Abstract
Potassium-ion batteries (PIBs) have been widely studied owing to the abundant reserves, widespread distribution, and easy extraction of potassium (K) resources. Molybdenum disulfide (MoS2) has received a great deal of attention as a key anode material for PIBs owing to its two-dimensional diffusion channels for K+ ions. However, due to its poor electronic conductivity and the huge influence of embedded K+ ions (with a large ionic radius of 3.6 Å) on MoS2 layer, MoS2 anodes exhibit a poor rate performance and easily collapsed structure. To address these issues, the common strategies are enlarging the interlayer spacing to reduce the mechanical strain and increasing the electronic conductivity by adding conductive agents. However, simultaneous implementation of the above strategies by simple methods is currently still a challenge. Herein, MoS2 anodes on reduced graphene oxide (MoS2/rGO) composite were prepared using one-step hydrothermal methods. Owing to the presence of rGO in the synthesis process, MoS2 possesses a unique scaled structure with large layer spacing, and the intrinsic conductivity of MoS2 is proved. As a result, MoS2/rGO composite anodes exhibit a larger rate performance and better cycle stability than that of anodes based on pure MoS2, and the direct mixtures of MoS2 and graphene oxide (MoS2-GO). This work suggests that the composite material of MoS2/rGO has infinite possibilities as a high-quality anode material for PIBs.
1. Introduction
Energy remains a crucial aspect in the current state of global development. Developing sustainable and clean energy is an inevitable trend, particularly given the massive consumption of traditional fossil fuels and the deteriorating global environment. Electrochemical energy storage (EES) systems are becoming increasingly popular in the field of energy technology [1,2,3]. Lithium-ion batteries (LIBs) are extensively deployed in a wide range of consumer electronics, electric vehicles, and national grids due to their high energy density and long cycle life in various EES systems. However, lithium is not an abundant resource in the Earth’s reserves, accounting for only 0.0017 wt%. Furthermore, its uneven distribution leads to high extraction and transportation costs, making it a poorly suited sustainable option for meeting the world’s long-term energy needs [4,5].
In recent years, research on batteries using Na, Mg, Al, and K has made considerable progress and received increasing attention [6,7,8,9]. Among them, potassium-ion batteries (PIBs) have been widely studied owing to the abundant K element in nature (2.09 wt%), high energy density (200–300 Wh kg−1), and favorable K+ ions mobility in nonaqueous electrolytes (resulting from the smaller Stokes radius of K+ compared to Li+ or Na+) [10,11,12]. However, due to the inherent large ionic radius of K+ ion (3.6 Å), it encounters high diffusion barriers, and easily cause the material structure to collapse during insertion/extraction. Therefore, it is crucial to find electrode materials that can allow speed kinetics and maintain structural stability during K+ de-intercalation [13,14,15].
Noncarbon-based intercalation materials, in particular molybdenum disulfide (MoS2), as typical transition metal disulfides (TMDs), have received a great deal of attention as a key anode material for PIBs [16,17]. MoS2 is an economical and readily available mineral with a layered structure, which enables it to open up two-dimensional diffusion channels during K+ intercalation [18,19,20]. However, the rate performances and electrochemical stability of MoS2 is still low due to its poor electronic conductivity (σRT = ~10−4 s cm−1) and the huge influence of embedded K+ ions on MoS2 layer [21]. Many research studies have been carried out to solve these problems. The common strategies are increasing the electrical conductivity by adding conductive agents and enlarging the interlayer spacing to reduce the mechanical strain [22,23,24]. Graphene oxide (GO) is an electrically conductive layered graphite oxide whose surface is rich in a variety of functional groups, which can provide an abundance of effective active sites [25]. However, an excess of functional groups can cause it to become too active to maintain a stable structure. Reduced graphene oxide (rGO), as a product of GO reduction, has higher electrical conductivity and structural stability while retaining functional groups. In addition, it was found that rGO can be used as a substrate material to modulate the microstructure of other materials [26]. However, simultaneous implementation of the above strategies by simple methods is currently still a challenge.
In this work, we obtained MoS2 on reduced graphene oxide (MoS2/rGO) composite by the one-step hydrothermal method. According to our experiments and calculations, MoS2 in such composite has an ultrathin scale-like structure with enlarged interlayer spacing, which indirectly increases the specific surface area, provides more active sites for K+, and ensures structural stability. In addition, the incorporation of rGO can increase the intrinsic conductivity of MoS2. As a result, MoS2/rGO composite anodes exhibited a better rate performance (287.15, 266.7, 220.3, and 184.6 mAh g−1, at 50, 100, 500, and 1000 mA g−1, respectively) and cycle stability (99% capacity retention after 100 cycles at 500 mA g−1) than that of anodes based on pure MoS2, and the direct mixtures of MoS2 and graphene oxide (MoS2-GO). This work demonstrates the possibility of using MoS2/rGO composite as anodes for PIBs.
2. Results and Discussion
The preparation of scaly MoS2/rGO composite by a one-step reaction is illustrated in Figure 1. First, a typical modification method for GO is used [27]. The ammonium ions of cetyltrimethylammonium bromide (CTAB), which are positively charged, can attract the carboxyl group of GO, which has a negative charge, through Coulombic forces. The isolation of the lamellar GO sheets is a consequence of CTAB insertion. Next, a composite of MoS2/rGO is synthesized in a solvothermal reaction of Na2MoO4·2H2O and CH4N2S at 200 °C with the presence of rGO. There are several oxygen-containing groups in rGO, which are the adsorption sites for Mo4+ and K+, and also the nucleation sites for nanoparticles. As a result, uniform MoS2 precursors develop on the surface of rGO. The Mo-O-C bonds located at the remaining oxygen sites can interact with van der Waals forces present among the partial rGO, ultimately leading to the binding of the ions and partial rGO. The MoS2/rGO precursor shall undergo annealing treatment to yield MoS2/rGO composite.
Figure 1.
Schematic showing the synthesis of MoS2/rGO composite.
Scanning electron microscopy (SEM) was employed to examine the morphology of MoS2 and MoS2/rGO composite. As illustrated in Figure 2a,b, some of the MoS2 nanosheets exhibit a tendency to agglomerate. With regard to the MoS2/rGO composite, it can be observed that the scaly MoS2 nanosheets are uniformly distributed on the MoS2/rGO surface and are thinner and smaller in size. This result indicates that the presence of rGO effectively inhibits the agglomeration of MoS2 nanosheets. The scaly MoS2 nanosheets can enhance the specific surface area of MoS2/rGO and facilitate the generation of more active sites for K+ [28]. The microstructure of MoS2/rGO composite was investigated by field emission transmission electron microscopy (TEM). Figure 2c shows a magnified TEM image of MoS2/rGO at 200 nm scale, which clearly demonstrates MoS2 nanosheets embedded in translucent rGO sheets. Notably, the molybdenum disulfide nanosheets exhibit multilayered stacked lattice stripes, indicating a lattice spacing of 6.39 Å. This spacing is larger than the crystalline hexagonal 2H-MoS2 lattice spacing (002) of 6.1554 Å, as shown in Figure 2d [29]. To further support the observations in Figure 2c, Figure 2e shows scanning transmission electron microscopy (STEM) images of MoS2/rGO, providing additional evidence that the appearance of MoS2 scales is a result of MoS2 wrapped around rGO. Figure 2f–h show the total and partial elemental maps of MoS2/rGO captured at 200 nm scale. These maps reveal the uniform distribution of carbon (C), molybdenum (Mo), and sulfur (S) in the composite. This uniform distribution further confirms the successful preparation of MoS2/rGO composite and supports the conjecture that MoS2 grows on rGO.
Figure 2.
(a) SEM image of the MoS2, (b) SEM image of the MoS2/rGO composite, (c) TEM image of MoS2/rGO composite, and the image in the lower right-hand corner of the image is an enlargement of the red and white boxes, (d) HRTEM image of MoS2/rGO, (e) STEM image of MoS2/rGO composite, (f–h) the mapping map of the corresponding element of MoS2/rGO composite.
The crystal structure of the synthesized MoS2/rGO sample was analyzed using X-ray powder diffraction (XRD) patterns. Figure 3a presents the XRD diffractograms of MoS2/rGO and MoS2. The four major diffraction peaks, observed at approximately 14.3°, 33.5°, 39.5°, and 58.3°, respectively, correspond to the (002), (101), (103), and (110) crystallographic planes of 2H-MoS2 (PDF#37-1492) [30]. The disappearance of the principal diffraction peak of GO at approximately 12° and the emergence of the principal diffraction peak of rGO at approximately 26° indicate that GO was successfully reduced to rGO [31]. Notably, the peak of MoS2/rGO at the (002) crystal plane is shifted to the left, indicating an enlarged layer spacing. The expanded layer spacing facilitates potassium insertion and extraction during the cycling process, thereby enhancing the potassium storage capacity of MoS2/rGO.
Figure 3.
(a) XRD patterns of the MoS2/rGO composite and MoS2, (b) XPS spectra of C 1s, (c) XPS spectra of Mo 3d, (d) XPS spectra of S 2p.
X-ray photoelectron spectroscopy (XPS) was utilized to determine the elemental composition and chemical bonding in MoS2/rGO. The spectrum of C 1s can be divided into four peaks, 284.7, 285.2, 268, and 286.6 (Figure 3b), which correspond to the sp2-banded of C-C, sp3-banded of C-C, C-S, and C-O, respectively [26]. As illustrated in Figure 3c, the peak at 226 in the Mo 3d spectrum is attributed to S 2s [32], while the pair of characteristic peaks at 229.7 and 232.8 are attributed to Mo 3d5/2 and Mo 3d3/2, respectively. This indicates that the valence state of Mo is +4 [33]. The pair of characteristic peaks at 232.2 and 236 should be attributed to Mo 3d5/2 and Mo 3d3/2 for Mo6+, which may be attributed to the oxidation of the MoS2 surface, resulting in the change to Mo6+ [34]. Figure 3d depicts the spectrum of S 2p. The pair of characteristic peaks at 162.5 and 163.7 eV can be attributed to the S 2p3/2 and S 2p1/2 of S2−. The small peak at 168.3 eV is indicative of the S-O-C bond [35]. A comparison of the XPS of MoS2 and MoS2-GO in Figure S1 reveals that pure MoS2 and MoS2-GO lack the C-S bond observed in the C 1s and S 2p spectra. This suggests that rGO and MoS2 can be more effectively bonded together in the MoS2/rGO material, leading to enhanced stability. Furthermore, the thermogravimetric analysis (TGA), as shown in Figure S2, was used to evaluate the MoS2 content of MoS2/rGO. The weight loss in the temperature range 300–600 °C is due to the decomposition of rGO and oxidation reaction of MoS2 to MoO3. Thus, the content of MoS2 in MoS2/rGO can be calculated to be 83.24 wt%, which means that the content of rGO is 16.76 wt%.
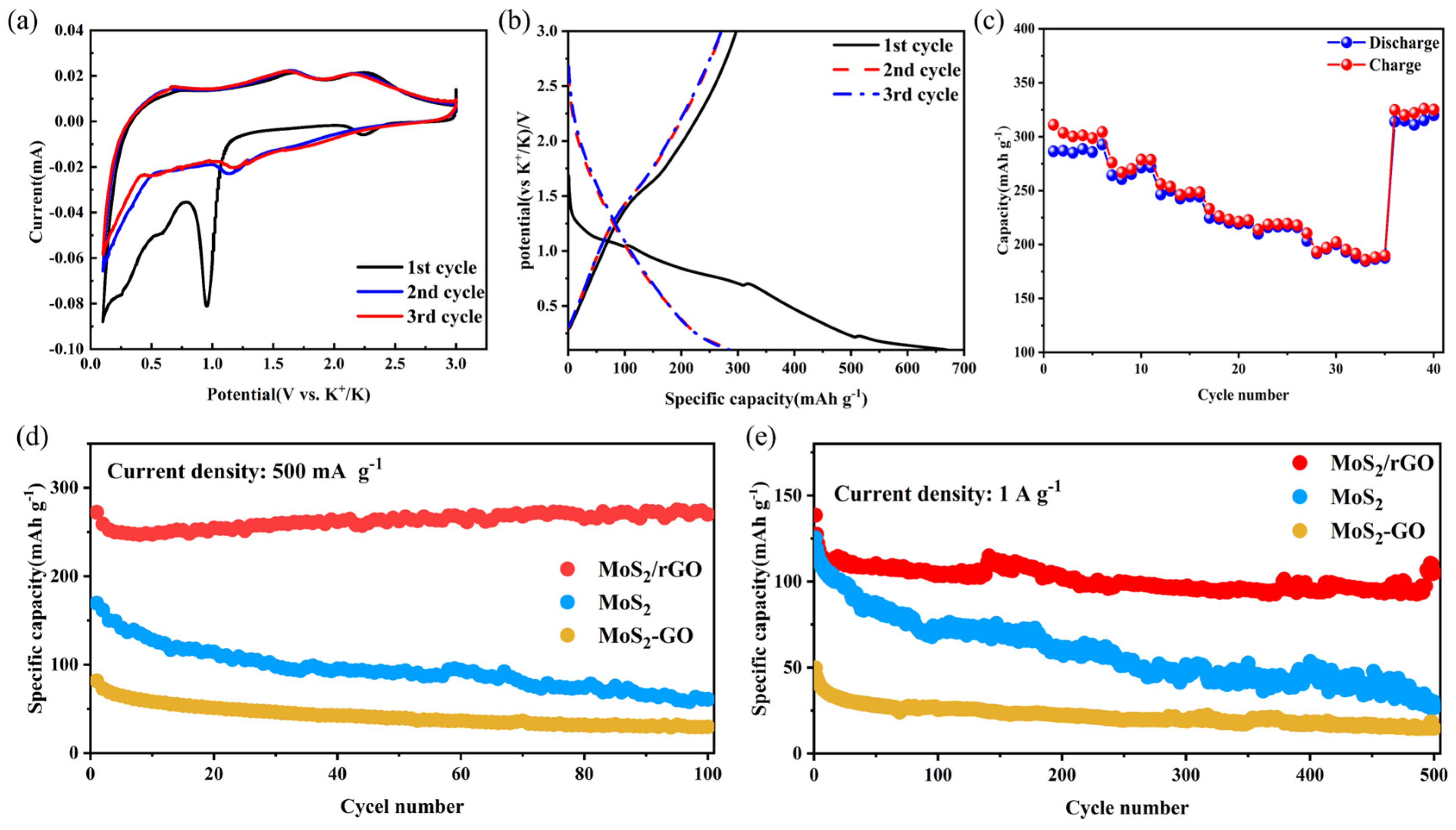
In order to investigate the electrochemical properties of MoS2/rGO and MoS2 as anode materials, potassium-ion coin cells are fabricated. The electrochemical properties of PIBs consisting of MoS2/rGO were determined by cyclic voltammetry (CV) at the working electrode, as shown in Figure 4a. The CV was performed linearly with a sampling frequency of 0.1 mV s−1 and a voltage range of 3~0.1 V. The first cathodic scan revealed that one peaks at 0.955 V, indicating the formation and transformation reactions of KxMoS2 [36]. The anodic scan displayed two peaks at 1.66 V and 2.25 V, which are related to the detachment of K+ from the electrode material. As the electrode material interacts with the electrolytic solution during the initial charging and discharging process, a passivation layer is formed on the surface of the electrode, which is referred to as the “solid electrolyte film” or “SEI.” [37,38]. The overlap of the CV curves after the initial cycle indicates the high reversibility of MoS2/rGO composite as PIBs during charge/discharge. In contrast, the CV curves of MoS2 (Figure S3a) did not exhibit this phenomenon, indicating that MoS2 has poor reversibility during the charge–discharge process.
Figure 4.
(a) Curves of the first three cycles of the MoS2/rGO composite electrode at 0.1 mV s−1, (b) GCD diagram of the first three cycles of the MoS2/rGO composite at a current density of 100 mA g−1, (c) rate performance of the MoS2/rGO composite under a different current density of 50, 100, 200, 400, 500, 800, 1000 mA g−1, (d) 100 long cycle diagram of MoS2/rGO composite, MoS2, and MoS2-GO at a current density of 500 mA g−1, (e) 500 long cycle diagram of MoS2/rGO composite, MoS2, and MoS2-GO at a current density of 1000 mA g−1.
Figure 4b illustrates the constant current charge/discharge (GCD) curve of MoS2/rGO at a current density of 100 mA g−1. The initial Coulombic efficiency (CE) of MoS2/rGO is 44.3%, which is lower than that of MoS2 and MoS2-GO (Figure S3b,c). This is attributed to the formation of SEI during the initial charge/discharge process, which results in the irreversible reduction of the electrolyte and partially reversible redox reactions of MoS2 [39]. The overlapping GCD curves after the initial cycling of MoS2/rGO, which was not exhibited by MoS2 and MoS2-GO, once again demonstrates the high reversibility of MoS2/rGO composites for PIBs. As illustrated in Figure S3d, the initial discharge capacity of MoS2 is high at 100 mA g−1 current density, yet it declines rapidly. After 50 cycles, the specific discharge capacity was only maintained at 171.95 mAh g−1. MoS2-GO not only has the lowest initial capacity (140.53 mAh g−1 at 100 mA g−1 current density) but also has a capacity retention of only 40.9% after 50 cycles. MoS2/rGO demonstrated the highest initial capacity as well as best capacity retention (discharge capacity was maintained at 349.6 mAh g−1 after 50 cycles). The remarkable electrochemical performance is largely attributable to the ultrathin scale structure, enlarged interlayer structure, and excellent intrinsic conductivity of MoS2.
The rate performance of MoS2/rGO is shown in Figure 4c, showing discharge capacities of 287.15, 266.7, 245.6, 221.6, 215.2, 197.1 and 184.6 mAh g−1 at 50, 100, 200, 400, 500, 800, and 1000 mA g−1, respectively, which are significantly better than those of MoS2 and MoS2-GO (Figure S3e,f) When the current density is restored to 50 mA g−1, MoS2/rGO can recover a specific capacity of 315.02 mAh g−1, which is higher than the initial capacity, whereas MoS2 and MoS2-GO struggle to approach the initial capacity. These results indicate that the unique squamous structure of MoS2/rGO can provide capable rate performance.
Figure 4d demonstrates the 100 charge–discharge cycle characteristics of MoS2/rGO, MoS2, and MoS2-GO at 500 mA g−1. The initial discharge specific capacity of MoS2/rGO is 272.49 mAh g−1, while the discharge specific capacity after 100 cycles is 269.5 mAh g−1, with a capacity retention of 99%. In contrast, MoS2-GO exhibited the lowest initial capacity (81.91 mAh g−1) and only 36% capacity retention after 100 cycles, which was slightly higher than that of MoS2 (35.91% capacity retention after 100 cycles). The excellent electrochemical performance at high current density is attributed to the scale-like lamellar structure that provides more K-embedding sites, and the enlarged interlayer spacing ensures that the material remains stable during the charging and discharging process [24]. At a high current density of 500 mA g−1, the capacity retention of MoS2/rGO is close to 99%, indicating that it is more suitable for operation at high current densities. In light of these findings, we sought to ascertain whether MoS2/rGO exhibits comparable cycling stability at higher current densities. Figure 4e presents the long weekly cycle plot of MoS2/rGO for 500 cycles at a current density of 1 A g−1. It can be seen that MoS2/rGO is still able to maintain good cycling stability compared to MoS2 and MoS2-GO, retaining 76% capacity after 500 cycles [40]. In addition, other MoS2 anode electrodes are listed in Table 1 and compared to MoS2/rGO. Of particular note is the exceptionally high cycling stability of MoS2/rGO.
Table 1.
The comparison with previous work on the MoS2-based electrodes for PIBs.
In order to further study the electrochemical stored procedure of MoS2/rGO, CV curves at varying scan rates (ranging from 0.1 to 0.8 mV s−1) were tested. It can be observed that MoS2/rGO maintains the same shape as the initial redox peaks, whereas MoS2 and MoS2-GO do not exhibit the same behavior. This suggests that the MoS2/rGO exhibit excellent electrochemical reversibility (Figure 5a and Figure S4a,b). Furthermore, the charge storage mechanism was evaluated using power-law analysis [45]:
where ‘i’ represents the peak current, ‘ν’ represents the scan rate (mV s−1), and ‘a’ and ‘b’ represent constant parameters. A value of ‘b’ approaching 1 indicates that capacitive behavior is the dominant phenomenon, whereas a value of ‘b’ approaching 0.5 indicates that charge storage is dependent on diffusion processes. As illustrated in Figure 5b, the b-values of the anodic and cathodic peaks of MoS2/rGO are 0.81/0.66, indicating that the electrochemical potassium storage behavior of the material is primarily governed by the capacitance effect. The b-values of the anodic and cathodic peaks of MoS2 and MoS2-GO are 0.77/0.65 and 0.87/0.69, respectively, and the capacitive contributions are equally dominant (Figure S4c). The contribution of value-diffusive behavior and -capacitive behavior to the capacity can be calculated using the following equation [46]:
where k1, k2 are constants, and k1v and k2v1/2 reflect the contributions of capacitive-controlled and diffusion-controlled processes, respectively. As illustrated in Figure 5c, at a sweep rate of 0.8 mV s−1, approximately 85.8% of the total capacitance of MoS2/rGO is attributed to the capacitive control process. As the sweep rate increases from 0.1 mV s−1 to 0.8 mV s−1, the capacitance contribution increases from 68.4% to 85.8% (Figure 5d). These results indicate that the surface diffusion behavior dominates in MoS2/rGO. The capacitance contribution of MoS2 and MoS2-GO is significantly less than that of MoS2/rGO (Figure S4d–g). This is primarily due to the unique scale-like lamellar structure of MoS2 which provides a greater number of active sites for K+ and enhances charge storage. This is also the reason for the excellent rate performance of MoS2-GO. The diffusion coefficient of K+ during a complete charge/discharge is calculated by the following equation [47]:
where τ is the relaxation time, nm is the number of moles, Vm is the molar volume of the electrode material, S is the electrode/electrolyte contact area, the ΔEs is the pulse-induced voltage change, and ΔEt is the voltage change due to constant current charging (discharging). The calculated results are shown in Figure 5c, and the ion diffusion rate of MoS2/rGO is approximately 10−11 cm s−1, which is comparable to that of other MoS2 anodes [28]. Furthermore, the ion diffusion rates of MoS2 and MoS2-GO were calculated, with values of approximately 10−12 cm s−1 for MoS2 and a range of 10−12 to 10−11 cm s−1 for MoS2-GO (Figure S4h,i).
Figure 5.
(a) CV curves of the MoS2/rGO composite at different scan rates from 0.1 to 0.8 mV s−1, (b) linear fitting of log (peak current) versus log (scan rate) plot of MoS2/rGO composite, (c) the CV profile with capacitance contribution at 0.8 mV s−1, (d) the percentages between diffusion and capacitive contribution at different scanning rates for MoS2/rGO composite, (e) GITT curve of MoS2/rGO composite and its calculated ion diffusion coefficient diagram, (f) the electrochemical impedance spectrum and equivalent circuit diagram of the MoS2/rGO composite, MoS2, and MoS2-GO.
The electrochemical performance of batteries is mainly assessed in terms of the charge transfer capacity and the conductivity of the electrodes [48]. To gain deeper insights into the physical characteristics and outstanding reversible capacity of the MoS2/rGO composite electrode, a frequency range of 0.1–100,000 Hz was employed using an electrochemical workstation. Electrochemical impedance spectroscopy (EIS) was performed on a MoS2/rGO anode to evaluate its use in PIBs. Figure 5d shows the EIS comparison images of MoS2/rGO, MoS2, and MoS2-GO. The internal resistance of the cell can be analyzed in the high-frequency region, while the mid-frequency region indicates the transfer resistance of the electrode material interface. The larger the ion diffusion coefficient and the steeper the slope, the greater the diffusion capacity. In the equivalent diagram, R1 is the internal resistance, R2 is the interface transfer resistance, CPE1 is the constant phase angle element (similar to a capacitor), and W1 is the Warburg impedance. It can be seen that the semicircular diameter of MoS2 and MoS2-GO are larger than that of MoS2/rGO, and the slope of the diagonal line is also smaller than that of MoS2/rGO, which proves that the transfer of K+ in MoS2 and MoS2-GO is slow, while the interfacial transfer resistance of MoS2/rGO is relatively small, and the reduction in the charge transfer resistance leads to the increase in the ion diffusion coefficient, and the surface of the electrode is more stabilized [49].
In order to further study the diffusion kinetics of K+ in MoS2, the de/insertion process of K+ was calculated with first principles. All possible embedding positions of K in 2H-MoS2, which is an AB-stacked periodic structure, have been scrutinized. K+ has been inserted in the AB layer at sites A and B in MoS2 (Figure S5a,b). At site A, K+ is located in an octahedron of six S atoms. While at site B, K+ is located in a tetrahedron of four S atoms. After optimizing the structure, all K+ interpolation positions are located at the A site (Figure S5c,d), which indicates that site A is the stable site for K+ to insert. The calculation model of MoS2/rGO is illustrated in Figure S6a, which comprises three layers of MoS2 and three layers of graphene, with a layer spacing of 6.39 Å. The computational model for K+ adsorption on the MoS2/rGO surface is shown in Figure S5b. Furthermore, the binding and adsorption energies of MoS2/rGO were calculated to be −2.46 eV and −3.9 eV, respectively. The high absolute value of the adsorption energy indicates that K+ is more favored on the surface of the material, which corresponds to the capacitor behavior described above. Additionally, the negative value suggests that the structure is stabilized, which positively affects the electrochemical properties of the material.
Figure 6a illustrates the density of states of MoS2 with a band gap of 1.2 eV. Upon the addition of rGO, the band gap of MoS2/rGO disappears and crosses the Fermi energy level, indicating that rGO is capable of enhancing the electrical conductivity of the material. It is noteworthy that the projected density of states (PDOS) indicates that the p-orbitals of C prompt the d-orbitals of Mo to cross the Fermi energy level, thereby directly increasing the intrinsic conductivity of MoS2 (Figure 6c,d). We considered two migration paths for K in MoS2/rGO, one where K+ migrates from one octahedral position to neighboring octahedral positions and the other where K+ migrates to obliquely oriented octahedral positions (Figure S7). As shown in Figure 6b, the migration potential barrier of K+ in MoS2/rGO for adjacent octahedral positions is 0.3 eV, which is significantly smaller than that of K+ in MoS2 (0.4 eV). The results indicate that K+ diffuses more readily into neighboring octahedral positions.
Figure 6.
(a) TDOS of MoS2/rGO composite and MoS2, (b) diffusion barriers of MoS2/rGO composite and MoS2, (c) PDOS of MoS2/rGO composite, (d) PDOS of MoS2.
3. Materials and Methods
3.1. Material
Sodium molybdate dihydrate (Na2MoO4·2H2O), CTAB, (C19H42BrN), ice acetic acid (CH3COOH), and anhydrous ethanol (C2H5OH) were purchased from Sinopharm Chemical Reagent Co., Ltd. (Shanghai, China). Thiourea (CH4N2S, 99% purity) was purchased from Shanghai Aladdin Industrial Co., Ltd. (Shanghai, China). Single-layer industrial grade graphene oxide was purchased from Suzhou Carbon Feng Technology Co., Ltd. (Suzhou, China).
3.2. Preparation of MoS2/rGO Composite
An amount of 0.09 g (30 wt%) of GO powder was dissolved in 30 mL of deionized water (DI) and ultrasonicated for 1.5 h (a black-brown solution was generated). Next, 20 mL of N-methyl pyrrolidone was added to the solution and stirred for 10 min. An amount of ice acetic acid was added to the solution, the pH of the solution was adjusted to 6, and the solution was stirred for 5 min to ensure even mixing. CTAB (0.15 g) was added to a 10 mL DI beaker and stirred until it was a milky white solution. Finally, the two solutions were mixed and stirred for 5 h. The two solutions were stratified at the beginning of mixing (the upper layer was graphene oxide, and the lower layer was a transparent liquid), and after 5 h of magnetic stirring, they were uniform solutions with some foam (the nature of CTAB). To the above solution, 0.45 g of Na2MoO4·2H2O and 0.637 g of CH4N2S were added and continuously stirred for 1 h. Then, the mixture was transferred into a 100 mL high-pressure reactor, kept at 200 °C for 24 h, and allowed to cool to room temperature. The black sediment was collected and rinsed 3 times with DI and anhydrous ethanol. The collection was dried overnight in a vacuum drying oven. Finally, the MoS2/rGO composites were obtained by holding the dried black powder at 820 °C for 120 min and at a heating rate of 5 °C min−1 under an argon atmosphere.
3.3. Structural Characterization
The crystalline phases of the samples were characterized by X-ray diffraction (XRD, XD3, Beijing Puxi Tongyong Co., Ltd., Beijing, China) with Cu-Kα radiation (λ = 1.54 Å). The morphologies and structures of the products were characterized by field-emission scanning electron microscopy (FE-SEM, Quanta250FEG, FEI, OR, USA) and high-resolution transmission electron microscopy (HRTEM, Talos F200, FEI, OR, USA). X-ray absorption fine structure (XAFS) spectra of the powder samples were obtained using 8C. The component and valence analysis of the synthesized samples were carried out by X-ray photoelectron spectroscopy (XPS, ESCALAB Xi+, Thermo Fisher, Morecambe, UK).
3.4. Electrochemical Characterization
Active material, acetylene black, and polyvinylidene difluoride (PVDF) at a weight ratio of 8:1:1 was mixed with N-methyl-2 pyrrolidone (NMP) solvent to prepare the anode material. The slurry mass loading on the copper collector was approximately 1 mg cm−2. This electrode was dried in a vacuum oven at 50 °C for 12 h. Next, the active electrode was transferred into an Ar-filled glove box to assemble the cell. Coin cells were of the CR2032 type, with a fiberglass to separate the anode and K-block. The electrolyte of choice was 1 M of potassium bis (fluor sulfonyl) imide (KFSI) in ethyl methyl carbonate (EMC). Electrochemical testing of the assembled coin battery was performed at various current densities in the 0.1–3.0 V range by using the Blue Battery Test System. Galvanostatic charge/discharge tests and cyclic voltammetry (CV) measurements in the potential window of 0.1–3.0 V versus K+/K and electrochemical impedance spectroscopy (EIS) measurements in the frequency range 0.1 Hz to 100 kHz at open-circuit voltage were performed using an electrochemical workstation (CS350 Coster Co., Ltd., Wuhan, China). All electrochemical measurements were performed at room temperature.
3.5. Theoretical Calculation
The calculations in this work are based on the DS-PAW, as well as the Projected Augmented Wave (PAW) method for calculation [50,51]. Ultra-soft pseudopotentials described the interaction between ionic nuclei and valence electrons. This study considers the binding energy, density of states, and migration barrier of MoS2/rGO. The exchange and correlation terms were computed using the generalized gradient approximation (GGA) of the Perdew–Burke–Ernzerh method, which was parameterized by Perdew [52,53]. Brillouin zone integrations were performed using a Gamma-centered k-point grid. MoS2 exhibits hexagonal symmetry and belongs to the P63/MMC space group.
The calculation was performed using a cutoff energy of 480 eV and a 3 × 3 × 1 k-point grid to ensure total energy convergence. The calculations were considered converged when the maximum force on the atoms was below 0.05 eVÅ−1, the maximum stress was below 0.1 GPa, and the maximum displacement between cycles was below 0.002 Å. Periodic structures are utilized in the calculations. To calculate the binding energy, density of states, and migration barriers, we extended MoS2 to 3 × 3 × 3 and graphene to 4 × 4 × 4, and used this as the basis for constructing the MoS2/rGO model of MoS2-wrapped rGO. The binding energy is calculated using the following formula:
The adsorption energy is calculated as follows:
The calculation of the migration barriers took into account the distinct migration paths of K+ in MoS2/rGO and MoS2.
4. Conclusions
In summary, MoS2/rGO composites were successfully prepared via a one-step hydrothermal method. Owing to the presence of rGO in the synthesis process, the MoS2 anodes in such composite possess a unique scaled structure with larger layer spacing, compared with pure MoS2. This indirectly increases the specific surface area, provides more active sites for K+, and ensures structural stability. In addition, after the hydrothermal reaction, the incorporation of rGO can increase the intrinsic conductivity of MoS2, and the composite shows high electronic conductivity.
As a result, MoS2/rGO composite anodes exhibited a better rate performance (287.15, 266.7, 220.3, and 184.6 mAh g−1, at 50, 100, 500, and 1000 mA g−1, respectively) and cycle stability (99% capacity retention after 100 cycles at 500 mA g−1) than that of anodes based on pure MoS2 and MoS2-GO. This work demonstrates the significant potential of MoS2/rGO in high-current PIBs and presents a practical strategy for the development of high-performance anode materials for PIBs.
Supplementary Materials
The following supporting information can be downloaded at: https://www.mdpi.com/article/10.3390/molecules29132977/s1, Figure S1: X-ray photoelectron spectroscopy (XPS) of MoS2 (a) C1s, (b) Mo 3d and (c) S 2p, XPS of MoS2-GO (d) C 1s, (e) Mo 3d and (f) S 2p; Figure S2: The thermogravimetric analysis for MoS2/rGO; Figure S3: (a) Curves of the first three cycles of the MoS2 electrode at 0.1 mV s−1, Specific capacity voltage diagram of the first three cycles of (b) MoS2 and (c) MoS2-GO at a current density of 100 mA g−1, (d) 50 long cycle diagrams of MoS2/rGO, MoS2 and MoS2-GO cycle performance at 100 mA g−1, rate performance of (e) the MoS2 and (f) the MoS2-GO under a different current density of 50, 100, 200, 400, 500, 800, 1000 mA g−1; Figure S4: (a) CV curves of the MoS2 at different scan rates from 0.1 to 0.8 mV s−1, (b) CV curves of the MoS2-GO at different scan rates from 0.1 to 0.8 mV s−1, (c) linear fitting of log (peak current) versus log (scan rate) plot of MoS2 and MoS2-GO, (d) percentage capacitive contributions of MoS2 at 0.8 mV s−1, (e) percentage capacitive contributions of MoS2-GO at 0.8 mV s−1, (f) percentage capacitive contributions of MoS2 at different scan rates, (g) percentage capacitive contributions of MoS2-GO at different scan rates, (h) GITT curve of MoS2 and its calculated ion diffusion coefficient diagram, (i) GITT curve of MoS2-GO and its calculated ion diffusion coefficient diagram; Figure S5: (a,b) Possible insertion sites for K before structure optimization, (c,d) sites of K insertion after structural optimization; Figure S6: (a) Calculation model of MoS2/rGO, (b) adsorption calculation model of MoS2/rGO; Figure S7: Two diffusion paths of MoS2/rGO.
Author Contributions
Conceptualization, B.W.; Methodology, J.L.; Validation, Y.S., B.S. and R.T.; Writing—original draft preparation, B.W. and T.D.; Writing—review and editing, Y.X. and J.G.; Visualization, L.S., C.Z. and Y.T.; Supervision, Y.X., N.C. and J.G.; Funding acquisition, B.W. All authors have read and agreed to the published version of the manuscript.
Funding
This work was financially supported by the National Nature Science Foundation of China (No. U1904198), the Science and Technology Department of Henan Province (No. 222102240071), College Student Innovation Key Project of Henan Province (No. 202311071009), University Key Scientific Research Project of Henan Province (No. 24A480008, No. 24B480014), College Young Teachers Training Program of Henan Province (No. 2023GGJS160), Enterprise Technology R&D Project (No. 2023410707000503).
Institutional Review Board Statement
Not applicable.
Informed Consent Statement
Not applicable.
Data Availability Statement
The data presented in this study are available in the Supplementary Materials.
Acknowledgments
The authors gratefully acknowledge HZWTECH for providing computing facilities and Xinxiang Taihang New ENERGY Soience and Technology Co., Ltd. for providing technical and financial support.
Conflicts of Interest
The authors declare no conflicts of interest.
References
- Sui, Y.; Zhou, J.; Wang, X.; Wu, L.; Zhong, S.; Li, Y. Recent Advances in Black-Phosphorus-Based Materials for Electrochemical Energy Storage. Mater. Today 2021, 42, 117–136. [Google Scholar] [CrossRef]
- Zhou, G.; Xu, L.; Hu, G.; Mai, L.; Cui, Y. Nanowires for Electrochemical Energy Storage. Chem. Rev. 2019, 119, 11042–11109. [Google Scholar] [CrossRef] [PubMed]
- De Rosa, M.; Afanaseva, O.; Fedyukhin, A.V.; Bianco, V. Prospects and Characteristics of Thermal and Electrochemical Energy Storage Systems. J. Energy Storage 2021, 44, 103443. [Google Scholar] [CrossRef]
- Wang, C.-Y.; Liu, T.; Yang, X.-G.; Ge, S.; Stanley, N.V.; Rountree, E.S.; Leng, Y.; McCarthy, B.D. Fast Charging of Energy-Dense Lithium-Ion Batteries. Nature 2022, 611, 485–490. [Google Scholar] [CrossRef] [PubMed]
- Abu, S.M.; Hannan, M.A.; Hossain Lipu, M.S.; Mannan, M.; Ker, P.J.; Hossain, M.J.; Mahlia, T.M.I. State of the Art of Lithium-Ion Battery Material Potentials: An Analytical Evaluations, Issues and Future Research Directions. J. Clean. Prod. 2023, 394, 136246. [Google Scholar] [CrossRef]
- Chayambuka, K.; Mulder, G.; Danilov, D.L.; Notten, P.H.L. Sodium-Ion Battery Materials and Electrochemical Properties Reviewed. Adv. Energy Mater. 2018, 8, 1800079. [Google Scholar] [CrossRef]
- Guo, Q.; Zeng, W.; Liu, S.-L.; Li, Y.-Q.; Xu, J.-Y.; Wang, J.-X.; Wang, Y. Recent Developments on Anode Materials for Magnesium-Ion Batteries: A Review. Rare Met. 2021, 40, 290–308. [Google Scholar] [CrossRef]
- Das, S.K.; Mahapatra, S.; Lahan, H. Aluminium-Ion Batteries: Developments and Challenges. J. Mater. Chem. A 2017, 5, 6347–6367. [Google Scholar] [CrossRef]
- Min, X.; Xiao, J.; Fang, M.; Wang, W.; Zhao, Y.; Liu, Y.; Abdelkader, A.M.; Xi, K.; Kumar, R.V.; Huang, Z. Potassium-Ion Batteries: Outlook on Present and Future Technologies. Energy Environ. Sci. 2021, 14, 2186–2243. [Google Scholar] [CrossRef]
- Zhang, W.; Yin, J.; Wang, W.; Bayhan, Z.; Alshareef, H.N. Status of Rechargeable Potassium Batteries. Nano Energy 2021, 83, 105792. [Google Scholar] [CrossRef]
- Hwang, J.-Y.; Myung, S.-T.; Sun, Y.-K. Recent Progress in Rechargeable Potassium Batteries. Adv. Funct. Mater. 2018, 28, 1802938. [Google Scholar] [CrossRef]
- Eftekhari, A.; Jian, Z.; Ji, X. Potassium Secondary Batteries. ACS Appl. Mater. Interfaces 2017, 9, 4404–4419. [Google Scholar] [CrossRef] [PubMed]
- Rajagopalan, R.; Tang, Y.; Ji, X.; Jia, C.; Wang, H. Advancements and Challenges in Potassium Ion Batteries: A Comprehensive Review. Adv. Funct. Mater. 2020, 30, 1909486. [Google Scholar] [CrossRef]
- Zhang, J.; Liu, T.; Cheng, X.; Xia, M.; Zheng, R.; Peng, N.; Yu, H.; Shui, M.; Shu, J. Development Status and Future Prospect of Non-Aqueous Potassium Ion Batteries for Large Scale Energy Storage. Nano Energy 2019, 60, 340–361. [Google Scholar] [CrossRef]
- Liu, S.; Kang, L.; Henzie, J.; Zhang, J.; Ha, J.; Amin, M.A.; Hossain, M.S.A.; Jun, S.C.; Yamauchi, Y. Recent Advances and Perspectives of Battery-Type Anode Materials for Potassium Ion Storage. ACS Nano 2021, 15, 18931–18973. [Google Scholar] [CrossRef] [PubMed]
- Lei, Y.; Chen, M.; Li, Y.; Zhang, W.; Zhao, D.; Zhu, Q. Dendrite-Free Potassium Metal Anode Induced by in-Situ Phase Transitions of MoS2. Mater. Today Phys. 2023, 35, 101141. [Google Scholar] [CrossRef]
- Sha, M.; Liu, L.; Zhao, H.; Lei, Y. Anode Materials for Potassium-Ion Batteries: Current Status and Prospects. Carbon Energy 2020, 2, 350–369. [Google Scholar] [CrossRef]
- Presolski, S.; Pumera, M. Covalent Functionalization of MoS2. Mater. Today 2016, 19, 140–145. [Google Scholar] [CrossRef]
- Wang, Y.-Z.; Shan, X.-Y.; Wang, D.-W.; Sun, Z.-H.; Cheng, H.-M.; Li, F. A Rechargeable Quasi-Symmetrical MoS2 Battery. Joule 2018, 2, 1278–1286. [Google Scholar] [CrossRef]
- Li, C.; Lao, B.; Li, Z.; Yin, H.; Yang, Z.; Wang, H.; Chen, D.; Zhang, X.; Xu, Y.; Sun, C. Dual-Ion Battery with MoS2 Cathode. Energy Storage Mater. 2020, 32, 159–166. [Google Scholar] [CrossRef]
- Wu, K.; Cao, X.; Li, M.; Lei, B.; Zhan, J.; Wu, M. Bottom-Up Synthesis of MoS2/CNTs Hollow Polyhedron with 1T/2H Hybrid Phase for Superior Potassium-Ion Storage. Small 2020, 16, 2004178. [Google Scholar] [CrossRef] [PubMed]
- Yao, K.; Xu, Z.; Ma, M.; Li, J.; Lu, F.; Huang, J. Densified Metallic MoS2/Graphene Enabling Fast Potassium-Ion Storage with Superior Gravimetric and Volumetric Capacities. Adv. Funct. Mater. 2020, 30, 2001484. [Google Scholar] [CrossRef]
- Cui, Y.; Liu, W.; Feng, W.; Zhang, Y.; Du, Y.; Liu, S.; Wang, H.; Chen, M.; Zhou, J. Controlled Design of Well-Dispersed Ultrathin MoS 2 Nanosheets inside Hollow Carbon Skeleton: Toward Fast Potassium Storage by Constructing Spacious “Houses” for K Ions. Adv. Funct. Mater. 2020, 30, 1908755. [Google Scholar] [CrossRef]
- Liu, Y.; Xiao, Y.; Liu, F.; Han, P.; Qin, G. Controlled Building of Mesoporous MoS2 @MoO2-Doped Magnetic Carbon Sheets for Superior Potassium Ion Storage. J. Mater. Chem. A 2019, 7, 26818–26828. [Google Scholar] [CrossRef]
- Krishnamoorthy, K.; Veerapandian, M.; Yun, K.; Kim, S.-J. The Chemical and Structural Analysis of Graphene Oxide with Different Degrees of Oxidation. Carbon 2013, 53, 38–49. [Google Scholar] [CrossRef]
- Xie, K.; Yuan, K.; Li, X.; Lu, W.; Shen, C.; Liang, C.; Vajtai, R.; Ajayan, P.; Wei, B. Superior Potassium Ion Storage via Vertical MoS2 “Nano-Rose” with Expanded Interlayers on Graphene. Small 2017, 13, 1701471. [Google Scholar] [CrossRef] [PubMed]
- Pei, B.; Jiang, Z.; Zhang, W.; Yang, Z.; Manthiram, A. Nanostructured Li3V2(PO4)3 Cathode Supported on Reduced Graphene Oxide for Lithium-Ion Batteries. J. Power Sources 2013, 239, 475–482. [Google Scholar] [CrossRef]
- Ma, G.; Zhou, Y.; Wang, Y.; Feng, Z.; Yang, J. N, P-Codoped Graphene Supported Few-Layered MoS2 as a Long-Life and High-Rate Anode Materials for Potassium-Ion Storage. Nano Res. 2021, 14, 3523–3530. [Google Scholar] [CrossRef]
- Wang, J.; Fang, W.; Hu, Y.; Zhang, Y.; Dang, J.; Wu, Y.; Chen, B.; Zhao, H.; Li, Z. Single Atom Ru Doping 2H-MoS2 as Highly Efficient Hydrogen Evolution Reaction Electrocatalyst in a Wide pH Range. Appl. Catal. B Environ. 2021, 298, 120490. [Google Scholar] [CrossRef]
- Wurst, K.M.; Strolka, O.; Hiller, J.; Keck, J.; Meixner, A.J.; Lauth, J.; Scheele, M. Electronic Structure of Colloidal 2H-MoS2 Mono and Bilayers Determined by Spectroelectrochemistry. Small 2023, 19, 2207101. [Google Scholar] [CrossRef]
- Huang, H.-H.; De Silva, K.K.H.; Kumara, G.R.A.; Yoshimura, M. Structural Evolution of Hydrothermally Derived Reduced Graphene Oxide. Sci. Rep. 2018, 8, 6849. [Google Scholar] [CrossRef] [PubMed]
- Liu, M.; Liu, Y.; Tang, B.; Zhang, P.; Yan, Y.; Liu, T. 3D Conductive Network Supported Monolithic Molybdenum Disulfide Nanosheets for High-Performance Lithium Storage Applications. Adv. Mater. Inter. 2017, 4, 1601228. [Google Scholar] [CrossRef]
- Hu, X.; Li, Y.; Zeng, G.; Jia, J.; Zhan, H.; Wen, Z. Three-Dimensional Network Architecture with Hybrid Nanocarbon Composites Supporting Few-Layer MoS2 for Lithium and Sodium Storage. ACS Nano 2018, 12, 1592–1602. [Google Scholar] [CrossRef] [PubMed]
- Gao, J.; Li, Y.; Liu, Y.; Jiao, S.; Li, J.; Wang, G.; Zeng, S.; Zhang, G. The Dual-Function Sacrificing Template Directed Formation of MoS2/C Hybrid Nanotubes Enabling Highly Stable and Ultrafast Sodium Storage. J. Mater. Chem. A 2019, 7, 18828–18834. [Google Scholar] [CrossRef]
- Xu, Z.; He, M.; Zhou, Y.; Nie, S.; Wang, Y.; Huo, Y.; Kang, Y.; Wang, R.; Xu, R.; Peng, H.; et al. Spider Web-like Carbonized Bacterial Cellulose/MoSe2 Nanocomposite with Enhanced Microwave Attenuation Performance and Tunable Absorption Bands. Nano Res. 2021, 14, 738–746. [Google Scholar] [CrossRef]
- Jia, B.; Yu, Q.; Zhao, Y.; Qin, M.; Wang, W.; Liu, Z.; Lao, C.-Y.; Liu, Y.; Wu, H.; Zhang, Z.; et al. Bamboo-Like Hollow Tubes with MoS2/N-Doped-C Interfaces Boost Potassium-Ion Storage. Adv. Funct. Mater. 2018, 28, 1803409. [Google Scholar] [CrossRef]
- Wang, H.; Zhai, D.; Kang, F. Solid Electrolyte Interphase (SEI) in Potassium Ion Batteries. Energy Environ. Sci. 2020, 13, 4583–4608. [Google Scholar] [CrossRef]
- Gu, M.; Rao, A.M.; Zhou, J.; Lu, B. In Situ Formed Uniform and Elastic SEI for High-Performance Batteries. Energy Environ. Sci. 2023, 16, 1166–1175. [Google Scholar] [CrossRef]
- Zhang, Y.; Zhu, L.; Xu, H.; Wu, Q.; Duan, H.; Chen, B.; He, H. Interlayer-Expanded MoS2 Enabled by Sandwiched Monolayer Carbon for High Performance Potassium Storage. Molecules 2023, 28, 2608. [Google Scholar] [CrossRef]
- Liu, H.; He, Y.; Cao, K.; Wang, S.; Jiang, Y.; Liu, X.; Huang, K.-J.; Jing, Q.-S.; Jiao, L. Stimulating the Reversibility of Sb2S3 Anode for High-Performance Potassium-Ion Batteries. Small 2021, 17, 2008133. [Google Scholar] [CrossRef]
- Fagiolari, L.; Versaci, D.; Di Berardino, F.; Amici, J.; Francia, C.; Bodoardo, S.; Bella, F. An Exploratory Study of MoS2 as Anode Material for Potassium Batteries. Batteries 2022, 8, 242. [Google Scholar] [CrossRef]
- Chen, L.; Chen, Z.; Chen, L.; Zhou, P.; Wang, J.; Yang, H.; Feng, Z.; Li, X.; Huang, J. The Exfoliation of Bulk MoS2 by a Three-Roller Mill for High-Performance Potassium Ion Batteries. Appl. Surf. Sci. 2023, 615, 156253. [Google Scholar] [CrossRef]
- Zhang, J.; Cui, P.; Gu, Y.; Wu, D.; Tao, S.; Qian, B.; Chu, W.; Song, L. Encapsulating Carbon-Coated MoS2 Nanosheets within a Nitrogen-Doped Graphene Network for High-Performance Potassium-Ion Storage. Adv. Mater. Interfaces 2019, 6, 1901066. [Google Scholar] [CrossRef]
- Li, J.; Rui, B.; Wei, W.; Nie, P.; Chang, L.; Le, Z.; Liu, M.; Wang, H.; Wang, L.; Zhang, X. Nanosheets Assembled Layered MoS2/MXene as High Performance Anode Materials for Potassium Ion Batteries. J. Power Sources 2020, 449, 227481. [Google Scholar] [CrossRef]
- Kim, H.; Byeon, Y.-W.; Wang, J.; Zhang, Y.; Scott, M.C.; Jun, K.; Cai, Z.; Sun, Y. Understanding of Electrochemical K+/Na+ Exchange Mechanisms in Layered Oxides. Energy Storage Mater. 2022, 47, 105–112. [Google Scholar] [CrossRef]
- Ma, M.; Zhang, S.; Yao, Y.; Wang, H.; Huang, H.; Xu, R.; Wang, J.; Zhou, X.; Yang, W.; Peng, Z.; et al. Heterostructures of 2D Molybdenum Dichalcogenide on 2D Nitrogen-Doped Carbon: Superior Potassium-Ion Storage and Insight into Potassium Storage Mechanism. Adv. Mater. 2020, 32, 2000958. [Google Scholar] [CrossRef]
- Fang, G.; Wu, Z.; Zhou, J.; Zhu, C.; Cao, X.; Lin, T.; Chen, Y.; Wang, C.; Pan, A.; Liang, S. Observation of Pseudocapacitive Effect and Fast Ion Diffusion in Bimetallic Sulfides as an Advanced Sodium-Ion Battery Anode. Adv. Energy Mater. 2018, 8, 1703155. [Google Scholar] [CrossRef]
- Zhao, J.; Burke, A.F. Electrochemical Capacitors: Materials, Technologies and Performance. Energy Storage Mater. 2021, 36, 31–55. [Google Scholar] [CrossRef]
- Wang, S.; Zhang, J.; Gharbi, O.; Vivier, V.; Gao, M.; Orazem, M.E. Electrochemical Impedance Spectroscopy. Nat. Rev. Methods Primers 2021, 1, 41. [Google Scholar] [CrossRef]
- Blöchl, P.E. Projector Augmented-Wave Method. Phys. Rev. B 1994, 50, 17953–17979. [Google Scholar] [CrossRef]
- Kresse, G.; Joubert, D. From Ultrasoft Pseudopotentials to the Projector Augmented-Wave Method. Phys. Rev. B 1999, 59, 1758–1775. [Google Scholar] [CrossRef]
- Marlo, M.; Milman, V. Density-Functional Study of Bulk and Surface Properties of Titanium Nitride Using Different Exchange-Correlation Functionals. Phys. Rev. B 2000, 62, 2899–2907. [Google Scholar] [CrossRef]
- White, J.A.; Bird, D.M. Implementation of Gradient-Corrected Exchange-Correlation Potentials in Car-Parrinello Total-Energy Calculations. Phys. Rev. B 1994, 50, 4954–4957. [Google Scholar] [CrossRef]
Disclaimer/Publisher’s Note: The statements, opinions and data contained in all publications are solely those of the individual author(s) and contributor(s) and not of MDPI and/or the editor(s). MDPI and/or the editor(s) disclaim responsibility for any injury to people or property resulting from any ideas, methods, instructions or products referred to in the content. |
© 2024 by the authors. Licensee MDPI, Basel, Switzerland. This article is an open access article distributed under the terms and conditions of the Creative Commons Attribution (CC BY) license (https://creativecommons.org/licenses/by/4.0/).





