Abstract
Melanoma is a malignant neoplasm of melanocytes in the skin, and its occurrence is increasing annually. Plant-based products contain active compounds with low toxicity and are accessible alternatives for melanoma cancer treatment. The biotechnology approach for obtaining plant-based products provides continuity and allows the high-yield production of phytochemically uniform biomass. The callus biomass of Eryngium planum L. and Lychnis flos-cuculi L. was induced on Murashige and Skoog (MS) medium supplemented with growth regulators. A combination of 3.0 mg/L of 3,6-dichloro-2-methoxybenzoic acid (dicamba) and 0.3 mg/L of 1-phenyl-3-(1,2,3-thiadiazol-5-yl)urea—(thidiazuron) was used to obtain E. planum callus. Meanwhile, the callus of L. flos-cuculi was cultivated on MS medium with 2.0 mg/L of 2,4-dichlorophenoxyacetic acid (2,4-D). Methanolic extracts (EpME and LFcME), including 40% MeOH fractions (Ep40MF and LFc40MF) and 80% MeOH fractions (Ep80MF and LFc80MF), of E. planum and L. flos-cuculi cell biomass were prepared. Their cytotoxicity activity was assessed in human fibroblast cells (MRC-5) and human melanoma cells (MeWo) by direct cell counting and 3-[4,5-dimethylthiazol-2-yl]-2,5 diphenyl tetrazolium bromide (MTT) assay. Qualitative analyses using thin-layer chromatography and UPLC-HRMS/MS chromatograms showed the presence of phenolic acids and saponins within the extracts and fractions of both cell biomasses. LFc80MF and Ep80MF showed the strongest toxicity against the MeWo cell line, with IC50 values of 47 ± 0.5 and 52 ± 4 μg/mL after 72 h of treatment. EpME and LFcME had IC50 values of 103 ± 4 and 147 ± 4 µg/mL, respectively. On the other hand, Ep40MF and LFc40MF were less toxic against the MeWo cell line compared to the extracts and 80% MeOH fractions, with IC50 values of 145 ± 10 and 172 ± 7 µg/mL. This study suggests that the obtained extracts and fractions of E. planum and L. flos-cuculi cell biomass potentially possess significant cytotoxic activity against MeWo cells, which work in a time and dose-dependent manner. Although the extracts and 80% MeOH fractions were more potent, the 40% MeOH was shown to be more selective against the MeWo than the control MRC-5 cells.
1. Introduction
Melanoma is a malignant neoplasm of melanocytes commonly found in the skin and has the worst prognosis among skin cancers [1]. The incidence of melanoma cancer is increasing annually [2]. Melanoma of the skin climbed up from the 19th position in 2020 to the 17th position in 2022 among the most common cancer cases worldwide, as reported by the GLOBOCAN [3,4]. In the United States (1990–2019), the incidence and prevalence of melanoma increased by 4.4 (from 12.6 to 17.0) and 38.5 (from 99.5 to 138) per 100,000 population, respectively. Fortunately, the mortality rates have gradually decreased over the past 15 years [5]. Similarly, the incidence rate of melanoma is about <25 cases per 100,000 individuals in Europe [6]. Further, a study conducted in Poland between 2000 and 2020 calculated that the mortality due to skin melanoma increased from 3.60 to 4.03 per 100,000 people [1]. The available melanoma treatments range from conventional excisional surgery and chemotherapy to targeted systemic immunotherapy treatments or the combination of treatments (BRAF inhibitor, MEK inhibitor, anti-PD-1 monoclonal antibody, and anti-CTLA-4 monoclonal antibody) [7,8]. However, chemoresistance and adverse side effects that could cause the cancer to relapse are significant problems associated with these treatments [9]. Therefore, alternatives for melanoma cancer treatment without profound side effects and which are accessible to patients are needed.
Plant-based products (extracts or compounds) have been proven to be valuable resources against melanoma diseases, to be less toxic for the human body, and to improve patients’ quality of life [9]. The n-hexane extract of Eryngium caucasicum Trauatv. and its fraction have potential against murine melanoma cell lines (B16F10) through apoptosis induction and the ethanol extract of Hammada scoparia (Pomel) Iljin. could inhibit melanogenesis in murine melanoma cell lines (B16) [10,11]. Furthermore, scientific reports showed that single natural compounds, such as curcumin and betulinic acid, worked against human melanoma cell lines (A375 and C8161) via autophagy and caused apoptosis and the reduced cell proliferation of murine melanoma cell line (B164A5), respectively [12,13].
Flat sea holly (Eryngium planum L.) and ragged robin (Lychnis flos-cuculi L.) are plant species that are native to Poland and contain a wide range of bioactive compounds. E. planum has been reported to contain a complex of triterpenoid saponins, phenolic acids, flavonoids, coumarins, acetylenes, and essential oil [14,15,16]. Phytoecdysteroids, triterpene saponins complex, phenolic acids, and flavonoids were identified in L. flos-cuculi [17,18,19]. Nevertheless, the instability of cultivation, the time-consuming nature of the process, the potential for a low metabolite content in the raw material, and the intricate extraction process are all considered obstacles to the availability of fresh materials. Thus, plant-cell culture using biotechnology is an exciting alternative to providing material continuity and yield production, as well as phytochemically uniform biomass, for these species [20]. The protocols for the micropropagation of E. planum and L. flos-cuculi have been developed previously [21,22]. Furthermore, several studies have already performed phytochemical analyses on in vitro-derived organ and cell cultures of these species [21,22,23,24,25,26,27,28]. These secondary metabolites in plant biomass are reported to be associated with pharmacological activities [15,16,18,19,24,25,26,29].
The present study aims to investigate the cytotoxic activity of methanolic extracts and fractions from E. planum and L. flos-cuculi callus cultures in human melanoma cell lines (MeWo) and human fibroblast cells (MRC-5) using an in vitro MTT assay.
2. Results
The initial screening of phytochemical constituents was conducted using the thin-layer chromatography (TLC) technique, as shown in Figure 1 and Table 1. The cell cultures of E. planum and L. flos-cuculi could produce phenolic acid, exhibited as blue bands in the TLC qualitative analysis (Figure 1A; highlighted in yellow boxes). Intensive bands were visible at Rf values of 0.20, 0.25, and 0.83 for the extract and fractions of E. planum. An additional band at an Rf of 0.33 was visible for Ep80MF (Table 1). Similar bands also appeared in LFcME, LFc40 MF, and LFc80MF, with notable bands from LFc80MF being observed at Rf values of 0.33, 0.40, 0.48, 0.53, and 0.67.
Figure 1.
Thin-layer chromatography analysis of E. planum and L. flos-cuculi cell extracts and fractions on silica plates. The mobile phase used was a mixture of CH3COOC2H5: CH3COOH: HCOOH: H2O (80:5:5:10 v/v), and the plate was visualised under 366 nm light (A). Additionally, the top phase of C4H9OH: CH3COOH: H2O (4:1:5) was used as the mobile phase, and visualisation was completed with white light for saponin detection (B). Legend: methanolic E. planum (EpME) and L. flos-cuculi (LFcME), 40% methanolic fraction (Ep40MF and LFc40MF), 80% methanolic fraction (Ep80MF and LFc80MF).
Table 1.
Retention factors (Rf) from the extracts and fractions of E. planum and L. flos-cuculi cell biomass in thin-layer chromatogram plates.
Qualitative TLC analyses verified that the cell biomasses could synthesise saponin, which appeared as violet spots on the TLC chromatogram plates after reaction with 1% vanillin and 5% sulphuric acid (Figure 1B; highlighted in blue boxes). Highly intensive bands were observed at an Rf of 0.42 for EpME. Meanwhile, Ep80MF was noticeably richer in saponins, as seen by the emergence of numerous bands at Rf values of 0.22, 0.29, 0.37, 0.44, and 0.78 (Table 1). Saponin compounds were also detected in the L. flos-cuculi cell biomass, with bands emerging at Rf values of 0.32 and 0.37 from LFcME and at Rf values of 0.32, 0.37, and 0.44 from LFc80MF.
Untargeted metabolomic analysis using LC-MS/MS in the negative ion mode was applied (Figure 2). We manually identified phenolic compounds in the 40% methanolic fractions and mostly observed triterpenoid saponins in the 80% methanolic fractions of E. planum (Figure 2A,B) and L. flos-cuculi (Figure 2C,D), as listed in Table 2.
Figure 2.
Qualitative analysis of methanolic fractions of Ep40MF (A), Ep80MF (B), LFc40MF (C), and LFc80MF (D). The base peak chromatograms in negative ion mode for E. planum (red) and L. flos-cuculi (green) were obtained using UPLC-HRMS/MS. Legend: methanolic E. planum (EpME) and L. flos-cuculi (LFcME), 40% methanolic fraction (Ep40MF and LFc40MF), 80% methanolic fraction (Ep80MF and LFc80MF).
Table 2.
Manually annotated compounds from Ep40MF, Ep80MF, LFc40MF, and LFc80MF. Metabolites were detected using UPLC/HRMS-MS in negative ion mode.
The methanolic extracts and fractions of E. planum and L. flos-cuculi cell biomass were investigated against the human melanoma (MeWo) cell line and non-cancerous human fibroblast (MRC-5) cell line to determine their cytotoxicity activity. The cell viability was monitored by performing direct cell counting using the investigated extracts and fractions at concentrations of 10, 50, and 100 μg/mL after 24 h of treatment.
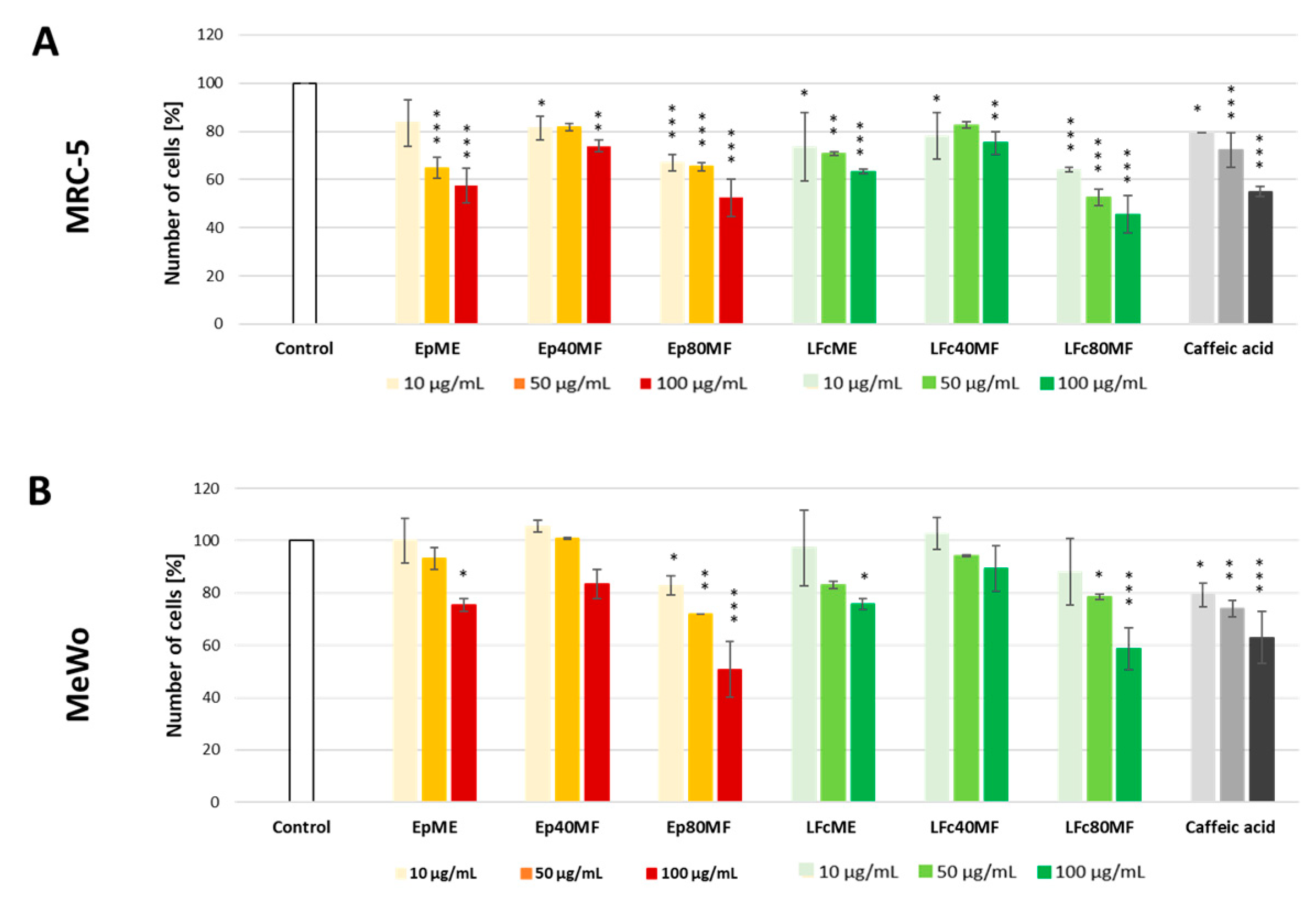
As illustrated in Figure 3, the methanolic extracts from the cell biomass of both plants reduced the MRC-5 and MeWo cell viability in a concentration-dependent manner. A high concentration (100 μg/mL) of EpME significantly reduced the number of MRC-5 and MeWo cells by 43% and 25%, respectively, after 24 h of exposure. Following the treatment of MRC-5 with 10 and 50 μg/mL of EpME, the cell counts were also significantly decreased (17% and 35%, respectively). On the other hand, EpME hindered the MeWo cell number at 50 μg/mL (7% reduction), and no inhibition was observed at 10 μg/mL. However, the changes were insignificant. The cytotoxic impacts on 10 μg/mL MRC-5 and 10 μg/mL MeWo cells were determined by the percentage of cells that degenerated (26–37% and 3–24%, respectively) following a 24-h treatment with LFcME (10–100 μg/mL). A significant decrease in the MRC-5 and MeWo cell numbers was observed when 100 μg/mL of LFcME was added to the cultures (p-values < 0.05).
Figure 3.
MRC-5 (A) and MeWo cells (B) were treated with three different concentrations of tested samples for 24 h. Extracts and fractions of E. planum and L. flos-cuculi are shown in red and green, respectively. The number of cells treated with the reference compound, caffeic acid, is displayed in grey. Untreated cells (white bar) were considered as control samples. The number of cells was counted using the Fuchs-Rosenthal chamber and the phase-contrast microscope Axiovert 40 CFL. Data represent mean ± SD (n = 3). * p < 0.01 vs. control group, ** p < 0.001 vs. control group, *** p < 0.0005 vs. control group. Legend: methanolic E. planum (EpME) and L. flos-cuculi (LFcME), 40% methanolic fraction (Ep40MF and LFc40MF), 80% methanolic fraction (Ep80MF and LFc80MF).
Depending on the concentration, the 40% MeOH fraction of E. planum callus (Ep40MF) moderately reduced the number of MRC-5 cells by 18–26%. Interestingly, after the treatment with 10 and 50 μg/mL Ep40MF, the number of MeWo cells slightly increased, although these changes were insignificant compared to the control. The cells were hindered insignificantly only after treatment with 100 μg/mL Ep40MF, which resulted in a 17% decrease. Similarly, 10 μg/mL of Lf40MF slightly increased the number of cells by 3% compared to control. Exposure to 50 and 100 μg/mL of Lf40MF for 24 h minimally decreased the number of both cell lines. There were no significant differences after LFc40MF treatment compared to control.
Changes in viable MRC-5 and MeWo cell numbers were also observed following exposure to the 80% MeOH fractions of E. planum (Ep80MF) and L. flos-cuculi (LFc80MF). The MRC-5 and MeWo cell counts were narrowed down following treatment with Ep80MF by 33–48% and 17–49%, respectively. LFc80MF decreased the number of cells by 36–55% for the MRC-5 and 12–41% for the MeWo cell lines. Significant changes in the number of cells were visible after exposure to 50–100 μg/mL of Ep80MF and LFc80MF for 24 h. The results showed that 100 μg/mL of Ep80MF or LFc80MF exhibited high cytotoxicity against the human melanoma MeWo cell line (49% and 41%, respectively), comparable to the reference compound, which hindered the number of cells by 37%.
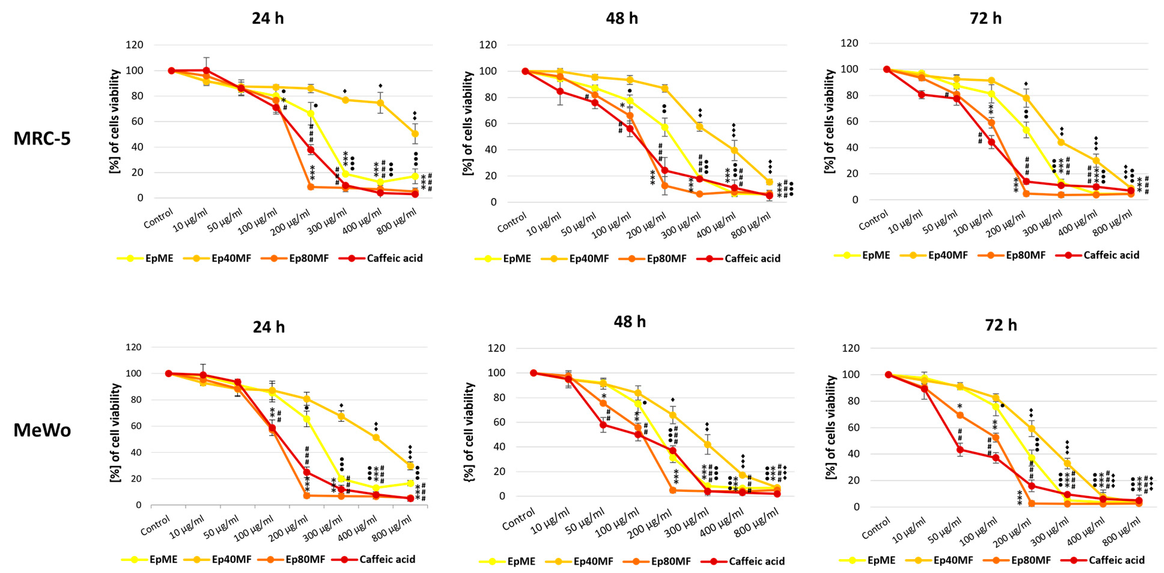
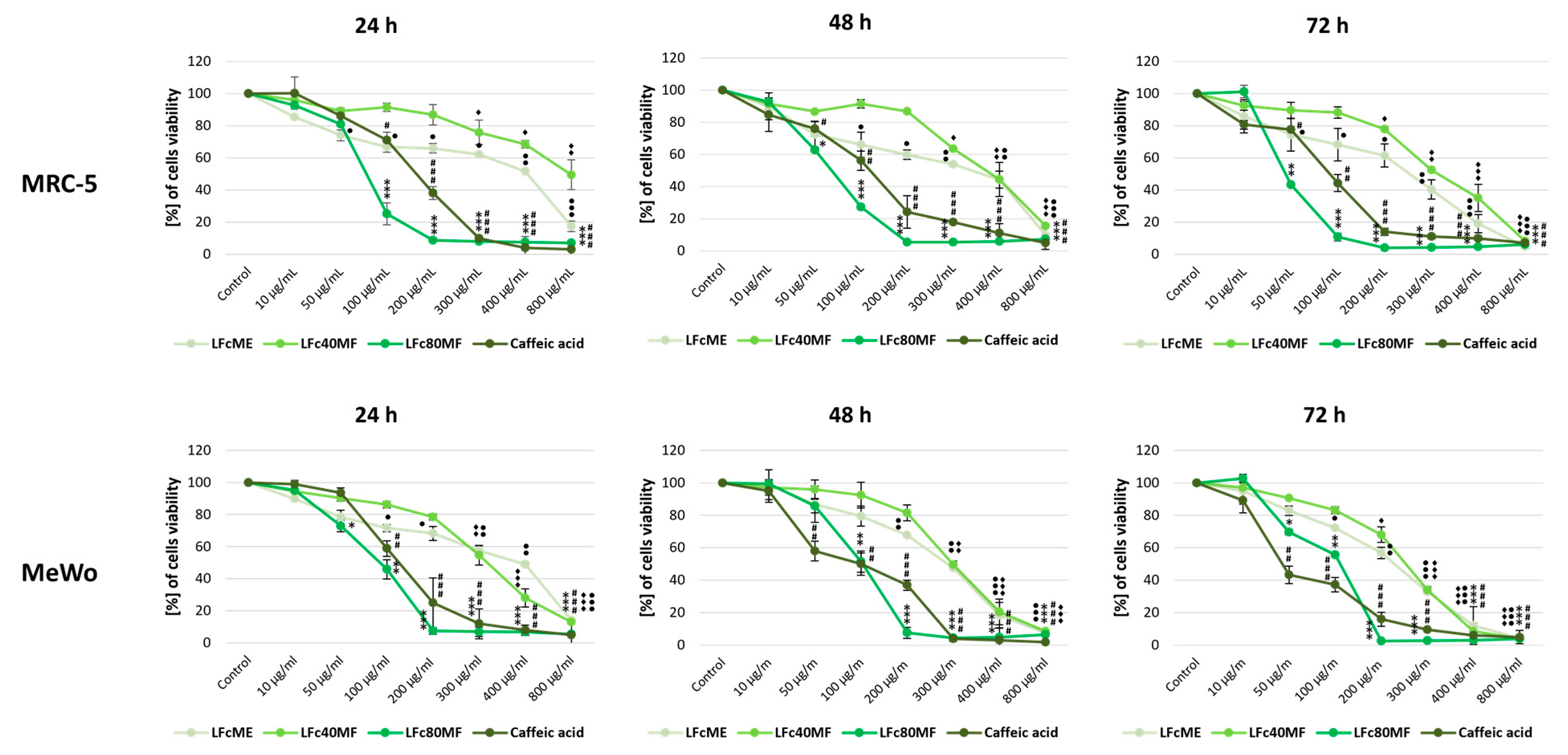
MTT assays were performed to assess further the cytotoxicity effects of the studied extracts and fractions against the human fibroblast MRC-5 and human melanoma MeWo cell lines. Both cell lines were treated with 0–800 μg/mL of the extracts and fractions for 24, 48, and 72 h. As there are no reports yet on activity from the cell biomass of these species against the studied cell lines, a wide range of concentrations was applied. The obtained results are expressed as a percentage of the cell number relative to untreated control (Figure 2A and Figure 3A) and the half-maximal inhibitory concentration (IC50) of the studied extracts and fractions are shown as estimated (μg/mL) ± SE in Table 3.
Table 3.
The effect of methanolic extract, including 40% and 80% methanolic fractions, from E. planum and L. flos-cuculi cell biomass on MRC-5 and MeWo cell lines expressed as IC50 values (the concentration at which a substance exerts half its maximal inhibitory effect). Results were obtained from three independent experiments and presented as mean ± SE.
The IC50 value is one of the standard methods to determine the cytotoxicity level of a compound, showing the concentration of the tested sample that kills 50% of the cells. In the present study, 80% MeOH fractions of E. planum and L. flos-cuculi exhibited potent cytotoxic activity in the human melanoma MeWo cell line compared to the extracts and 40% MeOH fractions. The lowest IC50 value was demonstrated by LFc80MF to MeWo and decreased over time, reaching 47 ± 0.5 μg/mL after 72 h of treatment. Ep80MF had an IC50 value of 52 ± 4 μg/mL in the same treatment period. The 40% MeOH fractions, Ep40MF and LFc40MF, showed poor cytotoxicity in both cell lines. As shown in Table 3, Ep40MF and LFc40MF did not kill MRC-5 or MeWo cells even in high concentrations (IC50 > 800 μg/mL), which supports the result from microscopic cell counting. Intriguingly, the obtained data suggested higher selectivity towards the MeWo cells than the MRC-5 cells, which was not shown by either the extracts or 80% MeOH fractions. The lowest IC50 value from these fractions was 145 ± 10 μg/mL in the MeWo cell line after exposure to Ep40MF for 72 h. EpME and LFcME both had moderate cytotoxicity impacts on MRC-5 and MeWo at all observation time points.
Upon examining the viability assessment via MTT assay, presented in Figure 4 and Figure 5, the results indicated that all extracts and fractions worked in time- and dose-dependent manners.
Figure 4.
The viability assessment of human fibroblast MRC-5 and human melanoma MeWo cells after treatment with methanolic extracts (EpME), 40% MeOH fraction (Ep40MF), and 80% MeOH fraction (Ep80MF) from E. planum callus biomass for 24 h, 48 h, and 72 h presented as line graphs. The cell viability is expressed as a percentage of the non-treated control cells. The mean of three experiments ± SD is shown. Symbols: *, #, •, ♦ for p < 0.05; **, ##, ••, ♦♦ for p < 0.01; ***, ###, ♦♦♦, ••• for p < 0.001. Legend: methanolic E. planum (EpME), 40% methanolic fraction (Ep40MF), and 80% methanolic fraction (Ep80MF).
Figure 5.
The viability assessment of human fibroblast MRC-5 and human melanoma MeWo cells after treatment with methanolic extracts (LFcME), 40% MeOH fraction (LFc40MF), and 80% MeOH fraction (LFc80MF) from L. flos-cuculi callus biomass for 24 h, 48 h, and 72 h presented as line graphs. The cell viability is expressed as a percentage of the non-treated control cells. The mean of three experiments ± SD is shown. Symbols: *, #, •, ♦ for p < 0.05; **, ##, ••, ♦♦ for p < 0.01; ***, ###, •••, ♦♦♦ for p < 0.001. Legend: methanolic L. flos-cuculi (LFcME), 40% methanolic fraction (LFc40MF), and 80% methanolic fraction (LFc80MF).
Morphological analyses (Figure 6 and Figure 7) presented that EpME, LFcME, Ep80MF, and LFc80MF exhibited significant effects on the morphology of MRC-5 and MeWo cells at concentrations of 200 and 400 μg/mL compared to control untreated cells and the cells treated with Ep40MF and LFc40MF. Following the treatment with extracts and 80% MeOH fractions from both plant calluses, the cells were reduced in number, were shrunken, and had lost their elongated shape. These findings suggested that the methanolic extracts and 80% MeOH fractions were not specific to cancer cells only. On the other hand, the MTT results and morphological analysis implied that the 40% MeOH fractions (Ep40MF and LFc40MF) were effective towards MeWo cells and less sensitive to MRC-5 cells.
Figure 6.
Morphology visualisation showing the effect of studied extracts and fractions with concentration ranging from 50–400 μg/mL on both cell lines after 24 h of treatment. Legend: methanolic E. planum (EpME), 40% methanolic fraction (Ep40MF), and 80% methanolic fraction (Ep80MF).
Figure 7.
Morphology visualisation showed the effect of studied extracts and fractions with concentration ranging from 50 to 400 μg/mL on both cell lines after 24 h of treatment. Legend: methanolic L. flos-cuculi (LFcME), 40% methanolic fraction (LFc40MF), and 80% methanolic fraction (LFc80MF).
3. Materials and Methods
3.1. Biomass Material and In Vitro Culture Condition
In sterile laminar airflow, E. planum plantlets from the culture collection were separated between leaves, roots, and stems. In order to induce the callus, the stem fragments were dissected into smaller pieces and then placed on Murashige and Skoog (MS) [30] solid medium-enriched exogenous supply of 3.0 mg/L 3,6-dichloro-2-methoxybenzoic acid—dicamba (Sigma-Aldrich, St Louis, MO, USA) and 0.3 mg/L 1-phenyl-3-(1,2,3-thiadiazol-5-yl)urea—thidiazuron (Sigma-Aldrich, St Louis, MO, USA), and sucrose 30 g/L. The calluses were maintained and subcultured onto the same hormonal medium variant every four weeks until a stable line of homogeneous calluses was obtained. L. flos-cuculi callus was induced from the in vitro-derived stem culture on MS medium supplemented with 2.0 mg/L 2,4-dichlorophenoxyacetic acid (2,4-D) and subcultured until enough materials were available. The collections of callus biomass were kept under controlled conditions—artificial light (16/8 h photoperiod) and temperature (20 ± 1 °C). The obtained biomasses of both species were oven-dried at 30 °C to a constant weight. Callus biomass was assessed morphologically based on colour, structure, and hydration, and microscopically to assess cell viability and type.
3.2. Preparation of Extract and Fractions
The dry E. planum and L. flos-cuculi calluses were extracted three times using 30 mL of 80% MeOH/H2O (80:20, v/v) using an ultrasonic bath for one hour each at 80 °C. The methanolic E. planum (EpME) and L. flos-cuculi (LFcME) extracts were then evaporated to dryness at the temperature of 40 ± 1 °C and redissolved in distilled water to a 0.2 g/mL concentration. Fractions were prepared using solid-phase extraction Sep-Pak® RP-18 microcolumns (Waters, Milford, MA, USA). Briefly, aqueous solution was applied to the microcolumn in 1 mL increments, then eluted with 5 mL of distilled water combined with 5 mL of freshly prepared 40% MeOH/H2O (40:60, v/v) to yield 40% methanolic fractions. Further, the solution was eluted with 5 mL of 80% MeOH/H2O (80:20, v/v) and pure MeOH combined to obtain the 80% methanolic fractions. The procedure was repeated for each extract to acquire 40% methanolic fractions (Ep40MF and LFc40MF) and 80% methanolic fractions (Ep80MF and LFc80MF), respectively. These fractions underwent evaporation to dryness and were used for cytotoxicity assay.
3.3. Phytochemical Evaluation
Preliminary TLC analysis by thin-layer chromatography was done initially to screen the fractions. Five μL aliquots of each extract and fraction were applied to TLC aluminium sheet pre-coated with silica gel 60 (10 × 20 cm2, Merck, Darmstadt, Germany) to detect phenolic acids. The plate was then developed in ethyl acetate–acetic acid–formic acid–water (CH3COOC2H5: CH3COOH: HCOOH: H2O 80:5:5:10 v/v/v/v) mixture and later viewed under UV366 nm before and after spraying with 0.1% NA (Roth) solution in ethanol. For saponin detection, five μL aliquots of each extract and fraction were applied on TLC aluminium sheets pre-coated with silica gel 60 (10 × 20 cm2, Merck, Darmstadt, Germany), developed on mobile phase consisting of 1-butanol–acetic acid–water (C4H9OH: CH3COOH: H2O) 40:10:50 v/v/v mixture (top layer), and sprayed with the vanillin–sulfuric acid reagent. Saponins can be seen as a violet-pink colour on the plate.
According to our previous studies, the qualitative analysis of metabolite structures present in extracts and fractions was performed using a high-performance liquid chromatography system coupled to a photodiode array detector/ion-trap mass spectrometer [21,22,23,25,27]. Furthermore, the methanolic extracts of cell biomass from both studied species were analysed using an ultra-performance liquid chromatography system (UPLC, Acquity, Waters) in conjunction with high-resolution tandem mass spectrometry (HRMS/MS, Q Exactive, Thermo, Waltham, MA, USA) [28]. This study examined the methanolic fractions of cell biomass using the same approach. Briefly, samples (5 µL) were separated using an Acquity BEH Shield column (2.1 × 150 mm, 1.7 µm grain size, Waters) at a temperature of 40 °C. The water gradient containing formic acid (A, LC-MS grade, Merck, Darmstadt, Germany) and the acetonitrile gradient (B, LC-MS grade, Merck) were used in the following manner: from 1 to 14 min, a gradient of 5–75% B was applied, followed by a gradient of 75–99% B from 14 to 16 min. From 16 to 19 min, the concentration of B was held constant at 99%. Finally, the concentration of B was returned to 5% over 20 min, with a flow rate of 400 µL/min. The columns were balanced using a 5% B solution for 3 min before the analysis. The PDA detector recorded UV-Vis spectra with a wavelength range of 250–550 nm and a sampling frequency of 20 Hz. The HESI-II, operated in the negative ion mode, had a spray voltage of −3.5 kV and an ion transfer tube temperature of 350 °C. Nitrogen was utilised as a sheath, auxiliary, and sweep gas at flow rates of 35, 10, and 3 arbitrary units, respectively. The auxiliary gas temperature was adjusted to 400 °C, while the S-lens rf level was set at 50. The FullMS scans were acquired within the mass-to-charge ratio (m/z) range of 100–1000, with a resolution of 70,000 full width at half maximum (FWHM) and a maximum ion-trap period of 200 milliseconds (ms). The ddMS2 (TopN = 5) scans were registered with a resolution of 17,500 FWHM and a maximum ion-trap duration of 100 ms. The higher-energy collisional dissociation collision energy was 35%. The system functioned with Xcalibur 2.2. The metabolites were manually annotated based on exact masses, retention time, and fragmentation spectra.
3.4. Cell Line and Culture Methods
The human fetal lung fibroblast cell line MRC-5 (ATCC® CCL-171TM) was cultured in Eagle’s Minimum Essential Medium (EMEM) (Biowest, Nuaillé, France) supplemented with 1% (v/v) non-essential amino acids (Sigma-Aldrich, Burghausen, Germany) and 10% (v/v) FBS (Sigma-Aldrich, Burghausen, Germany). The malignant melanoma cell line MeWo (ATCC® HTB-65™) was maintained in a complete growing medium, Eagle’s Minimum Essential Medium (EMEM) (Biowest, Nuaillé, France), supplemented with 10% (v/v) FBS (Sigma-Aldrich, Burghausen, Germany). Both cell lines were purchased from the American Type Cell Culture Collection (ATCC®, Manassas, VA, USA). The cell lines were grown near confluence in 100 × 15 mm cell culture Falcon® Petri dishes (Corning, Warsaw, Poland) in the optimal 90% (v/v) relative humidity at 37 °C in a humidified chamber with 5% CO2 (v/v) atmosphere. All preparation steps of the culture medium were performed under aseptic conditions. The absence of mycoplasma was checked routinely using the Mycoplasma Stain Kit (Lonza, Monteggio, Switzerland).
3.5. Direct Cell Counting
Cell proliferation, comprising an increase in cell number, is a dynamic process balanced by cell division and cell loss. The number of cells was determined manually by counting them manually using a hemocytometer (Fuchs-Rosenthal chamber). In a sterile 6-well plate, the MeWo and the MRC-5 cells were plated at a density of 1 × 105 into each well, in a 2 mL/healthy medium, and incubated overnight under cell culture conditions. Then, both cell lines were treated with EpME, Ep40MF, Ep80MF, LFcME, LFc40MF, LFc80MF, and caffeic acid (reference substance) at concentrations of 10, 50, and 100 μg/mL. The studied extracts and fractions were exposed for 24 h of incubation. Then, cells were passaged and counted using the Fuchs-Rosenthal chamber and the Axiovert 40 CFL phase-contrast microscope (Carl Zeiss, Poznan, Poland). The average cell count of four fields represents the number of cells per mL of cell solution and was used to determine the total number of cells from each well. Three separate experiments were performed, with two repeats for each concentration.
3.6. Evaluation of Cytotoxicity Using MTT Assay
The cytotoxicity activity was assessed on both cell lines using MTT (3-(4,5-dimethylthiazol-2-yl)-2,5-diphenyltetrazolium bromide) assay. In a sterile 96-well plate, the cells were plated at a density of 5 × 103 into each well at a concentration of 100 μL/well medium and incubated under cell culture conditions. Both cell lines were treated with EpME, Ep40MF, Ep80MF, LFcME, LFc40MF, LFc80MF, and caffeic acid (as reference for both species) in a 0–800 μg/mL concentration range. All extracts and fractions were dissolved in DMSO, with a final solvent concentration of 0.25% v/v. Exposure of the studied extracts and fractions to melanoma and fibroblast cell lines was performed for 24, 48, and 72 h of incubation. MTT solution (Sigma-Aldrich, Schnelldorf, Germany) was then added to each well (10 μL; 5 mg/mL) and the 96-well plate was incubated further at 37 °C for four hours, followed by the addition of 100 μL solubilisation buffer (10% SDS in 0.01 M HCl). Microplate Reader Multiscan FC (Thermo Scientific, Waltham, MA, USA) was used to measure the absorbance at 570 nm, with a reference wavelength of 630 nm. Three separate experiments were performed, with three repeats for each concentration. Relative cell viability was determined using the following formula: %viability = (mean of A570–A690 of an experimental group)/(mean of A570–A690 of the control group) × 100%. The viability of the cells was calculated using Excel software (https://www.microsoft.com/en-us/microsoft-365/excel, accessed on 27 June 2024) (Microsoft, Redmond, Washington, DC, USA). The IC50 values were obtained using the nonlinear regression program CompuSyn software version 2022 (ComboSyn Inc., Paramus, NJ, USA) (available for free download from www.combosyn.com, accessed on 25 April 2024) and are presented as estimate ± SE [31]. During experiments, the morphology of cell cultures was visualised using an Axiovert 40 CFL inverted microscope (Carl Zeiss, Poznan, Poland).
3.7. Statistical Analysis
The obtained data were expressed as mean ± SD from three independent experiments. GraphPad Prism 10.0.3 (GraphPad Software, Boston, MA, USA) was used for statistical analyses. ANOVA and Tukey post-hoc test were used to assess the p-value.
4. Discussion
The prevalence of melanoma skin cancer has been increasing annually. The primary risk factors for melanoma are family and genetic factors, with ultraviolet radiation and lifestyle choices (such as dietary intake, alcohol consumption, and tanning practices) being secondary contributors [2]. There are various melanoma treatments available for patients, from conventional approaches (surgical, curette and electrodesiccation procedure, and chemotherapy) to targeted therapies (BRAF and MEK inhibitors) and immunotherapies (adoptive cell transfer, immune checkpoint inhibitors, and oncolytic virotherapy) [8,32]. However, some treatments are invasive, expensive, or toxic [33]. Additionally, the majority of patients developed drug resistance within a few months of initiating the BRAF inhibitor treatment, while immunotherapy trials showed a lower response rate and reported severe side effects [34]. Consequently, it is essential to discover novel therapeutics or drug candidates that specifically target cancer cells while minimising the impact on normal, healthy cells and reducing side effects for patients. Phytochemicals, as potential preventive and therapeutic agents, present an alternative solution for cancer [10]. Natural compounds have been extensively studied for their anti-melanoma effects, including tumour growth inhibition, apoptosis induction, angiogenesis and metastasis suppression, and cancer stem cell eradication. Moreover, a number of studies have reported the synergistic activities of phytochemicals and standard anti-melanoma agents, as well as the enhanced effectiveness of their synthetic derivatives and novel formulations. Examples of these natural compounds are polyphenols (flavonoids, curcumin, and resveratrol), organosulfur compounds (sulforaphane), terpenoids (artemisinin, oridonin, and ursolic acid), and saponins that have shown promise as anti-melanoma agents [35].
Eryngium planum, the plant of interest in this study, has also been observed for its cytotoxic activity against various cancer cell lines. Notably, the cytotoxic effect of E. planum fruit extract against seven human leukemic (ML-1, J-45.01, EOL, HL-60, 1301, C–8166, U-266B1) and two normal (WICL, H-9) cell lines was observed by Bogucka-Kocka et al. (2008). The study reported that the 1301 and HL60 cell lines (viability 62% and 55%, respectively) have longer lifespans than the J45 cell line (viability 9%) after treatment with the ethanol extract of E. planum fruit. In contrast, normal T-cells (H9 cell line) and B-cells (WICL cell line) displayed limited viability at 20% and 8%, respectively. Furthermore, the ethanol extract showed a strong apoptosis effect on J45 (96%), C8166 (89%), and U266 (85%) [36]. Additionally, the cytotoxic activity of different fractions, including flavonoid, flavonoid-saponin, saponin, and phenolic acid fractions from the rosette leaves and roots of E. planum intact plants was evaluated in a human ovarian cancer cell line using LDH and SRB assays. The study was the first to demonstrate that the barrigenol-type triterpenoid saponin fraction from the roots of E. planum inhibited SKOV-3 cells. Among all of the tested fractions, pronounced cytotoxic effects after 24 h of the treatment of cancer cells were demonstrated by saponin fractions at concentrations of 25 and 50 µg/mL. Structure–activity relationship analyses indicated that acylation with angeloyl groups at the C21 or C22 position and the attachment of carbohydrates to the C3 position in triterpenoid saponins are critical to their cytotoxic effects [29]. The anti-cancer potential of other Eryngium species was also studied. Hasanbeiglu et al. observed that non-terpenoid compounds from the aerial parts extract of E. billardieri were responsible for plant’s cytotoxic activity against B16 melanoma cell lines, through an apoptotic mechanism [37]. Additionally, the essential oils from E. campestre and E. amethystinum showed high toxicity on the A375 melanoma cell line, with IC50 values of 1.57 and 2.78 μg/mL, respectively [38].
Unfortunately, there is currently a lack of research on the potential anti-cancer properties of phytochemicals derived from Lychnis flos-cuculi. Nevertheless, other species from the Caryophyllaceae family have been tested for their potential as anti-cancer agents. Ganai et al. reported that L. coronaria extract is a promising anti-cancer agent based on their MTT assay results [39]. Phenolic compounds isolated from L. chalcedonica presented inhibitory activity against melanoma cell line B16 in an animal model study using the female mice C57BL/6 line [40]. It is worth noting that the population of E. planum and L. flos-cuculi in their native environment is diminishing owing to extensive enhancement and agricultural expansion [26,41].
The present study highlights the potential of utilising biotechnologically derived cell biomass from E. planum and L. flos-cuculi cells for pharmaceutical purposes. This approach allows for the sustainable production of plant biomass without threatening these species in their natural habitat and is independent of variable environmental conditions. Furthermore, the results indicated that the extracts and fractions from the cell culture of E. planum and L. flos-cuculi had anti-tumour activity, mainly by exerting an anti-proliferative effect on the target cells. The findings suggest that this cell biomass might be used as an alternative resource for the development of anti-cancer therapeutics.
The methanolic extracts and fractions were evaluated against human melanoma cells (MeWo). A human lung fibroblast cell line (MRC-5) was chosen to assess the effects of the extracts and fractions from both plants on normal cells. The extracts, namely EpME and LFcME, and their 80% MeOH fractions (Ep80MF and LFc80MF) showed high toxicity towards the melanoma cancer cells. Notably, the toxicity of Ep40MF and LFc40MF (40% MeOH fractions) to MeWo cells was highlighted, contrasting their relative nontoxicity to MRC-5 based on the MTT assay.
Kowalczyk et al. (2014) reported three newly identified triterpene saponins from the roots of E. planum intact plant, namely 3-O-β-D-glucopyranosyl-(1→2)-β-D-glucuronopyranosyl-21-O-acetyl-22-O-angeloyl-R1-barrigenol (saponin M1), 3-O-β-D-glucopyranosyl-(1→2)-β-D-glucuronopyranosyl-22-O-angeloyl-A1-barrigenol (saponin M2B), and 3-O-β-D-glucopyranosyl-(1→2)-β-D-glucuronopyranosyl-22-O-angeloyl-R1-barrigenol (saponin M2A) [14]. These saponins were also detected from the in vitro plantlets and dedifferentiated cells of E. planum, along with additional saponin M4 (907 m/z) and saponin M5 (895 m/z) from the in vitro-derived plants [23]. In this study, the extracts and 80% MeOH fractions of E. planum contained saponins, as observed from the TLC plates and UPLC-HRMS/MS chromatograms. The unknown triterpenoid saponins I and II (925 m/z) were identified, corresponding to the previously reported saponin M1. Similarly, the unknown triterpenoid saponins III and IV (967 m/z) are likely related to saponin M2A, while unknown triterpenoid saponin V (909 m/z) matched with saponin M2B (Table 2). Saponins are the largest class of triterpenoids (acid sapogenin) and steroids (natural sapogenin) that are glycosidically connected to a sugar moiety and are classified based on their aglycone structure or sugar moiety [42]. It is worth emphasising that the acylation with angeloyl groups at the C21 or C22 position, together with carbohydrate attachment at the C3, in triterpenoid saponins from E. planum is responsible for its cytotoxic efficacy [29].
Triterpenoid saponins were identified as active substances in L. flos-cuculi. Early studies reported the presence of gypsogenin, hederagenin, and oleanane-type triterpenoid saponins (coronoside A and coronoside B) in the herb extract of this species [42]. Additionally, Maliński et al. (2021) observed a high concentration of quillaic acid or gypsogenic acid-triterpenoid glycosides in ex vitro roots of L. flos-cuculi [25]. Further research revealed that L. flos-cuculi cell cultures are also capable of producing triterpenoid saponins [22,28]. Based on the aglycon structure, three classes of saponins were identified from the callus: hydroxygypsogenic acid derivatives, gypsogenic acid derivatives or quillaic acid derivatives, and gypsogenin derivatives. In the present study, triterpenoid saponins were identified from TLC plates and UPLC chromatograms (Figure 1 and Table 2). A high presence of triterpenoid saponins was observed in the cell extract and 80% methanolic fraction. This high abundance of triterpenoid saponins could potentially explain the observed cytotoxic effects.
The MeWo (HTB-65) melanoma cell line, which was used in this study, was derived from the metastatic site and lymph node and exhibited fibroblast morphology (https://www.atcc.org/products/htb-65, accessed on 17 October 2024). The cell line has a mutp53E258K mutation, which is responsible for alterations in signalling to cell-cycle arrest, damage repair, senescence, apoptosis, or the modulation of energy metabolism [43]. Moreover, different studies in melanoma have revealed constitutively activated PI3K-AKT-mTOR (AKT) and RAF-MEK-ERK (MAPK) signalling pathways, which contribute to chemoresistance [44]. Saponins have been reported to inhibit various signalling pathways, such as PI3K/AKT, AKT/MAPK, EGFR/PI3K/AKT, PI3K/AKT/mTOR, and RNF6/AKT/mTOR, which leads to its cytotoxic and apoptotic properties on various cancer cell lines [45,46]. The detailed mechanisms of the cytotoxicity of 80% MeOH fractions of E. planum and L. flos-cuculi cell biomass in MeWo cells needs further investigation.
Numerous studies have identified the presence of phenolic compound content in E. planum intact plants, particularly rosmarinic acid, chlorogenic acid, caffeic acid, p-coumaric acid, and ferulic acid [15,16,47]. These compounds were found to be retained upon introduction into in vitro conditions (organ and cell cultures) [21,26,27]. Consistent with prior findings, this study also identified rosmarinic acid in EpME, Ep40MF, and Ep80MF (Table 2). Previous molecular studies suggest that rosmarinic acid may be a potential agent for melanoma treatment via the inhibition of cell proliferation and migration and inducing cell apoptosis via gene regulation [48,49]. Similarly, chlorogenic acid was identified in EpME and Ep40MF. This compound potentially suppresses melanogenesis in melanoma cells via tyrosinase inhibition activity, as observed by Li et al. [50].
Our previous studies discovered that the methanolic callus extract of L. flos-cuculi shows the presence of C-glycoside flavonoids, namely (iso)vitexin derivatives. The identified compounds are mainly apigenin derivatives, annotated as (iso)vitexin O-pentoside and (iso)vitexin O-rhamnoside, and its acetate and malonylate derivatives. Only one O-glycoside flavonoid, rutin, was identified in the methanolic extracts. Other phenolic compounds can be found in derivatives of hydroxycinnamic acids and benzoic acid, 1-O-caffeoylglucose, caffeic acid, 4-O-glucoside, 1-O-dihydroferuloylsucrose, 3-O-feruloylsucrose, 2-O-feruloyl-malic acid, and hydroxybenzoic acid [28]. Unfortunately, the number and amount of saccharides in the 40% methanolic fractions were enormous and generated high noise during the analysis. Nonetheless, the presence of caffeic acid was identified. Costea et al. (2017) reported that hydroethanolic (50% ethanol) and aqueous freeze-dried extracts from aerial parts of L. flos-cuculi showed moderate antioxidant activities in the ABTS+ radical and ferric-reducing power assays. EC50 values of 0.1513 ± 0.0123 mg/mL (ABTS+ assay) and 1.6614 ± 0.0246 mg/mL (ferric-reducing power assay) were obtained from aqueous dry extract. Simultaneously, the extraction with 50% hydroalcoholic dry extract exhibited EC50 values of 0.2899 ± 0.0184 mg/mL and 1.4832 ± 0.1461 mg/mL for the antioxidant activity assays, respectively [19].
Caffeic acid, which was identified in 40% methanolic fractions of E. planum and L. flos-cuculi, is known as the most active compound among the hydroxynnamic acids in terms of its cytotoxicity against cancer cells. In this study, caffeic acid, used as a reference compound, demonstrated significant cytotoxicity against MeWo cell lines, reducing the cell viability by up to 60% after 72 h of treatment at a concentration of 50 µg/mL. Previously, it was reported that caffeic acid could induce intracellular GSH depletion by suppressing the reactive oxygen species (ROS) in various human melanoma cells (SK-MEL-5, B16F10, B16-F0, SK-MEL-28, and MeWo) [51,52]. Moreover, Kudugunti et al. observed that caffeic acid enhanced the apoptosis in B16-F0 cells by from five- to seven- fold [52].
Nevertheless, the extracts and fractions from the cell biomass are still rich in several bioactive compounds, which resulted in their working differently than single compounds. The total efficacy of medicinal plant extracts results from the combined action of numerous components which have synergistic, additive, or antagonistic activities [53].
5. Conclusions
The present study concludes that cell biomass from E. planum and L. flos-cuculi could produce valuable secondary metabolites. The methanolic extract derived from the cell biomass of both plants exhibited cytotoxic effects against the MeWo melanoma cell lines, which is the first report from these species. The 40% MeOH fractions showed the presence of phenolic acids and exerted moderate cytotoxicity. However, the results also showed selective characteristics from this fraction against MeWo cell lines compared to the MRC-5 human lung fibroblast cell line. Saponin was detected in the 80% MeOH fractions, which could be the reason for its high toxicity to MeWo cell lines. Further investigation is needed to identify a specific compound or combination of particular compounds in the cell biomass of E. planum and L. flos-cuculi and understand its mechanism of action. This information will be crucial for effectively utilising both species and plant-cell biotechnology in cancer treatment.
Author Contributions
Conceptualisation, M.K., E.T. and N.L.; methodology, M.K., E.T., N.L. and D.K.; software, A.A.H., E.T., N.L. and D.K.; investigation, M.K, A.B., A.A.H., E.T., N.L. and D.K.; resources, A.A.H., E.T. and N.L.; writing—original draft preparation, A.A.H. and M.K.; writing—review and editing, A.A.H., E.T., N.L., A.B., D.K. and M.K.; visualisation, N.L., A.B. and A.A.H.; supervision, M.K. All authors have read and agreed to the published version of the manuscript.
Funding
This research received no funding.
Institutional Review Board Statement
Not applicable.
Informed Consent Statement
Not applicable.
Data Availability Statement
Data are contained within the article.
Acknowledgments
Anastasia Aliesa Hermosaningtyas participates in the Poznan University of Medical Science STER Internationalization of Doctoral Schools Programs of the NAWA Polish National Agency for Academic Exchange No. PPI/STE/2020/1/0014/DEC/02.
Conflicts of Interest
The authors declare no conflicts of interest.
References
- Dziankowska-Zaborszczyk, E.; Maniecka-Bryła, I.; Pikala, M. Mortality Trends Due to Skin Melanoma in Poland in the Years 2000–2020. Int. J. Environ. Res. Public Health 2022, 19, 16118. [Google Scholar] [CrossRef] [PubMed]
- Dzwierzynski, W.W. Melanoma Risk Factors and Prevention. Clin. Plast. Surg. 2021, 48, 543–550. [Google Scholar] [CrossRef] [PubMed]
- Bray, F.; Laversanne, M.; Sung, H.; Ferlay, J.; Siegel, R.L.; Soerjomataram, I.; Jemal, A. Global Cancer Statistics 2022: GLOBOCAN Estimates of Incidence and Mortality Worldwide for 36 Cancers in 185 Countries. CA Cancer J. Clin. 2024, 74, 229–263. [Google Scholar] [CrossRef] [PubMed]
- Sung, H.; Ferlay, J.; Siegel, R.L.; Laversanne, M.; Soerjomataram, I.; Jemal, A.; Bray, F. Global Cancer Statistics 2020: GLOBOCAN Estimates of Incidence and Mortality Worldwide for 36 Cancers in 185 Countries. CA Cancer J. Clin. 2021, 71, 209–249. [Google Scholar] [CrossRef]
- Aggarwal, P.; Knabel, P.; Fleischer, A.B. United States Burden of Melanoma and Non-Melanoma Skin Cancer from 1990 to 2019. J. Am. Acad. Dermatol. 2021, 85, 388–395. [Google Scholar] [CrossRef]
- Conforti, C.; Zalaudek, I. Epidemiology and Risk Factors of Melanoma: A Review. Dermatol. Pract. Concept. 2021, 11 (Suppl. S1), e2021161S. [Google Scholar] [CrossRef]
- Jenkins, R.W.; Fisher, D.E. Treatment of Advanced Melanoma in 2020 and Beyond. J. Investig. Dermatol. 2021, 141, 23–31. [Google Scholar] [CrossRef]
- Kuryk, L.; Bertinato, L.; Staniszewska, M.; Pancer, K.; Wieczorek, M.; Salmaso, S.; Caliceti, P.; Garofalo, M. From Conventional Therapies to Immunotherapy: Melanoma Treatment in Review. Cancers 2020, 12, 3057. [Google Scholar] [CrossRef]
- Banik, K.; Ranaware, A.M.; Harsha, C.; Nitesh, T.; Girisa, S.; Deshpande, V.; Fan, L.; Nalawade, S.P.; Sethi, G.; Kunnumakkara, A.B. Piceatannol: A Natural Stilbene for the Prevention and Treatment of Cancer. Pharmacol. Res. 2020, 153, 104635. [Google Scholar] [CrossRef]
- Forouhandeh, H.; Rezaei Param, Z.; Molavi, O.; Asgharian, P.; Tarhriz, V. Evaluation of Anti-Proliferative Activity of Eryngium caucasicum on Melanoma Cancer Cells. BMC Complement. Med. Ther. 2022, 22, 134. [Google Scholar] [CrossRef]
- Chao, H.; Najjaa, H.; Villareal, M.O.; Ksouri, R.; Han, J.; Neffati, M.; Isoda, H. Arthrophytum scoparium Inhibits Melanogenesis through the Down-regulation of Tyrosinase and Melanogenic Gene Expressions in B 16 Melanoma Cells. Exp. Dermatol. 2013, 22, 131–136. [Google Scholar] [CrossRef] [PubMed]
- Zhao, G.; Han, X.; Zheng, S.; Li, Z.; Sha, Y.; Ni, J.; Sun, Z.; Qiao, S.; Song, Z. Curcumin Induces Autophagy, Inhibits Proliferation and Invasion by Downregulating AKT/mTOR Signaling Pathway in Human Melanoma Cells. Oncol. Rep. 2016, 35, 1065–1074. [Google Scholar] [CrossRef] [PubMed]
- Soica, C.; Danciu, C.; Savoiu-Balint, G.; Borcan, F.; Ambrus, R.; Zupko, I.; Bojin, F.; Coricovac, D.; Ciurlea, S.; Avram, S.; et al. Betulinic Acid in Complex with a Gamma-Cyclodextrin Derivative Decreases Proliferation and In Vivo Tumor Development of Non-Metastatic and Metastatic B164A5 Cells. Int. J. Mol. Sci. 2014, 15, 8235–8255. [Google Scholar] [CrossRef] [PubMed]
- Kowalczyk, M.; Masullo, M.; Thiem, B.; Piacente, S.; Stochmal, A.; Oleszek, W. Three New Triterpene Saponins from Roots of Eryngium planum. Nat. Prod. Res. 2014, 28, 653–660. [Google Scholar] [CrossRef]
- Ozarowski, M.; Thiem, B.; Mikolajczak, P.L.; Piasecka, A.; Kachlicki, P.; Szulc, M.; Kaminska, E.; Bogacz, A.; Kujawski, R.; Bartkowiak-Wieczorek, J.; et al. Improvement in Long-Term Memory Following Chronic Administration of Eryngium planum Root Extract in Scopolamine Model: Behavioral and Molecular Study. Evid. Based Complement. Altern. Med. 2015, 2015, 145140. [Google Scholar] [CrossRef]
- Kikowska, M.; Dlugaszewska, J.; Jaworska, M.M.; Kędziora, I.; Budzianowski, J.; Thiem, B. In Vitro Antimicrobial Activity of Extracts and Their Fractions from Three Eryngium L. Species. Herba Pol. 2016, 62, 67–77. [Google Scholar] [CrossRef]
- Tomczyk, M. Preliminary Phytochemical Investigation of Lychnis flos-cuculi Herbs. J. Nat. Med. 2008, 62, 473–475. [Google Scholar] [CrossRef]
- Mamadalieva, N.Z.; Egamberdieva, D.; Lafont, R.; Girault, J.P. Phytoecdysteroids and Antibacterial Activity of the Plant Coronaria flos-cuculi. Chem. Nat. Compd. 2008, 44, 404–406. [Google Scholar] [CrossRef]
- Costea, T.; Nencu, I.; Gîrd, C.E.; Popescu, M.L. Ragged Robin (Lychnis flos cuculi L.) Aerial Parts—Botanical Characterization, Phytochemical Screening, and Antioxidant Activity. Stud. Univ. Vasile Goldis Arad Ser. Stiintele Vietii 2017, 27, 231–238. [Google Scholar]
- Georgiev, V.; Slavov, A.; Vasileva, I.; Pavlov, A. Plant Cell Culture as Emerging Technology for Production of Active Cosmetic Ingredients. Eng. Life Sci. 2018, 18, 779–798. [Google Scholar] [CrossRef]
- Thiem, B.; Kikowska, M.; Krawczyk, A.; Więckowska, B.; Sliwinska, E. Phenolic Acid and DNA Contents of Micropropagated Eryngium planum L. Plant Cell Tiss. Organ. Cult. 2013, 114, 197–206. [Google Scholar] [CrossRef]
- Maliński, M.P.; Kikowska, M.; Kruszka, D.; Napierała, M.; Florek, E.; Sliwinska, E.; Thiem, B. Various In Vitro Systems of Ragged Robin (Lychnis flos-cuculi L.): A New Potential Source of Phytoecdysteroids? Plant Cell Tiss. Organ. Cult. 2019, 139, 39–52. [Google Scholar] [CrossRef]
- Kikowska, M.; Kowalczyk, M.; Stochmal, A.; Thiem, B. Enhanced Accumulation of Triterpenoid Saponins in In Vitro Plantlets and Dedifferentiated Cultures of Eryngium planum L.: A Medicinal Plant. Hortic. Environ. Biotechnol. 2019, 60, 147–154. [Google Scholar] [CrossRef]
- Maliński, M.P.; Budzianowski, J.; Kikowska, M.; Derda, M.; Jaworska, M.M.; Mlynarczyk, D.T.; Szukalska, M.; Florek, E.; Thiem, B. Two Ecdysteroids Isolated from Micropropagated Lychnis flos-cuculi and the Biological Activity of Plant Material. Molecules 2021, 26, 904. [Google Scholar] [CrossRef]
- Maliński, M.P.; Kikowska, M.A.; Soluch, A.; Kowalczyk, M.; Stochmal, A.; Thiem, B. Phytochemical Screening, Phenolic Compounds and Antioxidant Activity of Biomass from Lychnis flos-cuculi L. In Vitro Cultures and Intact Plants. Plants 2021, 10, 206. [Google Scholar] [CrossRef]
- Kikowska, M.; Chanaj-Kaczmarek, J.; Derda, M.; Budzianowska, A.; Thiem, B.; Ekiert, H.; Szopa, A. The Evaluation of Phenolic Acids and Flavonoids Content and Antiprotozoal Activity of Eryngium Species Biomass Produced by Biotechnological Methods. Molecules 2022, 27, 363. [Google Scholar] [CrossRef]
- Kikowska, M.; Budzianowski, J.; Krawczyk, A.; Thiem, B. Accumulation of Rosmarinic, Chlorogenic and Caffeic Acids in In Vitro Cultures of Eryngium planum L. Acta Physiol. Plant 2012, 34, 2425–2433. [Google Scholar] [CrossRef]
- Hermosaningtyas, A.A.; Kruszka, D.; Juszczyk, K.; Rewers, M.; Budzianowska, A.; Yanti, Y.; Kikowska, M. Morphological, Cytogenetic, and Phytochemical Estimation of Lychnis flos-cuculi L. Cell Cultures: Can Cell Biomass Be a Source of Bioactive Compounds? Plant Cell Tiss. Organ. Cult. 2024, 159, 4. [Google Scholar] [CrossRef]
- Kikowska, M.; Piotrowska-Kempisty, H.; Kucińska, M.; Murias, M.; Budzianowski, J.; Budzianowska, A.; Kaczmarek, M.; Kowalczyk, M.; Stochmal, A.; Thiem, B. Saponin Fractions from Eryngium planum L. Induce Apoptosis in Ovarian SKOV-3 Cancer Cells. Plants 2023, 12, 2485. [Google Scholar] [CrossRef]
- Murashige, T.; Skoog, F. A Revised Medium for Rapid Growth and Bio Assays with Tobacco Tissue Cultures. Physiol. Plant. 1962, 15, 473–497. [Google Scholar] [CrossRef]
- Chou, T.C.; Martin, N. CompuSyn for Drug Combinations: PC Software and User’s Guide: A Computer Program for Quantitation of Synergism and Antagonism in Drug Combinations, and the Determination of IC50 and ED50 and LD50 Values. In ComboSyn; ComboSyn Inc.: Paramus, NJ, USA, 2005. [Google Scholar]
- Natarelli, N.; Aleman, S.J.; Mark, I.M.; Tran, J.T.; Kwak, S.; Botto, E.; Aflatooni, S.; Diaz, M.J.; Lipner, S.R. A Review of Current and Pipeline Drugs for Treatment of Melanoma. Pharmaceuticals 2024, 17, 214. [Google Scholar] [CrossRef] [PubMed]
- Sajadimajd, S.; Bahramsoltani, R.; Iranpanah, A.; Kumar Patra, J.; Das, G.; Gouda, S.; Rahimi, R.; Rezaeiamiri, E.; Cao, H.; Giampieri, F.; et al. Advances on Natural Polyphenols as Anticancer Agents for Skin Cancer. Pharmacol. Res. 2020, 151, 104584. [Google Scholar] [CrossRef] [PubMed]
- Wang, X.-J.; Chen, J.-Y.; Fu, L.-Q.; Yan, M.-J. Recent Advances in Natural Therapeutic Approaches for the Treatment of Cancer. J. Chemother. 2020, 32, 53–65. [Google Scholar] [CrossRef]
- Fontana, F.; Raimondi, M.; Di Domizio, A.; Moretti, R.M.; Montagnani Marelli, M.; Limonta, P. Unraveling the Molecular Mechanisms and the Potential Chemopreventive/Therapeutic Properties of Natural Compounds in Melanoma. Semin. Cancer Biol. 2019, 59, 266–282. [Google Scholar] [CrossRef]
- Bogucka-Kocka, A.; Smolarz, H.D.; Kocki, J. Apoptotic Activities of Ethanol Extracts from Some Apiaceae on Human Leukaemia Cell Lines. Fitoterapia 2008, 79, 487–497. [Google Scholar] [CrossRef]
- Hasanbeiglu, S.; Hosseini, K.; Molavi, O.; Asgharian, P.; Tarhriz, V. Eryngium billardieri Extract and Fractions Induce Apoptosis in Cancerous Cells. ACAMC 2022, 22, 2189–2201. [Google Scholar] [CrossRef]
- Cianfaglione, K.; Blomme, E.E.; Quassinti, L.; Bramucci, M.; Lupidi, G.; Dall’Acqua, S.; Maggi, F. Cytotoxic Essential Oils from Eryngium campestre and Eryngium amethystinum (Apiaceae) Growing in Central Italy. Chem. Biodivers. 2017, 14, e1700096. [Google Scholar] [CrossRef]
- Ganai, S.A.; Mir, M.A.; Shah, B.A.; Qadri, R.A.; Wani, A.H.; Rajamanikandan, S.; Sabhat, A. Evaluation of Free Radical Quenching, Anti-Inflammatory Activity Together with Anticancer Potential of Lychnis coronaria and Characterization of Novel Molecules from Its Extract through High Resolution-Liquid Chromatography Mass Spectrometry Coupled to Structural Biochemistry Approach. J. Biomol. Struct. Dyn. 2023, 41, 13041–13055. [Google Scholar] [CrossRef]
- Zibareva, L.N.; Zueva, E.P.; Razina, T.G.; Amosova, E.N.; Krylova, S.G.; Lopatina, K.A.; Rybalkina, O.Y.; Badulina, A.A.; Safonova, E.A.; Babushkina, M.S.; et al. The Effect of Lychnis chalcedonica L. Flavonoids on the Development of Tumors in Mice and the Effectiveness of Treatment with Cyclophosphamide. In AIP Conference Proceedings; AIP Publishing: Tomsk, Russia, 2015; p. 030031. [Google Scholar]
- Ziaja, M.; Wójcik, T.; Wrzesień, M. Conservation Status and Trends in the Transformation of Molinia Meadows in the Łąki w Komborni Natura 2000 Site, SE Poland. Acta Agrobot 2017, 70, 1718. [Google Scholar] [CrossRef]
- Maliński, M.P.; Michalska, A.D.; Tomczykowa, M.; Tomczyk, M.; Thiem, B. Ragged Robin (Lychnis flos-cuculi)—A Plant with Potential Medicinal Value. Rev. Bras. Farmacogn. 2014, 24, 722–730. [Google Scholar] [CrossRef]
- Mirzayans, R.; Andrais, B.; Kumar, P.; Murray, D. Significance of Wild-Type P53 Signaling in Suppressing Apoptosis in Response to Chemical Genotoxic Agents: Impact on Chemotherapy Outcome. Int. J. Mol. Sci. 2017, 18, 928. [Google Scholar] [CrossRef] [PubMed]
- Sinnberg, T.; Lasithiotakis, K.; Niessner, H.; Schittek, B.; Flaherty, K.T.; Kulms, D.; Maczey, E.; Campos, M.; Gogel, J.; Garbe, C.; et al. Inhibition of PI3K-AKT-mTOR Signaling Sensitizes Melanoma Cells to Cisplatin and Temozolomide. J. Investig. Dermatol. 2009, 129, 1500–1515. [Google Scholar] [CrossRef] [PubMed]
- Rehan, M.; Shafiullah; Mir, S.A. Structural Diversity, Natural Sources, and Pharmacological Potential of Plant-Based Saponins with Special Focus on Anticancer Activity: A Review. Med. Chem. Res. 2020, 29, 1707–1722. [Google Scholar] [CrossRef]
- Simo, L.M.; Messi, L.M.; Mbing, J.N.; Muller, C.D.; Boyom, F.F.; Begoudé, A.-D.B.; Pegnyemb, D.E.; Haddad, M.; Noté, O.P. A New Triterpenoid Saponin from Albizia zygia Induced Apoptosis by Reduction of Mitochondrial Potential Status in Malignant Melanoma Cells. Planta Med. 2023, 89, 86–98. [Google Scholar] [CrossRef]
- Wojtanowski, K.K.; Mroczek, T. Study of a Complex Secondary Metabolites with Potent Anti-Radical Activity by Two Dimensional TLC/HPLC Coupled to Electrospray Ionization Time-of-Flight Mass Spectrometry and Bioautography. Anal. Chim. Acta 2018, 1029, 104–115. [Google Scholar] [CrossRef]
- Huang, L.; Chen, J.; Quan, J.; Xiang, D. Rosmarinic Acid Inhibits Proliferation and Migration, Promotes Apoptosis and Enhances Cisplatin Sensitivity of Melanoma Cells through Inhibiting ADAM17/EGFR/AKT/GSK3β Axis. Bioengineered 2021, 12, 3065–3076. [Google Scholar] [CrossRef]
- Da Silva, G.B.; Manica, D.; Da Silva, A.P.; Marafon, F.; Moreno, M.; Bagatini, M.D. Rosmarinic Acid Decreases Viability, Inhibits Migration and Modulates Expression of Apoptosis-Related CASP8/CASP3/NLRP3 Genes in Human Metastatic Melanoma Cells. Chem.-Biol. Interact. 2023, 375, 110427. [Google Scholar] [CrossRef]
- Li, H.-R.; Habasi, M.; Xie, L.-Z.; Aisa, H. Effect of Chlorogenic Acid on Melanogenesis of B16 Melanoma Cells. Molecules 2014, 19, 12940–12948. [Google Scholar] [CrossRef]
- Ozturk, G.; Ginis, Z.; Akyol, S.; Erden, G.; Gurel, A.; Akyol, O. The Anticancer Mechanism of Caffeic Acid Phenethyl Ester (CAPE): Review of Melanomas, Lung and Prostate Cancers. Eur. Rev. Med. Pharmacol. Sci. 2012, 16, 2064–2068. [Google Scholar]
- Kudugunti, S.K.; Vad, N.M.; Ekogbo, E.; Moridani, M.Y. Efficacy of Caffeic Acid Phenethyl Ester (CAPE) in Skin B16-F0 Melanoma Tumor Bearing C57BL/6 Mice. Investig. New Drugs 2011, 29, 52–62. [Google Scholar] [CrossRef]
- Vaou, N.; Stavropoulou, E.; Voidarou, C.; Tsakris, Z.; Rozos, G.; Tsigalou, C.; Bezirtzoglou, E. Interactions between Medical Plant-Derived Bioactive Compounds: Focus on Antimicrobial Combination Effects. Antibiotics 2022, 11, 1014. [Google Scholar] [CrossRef] [PubMed]
Disclaimer/Publisher’s Note: The statements, opinions and data contained in all publications are solely those of the individual author(s) and contributor(s) and not of MDPI and/or the editor(s). MDPI and/or the editor(s) disclaim responsibility for any injury to people or property resulting from any ideas, methods, instructions or products referred to in the content. |
© 2024 by the authors. Licensee MDPI, Basel, Switzerland. This article is an open access article distributed under the terms and conditions of the Creative Commons Attribution (CC BY) license (https://creativecommons.org/licenses/by/4.0/).






