Molecular-Simulation–Inspired Synthesis of [6]-Prismane via Photoisomerisation of Octafluoro[2.2]paracyclophane
Abstract
1. Introduction
2. Results
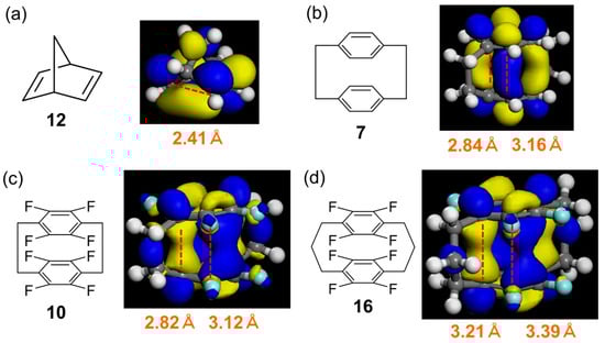
2.1. Reaction Design
2.2. Photoreaction of 10
2.3. Isolation and Characterisation of 11
3. Discussion
4. Materials and Methods
4.1. Materials and Measurements
4.2. General Procedure for the Photoreaction of 10
4.3. Calculation Environments
4.4. General Procedure for Optimising Functionalised [6]-Prismane Derivatives Using MM2 Calculations
4.5. General Procedure for MOPAC PM7 Calculations
4.6. General Procedure for HOMO–LUMO Calculations
5. Conclusions
Supplementary Materials
Author Contributions
Funding
Institutional Review Board Statement
Informed Consent Statement
Data Availability Statement
Acknowledgments
Conflicts of Interest
References
- Hopf, H. Classics in Hydrocarbon Chemistry: Syntheses, Concepts, Perspectives; Wiley-VCH: Weinheim, Germany, 2000. [Google Scholar]
- Dodziuk, H. Strained Hydrocarbons: Beyond the van’t Hoff and Le Bel Hypothesis; Wiley-VCH: Weinheim, Germany, 2009. [Google Scholar]
- Katz, T.J.; Acton, N. Synthesis of prismane. J. Am. Chem. Soc. 1973, 95, 2738–2739. [Google Scholar] [CrossRef]
- Eaton, P.E.; Cole, T.W., Jr. The cubane system. J. Am. Chem. Soc. 1964, 86, 962–964. [Google Scholar] [CrossRef]
- Eaton, P.E.; Or, Y.S.; Branca, S.J. Pentaprismane. J. Am. Chem. Soc. 1981, 103, 2134–2136. [Google Scholar] [CrossRef]
- Srinivasan, R.; Hu, Y.; Farona, M.F.; Zarate, E.A.; Youngs, W.J. Crystal structure of a highly strained substituted prismane. J. Org. Chem. 1987, 52, 1167–1169. [Google Scholar] [CrossRef]
- Fleischer, E.B. X-ray structure determination of cubane. J. Am. Chem. Soc. 1964, 86, 3889–3890. [Google Scholar] [CrossRef]
- Biegasiewicz, K.F.; Griffiths, J.R.; Savage, G.P.; Tsanaktsidis, J.; Priefer, R. Cubane: 50 years later. Chem. Rev. 2015, 115, 6719–6745. [Google Scholar] [CrossRef] [PubMed]
- Mehta, G.; Padma, S. Secohexaprismane. J. Am. Chem. Soc. 1987, 109, 2212–2213. [Google Scholar] [CrossRef]
- Mehta, G.; Padma, S. Synthetic studies towards prismanes: Seco-[6]-prismane. Tetrahedron Lett. 1991, 47, 7783–7806. [Google Scholar] [CrossRef]
- Schleyer, P.v.R.; Kost, D. A comparison of the energies of double bonds of second-row elements with carbon and silicon. J. Am. Chem. Soc. 1988, 110, 2105–2109. [Google Scholar] [CrossRef]
- Fitzgibbons, T.C.; Guthrie, M.; Xu, E.; Crespi, V.H.; Davidowski, S.K.; Cody, G.D.; Alem, N.; Badding, J.V. Benzene-derived carbon nanothreads. Nat. Mater. 2015, 14, 43–47. [Google Scholar] [CrossRef]
- Roman, R.E.; Kwan, K.; Cranford, S.W. Mechanical properties and defect sensitivity of diamond nanothreads. Nano Lett. 2015, 15, 1585–1590. [Google Scholar] [CrossRef] [PubMed]
- Zhan, H.; Zhang, G.; Tan, V.B.C.; Cheng, Y.; Bell, J.M.; Zhang, Y.-W.; Gu, Y. From brittle to ductile: A structure dependent ductility of diamond nanothread. Nanoscale 2016, 8, 11177–11184. [Google Scholar] [CrossRef] [PubMed]
- Ohno, K.; Satoh, H.; Iwamoto, T.; Tokoyama, H.; Yamakado, H. Exploration of carbon allotropes with four-membered ring structures on quantum chemical potential energy surfaces. J. Comput. Chem. 2019, 40, 14–28. [Google Scholar] [CrossRef] [PubMed]
- Ohno, K.; Satoh, H.; Iwamoto, T. Quantum chemical exploration of dimeric forms of polycyclic aromatic hydrocarbons, naphthalene, perylene, and coronene. Chem. Phys. Lett. 2019, 716, 147–154. [Google Scholar] [CrossRef]
- Ohno, K.; Satoh, H.; Iwamoto, T. Quantum chemical exploration of new π-electron systems: Capsule-formed dimers of polycyclic aromatic hydrocarbons. Chem. Phys. Lett. 2019, 725, 59–65. [Google Scholar] [CrossRef]
- Ohno, K.; Satoh, H.; Iwamoto, T. Quantum chemical exploration of polymerized forms of polycyclic aromatic hydrocarbons: D6h tetramer and polymer of coronene. Chem. Phys. Lett. 2020, 747, 137366. [Google Scholar] [CrossRef]
- Helgeson, R.C.; Cram, D.J. Macro Rings. XXXII. Photochemistry of [2.2]paracyclophane. J. Am. Chem. Soc. 1966, 88, 509–515. [Google Scholar] [CrossRef]
- Wasserman, H.H.; Keehn, P.M. Dibenzoequinene. A novel heptacyclic hydrocarbon from the photolysis of [2.2]paracyclonaphthane. J. Am. Chem. Soc. 1967, 89, 2770–2772. [Google Scholar] [CrossRef]
- Nogita, R.; Matohara, K.; Yamaji, M.; Oda, T.; Sakamoto, Y.; Kumagai, T.; Lim, C.; Yasutake, M.; Shimo, T.; Jefford, C.W.; et al. Photochemical study of [33](1,3,5)cyclophane and emission spectral properties of [3n]cyclophanes (n = 2−6). J. Am. Chem. Soc. 2004, 126, 13732–13741. [Google Scholar] [CrossRef] [PubMed]
- Disch, R.L.; Schulman, J.M. Ab initio heats of formation of medium-sized hydrocarbons. 7. The [n] prismanes. J. Am. Chem. Soc. 1988, 110, 2102–2105. [Google Scholar] [CrossRef]
- Minyaev, R.M.; Minkin, V.I.; Gribanova, T.N.; Starikov, A.G.; Hoffmann, R. Poly[n]prismanes: A family of stable cage structures with half-planar carbon centers. J. Org. Chem. 2003, 68, 8588–8594. [Google Scholar] [CrossRef] [PubMed]
- Gribanova, T.N.; Minyaev, R.M.; Minkin, V.I. Structural stability of [n]-prismanes and [n]-asteranes: A quantum-chemical study. Doklady Chem. 2006, 411, 193–196. [Google Scholar] [CrossRef]
- Pour, N.; Altus, E.; Basch, H.; Hoz, S. The origin of the auxetic effect in prismanes: Bowtie structure and the mechanical properties of biprismanes. J. Phys. Chem. C 2009, 113, 3467–3470. [Google Scholar] [CrossRef]
- Pour, N.; Altus, E.; Basch, H.; Hoz, S. Silicon vs carbon in prismanes: Reversal of a mechanical property by fluorine substitution. J. Phys. Chem. C 2010, 114, 10386–10389. [Google Scholar] [CrossRef]
- Equbal, A.; Srinivasan, S.; Sathyamurthy, N. Stabilisation of the [6]-prismane structure by silicon substitution. J. Chem. Sci. 2017, 129, 911–917. [Google Scholar] [CrossRef]
- Kabakoff, D.S.; Bünzli, J.-C.G.; Oth, J.F.M.; Hammond, W.B.; Berson, J.A. Enthalpy and kinetics of isomerization of quadricyclane to norbornadiene. Strain energy of quadricyclane. J. Am. Chem. Soc. 1975, 97, 1510–1512. [Google Scholar] [CrossRef]
- Fife, D.J.; Moore, W.M.; Morse, K.W. Photosensitized isomerization of norbornadiene to quadricyclane with (arylphosphine)copper(I) halides. J. Am. Chem. Soc. 1985, 107, 7077–7083. [Google Scholar] [CrossRef]
- Reich, H.J. Fluorine NMR Data, 19F Shifts δ-500 to -100. 2020. Available online: https://www.chem.wisc.edu/areas/reich/nmr/11-f-data.htm (accessed on 5 February 2024).
- Olah, G.A.; Li, X.-Y.; Wang, Q.; Prakash, G.K.S. Poly-4-vinylpyridinium poly(hydrogen fluoride): A solid hydrogen fluoride equivalent reagent. Synthesis 1993, 7, 693–699. [Google Scholar] [CrossRef]
- Schmidt, G.M.J. Solid State Photochemistry; Verlag Chemie: Weinheim, Germany, 1976. [Google Scholar]
- Ramamurthy, V.; Sivaguru, J. Supramolecular photochemistry as a potential synthetic tool: Photocycloaddition. Chem. Rev. 2016, 116, 9914–9993. [Google Scholar] [CrossRef]
- Zhang, M.; Eaton, P.E.; Gilardi, R. Hepta- and octanitrocubanes. Angew. Chem. Int. Ed. 2000, 39, 401–404. [Google Scholar] [CrossRef]
- Yasuhide, I.; Shota, Y.; Junko, A.; Tatsuhiko, A.; Yuki, H.; Kentaro, T.; Shigeki, M.; Kari, R.; Makoto, F. Corrigendum: X-ray analysis on the nanogram to microgram scale using porous complexes. Nature 2013, 495, 461–466. [Google Scholar]
- Yasuhide, I.; Tomoya, U.; Manabu, H.; Makoto, F. Structure determination of microbial metabolites by the crystalline sponge method. Chem. Sci. 2016, 7, 3910–3913. [Google Scholar]
- Takashi, M.; Ryosuke, N.; Akihito, Y.; Kunihiko, N. Development of a structure determination method using a multidrug-resistance regulator protein as a framework. Biochem. Biophys. Res. Commun. 2019, 15, 402–408. [Google Scholar]
- Zhang, X.X.; Li, J.; Niu, Y.Y. A review of crystalline multibridged cyclophane cages: Synthesis, their conformational behavior, and properties. Molecules 2022, 27, 7083. [Google Scholar] [CrossRef] [PubMed]
- Mirosław, J. Determining repulsion in cyclophane cages. Molecules 2022, 27, 3969. [Google Scholar]
- Masafumi, S.; Midori, A.; Yuki, Y.; Kenji, K.; Masahiro, H.; Kyoko, N.; Takashi, O. Electron in a cube: Synthesis and characterization of perfluorocubane as an electron acceptor. Science 2022, 377, 756–759. [Google Scholar]
- Hiroki, S.; Motonobu, K.; Masafumi, S.; Taishi, N.; Youhei, T.; Nobuhiko, M.; Takuya, K.; Akiko, Y.; Yasutomo, S.; Kenichiro, I. Perfluorocycloparaphenylenes. Nat. Commun. 2022, 13, 3713–3719. [Google Scholar]
- Stewart, J.P. MOPAC: MOPAC2016, version: 16.093W; Stewart Computational Chemistry: Colorado Springs, CO, USA, 2007; Available online: http://OpenMOPAC.net (accessed on 5 February 2024).
- BIOVIA Materials Studio; ver. 7.0; Dassault Systèmes: San Diego, CA, USA, 2018.





Disclaimer/Publisher’s Note: The statements, opinions and data contained in all publications are solely those of the individual author(s) and contributor(s) and not of MDPI and/or the editor(s). MDPI and/or the editor(s) disclaim responsibility for any injury to people or property resulting from any ideas, methods, instructions or products referred to in the content. |
© 2024 by the authors. Licensee MDPI, Basel, Switzerland. This article is an open access article distributed under the terms and conditions of the Creative Commons Attribution (CC BY) license (https://creativecommons.org/licenses/by/4.0/).
Share and Cite
Hosokawa, Y.; Kajiya, S.; Ohshima, A.; Kawata, S.; Ishida, N.; Usuki, A. Molecular-Simulation–Inspired Synthesis of [6]-Prismane via Photoisomerisation of Octafluoro[2.2]paracyclophane. Molecules 2024, 29, 783. https://doi.org/10.3390/molecules29040783
Hosokawa Y, Kajiya S, Ohshima A, Kawata S, Ishida N, Usuki A. Molecular-Simulation–Inspired Synthesis of [6]-Prismane via Photoisomerisation of Octafluoro[2.2]paracyclophane. Molecules. 2024; 29(4):783. https://doi.org/10.3390/molecules29040783
Chicago/Turabian StyleHosokawa, Yoichi, Shuji Kajiya, Ayako Ohshima, Satoshi Kawata, Nobuhiro Ishida, and Arimitsu Usuki. 2024. "Molecular-Simulation–Inspired Synthesis of [6]-Prismane via Photoisomerisation of Octafluoro[2.2]paracyclophane" Molecules 29, no. 4: 783. https://doi.org/10.3390/molecules29040783
APA StyleHosokawa, Y., Kajiya, S., Ohshima, A., Kawata, S., Ishida, N., & Usuki, A. (2024). Molecular-Simulation–Inspired Synthesis of [6]-Prismane via Photoisomerisation of Octafluoro[2.2]paracyclophane. Molecules, 29(4), 783. https://doi.org/10.3390/molecules29040783

