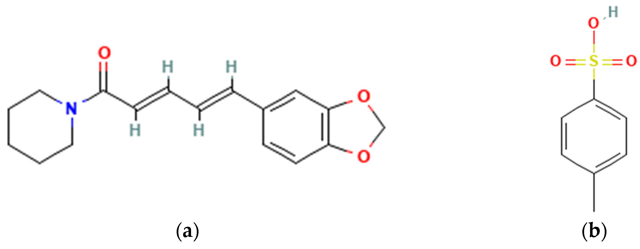
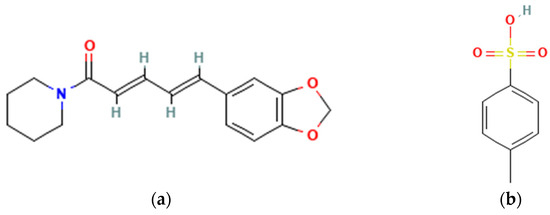
Development of a New Salt of Piperine with Toluene Sulfonic Acid and Its Anti-Inflammation Effect In Vivo
Abstract
1. Introduction
2. Results
2.1. Molar Ratio Screening
2.2. PPN–TSA Single Crystal
2.3. Solid-State Characterization
2.4. Structural Study
2.4.1. FTIR
2.4.2. SCXRD
2.5. Solubility Data
2.6. Anti-Inflammatory Activities
3. Discussion
4. Materials and Methods
4.1. Materials
4.2. Methods
4.2.1. Molar Ratio Determination
4.2.2. Single Crystal Preparation
4.2.3. Upscaling of the Multicomponent by Wet Grinding
Salt Scaling Up
4.2.4. Solid-State Characterization and Structure Determination
- Microscope Observation
- Electrothermal Analysis
- Differential Scanning Calorimetry (DSC)
- Powder X-ray Diffractometry (PXRD)
- Fourier Transform Infrared (FTIR) Analysis
- Single Crystal X-ray Diffractometry (SCXRD)
4.2.5. UV Spectrophotometry Derivative Method Development
4.2.6. Solubility Testing
4.2.7. Anti-Inflammatory Activity
- Animals
- Carrageenan-induced paw inflammation
4.3. Statistics
5. Conclusions
Supplementary Materials
Author Contributions
Funding
Institutional Review Board Statement
Informed Consent Statement
Data Availability Statement
Conflicts of Interest
References
- Chow, Y.Y.; Chin, K.Y. The role of inflammation in the pathogenesis of osteoarthritis. Mediat. Inflamm. 2020, 2020, 8293921. [Google Scholar] [CrossRef] [PubMed]
- Ali, K.A.; Maity, A.; Roy, S.D.; Pramanik, S.D.; Das, P.P.; Shaharyar, M.A. Insight into the Mechanism of Steroidal and Non-Steroidal Anti-Inflammatory Drugs; Academic Press: Cambridge, MA, USA, 2023; pp. 1–94. [Google Scholar]
- Laveti, D.; Kumar, M.; Hemalatha, R.; Sistla, R.; Gm Naidu, V.; Talla, V.; Nagpal, R. Anti-inflammatory treatments for chronic diseases: A review. Inflamm. Allergy-Drug Targets Former. Curr. Drug Targets-Inflamm. Allergy Discontin. 2013, 12, 349–361. [Google Scholar] [CrossRef] [PubMed]
- Bindu, S.; Mazumder, S.; Bandyopadhyay, U. Non-steroidal anti-inflammatory drugs (NSAIDs) and organ damage: A current perspective. Biochem. Pharmacol. 2020, 180, 114147. [Google Scholar] [CrossRef] [PubMed]
- Ying, X.; Chen, X.; Cheng, S.; Shen, Y.; Peng, L.; zi Xu, H. Piperine inhibits IL-β induced expression of inflammatory mediators in human osteoarthritis chondrocyte. Int. Immunopharmacol. 2013, 17, 293–299. [Google Scholar] [CrossRef]
- Tiwari, A.; Mahadik, K.R.; Gabhe, S.Y. Piperine: A comprehensive review of methods of isolation, purification, and biological properties. Med. Drug Discov. 2020, 7, 100027. [Google Scholar] [CrossRef]
- Dhargawe, N.; Mahakalkar, S.; Mohod, B.; Raj, J.P. Evaluation of Analgesic, Anti-Inflammatory, and Antipyretic Activity of Piperine: An Experimental Study. Pharmacogn. Res. 2021, 12, 176–180. [Google Scholar]
- Faruqui, A.A. Curcumin and piperine: A novel therapy in the management of osteoarthritis in Indian patient. Pac. J. Med. Sci. 2018, 18, 36–43. [Google Scholar]
- Murunikkara, V.; Pragasam, S.J.; Kodandaraman, G.; Sabina, E.P.; Rasool, M. Anti-inflammatory effect of piperine in adjuvant-induced arthritic rats—A biochemical approach. Inflammation 2012, 35, 1348–1356. [Google Scholar] [CrossRef]
- Gorgani, L.; Mohammadi, M.; Najafpour, G.D.; Nikzad, M. Piperine—The bioactive compound of black pepper: From isolation to medicinal formulations. Compr. Rev. Food Sci. Food Saf. 2017, 16, 124–140. [Google Scholar] [CrossRef]
- Salsabila, H.U.L.W.A.; Fitriani, L.I.L.I.; Zaini, E.R.I.Z.A.L. Recent strategies for improving solubility and oral bioavailability of piperine. Int. J. Appl. Pharm. 2021, 13, 31–39. [Google Scholar] [CrossRef]
- Nugrahani, I.; Parwati, R.D. Challenges and progress in nonsteroidal anti-inflammatory drugs co-crystal development. Molecules 2021, 26, 4185. [Google Scholar] [CrossRef] [PubMed]
- Zaini, E.; Afriyani; Fitriani, L.; Ismed, F.; Horikawa, A.; Uekusa, H. Improved solubility and dissolution rates in novel multicomponent system crystals of piperine with succinic acid. Sci. Pharm. 2020, 88, 21. [Google Scholar] [CrossRef]
- Zaini, E.; Riska, D.; Oktavia, M.D.; Ismed, F.; Fitriani, L. Improving Dissolution rate of piperine by multicomponent system crystal formation with saccharin. Res. J. Pharm. Technol. 2020, 13, 1928–1932. [Google Scholar] [CrossRef]
- Sartinah, A.; Uekusa, H.; Abekura, Y.; Ibrahim, S.; Anggadiredja, K.; Nugrahani, I. Piperine-hydroxybenzoate as phytochemistry antiosteoarthritis combination: Structural, solubility, and in vivo antiinflammatory study. Heliyon 2024, 10, e31548. [Google Scholar] [CrossRef] [PubMed]
- da Silva, C.C.; Guimarães, F.F.; Ribeiro, L.; Martins, F.T. Salt or cocrystal of salt? Probing the nature of multicomponent crystal forms with infrared spectroscopy. Spectrochim. Acta A Mol. Biomol. Spectrosc. 2016, 167, 89–95. [Google Scholar] [CrossRef] [PubMed]
- National Center for Biotechnology Information. PubChem Compound Summary for Piperine. Available online: https://pubchem.ncbi.nlm.nih.gov/compound/Piperine (accessed on 1 July 2023).
- National Center for Biotechnology Information. PubChem Compound Summary for p-Toluenesulfonic-Acid. Available online: https://pubchem.ncbi.nlm.nih.gov/compound/p-Toluenesulfonic-acid (accessed on 1 July 2023).
- Baghernejad, B. Application of p-toluenesulfonic Acid (PTSA) in Organic Synthesis. Curr. Org. Chem. 2011, 15, 3091–3097. [Google Scholar] [CrossRef]
- Ungur, D.T.; Santiso-Quinones, G.; Pop, M.M.; Tamas, T.L.; Guguta, C.; Stam, D.; Mija, A.; Iordache, C.A. Febuxostat–p-Toluenesulfonic Acid Multi-Component Crystal: Characterization, Crystal Growth and Elucidation of the Salt/Co-Crystal Nature. Crystals 2023, 13, 836. [Google Scholar] [CrossRef]
- Gorgani, L.; Mohammadi, M.; Najafpour, G.D.; Nikzad, M. Sequential microwave-ultrasound-assisted extraction for isolation of piperine from black pepper (Piper nigrum L.). Food Bioprocess Technol. 2017, 10, 2199–2207. [Google Scholar] [CrossRef]
- Kusumorini, N.; Nugroho, A.K.; Pramono, S.; Martien, R. Development of new isolation and quantification method of Piperine from white pepper seeds (Piper nigrum L.) using a validated HPLC. Indones. J. Pharm. 2021, 32, 158–165. [Google Scholar] [CrossRef]
- Elder, D.P.; Holm, R.; De Diego, H.L. Use of pharmaceutical salts and cocrystals to address the issue of poor solubility. Int. J. Pharm. 2013, 453, 88–100. [Google Scholar] [CrossRef]
- Solares-Briones, M.; Coyote-Dotor, G.; Páez-Franco, J.C.; Zermeño-Ortega, M.R.; de la O Contreras, C.M.; Canseco-González, D.; Avila-Sorossa, A.; Morales-Morales, D.; Germán-Acacio, J.M. Mechanochemistry: A green approach in the preparation of pharmaceutical cocrystals. Pharmaceutics 2021, 13, 790. [Google Scholar] [CrossRef] [PubMed]
- Gong, W.; Mondal, P.K.; Ahmadi, S.; Wu, Y.; Rohani, S. Cocrystals, salts, and salt-solvates of olanzapine; selection of coformers and improved solubility. Int. J. Pharm. 2021, 608, 121063. [Google Scholar] [CrossRef] [PubMed]
- Diniz, L.F.; Carvalho, P.S., Jr.; Pena, S.A.; Gonçalves, J.E.; Souza, M.A.; de Souza Filho, J.D.; Bomfim Filho, L.F.O.; Franco, C.H.J.; Diniz, R.; Fernandes, C. Enhancing the solubility and permeability of the diuretic drug furosemide via multicomponent crystal forms. Int. J. Pharm. 2020, 587, 119694. [Google Scholar] [CrossRef] [PubMed]
- Xing, G.; Bassanetti, I.; Ben, T.; Bracco, S.; Sozzani, P.; Marchio, L.; Comotti, A. Multifunctional organosulfonate anions self-assembled with organic cations by charge-assisted hydrogen bonds and the cooperation of water. Cryst. Growth Des. 2018, 18, 2082–2092. [Google Scholar] [CrossRef]
- Chaudhary, A.; Nagaich, U.; Gulati, N.; Sharma, V.K.; Khosa, R.L. Enhancement of solubilization and bioavailability of poorly soluble drugs by physical and chemical modifications: A recent review. J. Adv. Pharm. Educ. Res. 2012, 2, 32–67. [Google Scholar]
- Widyarini, S.; Akrom, A.M.; Paryuni, A.D. Carrageenan-Induced Acute Inflammation on Back-Skin of Mice: Histopathological Features, Number of Inflammatory Cells, and Expression of COX-2, COX-1, and IL-6. World’s Vet. J. 2023, 13, 520–530. [Google Scholar] [CrossRef]
- Wicaksono, Y.; Barikah, K.Z.A.; Della Yudatama, A.; Maulia, H.; Setyawan, D. Increasing the Solubility and Anti-Inflammatory Activity of Curcumin by Cocrystallization. Sci. Technol. Indones. 2023, 8, 501–508. [Google Scholar] [CrossRef]
- Ma, X.Q.; Zhuang, C.; Wang, B.C.; Huang, Y.F.; Chen, Q.; Lin, N. Cocrystal of apigenin with higher solubility, enhanced oral bioavailability, and anti-inflammatory effect. Cryst. Growth Des. 2019, 19, 5531–5537. [Google Scholar] [CrossRef]
- Banks, W.A. From blood–brain barrier to blood–brain interface: New opportunities for CNS drug delivery. Nat. Rev. Drug Discov. 2016, 15, 275–292. [Google Scholar] [CrossRef]
- Haq, I.U.; Imran, M.; Nadeem, M.; Tufail, T.; Gondal, T.A.; Mubarak, M.S. Piperine: A review of its biological effects. Phytother. Res. 2021, 35, 680–700. [Google Scholar] [CrossRef]
- Nugrahani, I.; Laksana, A.N.; Uekusa, H.; Oyama, H. New organic salt from levofloxacin-citric acid: What is the impact on the stability and antibiotic potency? Molecules 2022, 27, 2166. [Google Scholar] [CrossRef] [PubMed]
- Abd-Elghany, M.; Klapötke, T.M. A review on differential scanning calorimetry technique and its importance in the field of energetic materials. Phys. Sci. Rev. 2018, 3, 20170103. [Google Scholar] [CrossRef]
- Nugrahani, I.; Utami, D.; Ibrahim, S.; Nugraha, Y.P.; Uekusa, H. Zwitterionic cocrystal of diclofenac and L-proline: Structure determination, solubility, kinetics of cocrystallization, and stability study. Eur. J. Pharm. Sci. 2018, 117, 168–176. [Google Scholar] [CrossRef] [PubMed]
- Sheldrick, G.M. SHELXT–Integrated space-group and crystal-structure determination. Acta Crystallogr. Sect. A Found. Adv. 2015, A71, 3–8. [Google Scholar] [CrossRef] [PubMed]
- Sheldrick, G.M. Crystal structure refinement with SHELXL. Acta Crystallogr. Sect. C Struct. Chem. 2015, C71, 3–8. [Google Scholar] [CrossRef] [PubMed]
- Nugrahani, I.; Kumalasari, R.A.; Auli, W.N.; Horikawa, A.; Uekusa, H. Salt cocrystal of diclofenac sodium-l-proline: Structural, pseudopolymorphism, and pharmaceutics performance study. Pharmaceutics 2020, 12, 690. [Google Scholar] [CrossRef]
- Ekiert, R.; Krzek, J. Determination of azole antifungal medicines using zero-order and derivative UV spectrophotometry. Acta Poloniae Pharm. Drug Res. 2009, 66, 19–24. [Google Scholar]
- Putra, O.D.; Umeda, D.; Nugraha, Y.P.; Furuishi, T.; Nagase, H.; Fukuzawa, K.; Uekusa, H.; Yonemochi, E. Solubility improvement of epalrestat by layered structure formation via cocrystallization. Cryst. Eng. Comm. 2017, 19, 2614–2622. [Google Scholar] [CrossRef]
- Ziyan, L.; Yongmei, Z.; Nan, Z.; Ning, T.; Baolin, L. Evaluation of the anti-inflammatory activity of luteolin in experimental animal models. Planta Med. 2007, 73, 221–226. [Google Scholar] [CrossRef]











Disclaimer/Publisher’s Note: The statements, opinions and data contained in all publications are solely those of the individual author(s) and contributor(s) and not of MDPI and/or the editor(s). MDPI and/or the editor(s) disclaim responsibility for any injury to people or property resulting from any ideas, methods, instructions or products referred to in the content. |
© 2024 by the authors. Licensee MDPI, Basel, Switzerland. This article is an open access article distributed under the terms and conditions of the Creative Commons Attribution (CC BY) license (https://creativecommons.org/licenses/by/4.0/).
Share and Cite
Nugrahani, I.; Sartinah, A.; Uekusa, H.; Abekura, Y.; Ibrahim, S.; Anggadiredja, K. Development of a New Salt of Piperine with Toluene Sulfonic Acid and Its Anti-Inflammation Effect In Vivo. Molecules 2024, 29, 5631. https://doi.org/10.3390/molecules29235631
Nugrahani I, Sartinah A, Uekusa H, Abekura Y, Ibrahim S, Anggadiredja K. Development of a New Salt of Piperine with Toluene Sulfonic Acid and Its Anti-Inflammation Effect In Vivo. Molecules. 2024; 29(23):5631. https://doi.org/10.3390/molecules29235631
Chicago/Turabian StyleNugrahani, Ilma, Ari Sartinah, Hidehiro Uekusa, Yuto Abekura, Slamet Ibrahim, and Kusnandar Anggadiredja. 2024. "Development of a New Salt of Piperine with Toluene Sulfonic Acid and Its Anti-Inflammation Effect In Vivo" Molecules 29, no. 23: 5631. https://doi.org/10.3390/molecules29235631
APA StyleNugrahani, I., Sartinah, A., Uekusa, H., Abekura, Y., Ibrahim, S., & Anggadiredja, K. (2024). Development of a New Salt of Piperine with Toluene Sulfonic Acid and Its Anti-Inflammation Effect In Vivo. Molecules, 29(23), 5631. https://doi.org/10.3390/molecules29235631

