Simulation Study on Molecular Adsorption of Coal in Chicheng Coal Mine
Abstract
1. Introduction
2. Structural Characterization and Construction of Macromolecular Structure of Coal
3. Theoretical Analysis of Molecular Simulation of Gas Adsorption in Coal
3.1. Selection of Force Field
3.2. Transformation of Pressure and Fugacity
4. Molecular Simulation of Gas Adsorption Characteristics of Coal
4.1. Adsorption Model Construction and Optimization
4.1.1. Coal Model Construction and Optimization
4.1.2. Construction and Optimization of Adsorbent Model
4.2. Simulation Methods and Parameter Settings
4.3. Correctness Verification of the Model
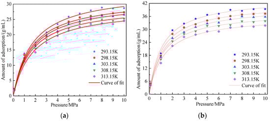
4.4. Influence of Temperature on Adsorption Characteristics
4.4.1. Influence of Temperature on Adsorption Capacity
4.4.2. Influence of Temperature on Adsorption Heat
4.4.3. Influence of Temperature on Interaction Energy
4.5. Influence of Moisture on Adsorption Characteristics
4.5.1. Water-Bearing Coal Model Construction and Pore Analysis
4.5.2. Influence of Moisture Content on Adsorption Capacity
4.5.3. Influence of Moisture Content on Adsorption Heat
4.5.4. Influence of Water Content on Interaction Energy
5. Conclusions
- (1)
- A three-dimensional macromolecular structure model of nonsticky coal in the Chicheng Coal Mine was constructed using molecular simulation software. Through geometric and dynamic optimization of the model, the final density of the model stabilized at 1.138 g/cm3, which was close to the actual coal density. The rationality of the constructed model was proved by comparing the adsorption results of CH4 between the model and the experiment. Based on this model, the accessible pore of CO2 and CH4 in dry coal samples was 2295.89 Å3 and 1550.92 Å3, respectively, by probe analysis.
- (2)
- In the macromolecular structure model of dry coal, the higher the temperature was, the stronger the inhibition of gas adsorption capacity and interaction could be. The equivalent adsorption heat of CO2 decreased with the increase in temperature, the equivalent adsorption heat of CH4 changed little with the increase in temperature, the equivalent adsorption heat of CO2 decreased with the increase in pressure, and the equivalent adsorption heat of CH4 first increased and then decreased with the increase in pressure. Under the same conditions, the adsorption capacity, interaction energy, and adsorption heat of CO2 were all greater than that of CH4, and CO2 was more sensitive to temperature changes. The adsorption of the two gases in the coal molecular model was physical adsorption.
- (3)
- The macromolecular structure model of water-bearing coal was established. In the macromolecular structure model of water-bearing coal, the higher the water content was, the smaller the adsorption capacity and interaction energy of the two gases were. The equivalent adsorption heat of CO2 and CH4 adsorbed in wet coal with different water content decreased with the increase in pressure and increased with the increase in water content.
Author Contributions
Funding
Institutional Review Board Statement
Informed Consent Statement
Data Availability Statement
Acknowledgments
Conflicts of Interest
References
- Caineng, Z.; Feng, M.; Songqi, P.; Minjie, L.; Guosheng, Z.; Bo, X.; Ying, W.; Yingbo, L.; Zhi, Z. On Earth energy evolution and human development and carbon neutrality strategy. Pet. Explor. Dev. 2022, 49, 411–428. [Google Scholar]
- Jian, S. On the accumulation effect of deep coalbed methane. J. China Coal Soc. 2011, 36, 2. [Google Scholar]
- Runsheng, L.; Suping, P.; Gaofeng, L.; Li, B.; Jienan, P.; Xiaoying, L. High-pressure methane adsorption-induced coal swelling on equilibrium moisture coal samples. Energy Sources Part A Recovery Util. Environ. Eff. 2016, 38, 2119–2127. [Google Scholar]
- Shen, J.; Qin, Y.; Fu, X.; Wang, G.; Chen, R.; Zhao, L. Study of high-pressure sorption of methane on Chinese coals of different rank. Arab. J. Geosci. 2015, 8, 3451–3460. [Google Scholar] [CrossRef]
- Wang, X.; Deng, C.; Qiao, L.; Chu, G.; Kang, Y. A study on factors influencing CO2 adsorption by coal. AIP Adv. 2021, 11, 035238. [Google Scholar] [CrossRef]
- Qiu, F.; Liu, D.; Cai, Y.; Liu, N.; Qiu, Y. Methane Adsorption Interpreting with Adsorption Potential and Its Controlling Factors in Various Rank Coals. Processes 2020, 8, 390. [Google Scholar] [CrossRef]
- Zhu, C.-J.; Ren, J.; Wan, J.; Lin, B.-Q.; Yang, K.; Li, Y. Methane adsorption on coals with different coal rank under elevated temperature and pressure. Fuel 2019, 254, 115686. [Google Scholar] [CrossRef]
- Weniger, P.; Franců, J.; Hemza, P.; Krooss, B.M. Investigations on the methane and carbon dioxide sorption capacity of coals from the SW Upper Silesian Coal Basin, Czech Republic. Int. J. Coal Geol. 2012, 93, 23–39. [Google Scholar] [CrossRef]
- Zhigen, Z.; Xiuyi, T. Discussion on Lang muir equation of methane adsorption by coal. J. Jiaozuo Inst. Technol. (Nat. Sci. Ed.) 2002, 444, 104–113. [Google Scholar]
- Lingwen, Z.; Yuzhu, Z.; Zhengrong, Y.; Chongli, L.; Hui, Z. Prediction of adsorption property and gas content of coal under the combined influence of temperature and pressure. J. China Coal Soc. 2002, 6, 581–585. [Google Scholar]
- Moffat, D.H.; Weale, K.E. Sorption by Coal of Methane at High Pressures. Fuel 1955, 34, 449–462. [Google Scholar]
- Zhenyang, W. Microstructure Evolution of Structural Coal and Its Effect on Kinetic Characteristics of Gas Adsorption and Desorption. Ph.D. Thesis, China University of Mining and Technology, Beijing, China, 2020. [Google Scholar]
- Siyuan, W. Molecular Simulation Study on the Mechanism of Preventing Coal Spontaneous Combustion from Flue Gas of Power Plant and Its Sequestration. Ph.D. Thesis, Liaoning Technical University, Fuxin, China, 2019. [Google Scholar]
- Wei, L.; Ruxiong, L.; Xinmin, W. Some laws of gas compression factor and fugacity factor. Bull. Chem. 2010, 73, 1053–1056. [Google Scholar] [CrossRef]
- Wang, D.M.; Jia, J.Z.; Li, B.; Wu, Y.M.; Zhao, D. Molecular simulation study on the effect of coal metamorphism on the competitive adsorption of CO2/CH4 in binary system. Fuel 2023, 335, 19. [Google Scholar] [CrossRef]
- Gotzias, A.; Kainourgiakis, M.; Stubos, A. Enhanced CO2 selectivity within the cavity of gmelinite frameworks. Adsorpt. J. Int. Adsorpt. Soc. 2018, 24, 371–379. [Google Scholar] [CrossRef]
- Pini, R.; Ansari, H.; Hwang, J. Measurement and interpretation of unary supercritical gas adsorption isotherms in micro-mesoporous solids. Adsorption 2021, 27, 659–671. [Google Scholar] [CrossRef]
- Steele, W.A.; Bojan, M.J. Computer simulation studies of the heats of adsorption of simple gases. Pure Appl. Chem. 1989, 61, 1927–1932. [Google Scholar] [CrossRef]
- He, Y.; Seaton, N.A. Monte Carlo simulation of the isosteric heats—Implications for the characterisation of porous materials. Stud. Surf. Sci. Catal. 2007, 160, 511–518. [Google Scholar]
- Gotzias, A.; Kouvelos, E.; Sapalidis, A. Computing the temperature dependence of adsorption selectivity in porous solids. Surf. Coat. Technol. 2018, 350, 95–100. [Google Scholar] [CrossRef]
- Jinxuan, H. Molecular Simulation of Gas Adsorption, Desorption and Diffusion in Water-Bearing Coal Seams. Ph.D. Thesis, Southwest Petroleum University, Chengdu, China, 2015. [Google Scholar]
- Bin, Z. Molecular Simulation of Adsorption and Diffusion of CH_4 on Kaolinite Surface of Coal Measures. Ph.D. Thesis, Taiyuan University of Technology, Taiyuan, China, 2018. [Google Scholar]
- Niu, G.; Zhang, B.; Kang, T.; Song, Z.; Zhang, X. Molecular simulation of the effect of pore pressure and water content on methane adsorption energy of kaolinite in coal measures. J. Min. Saf. Eng. 2018, 35, 1269–1276. [Google Scholar] [CrossRef]
- Gotzias, A. The effect of gme topology on multicomponent adsorption in zeolitic imidazolate frameworks. Phys. Chem. Chem. Phys. 2017, 19, 871–877. [Google Scholar] [CrossRef] [PubMed]























| State | Total Energy (kcal·mol−1) | Valence Electron Energy, EV | Nonhealthy Energy, EN | ||||
|---|---|---|---|---|---|---|---|
| Bond (kcal·mol−1) | Angle (kcal·mol−1) | Torsion (kcal·mol−1) | Inversion (kcal·mol−1) | Van der Waals (kcal·mol−1) | Electrostatic (kcal·mol−1) | ||
| Initial state | 236,115.853 | 1753.26 | 303.492 | 2625.519 | 23.275 | 230,432.156 | −37.852 |
| End state | 2760.211 | 64.928 | 177.781 | 2567.972 | 21.346 | 111.852 | −55.655 |
| Adsorption Mass Model | State | Total Energy (kcal·mol−1) | Valence Electron Energy (kcal·mol−1) | Nonhealthy Energy (kcal·mol−1) |
|---|---|---|---|---|
| CH4 | Initial state | 2.490521 | 2.178 | 0.000 |
| End state | 0.223232 | 0.242 | 0.000 | |
| CO2 | Initial state | 216.391631 | 182.651 | 0.000 |
| End state | 0.000023 | 0.000 | 0.000 | |
| H2O | Initial state | 19.417523 | 19.043 | 0.000 |
| End state | 0.000023 | 0.000 | 0.000 |
| Type of Gas | Temperature (K) | a | b | Adj. R2 |
|---|---|---|---|---|
| CH4 | 293.15 | 34.25 | 0.58 | 0.9917 |
| 298.15 | 31.93 | 0.60 | 0.9911 | |
| 303.15 | 31.08 | 0.59 | 0.9953 | |
| 308.15 | 29.73 | 0.57 | 0.9917 | |
| 313.15 | 28.95 | 0.55 | 0.9926 | |
| CO2 | 293.15 | 44.54 | 0.55 | 0.9925 |
| 298.15 | 41.95 | 0.87 | 0.9911 | |
| 303.15 | 40.64 | 0.81 | 0.9945 | |
| 308.15 | 38.09 | 0.85 | 0.9919 | |
| 313.15 | 36.09 | 0.79 | 0.9903 |
| Type of Gas | Content of Water (%) | a | b | Adj. R2 |
|---|---|---|---|---|
| CO2 | 1 | 32.96 | 1.08 | 0.9905 |
| 2 | 26.95 | 0.92 | 0.9890 | |
| 3 | 20.90 | 0.94 | 0.9851 | |
| 5 | 10.01 | 1.47 | 0.9721 | |
| CH4 | 1 | 24.13 | 0.77 | 0.9959 |
| 2 | 19.04 | 0.89 | 0.9908 | |
| 3 | 15.62 | 0.88 | 0.9905 | |
| 5 | 8.60 | 0.95 | 0.9859 |
Disclaimer/Publisher’s Note: The statements, opinions and data contained in all publications are solely those of the individual author(s) and contributor(s) and not of MDPI and/or the editor(s). MDPI and/or the editor(s) disclaim responsibility for any injury to people or property resulting from any ideas, methods, instructions or products referred to in the content. |
© 2023 by the authors. Licensee MDPI, Basel, Switzerland. This article is an open access article distributed under the terms and conditions of the Creative Commons Attribution (CC BY) license (https://creativecommons.org/licenses/by/4.0/).
Share and Cite
Yan, J.; Jia, B.; Liu, B.; Zhang, J. Simulation Study on Molecular Adsorption of Coal in Chicheng Coal Mine. Molecules 2023, 28, 3302. https://doi.org/10.3390/molecules28083302
Yan J, Jia B, Liu B, Zhang J. Simulation Study on Molecular Adsorption of Coal in Chicheng Coal Mine. Molecules. 2023; 28(8):3302. https://doi.org/10.3390/molecules28083302
Chicago/Turabian StyleYan, Jingxue, Baoshan Jia, Baogang Liu, and Jinyi Zhang. 2023. "Simulation Study on Molecular Adsorption of Coal in Chicheng Coal Mine" Molecules 28, no. 8: 3302. https://doi.org/10.3390/molecules28083302
APA StyleYan, J., Jia, B., Liu, B., & Zhang, J. (2023). Simulation Study on Molecular Adsorption of Coal in Chicheng Coal Mine. Molecules, 28(8), 3302. https://doi.org/10.3390/molecules28083302

