant DNA cleavage. It should be noted that the corresponding chalcones without a pyrroloquinoline unit were inactive against topo II.
Scheme 12.
Synthesis of compound 52. Reagents: (a) HCl, MeOH; (b) 4-nitro-benzaldehyde, 50% NaOH, MeOH. Adapted from Ref. [77].
Finally, Rangaswamy et al. were interested in 10 oxazole-linked pyrazole chalcones (Scheme 13) [79]. A review has covered the literature about studies dealing with the design of highly efficient oxazole-based anticancer drugs [80]; some of these compounds were found to target DNA topoisomerases. Reaction between 1H-pyrazole-3-carboxylic acid and prop-2-yn-1-amine in the presence of HATU and DIPEA led to N-(prop-2-yn-1-yl)-1H-pyrazole-3-carboxamide This key intermediate was reacted with Hg(ClO4)2 and CAN in acetonitrile at room temperature to afford 2-(1H-pyrazol-3-yl)oxazole-5-carbaldehyde. Further, reaction of this compound with methane sulfonyl chloride in the presence of DIPEA furnished the N-methylsulfonyl-pyrazolyl derivative. Finally, this intermediate underwent condensation reactions with differently substituted aromatic ketones by using piperidine as a catalyst at reflux conditions (ethanol was used as the solvent) to give the final oxazole-linked pyrazole chalcone derivatives. Among these compounds, six were active against SiHa (squamous cell carcinoma of the uterine cervix), A549, MCF-7, and Colo-205 (colorectal adenocarcinoma) cancer cell lines (IC50 ranging from 0.01 to 2.54 µM). Docking using human topo II as the biological target demonstrated that four molecules (53–56) were highly able to develop strong interactions with this enzyme. The interaction outlines of these compounds with the active site residues of human topoisomerase IIα protein were similar to those of etoposide; thus, the latter and compound 56 with a pyridine ring exhibited a close alignment, particularly between the carbonyl group of etoposide and the sulfonyl group of compound 56. This one was able to mimic the critical hydrogen bond interactions observed for etoposide with ASP479 and SER480 residues. Moreover, for the chalcone hybrid 56, the carbonyl of the enone moiety was found to form another hydrogen bond interaction with GLY776.
Scheme 13.
Synthesis of compounds 53 to 56. Reagents: (a) propargylamine, DIPEA, HATU, THF; (b) mercuric perchlorate, ceric ammonium nitrate, acetonitrile; (c) methanesulfonyl chloride, DIPEA, DCM; (d) appropriate acetophenones, piperidine, EtOH. Adapted from Ref. [79].
Table 4.
Chalcone hybrids and reference substances as topoisomerases inhibitors.
Table 4.
Chalcone hybrids and reference substances as topoisomerases inhibitors.
| C. No (Name) | Structure | Activity on Topo: IC50 (µM) or % Inhibition | Activity on Cancer Cells IC50 (µM) | Ref. |
|---|---|---|---|---|
| 36 (ciprofloxacin CP) | ![]() | Topo II: 104 µM | Hela: 300 MG63: 480 K562: >150 NCI-H460: 60.0 | [59] |
| 37 | ![]() | Topo I: 68% at 100 µM 25% at 20 µM Topo II: 85% at 100 µM 50% at 20 µM | - | [15] |
| 38 | Topo I: 91% at 100 µM 26% at 20 µM Topo II: 86% at 100 µM 44% at 20 µM | - | ||
| 39 | ![]() | Topo I: 16.0 µM Topo IIA: 137 µM | HCT116: 2.0 SR: 0.6 | [16] |
| 40 | Topo I: 18.0 µM Topo IIB: 107 µM | HCT116: 2.5 SR: 0.7 | ||
| Topo I: 37.5 µM Topo II: 19.9 µM | HCT116: 5.0 LOX IMVI: 1.3 | [60] | ||
| 41 | ![]() | Topo I: 25% at 2.5 µM Topo IIB: 100% at 100 µM 95% at 10 µM | Caco-2: 7.1 HCT116: 2.5 HT-29: 13.2 RPMI-8226: 0.4 µM | [61] |
| 42 | ![]() | Topo II: Partial inhibition at 1.6 μM, with Virtually complete inhibition at 3.2 μM | BGC-823: 3.8 Capan-1: 2.9 HGC-27: 5.6 Panc-1: 3.5 DU145: 3.2 T24: 3.7 | [63] |
| 43 | ![]() | Topo II | Colo-205: 12.5 DU145: 12.0 HCT-15: 12.4 HeLa: 4.5 SKN-SH: 0.4 SW-620: 0.4 | [65] |
| 44 | ![]() | Topo I: | A549: 0.4 A549/PTX: 0.6 HCT116: 0.2 HCT116/PTX: 0.3 | [66] |
| ||||
| 45 | ![]() | Topo II: 87% at 20 µM | A549: 3.6 HePG2: 4.5 MG63: 4.7 LNCaP: 5.4 | [68] |
| 46 | Topo II: 95% at 20 µM | A549: 3.8 HePG2: 4.6 MG63: 4.1 LNCaP: 3.6 | ||
| 47 | ![]() | Topo II: inhibition at 20 µM. | A549: 16.7 HeLa: >50 HL-60: 12.9 PC-3: 32.3 | [71] |
| 48 | Topo II: inhibition at 20 µM. | A549: 9.6 HeLa: 5.5 HL-60: 2.9 PC-3: 7.1 | ||
| 49 | ![]() | Topo I: inhibition at 100 µM | A549: 2.6 ACHN: 2.13 DU145: 3.3 MCF-7: 1.9 HeLa: 2.8 | [73] |
| 50 (harmine) | ![]() | Topo I: inhibition at 150 µM | - | [73,75] |
| 51 | ![]() | Topo I: dose-dependent inhibition 25 to 100 µM | A549: 2.0 HepG2: 1.6 HT29: 0.6 MCF-7: 0.3 MDA-MB-231: 1.0 PC-3: 1.2 | [76] |
| 52 | ![]() | Topo II: inhibition at 10 µM. | HeLa: 10.4 HL-60: 4.4 JR8: 1.2 | [77] |
| 53 | ![]() | Topo II | A549: 0.1 Colo-205: 0.1 MCF-7: 0.1 SiHa: 0.2 | [79] |
| 54 | A549: 0.9 Colo-205: 1.4 MCF-7: 1.2 SiHa: 0.9 | |||
| 55 | A549: 1.7 Colo-205: 2.0 MCF-7: 1.8 SiHa: 1.7 | |||
| 56 | A549: 0.01 Colo-205: 0.04 MCF-7: 0.07 SiHa: 0.1 |
4. Conclusions
Topoisomerases are essential enzymes involved in key cellular processes such as DNA replication and transcription. Therefore, these enzymes have emerged as promising anticancer targets and many inhibitors have been developed. Some of them are considered to be major anticancer agents, such as anthracyclines, etoposide or irinotecan, which are nature-inspired compounds.
Chalcones are polyphenolic compounds belonging to the vast family of flavonoids, widely distributed in the plant kingdom. They are open-chain molecules in which two aromatic rings are joined by a three-carbon α,β-unsaturated carbonyl. Chalcones are well-known to exert a variety of biological activities. Thus, many compounds with a chalcone structure exhibit great anticancer effects through interference with different mechanisms and targets such as aromatase, VEGF, tubulin and topoisomerases.
This review pointed out some natural chalcones as potent topo inhibitors but their number remains quite limited. Most of these chalcones have hydroxyl or methoxy substituents on their aromatic rings, which were sometimes found to form hydrogen bonds with amino acid residues of the topo active site. Π–π interactions with DNA residues were also highlighted, perhaps owing to the electron-donating effect from these oxygenated groups.
Considering synthetic chalcones, here again hydroxyl or methoxy substituents were proven to be of interest; the presence of an additional chlorine atom seemed to be favorable to interactions with topoisomerase I or II. The replacement of the benzene ring by a heterocyclic structure was also found to enable inhibitory effects toward topoisomerases. Nevertheless, in a series, a thiophene core instead of a furan one led to totally inactive compounds. Several examples of furan derivatives demonstrated their anti-topo activity, including the chalcone hybrid 49 bearing a carboline unit. Besides, the introduction of small heterocycles such as epoxide or thioepoxide or even pyrrolidine on aromatic rings was shown to increase their inhibitory potency against topoisomerases; in fact, epoxide-substituted chalcones were found to selectively inhibit topo I while thioepoxide-substituted chalcones were shown to be selective topo II inhibitors. These findings highlight the structural diversity of chalcones as topoisomerases inhibitors but also the difficulty of establishing structure–activity relationship elements. Finally, this review underlines recent advances in hybridization strategies to develop promising topoisomerase inhibitors and above all multi-target drugs. In this context, ciprofloxacine–chalcone hybrids are of great interest due to their inhibitory effect against both topo I and II, while ciprofloxacine is only a topo II inhibitor. In these hybrids, the linker’s nature seemed to influence the inhibitory effect, with the triazole pattern leading to the most active compounds. Nitrogen heterocycles-based hybrids also appeared to be potent topoisomerases inhibitors; it is worth noticing that carbazole derivatives were topo II inhibitors while chalcone–carboline hybrids (with an additional nitrogen compared to carbazole) were active against topo I. Other hybrids demonstrated notable potential as, in addition to their anti-topo effect, they acted on biological targets involved in entirely separate stages of the cell division process, such as inhibition of tubulin polymerization by compound 44.
In brief, even if structure–activity relationship elements are not evident, some structural features seemed to be important for topoisomerases inhibition. First, some studies pointed out the role of the carbonyl group of chalcone in the hydrogen bond formation with amino acid residues. Besides, it is also worth considering the substituents of aromatic rings, which can influence the ability of chalcones to establish hydrogen bonds with the active site of topoisomerases or to reinforce π–π interactions between these aromatic rings and DNA residues. In addition, the heterocyclic nature of some inhibitors appeared to be essential for their anti-topo effect. Finally, further studies on both types of these enzymes appear necessary to better understand which structural modifications of the chalcone core could enhance selectivity toward one or another of the topoisomerases.
To conclude, the findings presented herein support the continued exploration of chalcones as promising scaffolds in the design of novel anticancer therapeutics, especially via topoisomerase inhibition.
Author Contributions
Conceptualization, C.P. and F.-X.T.; writing—original draft preparation, C.P. and F.-X.T.; writing—review and editing, C.P., A.L. and F.-X.T.; supervision, C.P. All authors have read and agreed to the published version of the manuscript.
Funding
This research received no external funding.
Institutional Review Board Statement
Not applicable.
Informed Consent Statement
Not applicable.
Data Availability Statement
No new data were created or analyzed in this study.
Conflicts of Interest
The authors declare no conflicts of interest.
Abbreviations
The following abbreviations are used in this manuscript:
| CPT | Camptothecin |
| CuAAC | Copper-Catalyzed Azide-Alkyne Cycloaddition |
| CP | Ciprofloxacin |
| DC | Deoxycytidine |
| DCM | Dichloromethane |
| DG | Deoxyguanosine |
| DIPEA | N,N-diisopropylethylamine |
| DMAP | 4-ddimethylaminopyridine |
| DMF | Dimethylformamide |
| DNA | Deoxyribonucleic acid |
| DOX | Doxorubicin |
| EDCI | 1-ethyl-3-(3-dimethylaminopropyl)carbodiimide |
| GSH | Glutathione |
| HATU | Hexafluorophosphate azabenzotriazole tetramethyl uronium |
| HOBt | Hydroxybenzotriazole |
| IARC | International Agency for Research on Cancer |
| IC50 | Half maximal inhibitory concentration |
| ISL | Isoliquiritigenin |
| MDAs | Microtubule destabilizing agents |
| MDR | Multidrug resistance |
| MTDs | Multi-targeted drugs |
| topo | Topoisomerase |
| Cancer Cell Lines | |
| The following cancer cell lines are used in this manuscript: | |
| A2780 | Ovarian endometrioid adenocarcinoma |
| A2780CP | Cisplatin-resistant A2780 |
| A2780S | Cisplatin-sensitive A2780 |
| A549 | Lung adenocarcinoma |
| A549/PTX | Paclitaxel-resistant A549 |
| ACHN | Papillary renal cell carcinoma |
| AZ521 | Gastric carcinoma |
| BGC-823 | Human papillomavirus-related endocervical adenocarcinoma |
| BT474 | Invasive breast carcinoma of no special type |
| Caco-2 | Colon adenocarcinoma |
| Capan-1 | Pancreatic ductal adenocarcinoma |
| Colo-205 | Colon adenocarcinoma |
| CRL-1579 | Amelanotic melanoma |
| DH82 | Canine histiocytic sarcoma |
| DLD-1 | Colon adenocarcinoma |
| DU145 | Prostate carcinoma |
| HCT116 | Colon carcinoma |
| HCT116/PTX | Paclitaxel-resistant HCT116 |
| HCT-15 | Colon adenocarcinoma |
| Hep-2 | Human papillomavirus-related endocervical adenocarcinoma |
| HepG2 | Hepatoblastoma |
| HGC-27 | Hepatoblastoma |
| HL-60 | Adult acute myeloid leukemia |
| HT-1376 | Bladder carcinoma |
| HT-29 | Colon adenocarcinoma |
| HuCCA-1 | Cholangiocarcinoma |
| JR8 | Melanoma |
| Jurkat | Childhood T acute lymphoblastic leukemia |
| K562 | Chronic myeloid leukemia |
| LNCaP | Prostate carcinoma |
| LOX-IMVI | Amelanotic melanoma |
| LS174T | Colon adenocarcinoma |
| MCF-7 | Invasive breast carcinoma of no special type |
| MDA-MB-231 | Breast adenocarcinoma |
| MDA-MB-468 | Breast adenocarcinoma |
| MG63 | Osteosarcoma |
| MOLT-3 | Adult T acute lymphoblastic leukemia |
| NCI-H460 | Lung large cell carcinoma |
| NCI-H460/R | Doxorubicin-resistance NCI-H460 |
| Panc-1 | Pancreatic ductal adenocarcinoma |
| PC-3 | Prostate carcinoma |
| RPMI-8226 | Multiple myeloma |
| SiHa | Human papillomavirus-related cervical squamous cell carcinoma |
| SK-MEL-2 | Melanoma |
| SKN-SH | Neuroblastoma |
| SK-OV-3 | Ovarian serous cystadenocarcinoma |
| SR | Anaplastic large cell lymphoma |
| SNU475 | Adult hepatocellular carcinoma |
| SNU638 | Gastric adenocarcinoma |
| SW-620 | Colon adenocarcinoma |
| T24 | Bladder carcinoma |
| T47D | Invasive breast carcinoma of no special type |
| U87 | Glioblastoma |
References
- Bray, F.; Laversanne, M.; Sung, H.; Ferlay, J.; Siegel, R.L.; Soerjomataram, I.; Jemal, A. Global Cancer Statistics 2022: GLOBOCAN Estimates of Incidence and Mortality Worldwide for 36 Cancers in 185 Countries. CA Cancer J. Clin. 2024, 74, 229–263. [Google Scholar] [CrossRef] [PubMed]
- Buzun, K.; Bielawska, A.; Bielawski, K.; Gornowicz, A. DNA Topoisomerases as Molecular Targets for Anticancer Drugs. J. Enzym. Inhib. Med. Chem. 2020, 35, 1781–1799. [Google Scholar] [CrossRef] [PubMed]
- Pommier, Y.; Sun, Y.; Huang, S.-Y.N.; Nitiss, J.L. Roles of Eukaryotic Topoisomerases in Transcription, Replication and Genomic Stability. Nat. Rev. Mol. Cell Biol. 2016, 17, 703–721. [Google Scholar] [CrossRef] [PubMed]
- Liang, X.; Wu, Q.; Luan, S.; Yin, Z.; He, C.; Yin, L.; Zou, Y.; Yuan, Z.; Li, L.; Song, X.; et al. A Comprehensive Review of Topoisomerase Inhibitors as Anticancer Agents in the Past Decade. Eur. J. Med. Chem. 2019, 171, 129–168. [Google Scholar] [CrossRef]
- Akihisa, T.; Kikuchi, T.; Nagai, H.; Ishii, K.; Tabata, K.; Suzuki, T. 4-Hydroxyderricin from Angelica keiskei Roots Induces Caspase-Dependent Apoptotic Cell Death in HL60 Human Leukemia Cells. J. Oleo Sci. 2011, 60, 71–77. [Google Scholar] [CrossRef]
- Kingsbury, W.D.; Boehm, J.C.; Jakas, D.R.; Holden, K.G.; Hecht, S.M.; Gallagher, G.; Caranfa, M.J.; McCabe, F.L.; Faucette, L.F.; Johnson, R.K.; et al. Synthesis of Water-Soluble (Aminoalkyl) Camptothecin Analogs: Inhibition of Topoisomerase I and Antitumor Activity. J. Med. Chem. 1991, 34, 98–107. [Google Scholar] [CrossRef]
- Ibrahim, M.K.; Taghour, M.S.; Metwaly, A.M.; Belal, A.; Mehany, A.B.M.; Elhendawy, M.A.; Radwan, M.M.; Yassin, A.M.; El-Deeb, N.M.; Hafez, E.E.; et al. Design, Synthesis, Molecular Modeling and Anti-Proliferative Evaluation of Novel Quinoxaline Derivatives as Potential DNA Intercalators and Topoisomerase II Inhibitors. Eur. J. Med. Chem. 2018, 155, 117–134. [Google Scholar] [CrossRef]
- Yadav, A.; Sharma, V.; Singh, G. Anti-Inflammatory Potential of Chalcone Related Compounds: An Updated Review. ChemistrySelect 2024, 9, e202401321. [Google Scholar] [CrossRef]
- Xu, M.; Wu, P.; Shen, F.; Ji, J.; Rakesh, K.P. Chalcone Derivatives and Their Antibacterial Activities: Current Development. Bioorg. Chem. 2019, 91, 103133. [Google Scholar] [CrossRef]
- Elkhalifa, D.; Al-Hashimi, I.; Al Moustafa, A.E.; Khalil, A. A Comprehensive Review on the Antiviral Activities of Chalcones. J. Drug Target. 2021, 29, 403–419. [Google Scholar] [CrossRef]
- Mittal, A.; Vashistha, V.K.; Das, D.K. Recent Advances in the Antioxidant Activity and Mechanisms of Chalcone Derivatives: A Computational Review. Free Radic. Res. 2022, 56, 378–397. [Google Scholar] [CrossRef] [PubMed]
- Yadav, C.S.; Azad, I.; Khan, A.R.; Ahmad, N.; Gupta, S.K.; Verma, V.K.; Hansda, D.; Lohani, M.B. Exploring the Therapeutic Potential of Chalcones in Oncology: A Comprehensive Review. Curr. Bioact. Compd. 2024, 20, 12–47. [Google Scholar] [CrossRef]
- Chen, S.; Wang, X.; Cheng, Y.; Gao, H.; Chen, X. A Review of Classification, Biosynthesis, Biological Activities and Potential Applications of Flavonoids. Molecules 2023, 28, 4982. [Google Scholar] [CrossRef] [PubMed]
- Mohamed, M.F.A.; Abuo-Rahma, G.E.-D.A. Molecular Targets and Anticancer Activity of Quinoline-Chalcone Hybrids: Literature Review. RSC Adv. 2020, 10, 31139–31155. [Google Scholar] [CrossRef]
- Abdel-Aziz, M.; Park, S.-E.; Abuo-Rahma, G.E.-D.A.A.; Sayed, M.A.; Kwon, Y. Novel N-4-Piperazinyl-Ciprofloxacin-Chalcone Hybrids: Synthesis, Physicochemical Properties, Anticancer and Topoisomerase I and II Inhibitory Activity. Eur. J. Med. Chem. 2013, 69, 427–438. [Google Scholar] [CrossRef]
- Mohammed, H.H.H.; Abbas, S.H.; Hayallah, A.M.; Abuo-Rahma, G.E.-D.A.; Mostafa, Y.A. Novel Urea Linked Ciprofloxacin-Chalcone Hybrids Having Antiproliferative Topoisomerases I/II Inhibitory Activities and Caspases-Mediated Apoptosis. Bioorg. Chem. 2021, 106, 104422. [Google Scholar] [CrossRef]
- Yoon, G.; Kang, B.Y.; Cheon, S.H. Topoisomerase I Inhibition and Cytotoxicity of Licochalcones A and E from Glycyrrhiza inflata. Arch. Pharmacal. Res. 2007, 30, 313–316. [Google Scholar] [CrossRef]
- Wang, K.-L.; Yu, Y.-C.; Hsia, S.-M. Perspectives on the Role of Isoliquiritigenin in Cancer. Cancers 2021, 13, 115. [Google Scholar] [CrossRef]
- Zhao, S.; Chang, H.; Ma, P.; Gao, G.; Jin, C.; Zhao, X.; Zhou, W.; Jin, B. Inhibitory Effect of DNA Topoisomerase Inhibitor Isoliquiritigenin on the Growth of Glioma Cells. Int. J. Clin. Exp. Pathol. 2015, 8, 12577–12582. [Google Scholar]
- Li, Z.; Li, J.; Li, Y.; You, K.; Xu, H.; Wang, J. Novel Insights into the Apoptosis Mechanism of DNA Topoisomerase I Inhibitor Isoliquiritigenin on HCC Tumor Cell. Biochem. Biophys. Res. Commun. 2015, 464, 548–553. [Google Scholar] [CrossRef]
- Zhang, H.-L.; Zhang, Y.; Yan, X.-L.; Xiao, L.-G.; Hu, D.-X.; Yu, Q.; An, L.-K. Secondary Metabolites from Isodon ternifolius (D. Don) Kudo and Their Anticancer Activity as DNA Topoisomerase IB and Tyrosyl-DNA Phosphodiesterase 1 Inhibitors. Bioorg. Med. Chem. 2020, 28, 115527. [Google Scholar] [CrossRef] [PubMed]
- Ye, H.; Fu, A.; Wu, W.; Li, Y.; Wang, G.; Tang, M.; Li, S.; He, S.; Zhong, S.; Lai, H.; et al. Cytotoxic and Apoptotic Effects of Constituents from Millettia pachycarpa Benth. Fitoterapia 2012, 83, 1402–1408. [Google Scholar] [CrossRef] [PubMed]
- Rampogu, S.; Badvel, P.; Hoon Jo, B.; Kim, Y.; Kim, S.-W.; Lee, K.W. A Review on Millepachine and Its Derivatives as Potential Multitarget Anticancer Agents. Biochem. Biophys. Res. Commun. 2023, 681, 249–270. [Google Scholar] [CrossRef]
- Wu, W.; Ma, B.; Ye, H.; Wang, T.; Wang, X.; Yang, J.; Wei, Y.; Zhu, J.; Chen, L. Millepachine, a Potential Topoisomerase II Inhibitor Induces Apoptosis via Activation of NF-κB Pathway in Ovarian Cancer. Oncotarget 2016, 7, 52281–52293. [Google Scholar] [CrossRef]
- Wu, W.; Liu, Y.; Ye, H.; Li, Z. Millepachine Showed Novel Antitumor Effects in Cisplatin-Resistant Human Ovarian Cancer through Inhibiting Drug Efflux Function of ATP-Binding Cassette Transporters. Phytother. Res. 2018, 32, 2428–2435. [Google Scholar] [CrossRef]
- Liu, M.; Hansen, P.E.; Wang, G.; Qiu, L.; Dong, J.; Yin, H.; Qian, Z.; Yang, M.; Miao, J. Pharmacological Profile of Xanthohumol, a Prenylated Flavonoid from Hops (Humulus lupulus). Molecules 2015, 20, 754–779. [Google Scholar] [CrossRef]
- Harish, V.; Haque, E.; Śmiech, M.; Taniguchi, H.; Jamieson, S.; Tewari, D.; Bishayee, A. Xanthohumol for Human Malignancies: Chemistry, Pharmacokinetics and Molecular Targets. Int. J. Mol. Sci. 2021, 22, 4478. [Google Scholar] [CrossRef]
- Lee, S.H.; Kim, H.J.; Lee, J.S.; Lee, I.-S.; Kang, B.Y. Inhibition of Topoisomerase I Activity and Efflux Drug Transporters’ Expression by Xanthohumol from Hops. Arch. Pharmacal. Res. 2007, 30, 1435–1439. [Google Scholar] [CrossRef]
- Savaspun, K.; Boonchaisri, S.; Chaisuriya, P.; Srisomsap, C.; Svasti, J.; Ardkhean, R.; Phanumartwiwath, A.; Sam-ang, P. Cytotoxicity and Molecular Docking to DNA Topoisomerase II of Chalcone FLavokawain B Isolated from Kaempferia elegans Rhizomes. ScienceAsia 2023, 49, 421–427. [Google Scholar] [CrossRef]
- Nozaki, H.; Hayashi, K.; Kido, M.; Kakumoto, K.; Ikeda, S.; Matsuura, N.; Tani, H.; Takaoka, D.; Iinuma, M.; Akao, Y. Pauferrol A, a Novel Chalcone Trimer with a Cyclobutane Ring from Caesalpinia ferrea Mart Exhibiting DNA Topoisomerase II Inhibition and Apoptosis-Inducing Activity. Tetrahedron Lett. 2007, 48, 8290–8292. [Google Scholar] [CrossRef]
- Ohira, S.; Takaya, K.; Mitsui, T.; Kido, M.; Kakumoto, K.; Hayashi, K.; Kuboki, A.; Tani, H.; Ikeda, S.; Iinuma, M.; et al. New Chalcone Dimers from Caesalpinia ferrea Mart Act as Potent Inhibitors of DNA Topoisomerase II. Tetrahedron Lett. 2013, 54, 5052–5055. [Google Scholar] [CrossRef]
- Aljančić, I.S.; Vučković, I.; Jadranin, M.; Pešić, M.; Đorđević, I.; Podolski-Renić, A.; Stojković, S.; Menković, N.; Vajs, V.E.; Milosavljević, S.M. Two Structurally Distinct Chalcone Dimers from Helichrysum zivojinii and Their Activities in Cancer Cell Lines. Phytochemistry 2014, 98, 190–196. [Google Scholar] [CrossRef] [PubMed]
- Yue, S.; Tang, Y.; Li, S.; Duan, J.-A. Chemical and Biological Properties of Quinochalcone C-Glycosides from the Florets of Carthamus tinctorius. Molecules 2013, 18, 15220–15254. [Google Scholar] [CrossRef] [PubMed]
- Yue, S.-J.; Qu, C.; Zhang, P.-X.; Tang, Y.-P.; Jin, Y.; Jiang, J.-S.; Yang, Y.-N.; Zhang, P.-C.; Duan, J.-A. Carthorquinosides A and B, Quinochalcone C-Glycosides with Diverse Dimeric Skeletons from Carthamus tinctorius. J. Nat. Prod. 2016, 79, 2644–2651. [Google Scholar] [CrossRef]
- Kazuma, K.; Takahashi, T.; Sato, K.; Takeuchi, H.; Matsumoto, T.; Okuno, T. Quinochalcones and Flavonoids from Fresh Florets in Different Cultivars of Carthamus tinctorius L. Biosci. Biotechnol. Biochem. 2000, 64, 1588–1599. [Google Scholar] [CrossRef]
- Tang, Y.; Duan, J.; Le, S. Quinoid Chalcone C-Glycoside Dimer Compound Having Anti-Tumor Activity and Anti-Inflammatory Activity and Method for Preparing Same. Patent Number WO2017219510 A1, 28 December 2017. [Google Scholar]
- Sangpheak, K.; Mueller, M.; Darai, N.; Wolschann, P.; Suwattanasophon, C.; Ruga, R.; Chavasiri, W.; Seetaha, S.; Choowongkomon, K.; Kungwan, N.; et al. Computational Screening of Chalcones Acting against Topoisomerase IIα and Their Cytotoxicity towards Cancer Cell Lines. J. Enzym. Inhib. Med. Chem. 2019, 34, 134–143. [Google Scholar] [CrossRef]
- Hu, C.-X.; Zuo, Z.-L.; Xiong, B.; Ma, J.-G.; Geng, M.-Y.; Lin, L.-P.; Jiang, H.-L.; Ding, J. Salvicine Functions as Novel Topoisomerase II Poison by Binding to ATP Pocket. Mol. Pharmacol. 2006, 70, 1593–1601. [Google Scholar] [CrossRef]
- Chen, X.; Lv, X.; Gao, L.; Liu, J.; Wang, W.; Guo, L.; Frasinyuk, M.S.; Zhang, W.; Watt, D.S.; Liu, C.; et al. Chalcone Derivative CX258 Suppresses Colorectal Cancer via Inhibiting the TOP2A/Wnt/β-Catenin Signaling. Cells 2023, 12, 1066. [Google Scholar] [CrossRef]
- Liu, C.; Watt, D.S.; Liu, X.; Frasinyuk, M.S. Substituted 2-Cinnamoylphenyl Benzoates and Related Heterocycles as Wnt Signaling Inhibitors for the Treatment of Cancer. Patent Number WO2024064827 A2, 28 March 2024. [Google Scholar]
- Gul, H.I.; Cizmecioglu, M.; Zencir, S.; Gul, M.; Canturk, P.; Atalay, M.; Topcu, Z. Cytotoxic Activity of 4′-Hydroxychalcone Derivatives against Jurkat Cells and Their Effects on Mammalian DNA Topoisomerase I. J. Enzym. Inhib. Med. Chem. 2009, 24, 804–807. [Google Scholar] [CrossRef]
- Kim, S.-H.; Lee, E.; Baek, K.H.; Kwon, H.B.; Woo, H.; Lee, E.-S.; Kwon, Y.; Na, Y. Chalcones, Inhibitors for Topoisomerase I and Cathepsin B and L, as Potential Anti-Cancer Agents. Bioorg. Med. Chem. Lett. 2013, 23, 3320–3324. [Google Scholar] [CrossRef]
- Kwon, Y.; Na, Y. Novel Chalcone Derivatives and the Use Thereof. Patent Number KR20130071218 A, 28 June 2013. [Google Scholar]
- Na, Y.; Nam, J.-M. Synthesis and Topoisomerase II Inhibitory and Cytotoxic Activity of Oxiranylmethoxy- and Thiiranylmethoxy-Chalcone Derivatives. Bioorg. Med. Chem. Lett. 2011, 21, 211–214. [Google Scholar] [CrossRef] [PubMed]
- Woo, S.; Jung, J.; Lee, C.; Kwon, Y.; Na, Y. Synthesis of New Xanthone Analogues and Their Biological Activity Test—Cytotoxicity, Topoisomerase II Inhibition, and DNA Cross-Linking Study. Bioorg. Med. Chem. Lett. 2007, 17, 1163–1166. [Google Scholar] [CrossRef] [PubMed]
- Cho, H.-J.; Jung, M.-J.; Kwon, Y.; Na, Y. Oxiranylmethyloxy or Thiiranylmethyloxy-Azaxanthones and -Acridone Analogues as Potential Topoisomerase I Inhibitors. Bioorg. Med. Chem. Lett. 2009, 19, 6766–6769. [Google Scholar] [CrossRef]
- Jeon, K.-H.; Yu, H.-B.; Kwak, S.Y.; Kwon, Y.; Na, Y. Synthesis and Topoisomerases Inhibitory Activity of Heteroaromatic Chalcones. Bioorg. Med. Chem. 2016, 24, 5921–5928. [Google Scholar] [CrossRef]
- Kasetti, A.B.; Singhvi, I.; Nagasuri, R.; Bhandare, R.R.; Shaik, A.B. Thiazole—Chalcone Hybrids as Prospective Antitubercular and Antiproliferative Agents: Design, Synthesis, Biological, Molecular Docking Studies and In Silico ADME Evaluation. Molecules 2021, 26, 2847. [Google Scholar] [CrossRef]
- Santos, M.B.; Pinhanelli, V.C.; Garcia, M.A.R.; Silva, G.; Baek, S.J.; França, S.C.; Fachin, A.L.; Marins, M.; Regasini, L.O. Antiproliferative and Pro-Apoptotic Activities of 2′- and 4′-Aminochalcones against Tumor Canine Cells. Eur. J. Med. Chem. 2017, 138, 884–889. [Google Scholar] [CrossRef]
- Štefanišinová, M.; Tomečková, V.; Kožurková, M.; Ostró, A.; Mareková, M. Study of DNA Interactions with Cyclic Chalcone Derivatives by Spectroscopic Techniques. Spectrochim. Acta Part A Mol. Biomol. Spectrosc. 2011, 81, 666–671. [Google Scholar] [CrossRef]
- Gaur, R.; Mishra, L. Synthesis and Characterization of Ru(II)–DMSO–Cl–Chalcone Complexes: DNA Binding, Nuclease, and Topoisomerase II Inhibitory Activity. Inorg. Chem. 2012, 51, 3059–3070. [Google Scholar] [CrossRef]
- Clarke, M.J. Ruthenium Metallopharmaceuticals. Coord. Chem. Rev. 2003, 236, 209–233. [Google Scholar] [CrossRef]
- Brindell, M.; Kuliś, E.; Elmroth, S.K.C.; Urbańska, K.; Stochel, G. Light-Induced Anticancer Activity of [RuCl2(DMSO)4] Complexes. J. Med. Chem. 2005, 48, 7298–7304. [Google Scholar] [CrossRef]
- Gaur, R.; Mishra, L. Bi-Nuclear Ru(II) Complexes of Bis-Chalcone and Bis-Flavonol: Synthesis, Characterization, Photo Cleavage of DNA and Topoisomerase I Inhibition. RSC Adv. 2013, 3, 12210–12219. [Google Scholar] [CrossRef]
- Konkoľová, E.; Janočková, J.; Perjési, P.; Vašková, J.; Kožurková, M. Selected Ferrocenyl Chalcones as DNA/BSA-Interacting Agents and Inhibitors of DNA Topoisomerase I and II Activity. J. Organomet. Chem. 2018, 861, 1–9. [Google Scholar] [CrossRef]
- Vashisht Gopal, Y.N.; Jayaraju, D.; Kondapi, A.K. Topoisomerase II Poisoning and Antineoplastic Action by DNA-Nonbinding Diacetyl and Dicarboxaldoxime Derivatives of Ferrocene. Arch. Biochem. Biophys. 2000, 376, 229–235. [Google Scholar] [CrossRef]
- Doostmohammadi, A.; Jooya, H.; Ghorbanian, K.; Gohari, S.; Dadashpour, M. Potentials and Future Perspectives of Multi-Target Drugs in Cancer Treatment: The next Generation Anti-Cancer Agents. Cell Commun. Signal. 2024, 22, 228. [Google Scholar] [CrossRef] [PubMed]
- Morphy, R.; Rankovic, Z. Designed Multiple Ligands. Emerg. Drug Discov. Paradigm. J. Med. Chem. 2005, 48, 6523–6543. [Google Scholar] [CrossRef]
- Azéma, J.; Guidetti, B.; Dewelle, J.; Le Calve, B.; Mijatovic, T.; Korolyov, A.; Vaysse, J.; Malet-Martino, M.; Martino, R.; Kiss, R. 7-((4-Substituted)Piperazin-1-Yl) Derivatives of Ciprofloxacin: Synthesis and in Vitro Biological Evaluation as Potential Antitumor Agents. Bioorg. Med. Chem. 2009, 17, 5396–5407. [Google Scholar] [CrossRef]
- Ali, D.M.E.; Aziz, H.A.; Bräse, S.; Al Bahir, A.; Alkhammash, A.; Abuo-Rahma, G.E.-D.A.; Elshamsy, A.M.; Hashem, H.; Abdelmagid, W.M. Unveiling the Anticancer Potential of a New Ciprofloxacin-Chalcone Hybrid as an Inhibitor of Topoisomerases I & II and Apoptotic Inducer. Molecules 2024, 29, 5382. [Google Scholar] [CrossRef]
- Mohammed, H.H.H.; Abd El-Hafeez, A.A.; Ebeid, K.; Mekkawy, A.I.; Abourehab, M.A.S.; Wafa, E.I.; Alhaj-Suliman, S.O.; Salem, A.K.; Ghosh, P.; Abuo-Rahma, G.E.-D.A.; et al. New 1,2,3-Triazole Linked Ciprofloxacin-Chalcones Induce DNA Damage by Inhibiting Human Topoisomerase I & II and Tubulin Polymerization. J. Enzym. Inhib. Med. Chem. 2022, 37, 1346–1363. [Google Scholar] [CrossRef]
- Ducki, S.; Rennison, D.; Woo, M.; Kendall, A.; Chabert, J.F.D.; McGown, A.T.; Lawrence, N.J. Combretastatin-like Chalcones as Inhibitors of Microtubule Polymerization. Part 1: Synthesis and Biological Evaluation of Antivascular Activity. Bioorg. Med. Chem. 2009, 17, 7698–7710. [Google Scholar] [CrossRef]
- Ma, Y.-C.; Wang, Z.-X.; Jin, S.-J.; Zhang, Y.-X.; Hu, G.-Q.; Cui, D.-T.; Wang, J.-S.; Wang, M.; Wang, F.-Q.; Zhao, Z.-J. Dual Inhibition of Topoisomerase II and Tyrosine Kinases by the Novel Bis-Fluoroquinolone Chalcone-Like Derivative HMNE3 in Human Pancreatic Cancer Cells. PLoS ONE 2016, 11, e0162821. [Google Scholar] [CrossRef]
- Liu, Y.; Ding, Y.; Zhao, H.; Wang, R.; Gao, L.; Li, T.; Xie, Y.; Yan, Q.; Wu, S.; Ni, L.; et al. 3,3′-Methylene-Bisfluoroquinolone Derivative Containing Cyclopropylquinoline Ring as Well as Preparation Method and Application of 3,3′-Methylene-Bisfluoroquinolone Derivative. Patent Number CN104370812 A, 25 February 2015. [Google Scholar]
- Banday, A.H.; Kulkarni, V.V.; Hruby, V.J. Design, Synthesis, and Biological and Docking Studies of Novel Epipodophyllotoxin–Chalcone Hybrids as Potential Anticancer Agents. MedChemComm 2015, 6, 94–104. [Google Scholar] [CrossRef]
- Wang, H.; Nie, C.; Luo, M.; Bai, Q.; Yao, Z.; Lv, H.; Chen, B.; Wang, J.; Xu, W.; Wang, S.; et al. Novel GSH-Responsive Prodrugs Derived from Indole-Chalcone and Camptothecin Trigger Apoptosis and Autophagy in Colon Cancer. Bioorg. Chem. 2024, 143, 107056. [Google Scholar] [CrossRef] [PubMed]
- Yan, J.; Chen, J.; Zhang, S.; Hu, J.; Huang, L.; Li, X. Synthesis, Evaluation, and Mechanism Study of Novel Indole-Chalcone Derivatives Exerting Effective Antitumor Activity Through Microtubule Destabilization in Vitro and in Vivo. J. Med. Chem. 2016, 59, 5264–5283. [Google Scholar] [CrossRef]
- Zhou, W.; Zhang, W.; Peng, Y.; Jiang, Z.-H.; Zhang, L.; Du, Z. Design, Synthesis and Anti-Tumor Activity of Novel Benzimidazole-Chalcone Hybrids as Non-Intercalative Topoisomerase II Catalytic Inhibitors. Molecules 2020, 25, 3180. [Google Scholar] [CrossRef]
- Li, P.; Zhang, W.; Jiang, H.; Li, Y.; Dong, C.; Chen, H.; Zhang, K.; Du, Z. Design, Synthesis and Biological Evaluation of Benzimidazole-Rhodanine Conjugates as Potent Topoisomerase II Inhibitors. MedChemComm 2018, 9, 1194–1205. [Google Scholar] [CrossRef]
- Wang, W.; Sun, X.; Sun, D.; Li, S.; Yu, Y.; Yang, T.; Yao, J.; Chen, Z.; Duan, L. Carbazole Aminoalcohols Induce Antiproliferation and Apoptosis of Human Tumor Cells by Inhibiting Topoisomerase I. ChemMedChem 2016, 11, 2675–2681. [Google Scholar] [CrossRef]
- Li, P.-H.; Jiang, H.; Zhang, W.-J.; Li, Y.-L.; Zhao, M.-C.; Zhou, W.; Zhang, L.-Y.; Tang, Y.-D.; Dong, C.-Z.; Huang, Z.-S.; et al. Synthesis of Carbazole Derivatives Containing Chalcone Analogs as Non-Intercalative Topoisomerase II Catalytic Inhibitors and Apoptosis Inducers. Eur. J. Med. Chem. 2018, 145, 498–510. [Google Scholar] [CrossRef]
- Luo, B.; Song, X. A Comprehensive Overview of β-Carbolines and Its Derivatives as Anticancer Agents. Eur. J. Med. Chem. 2021, 224, 113688. [Google Scholar] [CrossRef]
- Kamal, A.; Srinivasulu, V.; Nayak, V.L.; Sathish, M.; Shankaraiah, N.; Bagul, C.; Reddy, N.V.S.; Rangaraj, N.; Nagesh, N. Design and Synthesis of C3-Pyrazole/Chalcone-Linked Beta-Carboline Hybrids: Antitopoisomerase I, DNA-Interactive, and Apoptosis-Inducing Anticancer Agents. ChemMedChem 2014, 9, 2084–2098. [Google Scholar] [CrossRef]
- Chen, Z.; Cao, R.; Shi, B.; Guo, L.; Sun, J.; Ma, Q.; Fan, W.; Song, H. Synthesis and Biological Evaluation of 1,9-Disubstituted β-Carbolines as Potent DNA Intercalating and Cytotoxic Agents. Eur. J. Med. Chem. 2011, 46, 5127–5137. [Google Scholar] [CrossRef]
- Timbilla, A.A.; Vrabec, R.; Havelek, R.; Rezacova, M.; Chlebek, J.; Blunden, G.; Cahlikova, L. The Anticancer Properties of Harmine and Its Derivatives. Phytochem. Rev. 2024, 24, 1535–1564. [Google Scholar] [CrossRef]
- Guo, Y.-L.; Yu, J.-W.; Cao, Y.; Cheng, K.-X.; Dong-Zhi, S.-N.-M.; Zhang, Y.-F.; Ren, Q.-J.; Yin, Y.; Li, C.-L. Design, Synthesis, and Biological Evaluation of Harmine Derivatives as Topoisomerase I Inhibitors for Cancer Treatment. Eur. J. Med. Chem. 2024, 265, 116061. [Google Scholar] [CrossRef] [PubMed]
- Via, L.D.; Gia, O.; Chiarelotto, G.; Ferlin, M.G. DNA-Targeting Pyrroloquinoline-Linked Butenone and Chalcones: Synthesis and Biological Evaluation. Eur. J. Med. Chem. 2009, 44, 2854–2861. [Google Scholar] [CrossRef]
- Ferlin, M.G.; Dalla Via, L.; Gia, O.M. Synthesis and Antiproliferative Activity of Some New DNA-Targeted Alkylating Pyrroloquinolines. Bioorg. Med. Chem. 2004, 12, 771–777. [Google Scholar] [CrossRef] [PubMed]
- Rangaswamy, S.; Sreenivasulu, R.; Bhuvan Tej, M.; Ramesh Babu, V.; Kumar Kapavarapu, R.; Kumar Abbaraju, V.D.N. Design and Synthesis of Oxazole-Linked Pyrazole Chalcone Derivatives: In Vitro Anticancer Evaluation and In Silico Molecular Docking Studies. ChemistrySelect 2023, 8, e202302395. [Google Scholar] [CrossRef]
- Kulkarni, S.; Kaur, K.; Jaitak, V. Recent Developments in Oxazole Derivatives as Anticancer Agents: Review on Synthetic Strategies, Mechanism of Action and SAR Studies. Anti-Cancer Agents Med. Chem. 2022, 22, 1859–1882. [Google Scholar] [CrossRef]
Disclaimer/Publisher’s Note: The statements, opinions and data contained in all publications are solely those of the individual author(s) and contributor(s) and not of MDPI and/or the editor(s). MDPI and/or the editor(s) disclaim responsibility for any injury to people or property resulting from any ideas, methods, instructions or products referred to in the content. |
© 2025 by the authors. Licensee MDPI, Basel, Switzerland. This article is an open access article distributed under the terms and conditions of the Creative Commons Attribution (CC BY) license (https://creativecommons.org/licenses/by/4.0/).











































