Strain-Induced Robust Exchange Bias Effect in Epitaxial La0.7Sr0.3MnO3/LaFeO3 Bilayers
Abstract
1. Introduction
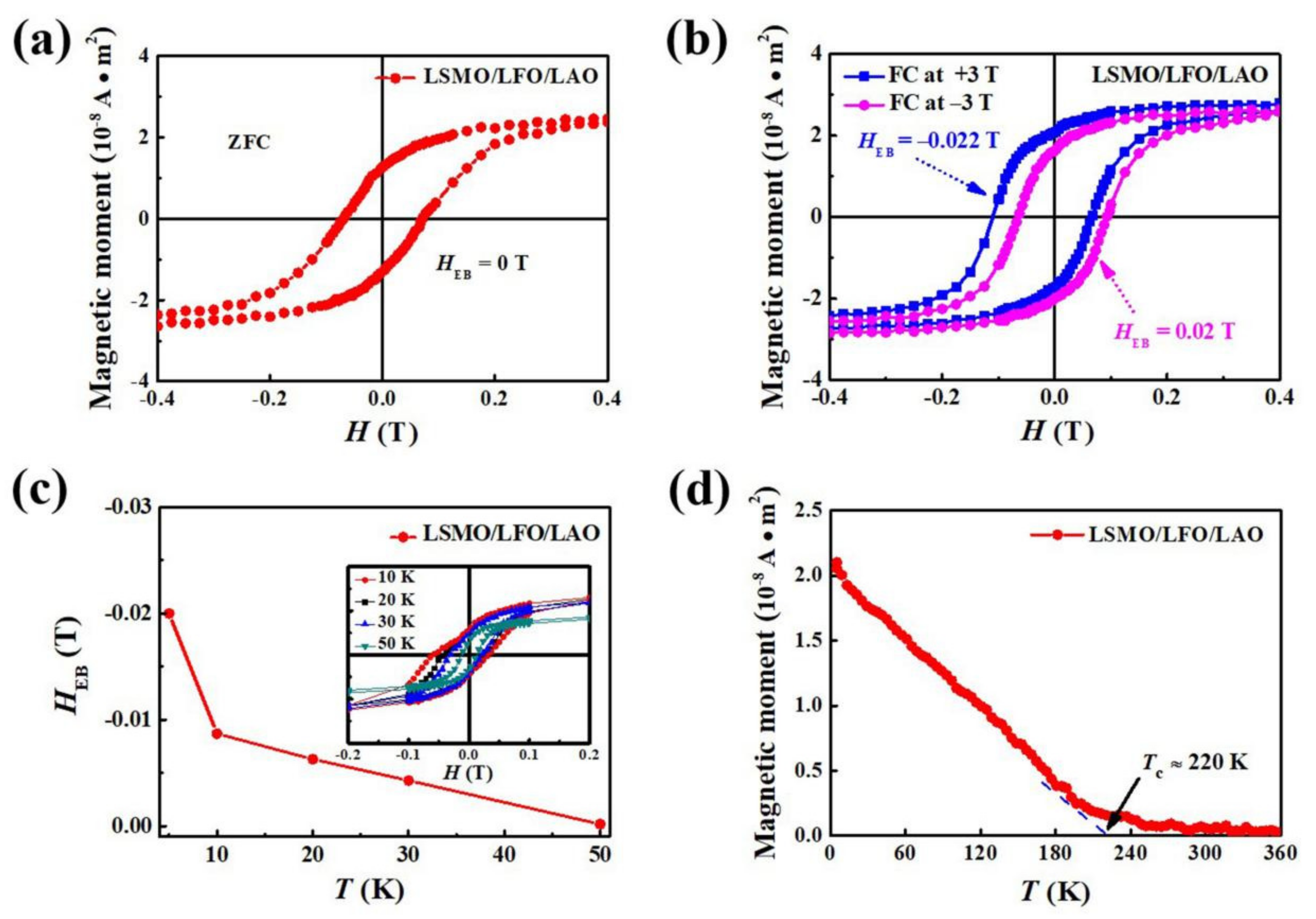
2. Results and Discussion
3. Materials and Methods
4. Conclusions
Supplementary Materials
Author Contributions
Funding
Institutional Review Board Statement
Informed Consent Statement
Data Availability Statement
Conflicts of Interest
References
- Meiklejohn, W.H.; Bean, C.P. New magnetic anisotropy. Phys. Rev. 1956, 102, 3866–3876. [Google Scholar] [CrossRef]
- Seo, J.W.; Fullerton, E.E.; Nolting, F.; Scholl, A.; Fompeyrine, J.; Locquet, J.P. Antiferromagnetic LaFeO3 thin films and their effect on exchange bias. J. Phys. Condens. Matter 2008, 20, 264014. [Google Scholar] [CrossRef] [PubMed]
- Chen, J.Y.; Feng, J.F.; Coey, J.M.D. Tunable linear magnetoresistance in MgO magnetic tunnel junction sensors using two pinned CoFeB electrodes. Appl. Phys. Lett. 2012, 100, 142407. [Google Scholar] [CrossRef]
- Gopalarao, T.R.; Dash, B.; Ravi, S. Magnetic and electrical transport properties of La0.7Sr0.3MnO3/LaFeO3 bilayer thin films. J. Magn. Magn. Mater. 2017, 441, 531–536. [Google Scholar] [CrossRef]
- Pal, K.; Das, I. The impact of oxygen deficiency on giant exchange bias in perovskite oxide: SrFe0.5Co0.5O3-δ (δ = 0.37). J. Alloys Compd. 2023, 960, 170794. [Google Scholar] [CrossRef]
- Maniv, E.; Murphy, R.A.; Haley, S.C.; Doyle, S.; John, C.; Maniv, A.; Ramakrishna, S.K.; Tang, Y.L.; Ercius, P.; Ramesh, R.; et al. Exchange bias due to coupling between coexisting antiferromagnetic and spin-glass orders. Nat. Phys. 2021, 17, 525–530. [Google Scholar] [CrossRef]
- Tian, F.; Zhao, Q.; Guo, G.; Kong, S.; Liu, B.; Dai, Z.; Fang, M.; Zhang, Y.; Zhou, C.; Cao, K.; et al. A giant exchange bias effect due to increased A giant exchange bias effect due to enhanced ferromagnetism using a mixed martensitic phase in Ni50Mn37Ga13 spun ribbons. Nanomaterials 2023, 13, 2827. [Google Scholar] [CrossRef]
- Averyanov, D.V.; Sokolov, I.S. Exhange bias state at the crossover to 2D ferromagnetism. ACS Nano 2022, 16, 19482–19490. [Google Scholar] [CrossRef] [PubMed]
- Zhou, G.W.; Ji, H.H.; Zhang, J.; Bai, Y.H.; Quan, Z.Y.; Xu, X.H. The antiferromagnetic state in ultrathin LaNiO3 layer supported by long-range exchange bias in LaNiO3/SrTiO3/La0.7Sr0.3MnO3 superlattices. J. Mater. Chem. C 2018, 6, 582–587. [Google Scholar] [CrossRef]
- Nogués, J.; Sort, J.; Langlais, V.; Skumryev, V.; Suriñach, S.; Muñoz, J.S.; Baró, M.D. Exchange bias in nanostructures. Phys. Rep. 2005, 422, 65–117. [Google Scholar] [CrossRef]
- Cui, B.; Song, C.; Wang, G.Y.; Mao, H.J.; Zeng, F.; Pan, F. Strain engineering induced interfacial self-assembly and intrinsic exchange bias in a manganite perovskite film. Sci. Rep. 2013, 3, 2542. [Google Scholar] [CrossRef] [PubMed]
- Cui, B.; Song, C.; Li, F.; Zhong, X.Y.; Wang, Z.C.; Werner, P.; Gu, Y.D.; Wu, H.Q.; Saleem, M.S.; Parkin, S.S.P.; et al. Electric-field control of oxygen vacancies and magnetic phase transition in a cobaltite/manganite bilayer. Phys. Rev. Appl. 2017, 8, 044007. [Google Scholar] [CrossRef]
- Zhou, G.; Yan, Z.; Bai, Y.; Zang, J.; Quan, Z.; Qi, S.; Xu, X. Exchange bias effect and orbital reconstruction in (001)-oriented LaMnO3/LaNiO3 superlattices. ACS Appl. Mater. Interfaces 2017, 9, 39855–39862. [Google Scholar] [CrossRef] [PubMed]
- Wei, L.; Hu, Z.; Du, G.; Yuan, Y.; Wang, J.; Tu, H.; You, B.; Zhou, S.; Qu, J.; Liu, H.; et al. Full electric control of exchange bias at RT by resistive switching. Adv. Mater. 2018, 30, 1801885. [Google Scholar] [CrossRef] [PubMed]
- Lin, P.; Yang, B.; Tsai, M.; Chen, P.; Huang, K.; Lin, H.; Lai, C. Manipulating exchange bias by spin-orbit torque. Nat. Mater. 2019, 18, 335–341. [Google Scholar] [CrossRef] [PubMed]
- Huang, X.; Zhang, L.; Tong, L.; Li, Z.; Peng, Z.; Lin, R.; Shi, W.; Xue, K.; Dai, H.; Cheng, H.; et al. Manipulating exchange bias in 2D magnetic heterojunction for high-performance robust memory applications. Nat. Commun. 2023, 14, 2190. [Google Scholar] [CrossRef] [PubMed]
- Wu, Y.; Wu, S.; Xu, X.; Miao, J.; Jiang, Y. Photo-control of exchange bias in a Co90Fe10/BiFeO3 heterostructure. Phys. Status Solidi A 2022, 219, 2200186. [Google Scholar] [CrossRef]
- Kang, J.; Ryu, J.; Choi, J.; Lee, T.; Park, J.; Lee, S.; Jang, H.; Jung, Y.S.; Kim, K.; Park, B. Current-induced manipulation of exchange bias in IrMn/NiFe bilayer structures. Nat. Commun. 2021, 12, 6420. [Google Scholar] [CrossRef] [PubMed]
- Liu, M.; Ma, C.; Du, W.; Su, H.; Zhang, H.; Liu, B.; Meng, H.; Tang, X. Deterministic magnetic moment rotation in antiferromagnetic material by piezoelectric strain modulation. NPG Asia Mater. 2022, 14, 68. [Google Scholar] [CrossRef]
- Yao, K.; Cao, K.; Dong, C.; Wang, F.; Li, J.; Shi, Q.; Tian, F.; Zhou, C.; Song, X.; Yang, S.; et al. Photocontrol of exchange bias using cobalt-iron prussian blue analogues for applications in spintronics. ACS Appl. Nano Mater. 2023, 6, 3685–3692. [Google Scholar] [CrossRef]
- Wu, Q.; Zhang, Y.; Cui, Z.; Liu, P.; Xiang, B.; Li, Z.; Fu, Z.; Lu, Y. Giant and nonvolatile control of exchange bias in Fe3GeTe2/irradiated Fe3GeTe2/MgO heterostructure through ultralow voltage. Adv. Funct. Mater. 2023, 33, 2214007. [Google Scholar] [CrossRef]
- Hallsteinsen, I.; Moreau, M.; Grutter, A.; Nord, M.; Vullum, P.E.; Gilbert, D.A.; Bolstad, T.; Grepstad, J.K.; Holmestad, R.; Selbach, S.M.; et al. Concurrent magnetic and structural reconstructions at the interface of (111)-oriented La0.7Sr0.3MnO3/LaFeO3. Phys. Rev. B 2016, 94, 201115. [Google Scholar] [CrossRef]
- Hallsteinsen, I.; Grutter, A.; Moreau, M.; Slöetjes, S.D.; Kjærnes, K.; Arenholz, E.; Tybell, T. Role of antiferromagnetic spin axis on magnetic reconstructions at the (111)-oriented La0.7Sr0.3MnO3/LaFeO3 interface. Phys. Rev. Mater. 2018, 2, 084403. [Google Scholar] [CrossRef]
- Bruno, F.Y.; Grisolia, M.N.; Visani, C.; Valencia, S.; Varela, M.; Abrudan, R.; Tornos, J.; Rivera-Calzada, A.; Ünal, A.A.; Pennycook, S.J.; et al. Insight into spin transport in oxide heterostructures from interface-resolved magnetic mapping. Nat. Commun. 2015, 6, 6306. [Google Scholar] [CrossRef] [PubMed]
- Sun, X.; Tiwari, D.; Fermin, D.J. Promoting active electronic states in LaFeO3 thin films photocathodes via alkaline-earth metal substitution. ACS Appl. Mater. Interfaces 2012, 12, 31468–31495. [Google Scholar] [CrossRef] [PubMed]
- Biesinger, M.C.; Paynec, B.P.; Grosvenor, A.P.; Laua, L.W.M.; Gersonb, A.R.; Smart, R.S.C. Resolving surface chemical states in XPS analysis of first row transition metals, oxides and hydroxides: Cr, Mn, Fe, Co and Ni. Appl. Surf. Sci. 2011, 257, 2717–2730. [Google Scholar] [CrossRef]
- Yamashita, T.; Hayes, P. Analysis of XPS spectra of Fe2+ and Fe3+ ions in oxide materials. Appl. Surf. Sci. 2008, 254, 2441–2449. [Google Scholar] [CrossRef]
- Chen, L.; Wang, Z.; Wang, G.; Guo, H.; Saghayezhian, M.; Liao, Z.; Zhu, Y.; Plummer, E.W.; Zhang, J. Surface and interface properties of La2/3Sr1/3MnO3 thin films on SrTiO3 (001). Phys. Rev. Mater. 2019, 3, 044407. [Google Scholar] [CrossRef]
- Folven, E.; Scholl, A.; Young, A.; Retterer, S.T.; Boschker, J.E.; Tybell, T.; Takamura, Y.; Grepstad, J.K. Crossover from spin-flop coupling to collinear spin alignment in antiferromagnetic/ferromagnetic nanostructures. Nano Lett. 2012, 12, 2386–2390. [Google Scholar] [CrossRef] [PubMed]
- Waman, P.T.; Bhatt, H.; Rao, R.; Tyagi, M.; Girija, K.G.; Kumar, S.; Gonal, M.R.; Padma, N. Influence of substrate-induced strain on exchange bias effect in YSMO/LSMO heterostructures. Bull. Mater. Sci. 2023, 46, 116. [Google Scholar] [CrossRef]
- Zhang, J.; Zhou, G.; Yan, Z.; Ji, H.; Li, X.; Quan, Z.; Bai, Y.; Xu, X. Interfacial ferromagnetic coupling and positive spontaneous exchange bias in SrFeO3-x/La0.7Sr0.3MnO3 bilayers. ACS Appl. Mater. Interfaces 2019, 11, 26460–26466. [Google Scholar] [CrossRef] [PubMed]
- Guo, L.; Wang, Y.; Wang, J.; Muraishi, S.; Sannomiya, T.; Nakamura, Y.; Shi, J. Magnetoelastically induced perpendicular magnetic anisotropy and perpendicular exchange bias of CoO/CoPt multilayer films. J. Magn. Magn. Mater. 2015, 394, 349–353. [Google Scholar] [CrossRef]






Disclaimer/Publisher’s Note: The statements, opinions and data contained in all publications are solely those of the individual author(s) and contributor(s) and not of MDPI and/or the editor(s). MDPI and/or the editor(s) disclaim responsibility for any injury to people or property resulting from any ideas, methods, instructions or products referred to in the content. |
© 2024 by the authors. Licensee MDPI, Basel, Switzerland. This article is an open access article distributed under the terms and conditions of the Creative Commons Attribution (CC BY) license (https://creativecommons.org/licenses/by/4.0/).
Share and Cite
Zhang, J.; Su, T.; Ma, J. Strain-Induced Robust Exchange Bias Effect in Epitaxial La0.7Sr0.3MnO3/LaFeO3 Bilayers. Molecules 2024, 29, 3244. https://doi.org/10.3390/molecules29143244
Zhang J, Su T, Ma J. Strain-Induced Robust Exchange Bias Effect in Epitaxial La0.7Sr0.3MnO3/LaFeO3 Bilayers. Molecules. 2024; 29(14):3244. https://doi.org/10.3390/molecules29143244
Chicago/Turabian StyleZhang, Jun, Tiancong Su, and Jianchun Ma. 2024. "Strain-Induced Robust Exchange Bias Effect in Epitaxial La0.7Sr0.3MnO3/LaFeO3 Bilayers" Molecules 29, no. 14: 3244. https://doi.org/10.3390/molecules29143244
APA StyleZhang, J., Su, T., & Ma, J. (2024). Strain-Induced Robust Exchange Bias Effect in Epitaxial La0.7Sr0.3MnO3/LaFeO3 Bilayers. Molecules, 29(14), 3244. https://doi.org/10.3390/molecules29143244

