Abstract
Various technologies have been developed for the safe and efficient storage of hydrogen. Hydrogen storage in its solid form is an attractive option to overcome challenges such as storage and cost. Specifically, hydrogen storage in carbon-based structures is a good solution. To date, numerous theoretical studies have explored hydrogen storage in different carbon structures. Consequently, in this review, density functional theory (DFT) studies on hydrogen storage in graphene-based structures are examined in detail. Different modifications of graphene structures to improve their hydrogen storage properties are comprehensively reviewed. To date, various modified graphene structures, such as decorated graphene, doped graphene, graphene with vacancies, graphene with vacancies-doping, as well as decorated-doped graphene, have been explored to modify the reactivity of pristine graphene. Most of these modified graphene structures are good candidates for hydrogen storage. The DFT-based theoretical studies analyzed in this review should motivate experimental groups to experimentally validate the theoretical predictions as many modified graphene systems are shown to be good candidates for hydrogen storage.
1. Introduction
Hydrogen is gaining importance as a clean energy carrier with higher energy density than conventional fuels [1,2]. Although it is the most abundant element in the universe [3], it is not a primary energy source available on our planet. Therefore, various technologies have been proposed that allow for the efficient and safe production, storage, and utilization of hydrogen [4,5,6]. Currently, hydrogen is obtained from a wide range of resources, such as renewable resources and fossil fuels [7,8]. Unfortunately, the element has a low density under ambient conditions. Consequently, many storage technologies have been developed for storing it with a high density [9,10]. Diverse electrochemical systems with extremely high efficiencies have been proposed to obtain clean electrical energy from hydrogen [11,12,13].
The existing hydrogen storage technologies are based on liquefaction or compression or a combination of the two. However, the liquefaction and pressurization of hydrogen are not economically viable alternatives for hydrogen storage [14,15]. Hence, hydrogen storage in materials is considered a good storage option [14] because some of the explored materials provide H2 storage capacities like or better than the requirements prescribed by the U.S. Department of Energy (DOE) [16,17]. Therefore, in recent years, numerous materials have been explored to store hydrogen [18,19,20,21,22,23]. Among them, carbon-based materials are of high importance because of their suitable properties, such as high specific surface area, low density, and high thermal as well as chemical stability, making them promising materials for hydrogen storage [24,25].
Currently, at the molecular level, owing to advances in density functional theory (DFT)-based methods and computer equipment, novel materials with good performances have been proposed for hydrogen technologies [26,27,28,29,30]. The DFT-based approach has gained greater importance as it maintains a good balance between computational time and accuracy in terms of agreement with the experimental results [31,32,33].
To date, numerous carbon structures (e.g., graphene, graphite, graphene, nanotube, nanocone, fullerene, nanotorus) have been explored for hydrogen storage at the DFT level, and promising results have been achieved [34,35,36,37,38,39,40,41]. These structures are shown in Figure 1. Although carbon structures are good candidates for hydrogen storage, pristine carbon structures have limited reactivity for hydrogen storage [42,43]. Therefore, to improve the hydrogen storage properties of these structures, diverse approaches such as defect engineering and surface functionalization have been implemented. These strategies allow us to improve hydrogen storage in carbon structures such as graphene, carbon nanotubes, and fullerenes [44,45]. Consequently, the modification of carbon structures through defect engineering and surface functionalization for hydrogen storage is a relevant topic for designing novel carbon-based hydrogen storage materials. Among the structures investigated for hydrogen storage at the DFT level, graphene is the most studied structure. In this sense, there are some review articles that analyze the applicability of graphene for hydrogen storage. For instance, in 2017, some theoretical studies on the hydrogen storage properties of modified graphene were revised [45]. Recently, Singla and Jaggi reviewed the theoretical studies on graphene and its derivatives for hydrogen detection and storage applications [44]. They analyzed the effect of different dopants (i.e., alkali and alkaline earth atoms, transition metal atoms) on the properties of graphene-based structures to improve their hydrogen detection and storage capabilities [44]. These review articles show the importance of modified graphene to be used for hydrogen storage [44,45]. However, to date, there has been no detailed review article that explains in detail the modifications made to graphene structures for improving their hydrogen storage properties. Therefore, in this review, we analyze the DFT-based theoretical advances in the design of novel graphene-based hydrogen storage materials, highlighting the most popular modifications made to the graphene structure to improve the hydrogen storage properties.
Figure 1.
Carbon structures used for hydrogen storage.
2. Hydrogen Storage on Pristine Graphene
One of the first theoretical investigations on the use of pristine graphene to store hydrogen was reported by Ganji et al. [35]. They investigated hydrogen storage on graphene nanoflakes using the B3LYP-D3 method and demonstrated that hydrogen was adsorbed on a coronene surface with a physisorption energy of approximately −0.05 eV. In another study, H2 interaction on pristine graphene was investigated by using different DFT-based methods that incorporated dispersion corrections. The computed hydrogen adsorption energies on pristine graphene were less than −0.08 eV [46]. The investigated adsorption energies computed were less than the optimal hydrogen adsorption energy (−0.2 to −0.6 eV/H2) [47,48,49]. Therefore, to improve the hydrogen storage properties of graphene, graphene modification using methods such as defect engineering and surface functionalization is necessary. These studies also demonstrated that dispersion corrections must be included to explain the interactions of hydrogen on graphene accurately [35,46].
3. Hydrogen Storage on Decorated Graphene
3.1. Hydrogen Storage on Single-Atom Decorated Graphene
The use of decorated graphene is one of the strategies used to improve the hydrogen storage properties of pristine graphene. This approach involves the deposition of single-atoms (Figure 2a) or clusters (Figure 2b) on pristine graphene. Ample reports of DFT studies on hydrogen storage on decorated graphene are available in the literature [50,51,52,53,54,55,56,57,58,59,60,61,62,63,64,65,66,67,68,69,70,71,72,73,74,75,76,77,78,79,80,81,82,83,84,85,86,87,88,89,90,91,92,93]. Single-atom decoration is the commonly used strategy to decorate graphene [50,51,52,53,54,55,56,57,58,59,61,62,63,64,65,66,67,68,69,70,71,72,73,74,75,76,77,78,79,80,81,82,83,84,85,86,87,88,89,90,91,92,93]. Figure 3 shows different single-atoms that have been used to decorate graphene. The commonly used elements for decoration are Li, Ca, Ti, and Pd. Interestingly, several studies have considered dispersion corrections that substantially improve the description of the interaction between H2 and decorated graphene [50,52,53,56,60,62,68,72,73,74,75,81,83,85,86,90,91,93]. When the hydrogen molecule is adsorbed on graphene decorated with single-atoms, hydrogen is adsorbed on the decorating atoms as they function as active centers. Many studies showed that the adsorption energies of hydrogen on decorated graphene were higher than those of hydrogen on pristine graphene, highlighting that most single-atom-decorated graphene systems comply with the DOE requirement for hydrogen storage through physisorption. Other important parameters to consider when exploring new materials for hydrogen storage are gravimetric capacity and volumetric capacity. The 2025 targets set by the DOE are a gravimetric capacity of 5.5 wt.% and a volumetric capacity of 40 g L−1 for hydrogen storage systems onboard light-duty vehicles [94]. Interestingly, several of the investigated materials—decorated graphene materials such as Al [50], Ca [53,55,56,57], Li [64,65,66,67,72,88], and Ti [65,83]—possess gravimetric capacities higher than the targets set by the DOE. Thus, these studies show that single-atom-decorated graphene systems are a good strategy to store hydrogen via physisorption.
Figure 2.
Models of decorated graphene. (a) Single-atom-decorated graphene, (b) cluster-decorated graphene.
Figure 3.
Decorative elements and computational methodologies for decorated graphene.
3.2. Hydrogen Storage in Cluster-Decorated Graphene
Another approach to decorate graphene is by using clusters (Figure 2b). Theoretical studies on cluster-decorated graphene have been reported [60,74,77]. For instance, a theoretical study examined the H2 interaction on Pdn (n = 1–6) clusters supported on graphene using the PW91 functional [77] and reported that the H2 adsorption energy is close to the optimal values for hydrogen storage. In another study, hydrogen storage on Co4 clusters deposited on graphene was investigated using the Perdew–Burke–Ernzerhof (PBE) functional [60]; the H2 adsorption energy was close to the values required by the DOE. Recently, H2 adsorption on Lin (n = 1–6) clusters supported on graphene was investigated using the PBE functional and dispersion corrections [74]. For four H2 molecules adsorbed on Li6 clusters supported on graphene, the computed adsorption energy was −0.31 eV/H2. Similar to single-atom-decorated graphene, clusters act as active centers in cluster-decorated graphene for hydrogen storage [60,74,77]. Thus, these studies show that the use of graphene systems decorated with clusters or atoms is a good strategy to store hydrogen via physisorption.
4. Hydrogen Storage on Doped Graphene
4.1. Hydrogen Storage on Single-Atom-Doped Graphene
Another route used to modify the properties of pristine graphene is through substitutional point defects such as doping. This approach substantially modifies the reactivity of pristine graphene [95,96,97,98,99,100]. At the DFT level, different types of doping have been investigated to modify the reactivity of graphene [61,62,79,101,102,103,104,105,106,107,108,109,110,111,112,113,114,115,116,117,118,119,120,121,122,123,124,125]. The commonly used route is to replace a carbon atom in the graphene structure with a dopant atom. To date, many studies have explored the development of single-atom–doped graphene for hydrogen storage [61,62,79,101,102,104,105,106,107,108,109,110,111,112,114,115,116,118,121,122,124,125]. Figure 4 shows the different single atoms used to dope graphene. The commonly used dopant atoms are N, Ti, Cu, Pd, and Pt. The PBE functional is a popular tool used to study single-atom-doped graphene for hydrogen storage. Similar to research on decorated graphene, several studies on single-atom-doped graphene for hydrogen storage adopted dispersion corrections [61,101,104,112,116,118,121,122,124,125]. Interestingly, many studies showed that the hydrogen adsorption energies on the single-atom-doped graphene fulfill the DOE requirement for hydrogen storage via physisorption. Meanwhile, the gravimetric capacities of several single-atom-doped graphene materials were close to the DOE requirement. These investigations show that the use of single-atom-doped graphene systems is a good alternative for hydrogen storage.
Figure 4.
Doping elements and computational methodologies for single-atom-doped graphene.
4.2. Hydrogen Storage for Different Doping Concentrations
Some studies explored the influence of the concentration of doping elements on the hydrogen-storage properties in doped graphene [103,104,109,112,122]. For instance, DFT calculations and molecular dynamics were used to study H2 adsorption on Li-doped graphene (C17Li and C7Li). At atmospheric pressure and 300 K, the C7Li composite could store up to 6.2 wt.% hydrogen, with an adsorption energy of −0.19 eV/H2 [109]. Interestingly, this material satisfies the DOE requirements. Therefore, it can be a promising material for hydrogen storage. In another study, hydrogen storage on Ti- and Ti2-doped graphene was investigated using the PBE functional, as shown in Figure 5 [122]. Ti2-doped graphene was found to be a better material for hydrogen storage than Ti-doped graphene (Figure 5d). Thus, these studies show that the concentration of doping elements plays an important role in determining the hydrogen storage capacity of doped graphene [103,104,109,112,122].
Figure 5.
H2 adsorption on graphene structures. (a) H2 adsorption on Ti-doped graphene (SVG-Ti), (b) H2 adsorption on double-vacancy graphene (DVG-4), (c) H2 adsorption on Ti2-doped graphene (DVG-4-Ti), (d) hydrogen molecule adsorption energies on graphene structures. The values reported between the horizontal yellow lines indicate the optimal adsorption energies for hydrogen storage by physisorption. Reproduced from reference [122].
4.3. Hydrogen Storage on Cluster-Doped Graphene
Hydrogen storage on cluster-doped graphene has been explored [113,115,116,117,120]. For example, Ti4- and Ni4-doped graphene structures were studied for hydrogen storage using PBE functional [113]. It was observed that the Ti4-doped graphene has a better gravimetric capacity (3.4 wt.%) than Ni4-doped graphene (0.30 wt.%). In another study, H2 storage on Pd6-doped graphene was examined by using the PW91 functional. It was demonstrated that Pd6-doped graphene is a good material for hydrogen storage [117]. In another study, hydrogen storage was computed on Pdn-doped graphene (n = 1–4) by using the PBE functional [115]. The variation of the H2 adsorption energies on the Pdn (n = 1–4) clusters-doped graphene supported as a function of cluster size is illustrated in Figure 6. The single H2 adsorption energy increases as the Pd cluster size increases. Also, Pd4-doped graphene can adsorb four molecules of H2 while satisfying the requirements of the DOE, making it a good candidate for hydrogen storage.
Figure 6.
(a) Relaxed structures and (b) variation of the adsorption energies for a single H2 on the graphene-supported Pdn (n = 1−4) clusters as a function of cluster size. The adsorption energy for a single H2 on a Pd atom deposited on a pristine graphene is also given. The energy ranges for chemical and physical H2 adsorption are marked. Yellow, purple, and cyan circles represent carbon, palladium, and hydrogen atoms, respectively. The optimum energy range for reversible H2 absorption/desorption is marked in a green rectangle. Reproduced with permission from reference [115].
4.4. Hydrogen Storage on Co-Doped Graphene
Hydrogen storage on co-doped graphene has been investigated by various studies [119,125,126,127,128,129,130,131]. In this case, two types of atoms are embedded in the graphene structure. Figure 7 shows the different configurations that have been explored. Numerous co-doped graphene systems, such as B–Pd [119], B–Li [125], 3N–Li [126,128], 3N–Ti [127], 3N–Pd, 3N–Pd2, 3N–Pd3, 3N–Pd4 [129], N–Sc, 2N–Sc, 3N–Sc [130], N–Cu, 2N–Cu, and 3N–Cu [131], have been explored for hydrogen storage. Interestingly, most of these systems meet the DOE requirement for hydrogen storage via physisorption [119,125,126,127,128,129,130,131]. For instance, hydrogen adsorption on B-Li co-doped graphene structure was studied using the PBE functional [125]. It was computed that B-Li co-doped graphene can adsorb up to three H2 molecules with an adsorption energy of −0.19 eV/H2. Also, the hydrogen storage properties for Ti-3N co-doped graphene structure were computed using the PBE functional considering the van der Waals interactions [127]. The study demonstrated the ability of Ti-3N co-doped graphene to adsorb up to three H2 molecules with the adsorption energy required by the DOE [127]. In another investigation, hydrogen storage properties for Sc-N, Sc-2N, and Sc-3N co-doped graphene were studied using the PBE functional considering the van der Waals interactions [130]. The average adsorption energies of H2 molecules on Sc-N, Sc-2N, and Sc-3N co-doped graphene structures are reported in Table 1. The results show that the H2 adsorption energy on co-doped graphene increases gradually as the N concentration increases. In terms of gravimetric capacity, N–Sc, 2N–Sc, and 3N–Sc co-doped graphene can adsorb up to six H2 molecules with adsorption energies of −0.15, −0.17, and −0.19 eV, respectively; see Table 1 [130]. Also, DFT-based theoretical computations were conducted for studying the H2 adsorption on Cu-N, Cu-2N, and Cu-3N co-doped graphene structures employing the B3LYP functional [31]. It is observed that the Cu-3N co-doped graphene structure is the best candidate for hydrogen storage. These results show that co-doped graphene structures are promising candidates for hydrogen storage.
Figure 7.
(a–c) Models of single-atom co-doped graphene; (d–f) models of cluster and single-atom co-doped graphene.
Table 1.
The calculated average adsorption energies (eV/H2) of H2 molecules on Sc-decorated N-, 2N-, 3N-doped graphene structures with 1–6 H2 molecules adsorbed. Reproduced with permission from reference [130].
5. Hydrogen Storage on Graphene with Vacancies
Graphene with vacancies exhibits better reactivity than pristine graphene [132,133]. Theoretical studies have shown that different defects can be introduced in the graphene structure to improve its hydrogen storage properties [122,134,135,136]. For instance, hydrogen storage on different types of vacancies such as Stone–Wales (SW), single vacancy (SV), and three types of double vacancy was theoretically studied; see Figure 8 [134]. Graphene with SV and mixed SW–SV had gravimetric densities of 5.81 and 7.02 wt.%, respectively, for hydrogen storage [134]. A recent study demonstrated hydrogen storage in double-vacancy graphene (DVG) by using the PBE functional [122]. This structure could store up to nine H2 molecules (Figure 5d). These results show that graphene structures with vacancies are good candidates for hydrogen storage.
Figure 8.
Supercells for hydrogen binding over individual defect systems depicting different initial positions for the adsorption of a hydrogen molecule: (a) pristine, (b) Stone–Wales, (c) single vacancy, (d) double vacancy 585, (e) double vacancy 555–777, and (f) double vacancy 5555–6–7777. Reproduced with permission from reference [134].
6. Hydrogen Storage on Doped-Decorated Graphene
So far, different doped-decorated graphene systems have been studied for hydrogen storage with promising results [54,55,60,91,93,107,126,128,137,138,139,140,141,142,143,144,145]. In this approach, the doping atoms are embedded in the graphene structure, while the decorating atoms are deposited on the doped graphene sheet. For instance, the use of Mg-decorated B-doped graphene for hydrogen storage was examined by using local-density approximation (LDA) methods [137]. The adsorption of six H2 molecules on a Mg-decorated B-doped graphene corresponds to a computed adsorption energy of −0.55 eV/H2, making this material a good candidate for hydrogen storage. In another study, hydrogen adsorption on Ni-, Pd-, and Co-decorated B-doped (BC5) graphene was investigated using the PW91 functional [139]. When 11 H2 molecules were adsorbed on Ni-decorated B-doped graphene, the calculated adsorption energy was −0.34 eV/H2. Recently, hydrogen adsorption on graphene doped with two B atoms and decorated with two Y atoms was investigated employing the Perdew–Wang (PW) functional; see Figure 9 [140]. This system could store 12 H2 molecules with an adsorption energy of −0.568 eV/H2. In addition, metal-decorated B-doped (BC5) graphene was studied for hydrogen storage using the PW91 functional [141]. Up to nine H2 molecules could be adsorbed on Ni- and Ti-decorated B-doped graphene with an adsorption energy of −0.43 and −0.41 eV/H2, respectively. Another study examined the use of La-decorated B-doped graphene for hydrogen storage by using the LDA method [142] and showed that up to six H2 molecules were adsorbed with an adsorption energy of −0.53 eV/H2. These studies show that decorated-doped graphene systems are good candidates for hydrogen storage.
Figure 9.
Optimized structures of twelve hydrogen molecules’ adsorption on Y coated double-sided graphene with boron doping. Cyan, pink, and dark gray spheres denote Y, boron, and carbon atoms. Light gray and yellow spheres are hydrogen molecules attaching on the top and opposite sides of graphene, respectively. Reproduced with permission from reference [140].
7. Hydrogen Storage on Graphene with Vacancy-Doping
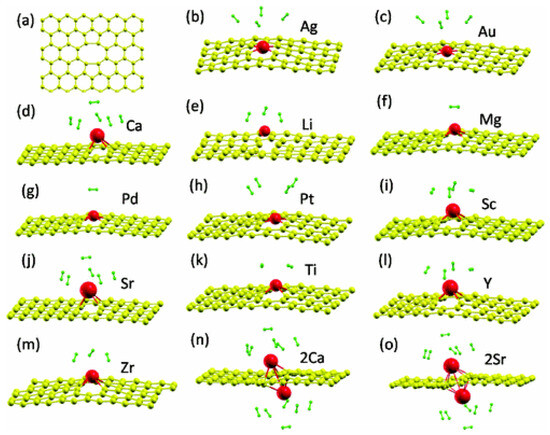
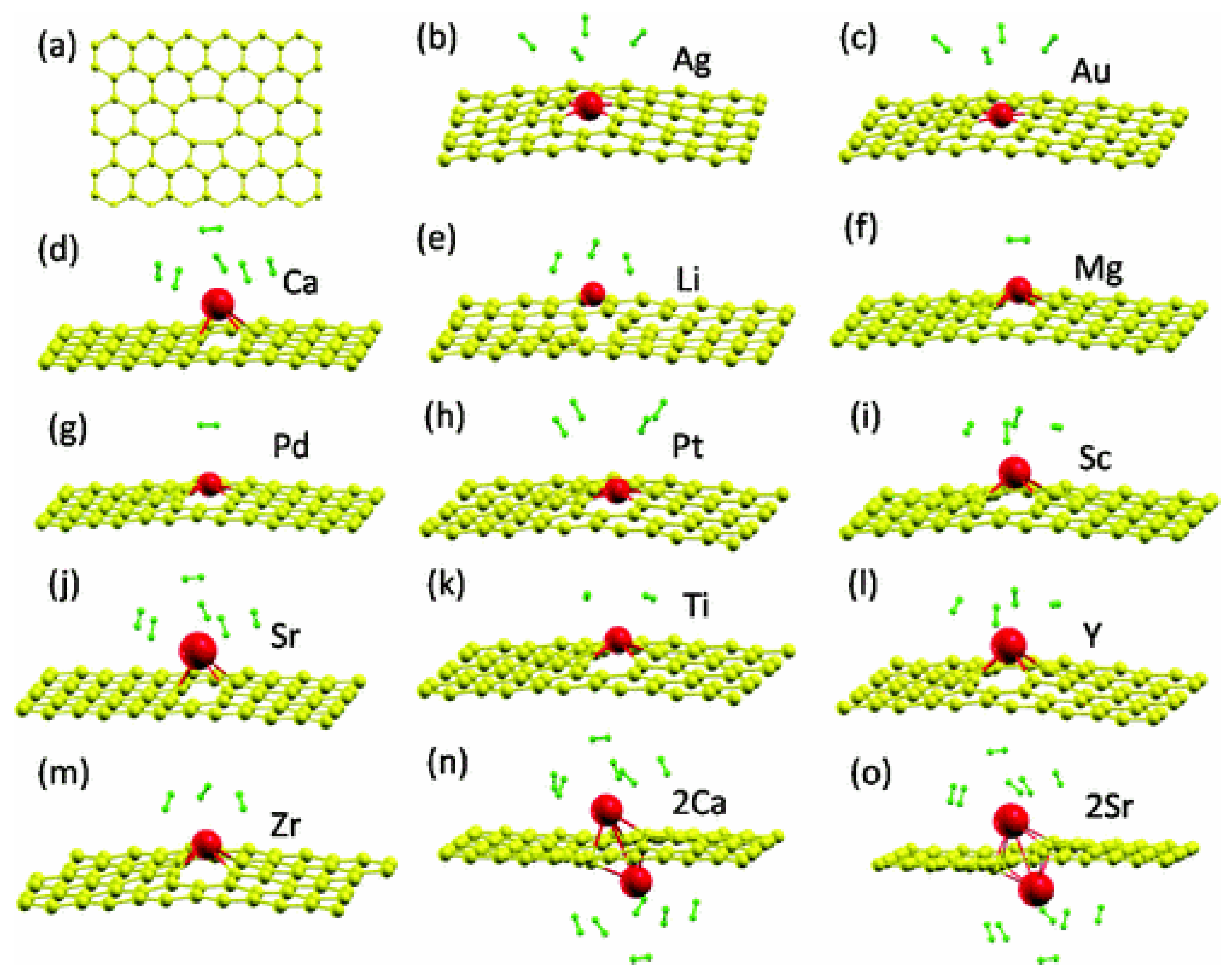
Embedding vacancies-dopants in the graphene structure is another strategy to improve the reactivity of graphene for hydrogen storage. Various doped graphene structures with vacancies have been examined [68,69,93,119,125,143,146,147,148,149,150,151,152,153,154,155,156]. For instance, graphene with SW defects and doped with Li was investigated using a PBE functional with dispersion corrections [68]. This structure can adsorb four H2 molecules with an optimal adsorption energy for hydrogen storage. In another study, hydrogen adsorption on graphene with double vacancies and doped with Li was investigated using a PBE functional with dispersion correction [125]. This system adsorbed three H2 molecules with an adsorption energy of −0.20 eV/H2. Hydrogen storage using DVG and doped with Ti was studied using the PBE approximation [146]. An adsorption energy of −0.21 eV/H2 was computed for four H2 molecules on each side of this structure. Recently, DVG (555–777) doped with a Pd4 cluster was studied using the PBE functional [147]. An adsorption energy of −0.64 eV/H2 was calculated when five H2 molecules were adsorbed on this system. In another study, hydrogen storage in DVG doped with 12 metals (Ag, Au, Ca, Li, Mg, Pd, Pt, Sc, Sr, Ti, Y, and Zr) was studied by using the generalized gradient approximation; see Figure 10 [148]. Computations showed that Ca and Sr have the largest capacity and can store up to six H2 molecules each. More recently, hydrogen storage in graphene structures with double vacancies (585 and 555–777) doped with Ca was studied using the PBE functional with dispersion corrections [149]. These structures can store up to six H2 molecules each. Also, the capacity of DVG doped with Li for hydrogen storage was computed by using the PW functional [69]. The storage capacity of this structure was 7.26 wt.% when Li was doped on both sides of the defective graphene. These investigations show that graphene structures with vacancy-doping are good candidates for hydrogen storage.
Figure 10.
The relaxed atomic geometries for (a) a graphene sheet with a DCV, (b–m) the 12 different metal adatoms with their maximum hydrogen capacity, and (n,o) the Ca and Sr systems with adatoms adsorbed on both sides of the DCV at their maximum H2 capacities. Reproduced with permission from reference [148].
8. Hydrogen Storage on Graphene with Co-Doping and Vacancies
Adding co-doping and vacancies in the graphene structure is another strategy used to improve the reactivity of graphene for hydrogen storage. To date, several modified graphene structures with co-doping and vacancies have been studied for hydrogen storage [105,119,125,126,128,129,152,153,156]. For instance, Li-B co-doped DVG was studied for hydrogen storage using the PBE functional [125]. This structure can adsorb three H2 molecules with an adsorption energy like that required by the DOE. In another study, Li-doped pyrrolic N-doped graphene was studied for hydrogen storage employing the PBE functional and considering the van der Waals corrections [126]. This structure can adsorb three H2 molecules with an adsorption energy of −0.18 eV/H2. Also, different porphyrin-doped graphene structures were studied for hydrogen storage using the PBE functional [105]. It was computed that Sc-, Ti-, and V-porphyrin-doped graphene can be good candidates for hydrogen storage, since these structures meet the requirements established by the DOE. Recently, Be-porphyrin-doped graphene structure was computed for hydrogen storage employing the PW functional [152]. According to the adsorption energy established by the DOE, a maximum of four H2 molecules can be adsorbed on Be-porphyrin-doped graphene. These studies show that graphene structures with co-doping and vacancies are good candidates for hydrogen storage via physisorption.
9. Conclusions and Future Directions
This review analyzed the advances in the design of novel graphene-based hydrogen storage materials, highlighting the modifications made to the graphene structure based on DFT studies to improve its hydrogen storage properties. To date, various modified graphene structures, such as decorated graphene, doped graphene, graphene with vacancies, graphene with vacancies-doping, as well as decorated-doped graphene, have been explored to modify the reactivity of pristine graphene. Most of these modified graphene structures are good candidates for hydrogen storage. From this detailed review, the following conclusions and future directions can be suggested:
- (a)
- Graphene structures decorated with single-atoms or atom clusters for hydrogen storage have been examined. The commonly used strategy is to decorate graphene with single atoms. Therefore, more studies on cluster-decorated graphene for hydrogen storage are required. Further, since bimetallic and trimetallic systems are known to have properties very different from those of monometallic systems, it will be interesting to investigate graphene decorated with bimetallic or trimetallic clusters for hydrogen storage. Most graphene systems decorated with clusters or atoms comply with the DOE requirement for hydrogen storage via physisorption. Furthermore, several of the investigated materials, in particular, graphene decorated with Al, Ca, Li, and Ti, had gravimetric capacities higher than the target set by the DOE.
- (b)
- The use of doped graphene for hydrogen storage has been widely investigated. Several strategies, such as single-atom doping, cluster doping, and co-doping, were implemented. These types of doping substantially modify the reactivity of graphene, providing promising materials for hydrogen storage. However, theoretical studies on cluster-doped and co-doped graphene for hydrogen storage are still scarce. Therefore, it is necessary to conduct more detailed research on cluster-doped and co-doped graphene for hydrogen storage.
- (c)
- The use of graphene with vacancies, doped-decorated graphene, and graphene with vacancies-doping are other strategies to modify the reactivity of pristine graphene for hydrogen storage. The existing studies have shown promising results for hydrogen storage. However, comprehensive studies on these systems are necessary.
- (d)
- The graphene structures with co-doping and vacancies have been examined for hydrogen storage. The available studies show that graphene structures with co-doping and vacancies are good candidates for hydrogen storage. However, more studies are required on this type of modified graphene.
- (e)
- Future theoretical studies on modified graphene for hydrogen storage must adopt dispersion corrections. Many existing studies did not include these corrections, limiting the quality of the results. Future studies should also report the gravimetric capacity of the systems as it is an important parameter to determine whether a material is a good candidate for hydrogen storage. Many existing studies only reported the adsorption energy of the H2 molecule, which is not enough to identify new materials for hydrogen storage.
- (f)
- These theoretical results discussed herein should motivate experimental groups to experimentally validate the theoretical predictions, as many modified graphene systems are shown to be good candidates for hydrogen storage. The knowledge of these systems can be systematized, and the systems can be experimentally evaluated for hydrogen storage.
Author Contributions
Conceptualization, H.C.-M., B.G.-H., F.M.-A., H.R.-C. and E.P.S.-R.; formal analysis, B.G.-H., F.M.-A. and A.G.-V.; data curation, B.G.-H., F.M.-A. and A.G.-V.; writing—original draft preparation, H.C.-M., H.R.-C. and E.P.S.-R.; writing—review and editing, H.C.-M., H.R.-C. and E.P.S.-R.; funding acquisition, B.G.-H. and E.P.S.-R. All authors have read and agreed to the published version of the manuscript.
Funding
This research was funded by Tecnológico Nacional de México through grant number 19057.23-P, and the APC was funded by Tecnologico de Monterrey.
Institutional Review Board Statement
Not applicable.
Informed Consent Statement
Not applicable.
Data Availability Statement
Data are contained within the article.
Conflicts of Interest
The authors declare no conflicts of interest.
References
- Abdin, Z.; Zafaranloo, A.; Rafiee, A.; Mérida, W.; Lipiński, W.; Khalilpour, K.R. Hydrogen as an energy vector. Renew. Sustain. Energy Rev. 2020, 120, 109620. [Google Scholar] [CrossRef]
- Nazir, H.; Louis, C.; Jose, S.; Prakash, J.; Muthuswamy, N.; Buan, M.E.; Kannan, A.M. Is the H2 economy realizable in the foreseeable future? Part I: H2 production methods. Int. J. Hydrog. Energy 2020, 45, 13777–13788. [Google Scholar] [CrossRef]
- Jain, I.P. Hydrogen the fuel for 21st century. Int. J. Hydrog. Energy 2009, 34, 7368–7378. [Google Scholar] [CrossRef]
- Dincer, I.; Acar, C. Review and evaluation of hydrogen production methods for better sustainability. Int. J. Hydrog. Energy 2015, 40, 11094–11111. [Google Scholar] [CrossRef]
- Moradi, R.; Groth, K.M. Hydrogen storage and delivery: Review of the state of the art technologies and risk and reliability analysis. Int. J. Hydrog. Energy 2019, 44, 12254–12269. [Google Scholar] [CrossRef]
- Sharaf, O.Z.; Orhan, M.F. An overview of fuel cell technology: Fundamentals and applications. Renew. Sustain. Energy Rev. 2014, 32, 810–853. [Google Scholar] [CrossRef]
- Nikolaidis, P.; Poullikkas, A. A comparative overview of hydrogen production processes. Renew. Sustain. Energy Rev. 2017, 67, 597–611. [Google Scholar] [CrossRef]
- Da Silva Veras, T.; Mozer, T.S.; da Silva César, A. Hydrogen: Trends, production and characterization of the main process worldwide. Int. J. Hydrog. Energy 2017, 42, 2018–2033. [Google Scholar] [CrossRef]
- Durbin, D.J.; Malardier-Jugroot, C. Review of hydrogen storage techniques for on board vehicle applications. Int. J. Hydrog. Energy 2013, 38, 14595–14617. [Google Scholar] [CrossRef]
- Niaz, S.; Manzoor, T.; Pandith, A.H. Hydrogen storage: Materials, methods and perspectives. Renew. Sustain. Energy Rev. 2015, 50, 457–469. [Google Scholar] [CrossRef]
- Tellez-Cruz, M.M.; Escorihuela, J.; Solorza-Feria, O.; Compañ, V. Proton Exchange Membrane Fuel Cells (PEMFCs): Advances and Challenges. Polymers 2021, 13, 3064. [Google Scholar] [CrossRef] [PubMed]
- Das, V.; Padmanaban, S.; Venkitasamy, K.; Selvamuthukumaran, R.; Blaabjerg, F.; Siano, P. Recent advances and challenges of fuel cell based power system architectures and control—A review. Renew. Sustain. Energy Rev. 2017, 73, 10–18. [Google Scholar] [CrossRef]
- Cruz-Martínez, H.; Guerra-Cabrera, W.; Flores-Rojas, E.; Ruiz-Villalobos, D.; Rojas-Chávez, H.; Peña-Castañeda, Y.A.; Medina, D.I. Pt-Free Metal Nanocatalysts for the Oxygen Reduction Reaction Combining Experiment and Theory: An Overview. Molecules 2021, 26, 6689. [Google Scholar] [CrossRef]
- Ren, J.; Musyoka, N.M.; Langmi, H.W.; Mathe, M.; Liao, S. Current research trends and perspectives on materials-based hydrogen storage solutions: A critical review. Int. J. Hydrog. Energy 2017, 42, 289–311. [Google Scholar] [CrossRef]
- Yang, J.; Sudik, A.; Wolverton, C.; Siegel, D.J. High capacity hydrogen storage materials: Attributes for automotive applications and techniques for materials discovery. Chem. Soc. Rev. 2010, 39, 656–675. [Google Scholar] [CrossRef] [PubMed]
- Kumar, P.; Singh, S.; Hashmi, S.A.R.; Kim, K.H. MXenes: Emerging 2D materials for hydrogen storage. Nano Energy 2021, 85, 105989. [Google Scholar] [CrossRef]
- Gupta, A.; Baron, G.V.; Perreault, P.; Lenaerts, S.; Ciocarlan, R.G.; Cool, P.; Denayer, J.F. Hydrogen clathrates: Next generation hydrogen storage materials. Energy Storage Mater. 2021, 41, 69–107. [Google Scholar] [CrossRef]
- Jena, P. Materials for hydrogen storage: Past, present, and future. J. Phys. Chem. Lett. 2011, 2, 206–211. [Google Scholar] [CrossRef]
- Suh, M.P.; Park, H.J.; Prasad, T.K.; Lim, D.W. Hydrogen storage in metal–organic frameworks. Chem. Rev. 2012, 112, 782–835. [Google Scholar] [CrossRef]
- Yartys, V.A.; Lototskyy, M.V.; Akiba, E.; Albert, R.; Antonov, V.E.; Ares, J.R.; Zhu, M. Magnesium based materials for hydrogen based energy storage: Past, present and future. Int. J. Hydrog. Energy 2019, 44, 7809–7859. [Google Scholar] [CrossRef]
- Jain, I.P.; Jain, P.; Jain, A. Novel hydrogen storage materials: A review of lightweight complex hydrides. J. Alloy. Compd. 2010, 503, 303–339. [Google Scholar] [CrossRef]
- Rusman, N.A.A.; Dahari, M. A review on the current progress of metal hydrides material for solid-state hydrogen storage applications. Int. J. Hydrog. Energy 2016, 41, 12108–12126. [Google Scholar] [CrossRef]
- Akbayrak, S.; Özkar, S. Ammonia borane as hydrogen storage materials. Int. J. Hydrog. Energy 2018, 43, 18592–18606. [Google Scholar] [CrossRef]
- Mohan, M.; Sharma, V.K.; Kumar, E.A.; Gayathri, V. Hydrogen storage in carbon materials—A review. Energy Storage 2019, 1, e35. [Google Scholar] [CrossRef]
- Xia, Y.; Yang, Z.; Zhu, Y. Porous carbon-based materials for hydrogen storage: Advancement and challenges. J. Mater. Chem. A 2013, 1, 9365–9381. [Google Scholar] [CrossRef]
- Cruz-Martínez, H.; Rojas-Chávez, H.; Matadamas-Ortiz, P.T.; Ortiz-Herrera, J.C.; López-Chávez, E.; Solorza-Feria, O.; Medina, D.I. Current progress of Pt-based ORR electrocatalysts for PEMFCs: An integrated view combining theory and experiment. Mater. Today Phys. 2021, 19, 100406. [Google Scholar] [CrossRef]
- Kulkarni, A.; Siahrostami, S.; Patel, A.; Nørskov, J.K. Understanding catalytic activity trends in the oxygen reduction reaction. Chem. Rev. 2018, 118, 2302–2312. [Google Scholar] [CrossRef]
- Wang, Y.; Wang, D.; Li, Y. Rational design of single-atom site electrocatalysts: From theoretical understandings to practical applications. Adv. Mat. 2021, 33, 2008151. [Google Scholar] [CrossRef] [PubMed]
- Cruz-Martínez, H.; Tellez-Cruz, M.M.; Solorza-Feria, O.; Calaminici, P.; Medina, D.I. Catalytic activity trends from pure Pd nanoclusters to M@PdPt (M = Co, Ni, and Cu) core-shell nanoclusters for the oxygen reduction reaction: A first-principles analysis. Int. J. Hydrog. Energy 2020, 45, 13738–13745. [Google Scholar] [CrossRef]
- Muckerman, J.T.; Fujita, E. Theoretical studies of the mechanism of catalytic hydrogen production by a cobaloxime. Chem. Comm. 2011, 47, 12456–12458. [Google Scholar] [CrossRef] [PubMed]
- Jain, A.; Shin, Y.; Persson, K.A. Computational predictions of energy materials using density functional theory. Nat. Rev. Mater. 2016, 1, 1–13. [Google Scholar] [CrossRef]
- Nørskov, J.K.; Bligaard, T.; Rossmeisl, J.; Christensen, C.H. Towards the computational design of solid catalysts. Nat. Chem. 2009, 1, 37–46. [Google Scholar] [CrossRef] [PubMed]
- Curtarolo, S.; Hart, G.L.; Nardelli, M.B.; Mingo, N.; Sanvito, S.; Levy, O. The high-throughput highway to computational materials design. Nat. Mater. 2013, 12, 191–201. [Google Scholar] [CrossRef]
- Kose, A.; Yuksel, N.; Fellah, M.F. Hydrogen adsorption on Ni doped carbon nanocone. Diam. Relat. Mater. 2022, 124, 108921. [Google Scholar] [CrossRef]
- Ganji, M.D.; Hosseini-Khah, S.M.; Amini-Tabar, Z. Theoretical insight into hydrogen adsorption onto graphene: A first-principles B3LYP-D3 study. Phys. Chem. Chem. Phys. 2015, 17, 2504–2511. [Google Scholar] [CrossRef]
- Rangel, E.; Sansores, E. Theoretical study of hydrogen adsorption on nitrogen doped graphene decorated with palladium clusters. Int. J. Hydrog. Energy 2014, 39, 6558–6566. [Google Scholar] [CrossRef]
- Lopez-Corral, I.; de Celis, J.; Juan, A.; Irigoyen, B. DFT study of H2 adsorption on Pd-decorated single walled carbon nanotubes with C-vacancies. Int. J. Hydrog. Energy 2012, 37, 10156–10164. [Google Scholar] [CrossRef]
- Rodríguez-Quintana, R.; Carbajal-Franco, G.; Rojas-Chávez, H. DFT study of the H2 molecules adsorption on pristine and Ni doped graphite surfaces. Mater. Lett. 2021, 293, 129660. [Google Scholar] [CrossRef]
- Ren, H.; Cui, C.; Li, X.; Liu, Y. A DFT study of the hydrogen storage potentials and properties of Na-and Li-doped fullerenes. Int. J. Hydrog. Energy 2017, 42, 312–321. [Google Scholar] [CrossRef]
- Lopez-Chavez, E.; Peña-Castañeda, Y.; García-Quiroz, A.; Castillo-Alvarado, F.; Díaz-Gongora, J.; Jimenez-Gonzalez, L. Ti-decorated C120 nanotorus: A new molecular structure for hydrogen storage. Int. J. Hydrog. Energy 2017, 42, 30237–30241. [Google Scholar] [CrossRef]
- Akbari, F.; Reisi-Vanani, A.; Darvish Nejad, M.H. DFT study of the electronic and structural properties of single Al and N atoms and Al-N co-doped graphyne toward hydrogen storage. Appl. Surf. Sci. 2019, 488, 600–610. [Google Scholar] [CrossRef]
- Ding, F.; Yakobson, B.I. Challenges in hydrogen adsorptions: From physisorption to chemisorption. Front. Phys. 2011, 6, 142–150. [Google Scholar] [CrossRef]
- Valdés-Madrigal, M.A.; Montejo-Alvaro, F.; Cernas-Ruiz, A.S.; Rojas-Chávez, H.; Román-Doval, R.; Cruz-Martinez, H.; Medina, D.I. Role of defect engineering and surface functionalization in the design of carbon nanotube-based nitrogen oxide sensors. Int. J. Mol. Sci. 2021, 22, 12968. [Google Scholar] [CrossRef]
- Singla, M.; Jaggi, N. Theoretical investigations of hydrogen gas sensing and storage capacity of graphene-based materials: A review. Sens. Actuator A Phys. 2021, 332, 113118. [Google Scholar] [CrossRef]
- Shiraz, H.G.; Tavakoli, O. Investigation of graphene-based systems for hydrogen storage. Renew. Sustain. Energy Rev. 2017, 74, 104–109. [Google Scholar] [CrossRef]
- Cabria, I.; López, M.J.; Alonso, J.A. Searching for DFT-based methods that include dispersion interactions to calculate the physisorption of H2 on benzene and graphene. J. Chem. Phys. 2017, 146, 214104. [Google Scholar] [CrossRef]
- Meng, S.; Kaxiras, E.; Zhang, Z. Metal− diboride nanotubes as high-capacity hydrogen storage media. Nano Lett. 2007, 7, 663–667. [Google Scholar] [CrossRef]
- Wu, M.; Wang, Q.; Sun, Q.; Jena, P. Functionalized graphitic carbon nitride for efficient energy storage. J. Phys. Chem. C 2013, 117, 6055–6059. [Google Scholar] [CrossRef]
- Jin, X.; Qi, P.; Yang, H.; Zhang, Y.; Li, J.; Chen, H. Enhanced hydrogen adsorption on Li-coated B12C6N6. J. Chem. Phys. 2016, 145, 164301. [Google Scholar] [CrossRef] [PubMed]
- Ao, Z.; Dou, S.; Xu, Z.; Jiang, Q.; Wang, G. Hydrogen storage in porous graphene with Al decoration. Int. J. Hydrog. Energy 2014, 39, 16244–16251. [Google Scholar] [CrossRef]
- Cui, S.; Zhao, N.; Shi, C.; Feng, C.; He, C.; Li, J.; Liu, E. Effect of hydrogen molecule dissociation on hydrogen storage capacity of graphene with metal atom decorated. J. Phys. Chem. C 2014, 118, 839–844. [Google Scholar] [CrossRef]
- Liu, Y.; Zhou, Y.; Yang, S.; Xu, H.; Lan, Z.; Xiong, J.; Gu, H. A DFT study on enhanced adsorption of H2 on Be-decorated porous graphene nanosheet and the effects of applied electrical fields. Int. J. Hydrog. Energy 2021, 46, 5891–5903. [Google Scholar] [CrossRef]
- Ataca, C.; Aktürk, E.; Ciraci, S. Hydrogen storage of calcium atoms adsorbed on graphene: First-principles plane wave calculations. Phys. Rev. B 2009, 79, 041406. [Google Scholar] [CrossRef]
- Lee, H.; Ihm, J.; Cohen, M.L.; Louie, S.G. Calcium-decorated graphene-based nanostructures for hydrogen storage. Nano Lett. 2010, 10, 793–798. [Google Scholar] [CrossRef]
- Beheshti, E.; Nojeh, A.; Servati, P. A first-principles study of calcium-decorated, boron-doped graphene for high capacity hydrogen storage. Carbon 2011, 49, 1561–1567. [Google Scholar] [CrossRef]
- Hussain, T.; Pathak, B.; Ramzan, M.; Maark, T.A.; Ahuja, R. Calcium doped graphane as a hydrogen storage material. Appl. Phys. Lett. 2012, 100, 183902. [Google Scholar] [CrossRef]
- Gao, Y.; Zhao, N.; Li, J.; Liu, E.; He, C.; Shi, C. Hydrogen spillover storage on Ca-decorated graphene. Int. J. Hydrog. Energy 2012, 37, 11835–11841. [Google Scholar] [CrossRef]
- Wang, V.; Mizuseki, H.; He, H.P.; Chen, G.; Zhang, S.L.; Kawazoe, Y. Calcium-decorated graphene for hydrogen storage: A van der Waals density functional study. Comput. Mater. Sci. 2012, 55, 180–185. [Google Scholar] [CrossRef]
- Valencia, H.; Gil, A.; Frapper, G. Trends in the hydrogen activation and storage by adsorbed 3d transition metal atoms onto graphene and nanotube surfaces: A DFT study and molecular orbital analysis. J. Phys. Chem. C 2015, 119, 5506–5522. [Google Scholar] [CrossRef]
- Ma, S.; Chen, J.; Wang, L.; Jiao, Z. First-principles insight into hydrogen adsorption over Co4 anchored on defective graphene. Appl. Surf. Sci. 2020, 504, 144413. [Google Scholar] [CrossRef]
- Choudhary, A.; Malakkal, L.; Siripurapu, R.K.; Szpunar, B.; Szpunar, J. First principles calculations of hydrogen storage on Cu and Pd-decorated graphene. Int. J. Hydrog. Energy 2016, 41, 17652–17656. [Google Scholar] [CrossRef]
- Malček, M.; Bučinský, L. On the hydrogen storage performance of Cu-doped and Cu-decorated graphene quantum dots: A computational study. Theor. Chem. Acc. 2020, 139, 167. [Google Scholar] [CrossRef]
- Liu, W.; Liu, Y.; Wang, R.; Hao, L.; Song, D.; Li, Z. DFT study of hydrogen adsorption on Eu-decorated single-and double-sided graphene. Phys. Status Solidi B 2014, 251, 229–234. [Google Scholar] [CrossRef]
- Ataca, C.; Aktürk, E.; Ciraci, S.A.L.İ.M.; Ustunel, H.A.N.D.E. High-capacity hydrogen storage by metallized graphene. Appl. Phys. Lett. 2008, 93, 043123. [Google Scholar] [CrossRef]
- Zhou, M.; Lu, Y.; Zhang, C.; Feng, Y.P. Strain effects on hydrogen storage capability of metal-decorated graphene: A first-principles study. Appl. Phys. Lett. 2010, 97, 103109. [Google Scholar] [CrossRef]
- Zhou, W.; Zhou, J.; Shen, J.; Ouyang, C.; Shi, S. First-principles study of high-capacity hydrogen storage on graphene with Li atoms. J. Phys. Chem. Solids 2012, 73, 245–251. [Google Scholar] [CrossRef]
- Hussain, T.; De Sarkar, A.; Ahuja, R. Strain induced lithium functionalized graphane as a high capacity hydrogen storage material. Appl. Phys. Lett. 2012, 101, 103907. [Google Scholar] [CrossRef]
- Kim, D.; Lee, S.; Hwang, Y.; Yun, K.H.; Chung, Y.C. Hydrogen storage in Li dispersed graphene with Stone–Wales defects: A first-principles study. Int. J. Hydrog. Energy 2014, 39, 13189–13194. [Google Scholar] [CrossRef]
- Seenithurai, S.; Pandyan, R.K.; Kumar, S.V.; Saranya, C.; Mahendran, M. Li-decorated double vacancy graphene for hydrogen storage application: A first principles study. Int. J. Hydrog. Energy 2014, 39, 11016–11026. [Google Scholar] [CrossRef]
- Wang, F.; Zhang, T.; Hou, X.; Zhang, W.; Tang, S.; Sun, H.; Zhang, J. Li-decorated porous graphene as a high-performance hydrogen storage material: A first-principles study. Int. J. Hydrog. Energy 2017, 42, 10099–10108. [Google Scholar] [CrossRef]
- Tachikawa, H.; Iyama, T. Mechanism of hydrogen storage in the graphene nanoflake–lithium–H2 system. J. Phys. Chem. C 2019, 123, 8709–8716. [Google Scholar] [CrossRef]
- Liu, Y.; Gao, S.; Lu, F.; Yu, A.; Song, S.; Shi, H.; Liao, B. Hydrogen adsorption on Li decorated graphyne-like carbon nanosheet: A density functional theory study. Int. J. Hydrog. Energy 2020, 45, 24938–24946. [Google Scholar] [CrossRef]
- Zheng, N.; Yang, S.; Xu, H.; Lan, Z.; Wang, Z.; Gu, H. A DFT study of the enhanced hydrogen storage performance of the Li-decorated graphene nanoribbons. Vacuum 2020, 171, 109011. [Google Scholar] [CrossRef]
- Ibarra-Rodriguez, M.; Sanchez, M. Lithium clusters on graphene surface and their ability to adsorb hydrogen molecules. Int. J. Hydrog. Energy 2021, 46, 21984–21993. [Google Scholar] [CrossRef]
- Amaniseyed, Z.; Tavangar, Z. Hydrogen storage on uncharged and positively charged Mg-decorated graphene. Int. J. Hydrog. Energy 2019, 44, 3803–3811. [Google Scholar] [CrossRef]
- Sigal, A.; Rojas, M.I.; Leiva, E.P.M. Interferents for hydrogen storage on a graphene sheet decorated with nickel: A DFT study. Int. J. Hydrog. Energy 2011, 36, 3537–3546. [Google Scholar] [CrossRef]
- Cabria, I.; López, M.J.; Fraile, S.; Alonso, J.A. Adsorption and dissociation of molecular hydrogen on palladium clusters supported on graphene. J. Phys. Chem. C 2012, 116, 21179–21189. [Google Scholar] [CrossRef]
- Faye, O.; Szpunar, J.A.; Szpunar, B.; Beye, A.C. Hydrogen adsorption and storage on palladium–functionalized graphene with NH-dopant: A first principles calculation. Appl. Surf. Sci. 2017, 392, 362–374. [Google Scholar] [CrossRef]
- Kishnani, V.; Yadav, A.; Mondal, K.; Gupta, A. Palladium-functionalized graphene for hydrogen sensing performance: Theoretical studies. Energies 2021, 14, 5738. [Google Scholar] [CrossRef]
- Sharma, V.; Kagdada, H.L.; Wang, J.; Jha, P.K. Hydrogen adsorption on pristine and platinum decorated graphene quantum dot: A first principle study. Int. J. Hydrog. Energy 2020, 45, 23977–23987. [Google Scholar] [CrossRef]
- Chen, Y.; Wang, J.; Yuan, L.; Zhang, M.; Zhang, C. Sc-decorated porous graphene for high-capacity hydrogen storage: First-principles calculations. Materials 2017, 10, 894. [Google Scholar] [CrossRef]
- Lebon, A.; Carrete, J.; Gallego, L.J.; Vega, A. Ti-decorated zigzag graphene nanoribbons for hydrogen storage. A van der Waals-corrected density-functional study. Int. J. Hydrog. Energy 2015, 40, 4960–4968. [Google Scholar] [CrossRef]
- Yuan, L.; Kang, L.; Chen, Y.; Wang, D.; Gong, J.; Wang, C.; Wu, X. Hydrogen storage capacity on Ti-decorated porous graphene: First-principles investigation. Appl. Surf. Sci. 2018, 434, 843–849. [Google Scholar] [CrossRef]
- Ghalami, Z.; Ghoulipour, V.; Khanchi, A. Hydrogen and deuterium adsorption on uranium decorated graphene nanosheets: A combined molecular dynamics and density functional theory study. Curr. Appl. Phys. 2019, 19, 536–541. [Google Scholar] [CrossRef]
- Yuan, L.; Wang, D.; Gong, J.; Zhang, C.; Zhang, L.; Zhang, M.; Kang, L. First-principles study of V-decorated porous graphene for hydrogen storage. Chem. Phys. Lett. 2019, 726, 57–61. [Google Scholar] [CrossRef]
- Yuan, L.; Chen, Y.; Kang, L.; Zhang, C.; Wang, D.; Wang, C.; Wu, X. First-principles investigation of hydrogen storage capacity of Y-decorated porous graphene. Appl. Surf. Sci. 2017, 399, 463–468. [Google Scholar] [CrossRef]
- Lebon, A.; Carrete, J.; Longo, R.C.; Vega, A.; Gallego, L.J. Molecular hydrogen uptake by zigzag graphene nanoribbons doped with early 3d transition-metal atoms. Int. J. Hydrog. Energy 2013, 38, 8872–8880. [Google Scholar] [CrossRef]
- Zhang, Y.; Cheng, X. First-principles study of Li decorated coronene graphene. Int. J. Mod. Phys. B 2017, 31, 1750216. [Google Scholar] [CrossRef]
- Liu, Y.; Ren, L.; He, Y.; Cheng, H.P. Titanium-decorated graphene for high-capacity hydrogen storage studied by density functional simulations. J. Phys. Condens. Matter. 2010, 22, 445301. [Google Scholar] [CrossRef] [PubMed]
- Bakhshi, F.; Farhadian, N. Co-doped graphene sheets as a novel adsorbent for hydrogen storage: DFT and DFT-D3 correction dispersion study. Int. J. Hydrog. Energy 2018, 43, 8355–8364. [Google Scholar] [CrossRef]
- Faye, O.; Eduok, U.; Szpunar, J.; Szpunar, B.; Samoura, A.; Beye, A. Hydrogen storage on bare Cu atom and Cu-functionalized boron-doped graphene: A first principles study. Int. J. Hydrog. Energy 2017, 42, 4233–4243. [Google Scholar] [CrossRef]
- Fadlallah, M.M.; Abdelrahman, A.G.; Schwingenschlögl, U.; Maarouf, A.A. Graphene and graphene nanomesh supported nickel clusters: Electronic, magnetic, and hydrogen storage properties. Nanotechnology 2019, 30, 085709. [Google Scholar] [CrossRef]
- Ambrusi, R.E.; Luna, C.R.; Juan, A.; Pronsato, M.E. DFT study of Rh-decorated pristine, B-doped and vacancy defected graphene for hydrogen adsorption. RSC Adv. 2016, 6, 83926–83941. [Google Scholar] [CrossRef]
- Available online: https://www.energy.gov/eere/fuelcells/doe-technical-targets-onboard-hydrogen-storage-light-duty-vehicles (accessed on 5 November 2023).
- Cruz-Martínez, H.; Rojas-Chávez, H.; Valdés-Madrigal, M.A.; López-Sosa, L.; Calaminici, P. Stability and catalytic properties of Pt–Ni clusters supported on pyridinic N-doped graphene nanoflakes: An auxiliary density functional theory study. Theor. Chem. Acc. 2022, 141, 46. [Google Scholar] [CrossRef]
- Wang, X.; Sun, G.; Routh, P.; Kim, D.H.; Huang, W.; Chen, P. Heteroatom-doped graphene materials: Syntheses, properties and applications. Chem. Soc. Rev. 2014, 43, 7067–7098. [Google Scholar] [CrossRef]
- Duan, J.; Chen, S.; Jaroniec, M.; Qiao, S.Z. Heteroatom-doped graphene-based materials for energy-relevant electrocatalytic processes. ACS Catalys. 2015, 5, 5207–5234. [Google Scholar] [CrossRef]
- Martínez-Vargas, A.; Vásquez-López, A.; Antonio-Ruiz, C.D.; Cruz-Martínez, H.; Medina, D.I.; Montejo-Alvaro, F. Stability, Energetic, and Reactivity Properties of NiPd Alloy Clusters Deposited on Graphene with Defects: A Density Functional Theory Study. Materials 2022, 15, 4710. [Google Scholar]
- Putri, L.K.; Ong, W.J.; Chang, W.S.; Chai, S.P. Heteroatom doped graphene in photocatalysis: A review. Appl. Surf. Sci. 2015, 358, 2–14. [Google Scholar] [CrossRef]
- Sánchez-Rodríguez, E.P.; Vargas-Hernández, C.N.; Cruz-Martínez, H.; Medina, D.I. Stability, magnetic, energetic, and reactivity properties of icosahedral M@Pd12 (M = Fe, Co, Ni, and Cu) core-shell nanoparticles supported on pyridinic N3-doped graphene. Solid State Sci. 2021, 112, 106483. [Google Scholar] [CrossRef]
- Carrete, J.; Longo, R.C.; Gallego, L.J.; Vega, A.; Balbás, L.C. Al enhances the H2 storage capacity of graphene at nanoribbon borders but not at central sites: A study using nonlocal van der Waals density functionals. Phys. Rev. B 2012, 85, 125435. [Google Scholar] [CrossRef]
- Zhang, H.P.; Luo, X.G.; Lin, X.Y.; Lu, X.; Leng, Y. Density functional theory calculations of hydrogen adsorption on Ti-, Zn-, Zr-, Al-, and N-doped and intrinsic graphene sheets. Int. J. Hydrog. Energy 2013, 38, 14269–14275. [Google Scholar] [CrossRef]
- Cho, J.H.; Yang, S.J.; Lee, K.; Park, C.R. Si-doping effect on the enhanced hydrogen storage of single walled carbon nanotubes and graphene. Int. J. Hydrog. Energy 2011, 36, 12286–12295. [Google Scholar] [CrossRef]
- Nayyar, I.; Ginovska, B.; Karkamkar, A.; Gennett, T.; Autrey, T. Physi-sorption of H2 on pure and boron–doped graphene monolayers: A dispersion–corrected DFT study. C 2020, 6, 15. [Google Scholar] [CrossRef]
- Choi, W.I.; Jhi, S.H.; Kim, K.; Kim, Y.H. Divacancy-nitrogen-assisted transition metal dispersion and hydrogen adsorption in defective graphene: A first-principles study. Phys. Rev. B 2010, 81, 085441. [Google Scholar] [CrossRef]
- Tabtimsai, C.; Rakrai, W.; Wanno, B. Hydrogen adsorption on graphene sheets doped with group 8B transition metal: A DFT investigation. Vacuum 2017, 139, 101–108. [Google Scholar] [CrossRef]
- Ikot, I.J.; Olagoke, P.O.; Louis, H.; Charlie, D.E.; Magu, T.O.; Owen, A.E. Hydrogen storage capacity of Al, Ca, Mg, Ni, and Zn decorated phosphorus-doped graphene: Insight from theoretical calculations. Int. J. Hydrog. Energy 2023, 48, 13362–13376. [Google Scholar] [CrossRef]
- Singla, M.; Sharma, D.; Jaggi, N. Effect of transition metal (Cu and Pt) doping/co-doping on hydrogen gas sensing capability of graphene: A DFT study. Int. J. Hydrog. Energy 2021, 46, 16188–16201. [Google Scholar] [CrossRef]
- Rangel, E.; Ramirez-Arellano, J.M.; Carrillo, I.; Magana, L.F. Hydrogen adsorption around lithium atoms anchored on graphene vacancies. Int. J. Hydrog. Energy 2011, 36, 13657–13662. [Google Scholar] [CrossRef]
- Yang, S.; Lan, Z.; Xu, H.; Lei, G.; Xie, W.; Gu, Q. A first-principles study on hydrogen sensing properties of pristine and Mo-doped graphene. J. Nanotechnol. 2018, 2018, 2031805. [Google Scholar] [CrossRef]
- Ao, Z.M.; Peeters, F.M. Electric field activated hydrogen dissociative adsorption to nitrogen-doped graphene. J. Phys. Chem. C 2010, 114, 14503–14509. [Google Scholar] [CrossRef]
- Petrushenko, I.K.; Petrushenko, K.B. Hydrogen physisorption on nitrogen-doped graphene and graphene-like boron nitride-carbon heterostructures: A DFT study. Surf. Interfaces 2019, 17, 100355. [Google Scholar] [CrossRef]
- Ramos-Castillo, C.M.; Reveles, J.U.; Cifuentes-Quintal, M.E.; Zope, R.R.; De Coss, R. Ti4-and Ni4-doped defective graphene nanoplatelets as efficient materials for hydrogen storage. J. Phys. Chem. C 2016, 120, 5001–5009. [Google Scholar] [CrossRef]
- Alshareef, B.S. DFT investigation of the hydrogen adsorption on graphene and graphene sheet doped with osmium and tungsten. J. Phys. Chem. 2020, 10, 197–204. [Google Scholar] [CrossRef]
- Ramos-Castillo, C.M.; Reveles, J.U.; Zope, R.R.; De Coss, R. Palladium clusters supported on graphene monovacancies for hydrogen storage. J. Phys. Chem. C 2015, 119, 8402–8409. [Google Scholar] [CrossRef]
- Granja-DelRio, A.; Alonso, J.A.; Lopez, M.J. Competition between palladium clusters and hydrogen to saturate graphene vacancies. J. Phys. Chem. C 2017, 121, 10843–10850. [Google Scholar] [CrossRef]
- Granja-DelRío, A.; Alonso, J.A.; López, M.J. Steric and chemical effects on the hydrogen adsorption and dissociation on free and graphene–supported palladium clusters. Comput. Theor. Chem. 2017, 1107, 23–29. [Google Scholar] [CrossRef]
- Liao, J.H.; Zhao, Y.J.; Yang, X.B. Controllable hydrogen adsorption and desorption by strain modulation on Ti decorated defective graphene. Int. J. Hydrog. Energy 2015, 40, 12063–12071. [Google Scholar] [CrossRef]
- Zhou, Q.; Wang, C.; Fu, Z.; Yuan, L.; Yang, X.; Tang, Y.; Zhang, H. Hydrogen adsorption on palladium anchored defected graphene with B-doping: A theoretical study. Int. J. Hydrog. Energy 2015, 40, 2473–2483. [Google Scholar] [CrossRef]
- Granja-DelRío, A.; Alducin, M.; Juaristi, J.I.; López, M.J.; Alonso, J.A. Absence of spillover of hydrogen adsorbed on small palladium clusters anchored to graphene vacancies. Appl. Surf. Sci. 2021, 559, 149835. [Google Scholar] [CrossRef]
- López-Corral, I.; Piriz, S.; Faccio, R.; Juan, A.; Avena, M. A van der Waals DFT study of PtH2 systems absorbed on pristine and defective graphene. Appl. Surf. Sci. 2016, 382, 80–87. [Google Scholar] [CrossRef]
- Cui, H.; Zhang, Y.; Tian, W.; Wang, Y.; Liu, T.; Chen, Y.; Yuan, H. A study on hydrogen storage performance of Ti decorated vacancies graphene structure on the first principle. RSC Adv. 2021, 11, 13912–13918. [Google Scholar] [CrossRef] [PubMed]
- Ao, Z.M.; Jiang, Q.; Zhang, R.Q.; Tan, T.T.; Li, S. Al doped graphene: A promising material for hydrogen storage at room temperature. J. Appl. Phys. 2009, 105, 074307. [Google Scholar] [CrossRef]
- Xiang, C.; Li, A.; Yang, S.; Lan, Z.; Xie, W.; Tang, Y.; Gu, H. Enhanced hydrogen storage performance of graphene nanoflakes doped with Cr atoms: A DFT study. RSC Adv. 2019, 9, 25690–25696. [Google Scholar] [CrossRef] [PubMed]
- Zhou, Y.; Chu, W.; Jing, F.; Zheng, J.; Sun, W.; Xue, Y. Enhanced hydrogen storage on Li-doped defective graphene with B substitution: A DFT study. Appl. Surf. Sci. 2017, 410, 166–176. [Google Scholar] [CrossRef]
- Lee, S.; Lee, M.; Chung, Y.C. Enhanced hydrogen storage properties under external electric fields of N-doped graphene with Li decoration. Phys. Chem. Chem. Phys. 2013, 15, 3243–3248. [Google Scholar] [CrossRef]
- Kim, D.; Lee, S.; Jo, S.; Chung, Y.C. Strain effects on hydrogen storage in Ti decorated pyridinic N-doped graphene. Phys. Chem. Chem. Phys. 2013, 15, 12757–12761. [Google Scholar] [CrossRef]
- Lee, S.; Lee, M.; Choi, H.; Yoo, D.S.; Chung, Y.C. Effect of nitrogen induced defects in Li dispersed graphene on hydrogen storage. Int. J. Hydrog. Energy 2013, 38, 4611–4617. [Google Scholar] [CrossRef]
- Rangel, E.; Sansores, E.; Vallejo, E.; Hernández-Hernández, A.; López-Pérez, P.A. Study of the interplay between N-graphene defects and small Pd clusters for enhanced hydrogen storage via a spill-over mechanism. Phys. Chem. Chem. Phys. 2016, 18, 33158–33170. [Google Scholar] [CrossRef]
- Luo, Z.; Fan, X.; Pan, R.; An, Y. A first-principles study of Sc-decorated graphene with pyridinic-N defects for hydrogen storage. Int. J. Hydrog. Energy 2017, 42, 3106–3113. [Google Scholar] [CrossRef]
- Singla, M.; Jaggi, N. Enhanced hydrogen sensing properties in copper decorated nitrogen doped defective graphene nanoribbons: DFT study. Phys. E Low Dimens. Syst. Nanostruct. 2021, 131, 114756. [Google Scholar] [CrossRef]
- Rajasekaran, G.; Narayanan, P.; Parashar, A. Effect of point and line defects on mechanical and thermal properties of graphene: A review. Crit. Rev. Solid State Mater. Sci. 2016, 41, 47–71. [Google Scholar] [CrossRef]
- Liu, L.; Qing, M.; Wang, Y.; Chen, S. Defects in graphene: Generation, healing, and their effects on the properties of graphene: A review. J. Mater. Sci. Technol. 2015, 31, 599–606. [Google Scholar] [CrossRef]
- Yadav, S.; Zhu, Z.; Singh, C.V. Defect engineering of graphene for effective hydrogen storage. Int. J. Hydrog. Energy 2014, 39, 4981–4995. [Google Scholar] [CrossRef]
- Gehringer, D.; Dengg, T.; Popov, M.N.; Holec, D. Interactions between a H2 molecule and carbon nanostructures: A DFT study. C 2020, 6, 16. [Google Scholar] [CrossRef]
- Sunnardianto, G.K.; Bokas, G.; Hussein, A.; Walters, C.; Moultos, O.A.; Dey, P. Efficient hydrogen storage in defective graphene and its mechanical stability: A combined density functional theory and molecular dynamics simulation study. Int. J. Hydrog. Energy 2021, 46, 5485–5494. [Google Scholar] [CrossRef]
- Lone, B. Mg Decorated Boron doped Graphene for Hydrogen Storage: A DFT Method. Int. J. Res. Appl. Sci. Eng. Technol. 2020, 8, 109–181. [Google Scholar] [CrossRef]
- Wu, H.Y.; Fan, X.; Kuo, J.L.; Deng, W.Q. DFT study of hydrogen storage by spillover on graphene with boron substitution. J. Phys. Chem. C 2011, 115, 9241–9249. [Google Scholar] [CrossRef]
- Nachimuthu, S.; Lai, P.J.; Jiang, J.C. Efficient hydrogen storage in boron doped graphene decorated by transition metals–A first-principles study. Carbon 2014, 73, 132–140. [Google Scholar] [CrossRef]
- Liu, W.; Liu, Y.; Wang, R. Prediction of hydrogen storage on Y-decorated graphene: A density functional theory study. Appl. Surf. Sci. 2014, 296, 204–208. [Google Scholar] [CrossRef]
- Nachimuthu, S.; Lai, P.J.; Leggesse, E.G.; Jiang, J.C. A first principles study on boron-doped graphene decorated by Ni-Ti-Mg atoms for enhanced hydrogen storage performance. Sci. Rep. 2015, 5, 16797. [Google Scholar] [CrossRef]
- Li, Y.; Mi, Y.; Sun, G. First principles DFT study of hydrogen storage on graphene with La decoration. J. Mater. Sci. Chem. Eng. 2015, 3, 87. [Google Scholar] [CrossRef][Green Version]
- Ma, L.; Zhang, J.M.; Xu, K.W.; Ji, V. Hydrogen adsorption and storage on palladium-decorated graphene with boron dopants and vacancy defects: A first-principles study. Phys. E Low Dimens. Syst. Nanostruct. 2015, 66, 40–47. [Google Scholar] [CrossRef]
- Zhu, X. First principles calculations of hydrogen storage on calcium-decorated, boron-doped bilayer graphene. J. Mater. Sci. Chem. Eng. 2018, 6, 1–12. [Google Scholar] [CrossRef]
- Wang, J.; Chen, Y.; Yuan, L.; Zhang, M.; Zhang, C. Scandium decoration of boron doped porous graphene for high-capacity hydrogen storage. Molecules 2019, 24, 2382. [Google Scholar] [CrossRef]
- Chu, S.; Hu, L.; Hu, X.; Yang, M.; Deng, J. Titanium-embedded graphene as high-capacity hydrogen-storage media. Int. J. Hydrog. Energy 2011, 36, 12324–12328. [Google Scholar] [CrossRef]
- Sen, D.; Thapa, R.; Chattopadhyay, K.K. Small Pd cluster adsorbed double vacancy defect graphene sheet for hydrogen storage: A first-principles study. Int. J. Hydrog. Energy 2013, 38, 3041–3049. [Google Scholar] [CrossRef]
- Fair, K.M.; Cui, X.Y.; Li, L.; Shieh, C.C.; Zheng, R.K.; Liu, Z.W.; Stampfl, C. Hydrogen adsorption capacity of adatoms on double carbon vacancies of graphene: A trend study from first principles. Phys. Rev. B 2013, 87, 014102. [Google Scholar] [CrossRef]
- Ma, L.; Zhang, J.M.; Xu, K.W.; Ji, V. Hydrogen adsorption and storage of Ca-decorated graphene with topological defects: A first-principles study. Phys. E Low Dimens. Syst. Nanostruct. 2014, 63, 45–51. [Google Scholar] [CrossRef]
- Lotfi, R.; Saboohi, Y. A comparative study on hydrogen interaction with defective graphene structures doped by transition metals. Phys. E Low Dimens. Syst. Nanostruct. 2014, 60, 104–111. [Google Scholar] [CrossRef]
- Zhang, X.; Tang, C.; Jiang, Q. Electric field induced enhancement of hydrogen storage capacity for Li atom decorated graphene with Stone-Wales defects. Int. J. Hydrog. Energy 2016, 41, 10776–10785. [Google Scholar] [CrossRef]
- Mahendran, M.; Rekha, B.; Seenithurai, S.; Kodi Pandyan, R.; Vinodh Kumar, S. Hydrogen storage in Beryllium decorated graphene with double vacancy and porphyrin defect—A first principles study. Funct. Mater. Lett. 2017, 10, 1750023. [Google Scholar] [CrossRef]
- Long, J.; Li, J.; Nan, F.; Yin, S.; Li, J.; Cen, W. Tailoring the thermostability and hydrogen storage capacity of Li decorated carbon materials by heteroatom doping. Appl. Surf. Sci. 2018, 435, 1065–1071. [Google Scholar] [CrossRef]
- Akilan, R.; Vinnarasi, S.; Mohanapriya, S.; Shankar, R. Adsorption of H2 molecules on B/N-doped defected graphene sheets—A DFT study. Struct. Chem. 2020, 31, 2413–2434. [Google Scholar] [CrossRef]
- Ma, K.; Lv, E.; Zheng, D.; Cui, W.; Dong, S.; Yang, W.; Zhou, Y. A first-principles study on titanium-decorated adsorbent for hydrogen storage. Energies 2021, 14, 6845. [Google Scholar] [CrossRef]
- Singla, M.; Jaggi, N. Synergistic effect of Cu decoration and N doping in divacancy defected graphene nanoribbons on hydrogen gas sensing properties: DFT study. Mat. Chem. Phys. 2021, 273, 125093. [Google Scholar] [CrossRef]
Disclaimer/Publisher’s Note: The statements, opinions and data contained in all publications are solely those of the individual author(s) and contributor(s) and not of MDPI and/or the editor(s). MDPI and/or the editor(s) disclaim responsibility for any injury to people or property resulting from any ideas, methods, instructions or products referred to in the content. |
© 2024 by the authors. Licensee MDPI, Basel, Switzerland. This article is an open access article distributed under the terms and conditions of the Creative Commons Attribution (CC BY) license (https://creativecommons.org/licenses/by/4.0/).









