Application of a Novel UPLC-MS/MS Method for Analysis of Rivaroxaban Concentrations in Dried Blood Spot and Plasma Samples Collected from Patients with Venous Thrombosis
Abstract
1. Introduction
2. Results
2.1. UPLC-MS/MS Conditions
2.2. Method Validation
2.2.1. Selectivity
2.2.2. Calibration Curve
2.2.3. LLOQ, Accuracy and Precision
2.2.4. Recovery and Matrix Effect
2.2.5. Dilution Integrity
2.2.6. Stability
2.2.7. Correlation of the Rivaroxaban Concentration in DBS and Plasma
2.2.8. Hematocrit and Blood Spot Volume
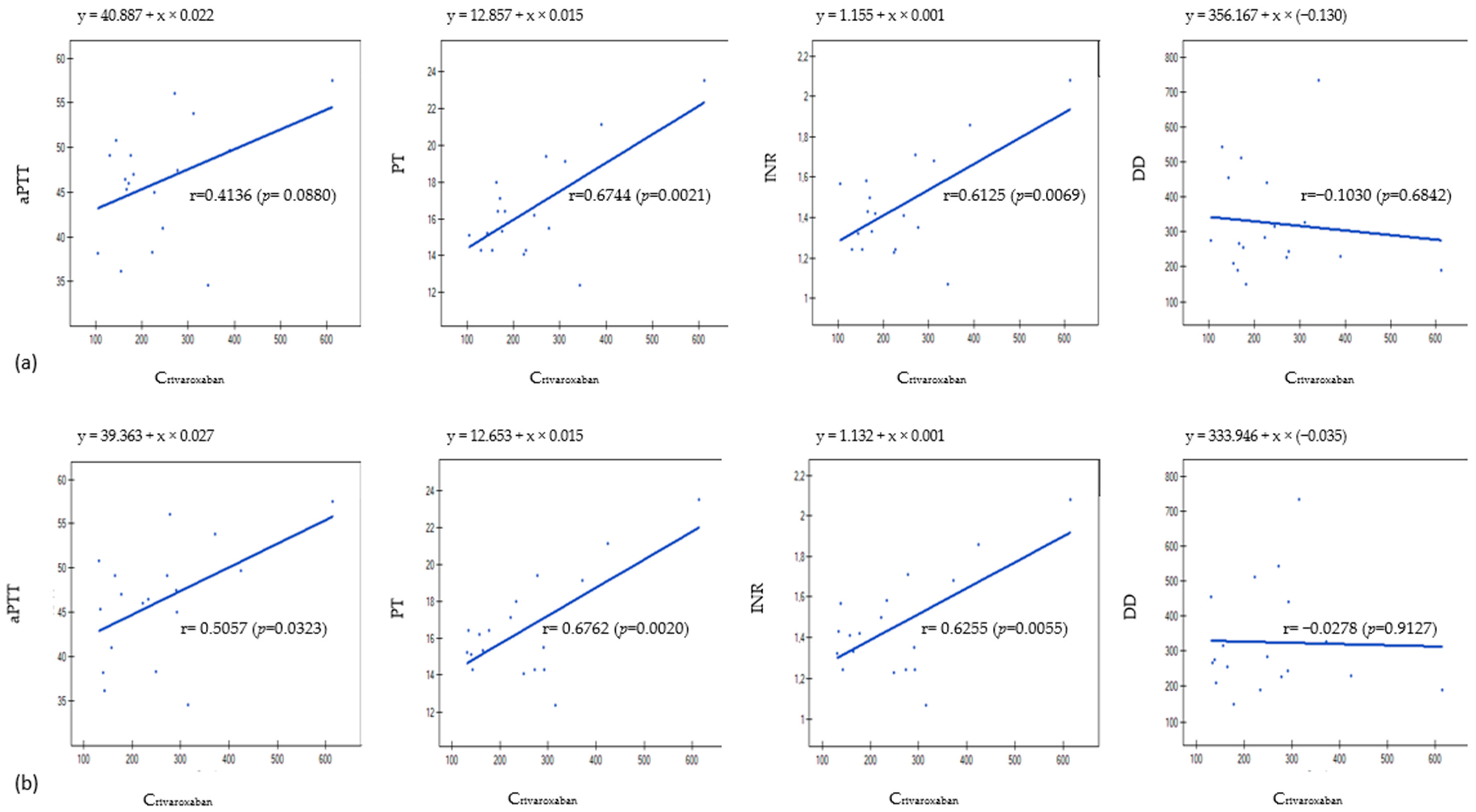
2.2.9. Clinical Samples
3. Discussion
4. Materials and Methods
4.1. Chemicals and Reagents
4.2. UHPLC-MS/MS and Chromatographic Conditions
4.3. Standard Solutions
4.3.1. Preparation of Calibrators and Quality Control Samples
4.4. Method Validation
4.4.1. Selectivity
4.4.2. Calibration Curves
4.4.3. LLOQ, Accuracy and Precision
4.4.4. Carry-Over Effect
4.4.5. Recovery
4.4.6. Matrix Effect
4.4.7. Dilution Integrity
4.4.8. Stability
4.4.9. Hematocrit and Blood Spot Volume
4.4.10. Correlation of the Rivaroxaban Concentration in DBS and Plasma
4.4.11. Clinical Application
5. Conclusions
Supplementary Materials
Author Contributions
Funding
Institutional Review Board Statement
Informed Consent Statement
Data Availability Statement
Conflicts of Interest
References
- Gómez-Outes, A.; Terleira-Fernández, A.I.; Calvo-Rojas, G.; Suárez-Gea, M.L.; Vargas-Castrillón, E. Dabigatran, Rivaroxaban, or Apixaban versus Warfarin in Patients with Nonvalvular Atrial Fibrillation: A Systematic Review and Meta-Analysis of Subgroups. Thrombosis 2013, 2013, 640723. [Google Scholar] [CrossRef] [PubMed]
- Alkhezi, O.S.; Buckley, L.F.; Fanikos, J. Trends in Oral Anticoagulant Use and Individual Expenditures across the United States from 2014 to 2020. Am. J. Cardiovasc. Drugs Drugs Devices Interv. 2024, 24, 433–444. [Google Scholar] [CrossRef] [PubMed]
- Abdel-Razeq, H.; Al-Jaghbeer, M.J. Primary Thromboprophylaxis for the Prevention of Venous Thromboembolism in Cancer Patients with Central Venous Catheters: A Literature Review. J. Clin. Med. 2024, 13, 1660. [Google Scholar] [CrossRef] [PubMed]
- Escobar, C.; Palacios, B.; Villarreal, M.; Gutiérrez, M.; Capel, M.; Hernández, I.; García, M.; Lledó, L.; Arenillas, J.F. Clinical Characteristics and Incidence of Hemorrhagic Complications in Patients Taking Factor Xa Inhibitors in Spain: A Long-Term Observational Study. J. Clin. Med. 2024, 13, 1677. [Google Scholar] [CrossRef]
- Ruigómez, A.; Schink, T.; Voss, A.; Herings, R.M.C.; Smits, E.; Swart-Polinder, K.; Balabanova, Y.; Brobert, G.; Suzart-Woischnik, K.; Rodríguez, L.A.G. Safety profile of rivaroxaban in first-time users treated for venous thromboembolism in four European countries. PLoS ONE 2024, 19, e0298596. [Google Scholar] [CrossRef]
- Yaghoubian, J.M.; Adashek, J.; Yaghoubian-Yazi, B.; Nagar, M.; Toomari, N.; Pietras, R.J.; Ben-Zur, U.M. Incomplete Resolution of Deep Vein Thromboses during Rivaroxaban Therapy. Case Rep. Cardiol. 2017, 2017, 3628127. [Google Scholar] [CrossRef]
- Al-Khafaji, R.A. Developing Deep Venous Thrombosis while on Rivaroxaban: A Review of Rivaroxaban. Available online: https://www.hilarispublisher.com/open-access/developing-deep-venous-thrombosis-while-on-rivaroxaban-a-review-of-rivaroxaban-45389.html (accessed on 25 June 2024).
- Mohamed, M.; Musa, M.; Fadul, A.; Abdallah, I.; Najim, M.; Saeed, A. Treatment Failure of Cerebral Venous Thrombosis with Rivaroxaban: A Case Report and Narrative Review. Cureus 2022, 14, e23778. [Google Scholar] [CrossRef]
- Dufrost, V.; Risse, J.; Kirchner, S.; Zuily, S.; Wahl, D. Failure of rivaroxaban to prevent thrombosis in four patients with anti-phospholipid syndrome. Rheumatol Oxf. Engl. 2017, 56, 1433–1434. [Google Scholar] [CrossRef][Green Version]
- Mueck, W.; Stampfuss, J.; Kubitza, D.; Becka, M. Clinical pharmacokinetic and pharmacodynamic profile of rivaroxaban. Clin. Pharmacokinet. 2014, 53, 1–16. [Google Scholar] [CrossRef]
- Mueck, W.; Kubitza, D.; Becka, M. Co-administration of rivaroxaban with drugs that share its elimination pathways: Pharmacokinetic effects in healthy subjects. Br. J. Clin. Pharmacol. 2013, 76, 455–466. [Google Scholar] [CrossRef]
- Ferri, N.; Colombo, E.; Tenconi, M.; Baldessin, L.; Corsini, A. Drug-Drug Interactions of Direct Oral Anticoagulants (DOACs): From Pharmacological to Clinical Practice. Pharmaceutics 2022, 14, 1120. [Google Scholar] [CrossRef]
- Mao, Q.; Unadkat, J.D. Role of the Breast Cancer Resistance Protein (BCRP/ABCG2) in Drug Transport—An Update. AAPS J. 2014, 17, 65–82. [Google Scholar] [CrossRef]
- Grześk, G.; Rogowicz, D.; Wołowiec, Ł.; Ratajczak, A.; Gilewski, W.; Chudzińska, M.; Sinkiewicz, A.; Banach, J. The Clinical Significance of Drug–Food Interactions of Direct Oral Anticoagulants. Int. J. Mol. Sci. 2021, 22, 8531. [Google Scholar] [CrossRef] [PubMed]
- Wu, T.; Wu, S.; Li, L.; Xiang, J.; Wang, N.; Chen, W.; Zhang, J. The impact of ABCB1, CYP3A4/5 and ABCG2 gene polymorphisms on rivaroxaban trough concentrations and bleeding events in patients with non-valvular atrial fibrillation. Hum. Genomics 2023, 17, 59. [Google Scholar] [CrossRef]
- Li, X.; Gu, Z.; Wang, Z.; Xu, Q.; Ma, C.; Lv, Q. Mutant CYP3A4/5 Correlated with Clinical Outcomes by Affecting Rivaroxaban Pharmacokinetics and Pharmacodynamics in Patients with Atrial Fibrillation. Cardiovasc. Drugs Ther. 2023, 1–11. [Google Scholar] [CrossRef]
- Baturina, O.; Chashkina, M.; Andreev, D.; Mirzaev, K.; Bykova, A.; Suvorov, A.; Yeryshova, D.; Suchkova, S.; Sychev, D.; Syrkin, A. Pharmacokinetic and Pharmacogenetic Predictors of Major Bleeding Events in Patients with an Acute Coronary Syndrome and Atrial Fibrillation Receiving Combined Antithrombotic Therapy. J. Pers. Med. 2023, 13, 1371. [Google Scholar] [CrossRef] [PubMed]
- Helin, T.; Joutsi-Korhonen, L.; Lassila, R. Clinical use and laboratory testing of oral anticoagulation therapy: Experience from Finland. Ann. Blood 2019, 4, 17. [Google Scholar] [CrossRef]
- Wołowiec, Ł.; Kusiak, M.; Budzyński, J.; Wołowiec, A.; Jaśniak, A.; Wiciński, M.; Pedrycz-Wieczorska, A.; Rogowicz, D.; Grześk, G. Therapeutic Drug Monitoring of Direct Oral Anticoagulants in Patients with Extremely Low and High Body Weight—Pilot Study. J. Clin. Med. 2023, 12, 4969. [Google Scholar] [CrossRef] [PubMed]
- Kaserer, A.; Schedler, A.; Seifert, B.; Spahn, D.R.; Studt, J.-D.; Stein, P. Standard coagulation assays alone are not sufficient to exclude surgically relevant rivaroxaban plasma concentrations. Perioper. Med. 2019, 8, 15. [Google Scholar] [CrossRef]
- Margetić, S.; Ćelap, I.; Kes, V.B.; Lovrenčić-Huzjan, A.; Kobasić, I.; Goreta, S.; Pavlović, N.; Brkljačić, D.D. Chromogenic anti-FXa assay calibrated with low molecular weight heparin in patients treated with rivaroxaban and apixaban: Possibilities and limitations. Biochem. Med. 2020, 30, 74–82. [Google Scholar] [CrossRef]
- Ren, J.; Wang, N.; Zhang, X.; Song, F.; Zheng, X.; Han, X. A systematic review and meta-analysis of the morbidity of efficacy endpoints and bleeding events in elderly and young patients treated with the same dose rivaroxaban. Ann. Hematol. 2024, 1–11. [Google Scholar] [CrossRef] [PubMed]
- Douxfils, J.; Pochet, L.; Lessire, S.; Vancraeynest, C.; Dogné, J.-M.; Mullier, F. Mass spectrometry in the therapeutic drug monitoring of direct oral anticoagulants. Useful or useless? TrAC Trends Anal. Chem. 2016, 84, 41–50. [Google Scholar] [CrossRef]
- Derogis, P.B.M.; Sanches, L.R.; de Aranda, V.F.; Colombini, M.P.; Mangueira, C.L.P.; Katz, M.; Faulhaber, A.C.L.; Mendes, C.E.A.; Ferreira, C.E.d.S.; França, C.N.; et al. Determination of rivaroxaban in patient’s plasma samples by anti-Xa chromogenic test associated to High Performance Liquid Chromatography tandem Mass Spectrometry (HPLC-MS/MS). PLoS ONE 2017, 12, e0171272. [Google Scholar] [CrossRef] [PubMed]
- Brückner, L.; Beyer-Westendorf, J.; Tiebel, O.; Pietsch, J. Development and validation of an analytical method for the determination of direct oral anticoagulants (DOAC) and the direct thrombin-inhibitor argatroban by HPLC–MS/MS. J. Thromb. Thrombolysis 2022, 53, 777–787. [Google Scholar] [CrossRef]
- Gosselin, R.C.; Adcock, D.M.; Bates, S.M.; Douxfils, J.; Favaloro, E.J.; Gouin-Thibault, I.; Guillermo, C.; Kawai, Y.; Lindhoff-Last, E.; Kitchen, S. International Council for Standardization in Haematology (ICSH) Recommendations for Laboratory Measurement of Direct Oral Anticoagulants. Thromb. Haemost. 2018, 118, 437–450. [Google Scholar] [CrossRef]
- Lee, H.; Park, Y.; Jo, J.; In, S.; Park, Y.; Kim, E.; Pyo, J.; Choe, S. Analysis of benzodiazepines and their metabolites using DBS cards and LC–MS/MS. Forensic Sci. Int. 2015, 255, 137–145. [Google Scholar] [CrossRef]
- Luginbühl, M.; Gaugler, S. The application of fully automated dried blood spot analysis for liquid chromatography-tandem mass spectrometry using the CAMAG DBS-MS 500 autosampler. Clin. Biochem. 2020, 82, 33–39. [Google Scholar] [CrossRef]
- Bernardo, M.; Mezquida, G.; Ferré, P.; Cabrera, B.; Torra, M.; Lizana, A.M.; Brunet, M. Dried Blood Spot (DBS) as a useful tool to improve clozapine, aripiprazole and paliperidone treatment: From adherence to efficiency. Rev. Psiquiatr. Salud Ment. 2022, 15, 230–237. [Google Scholar] [CrossRef]
- Guthrie, R. Blood Screening for Phenylketonuria. JAMA 1961, 178, 863. [Google Scholar] [CrossRef]
- Foerster, K.I.; Huppertz, A.; Meid, A.D.; Müller, O.J.; Rizos, T.; Tilemann, L.; Haefeli, W.E.; Burhenne, J. Dried-Blood-Spot Technique to Monitor Direct Oral Anticoagulants: Clinical Validation of a UPLC-MS/MS-Based Assay. Anal. Chem. 2018, 90, 9395–9402. [Google Scholar] [CrossRef]
- Al-Ghazawi, M.; Daoud, N.E.-H.; Hadidi, K.; Alzweiri, M.; AbuRuz, S. Determination of Vancomycin Content in Dried Blood Spots for Therapeutic Drug Monitoring. Acta Pol. Pharm.-Drug Res. 2021, 78, 3–10. [Google Scholar] [CrossRef]
- Carniel, E.; dos Santos, K.A.; de Andrade de Lima, L.; Kohlrausch, R.; Linden, R.; Antunes, M.V. Determination of clozapine and norclozapine in dried plasma spot and dried blood spot by liquid chromatography-tandem mass spectrometry. J. Pharm. Biomed. Anal. 2022, 210, 114591. [Google Scholar] [CrossRef]
- Scribel, L.; Zavascki, A.P.; Matos, D.; Silveira, F.; Peralta, T.; Landgraf, N.G.; Wink, P.L.; da Silva, A.C.C.; Andriguetti, N.B.; Lisboa, L.L.; et al. Vancomycin and creatinine determination in dried blood spots: Analytical validation and clinical assessment. J. Chromatogr. B 2020, 1137, 121897. [Google Scholar] [CrossRef]
- Villanelli, F.; Giocaliere, E.; Malvagia, S.; Rosati, A.; Forni, G.; Funghini, S.; Shokry, E.; Ombrone, D.; Della Bona, M.L.; Guerrini, R.; et al. Dried blood spot assay for the quantification of phenytoin using Liquid Chromatography-Mass Spectrometry. Clin. Chim. Acta 2015, 440, 31–35. [Google Scholar] [CrossRef] [PubMed]
- Verplaetse, R.; Henion, J. Quantitative determination of opioids in whole blood using fully automated dried blood spot desorption coupled to on-line SPE-LC-MS/MS. Drug Test. Anal. 2016, 8, 30–38. [Google Scholar] [CrossRef] [PubMed]
- Berm, E.; Paardekooper, J.; Brummel-Mulder, E.; Hak, E.; Wilffert, B.; Maring, J. A simple dried blood spot method for therapeutic drug monitoring of the tricyclic antidepressants amitriptyline, nortriptyline, imipramine, clomipramine, and their active metabolites using LC-MS/MS. Talanta 2015, 134, 165–172. [Google Scholar] [CrossRef] [PubMed]
- Jhang, R.-S.; Lin, S.-Y.; Peng, Y.-F.; Chao, H.-C.; Tsai, I.-L.; Lin, Y.-T.; Liao, H.-W.; Tang, S.-C.; Kuo, C.-H.; Jeng, J.-S. Using the PCI-IS Method to Simultaneously Estimate Blood Volume and Quantify Nonvitamin K Antagonist Oral Anticoagulant Concentrations in Dried Blood Spots. Anal. Chem. 2020, 92, 2511–2518. [Google Scholar] [CrossRef]
- Ottosson, F.; Russo, F.; Abrahamsson, A.; MacSween, N.; Courraud, J.; Nielsen, Z.K.; Hougaard, D.M.; Cohen, A.S.; Ernst, M. Effects of Long-Term Storage on the Biobanked Neonatal Dried Blood Spot Metabolome. J. Am. Soc. Mass Spectrom. 2023, 34, 685–694. [Google Scholar] [CrossRef]
- Freeman, J.D.; Rosman, L.M.; Ratcliff, J.D.; Strickland, P.T.; Graham, D.R.; Silbergeld, E.K. State of the Science in Dried Blood Spots. Clin. Chem. 2018, 64, 656–679. [Google Scholar] [CrossRef]
- Bioanalytical Method Validation Guidance for Industry. 2018. Available online: https://www.fda.gov/files/drugs/published/Bioanalytical-Method-Validation-Guidance-for-Industry.pdf (accessed on 10 July 2024).
- Velghe, S.; Delahaye, L.; Stove, C.P. Is the hematocrit still an issue in quantitative dried blood spot analysis? J. Pharm. Biomed. Anal. 2019, 163, 188–196. [Google Scholar] [CrossRef]
- Daousani, C.; Karalis, V.; Malenović, A.; Dotsikas, Y. Hematocrit effect on dried blood spots in adults: A computational study and theoretical considerations. Scand. J. Clin. Lab. Investig. 2019, 79, 325–333. [Google Scholar] [CrossRef] [PubMed]
- Kalra, A. Decoding the Bland–Altman Plot: Basic Review. J. Pract. Cardiovasc. Sci. 2017, 3, 36. [Google Scholar] [CrossRef]
- ICH M10 on Bioanalytical Method Validation—Scientific Guideline|European Medicines Agency. Available online: https://www.ema.europa.eu/en/ich-m10-bioanalytical-method-validation-scientific-guideline (accessed on 22 May 2024).
- Iqbal, M.; Ullah, Z.; Ezzeldin, E.; Khalil, N.Y.; Al-Shakliah, N.S.; Alrasheed, A.; Ahmad, I.; Albehlal, L. A simple and sensitive HILIC-based UHPLC-MS/MS method for quantifying of rivaroxaban in dried blood spots: Application in comparison with the plasma sample method. J. Pharm. Biomed. Anal. 2021, 198, 114023. [Google Scholar] [CrossRef] [PubMed]
- Jahangir, M.; Awan, A.; Azhar, A. Development of a validated RP-HPLC method for rivaroxaban quantification in pharmaceutical formulation and human blood plasma. Pak. J. Pharm. Sci. 2023, 36, 1507–1514. [Google Scholar] [CrossRef]
- McGrail, R.; Revsholm, J.; Nissen, P.H.; Grove, E.L.; Hvas, A.-M. Stability of direct oral anticoagulants in whole blood and plasma from patients in steady state treatment. Thromb. Res. 2016, 148, 107–110. [Google Scholar] [CrossRef]
- Bernier, M.; Lancrerot, S.L.; Parassol, N.; Lavrut, T.; Viotti, J.; Rocher, F.; Drici, M.-D. Therapeutic Drug Monitoring of Direct Oral Anticoagulants May Increase Their Benefit-Risk Ratio. J. Cardiovasc. Pharmacol. 2020, 76, 472–477. [Google Scholar] [CrossRef]
- Patel, J.P.; Byrne, R.A.; Patel, R.K.; Arya, R. Progress in the monitoring of direct oral anticoagulant therapy. Br. J. Haematol. 2019, 184, 912–924. [Google Scholar] [CrossRef]
- He, J.; Zhu, B.; Shen, Y.; Hu, J.; Hong, K. Poor Correlation of Rivaroxaban Concentration with the Routine Coagulation Screening Test in Chinese Patients with Atrial Fibrillation. J. Clin. Pharm. Ther. 2023, 2023, 9962812. [Google Scholar] [CrossRef]


| QC Concentration | Plasma Samples | DBS Samples | |||
|---|---|---|---|---|---|
| Intra-Day (n = 5) | Inter-Day (n = 6) | Intra-Day (n = 5) | Inter-Day (n = 6) | ||
| 2 ng/mL (LLOQ) | RSD% | 14.21 | 10.43 | 3.85 | 10.89 |
| RE% | −4.77 | −10.05 | −16.55 | −9.71 | |
| 5 ng/mL (LQC) | RSD% | 7.86 | 7.81 | 1.87 | 12.09 |
| RE% | −2.68 | −1.60 | 1.16 | 5.74 | |
| 200 ng/mL (MQC) | RSD% | 14.54 | 7.60 | 3.26 | 3.78 |
| RE% | −12.79 | −1.74 | −3.03 | 1.89 | |
| 500 ng/mL (HQC) | RSD% | 9.82 | 5.54 | 7.66 | 1.70 |
| RE% | 0.99 | 0.91 | 3.00 | −1.26 | |
| Concentration of Rivaroxaban [ng/mL] | Extraction Recovery (Mean Value (RSD%)) | Concentration of Rivaroxaban [ng/mL] | IS-Normalized MF (Mean Value (RSD%)) |
|---|---|---|---|
| Plasma samples | n = 5 | n = 6 | |
| 5 | 71.73 (12.27) | 5 | 0.96 (1.53) |
| 200 | 60.24 (9.97) | ||
| 400 | 69.11 (8.04) | 500 | 1.04 (1.24) |
| DBS samples | n = 5 | n = 6 | |
| 5 | 66.77 (10.08) | 5 | 0.93 (4.86) |
| 200 | 50.19 (7.15) | ||
| 500 | 52.17 (7.94) | 500 | 0.97 (4.67) |
| DBS Samples | ||||||
|---|---|---|---|---|---|---|
| Stability Test | Conditions | Nominal Concentration [ng/mL] | Initial Mean Concentration ± SD [ng/mL] before Stability Test | Mean Concentration ± SD [ng/mL] after Stability Test | RSD% | RE% |
| A | +4 °C (113 days) | 5 | 4.92 ± 0.06 | 5.42 ± 0.38 | 6.92 | 8.42 |
| 500 | 524.87 ± 21.81 | 553.90 ± 44.14 | 7.97 | 10.78 | ||
| −25 °C (113 days) | 5 | 4.92 ± 0.06 | 5.29 ± 0.15 | 3.94 | 5.89 | |
| 500 | 524.87 ± 21.81 | 499.80 ± 27.33 | 5.47 | 0.04 | ||
| −80 °C (113 days) | 5 | 4.92 ± 0.06 | 4.96 ± 0.20 | 2.80 | 0.87 | |
| 500 | 524.87 ± 21.81 | 493.21 ± 14.90 | 3.02 | 1.36 | ||
| B | 10 °C (48 h) | 5 | 4.93 ± 0.40 | 4.93 ± 0.47 | 9.47 | 1.49 |
| 500 | 516.39 ± 7.90 | 557.62 ± 10.74 | 1.93 | 11.52 | ||
| C | 20 °C (4 h) | 5 | 5.33 ± 1.24 | 4.90 ± 0.99 | 7.95 | 0.02 |
| 500 | 511.60 ± 33.65 | 542.27 ± 13.47 | 5.99 | 8.45 | ||
| D | 20 °C (4 h) | 5 | 5.00 ± 0.37 | 5.37 ± 0.47 | 8.72 | 7.44 |
| 500 | 541.79 ± 41.70 | 547.98 ± 19.11 | 3.49 | 9.60 | ||
| Plasma Samples | ||||||
|---|---|---|---|---|---|---|
| Stability Test | Conditions | Nominal Concentration [ng/mL] | Initial Mean Concentration ± SD [ng/mL] before Stability Test | Mean Concentration ± SD [ng/mL] after Stability Test | RSD% | RE% |
| A | −25 °C (31 days) | 5 | 5.10 ± 1.04 | 4.54 ± 1.11 | 3.06 | 0.50 |
| 400 | 399.51 ± 44.93 | 429.81 ± 0.75 | 2.50 | 3.06 | ||
| B | 10 °C (24 h) | 5 | 5.48 ± 1.14 | 4.74 ± 0.32 | 2.72 | 1.65 |
| 400 | 388.57 ± 37.54 | 392.16 ± 37.87 | 4.03 | 2.05 | ||
| C | 20 °C (4 h) | 5 | 5.60 ± 0.61 | 6.23 ± 1.26 | 0.86 | 3.26 |
| 400 | 338.53 ± 32.09 | 360.76 ± 26.72 | 3.11 | 0.09 | ||
| D | −25 °C (3 cycles) | 5 | 4.87 ± 0.77 | 4.31 ± 0.46 | 10.67 | 13.8 |
| 400 | 366.98 ± 18.72 | 349.82 ± 9.16 | 2.62 | 12.55 | ||
| Hematocrit Value [%] | LQC | HQC | ||
|---|---|---|---|---|
| RSD% | RE% | RSD% | RE% | |
| 48.5 | 1.55 | 2.53 | 6.47 | 0.39 |
| 40.0 | 2.63 | 0.07 | 3.20 | 2.75 |
| 31.5 | 2.74 | 1.73 | 3.84 | 0.03 |
| Sampling spot volume [µL] | ||||
| 15 | 6.61 | 4.27 | 2.38 | 4.30 |
| 20 | 10.72 | 8.61 | 0.47 | 2.00 |
| 25 | 7.92 | 5.05 | 1.90 | 5.64 |
| Parameter Measured (n = 18) | Mean ± SD |
|---|---|
| Age [years] | 53.83 ± 15.61 |
| Body weight [kg] | 80.94 ± 16.69 |
| Height [cm] | 169.71 ± 7.94 |
| BMI [kg/m2] | 27.90 ± 4.13 |
| aPTT [s] | 46.20 ± 6.54 |
| PT [s] | 16.54 ± 2.78 |
| INR | 1.46 ± 0.25 |
| DD [ng/mL] | 271 (227.25–413.25) 1 |
Disclaimer/Publisher’s Note: The statements, opinions and data contained in all publications are solely those of the individual author(s) and contributor(s) and not of MDPI and/or the editor(s). MDPI and/or the editor(s) disclaim responsibility for any injury to people or property resulting from any ideas, methods, instructions or products referred to in the content. |
© 2024 by the authors. Licensee MDPI, Basel, Switzerland. This article is an open access article distributed under the terms and conditions of the Creative Commons Attribution (CC BY) license (https://creativecommons.org/licenses/by/4.0/).
Share and Cite
Pawlak, K.; Kruszyna, Ł.; Miecznikowska, M.; Karaźniewicz-Łada, M. Application of a Novel UPLC-MS/MS Method for Analysis of Rivaroxaban Concentrations in Dried Blood Spot and Plasma Samples Collected from Patients with Venous Thrombosis. Molecules 2024, 29, 4140. https://doi.org/10.3390/molecules29174140
Pawlak K, Kruszyna Ł, Miecznikowska M, Karaźniewicz-Łada M. Application of a Novel UPLC-MS/MS Method for Analysis of Rivaroxaban Concentrations in Dried Blood Spot and Plasma Samples Collected from Patients with Venous Thrombosis. Molecules. 2024; 29(17):4140. https://doi.org/10.3390/molecules29174140
Chicago/Turabian StylePawlak, Kornel, Łukasz Kruszyna, Marta Miecznikowska, and Marta Karaźniewicz-Łada. 2024. "Application of a Novel UPLC-MS/MS Method for Analysis of Rivaroxaban Concentrations in Dried Blood Spot and Plasma Samples Collected from Patients with Venous Thrombosis" Molecules 29, no. 17: 4140. https://doi.org/10.3390/molecules29174140
APA StylePawlak, K., Kruszyna, Ł., Miecznikowska, M., & Karaźniewicz-Łada, M. (2024). Application of a Novel UPLC-MS/MS Method for Analysis of Rivaroxaban Concentrations in Dried Blood Spot and Plasma Samples Collected from Patients with Venous Thrombosis. Molecules, 29(17), 4140. https://doi.org/10.3390/molecules29174140

