Volatile Organic Compounds of Bacillus velezensis GJ-7 against Meloidogyne hapla through Multiple Prevention and Control Modes
Abstract
1. Introduction
2. Results
2.1. Evaluation of Nematicidal Activity of Bacillus velezensis GJ-7 VOCs
2.2. Identification of GJ-7 VOCs through SMPE-GC-MS Analysis
2.3. Evaluation of Each VOC for Direct-Contact Nematicidal Activity against Meloidogyne hapla
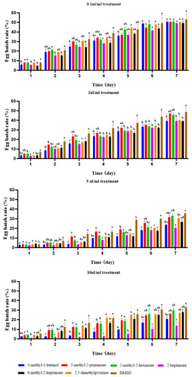
2.4. Evaluation of Each VOC for Their Fumigant Activity against Meloidogyne hapla
2.5. Chemotaxis of VOCs to Meloidogyne hapla J2s
3. Discussion
4. Material and Methods
4.1. Collection of Meloidogyne hapla Eggs and Second-Stage Juveniles
4.2. Preparation of Bacillus velezensis GJ-7 Fermentation Broth
4.3. Nematicidal Activity of Volatiles of Bacillus velezensis GJ-7
4.4. Detection and Identification of VOCs from Bacillus velezensis GJ-7
4.5. Direct-Contact Nematicidal Activity of Commercial VOCs against Meloidogyne hapla
4.6. Fumigant Activity of Commercial VOCs against Meloidogyne hapla
4.7. Chemotaxis Activity of VOCs to the Meloidogyne hapla J2s
4.8. Data Analysis and Statistics
5. Conclusions
Author Contributions
Funding
Institutional Review Board Statement
Informed Consent Statement
Data Availability Statement
Conflicts of Interest
References
- Anwar, S.A.; McKenry, M.V. Incidence and reproduction of Meloidogyne incognita on vegetable crop genotypes. Pak. J. Zool. 2010, 42, 135–141. [Google Scholar]
- Wang, Z.H.; Wang, W.P.; Liu, Y.B.; Jiang, C.H.; Yang, K.; Zhu, Y.Y.; Wang, Y.; He, X.H. Investigation and Infection Source Analysis of Root Knot Nematode Disease of Panax notoginseng in Lancang County, Yunnan Province. J. Yunnan Agric. Univ. Nat. Sci. 2021, 36, 60–68. [Google Scholar]
- Li, J.; Zou, C.; Xu, J.; Ji, X.; Niu, X.; Yang, J.; Huang, X.; Zhang, K.-Q. Molecular mechanisms of nematode-nematophagous microbe interactions: Basis for biological control of plant-parasitic nematodes. Annu. Rev. Phytopathol. 2015, 53, 67–95. [Google Scholar] [CrossRef]
- Gravato-Nobre, M.J.; McClure, M.A.; Dolan, L.; Calder, G.; Davies, K.G.; Mulligan, B.; Evans, K.; Von Mende, N. Meloidogyne incognita surface antigen epitopes in infected Arabidopsis roots. J. Nematol. 1999, 31, 212–223. [Google Scholar] [PubMed]
- Vos, C.; Schouteden, N.; van Tuinen, D.; Chatagnier, O.; Elsen, A.; DeWaele, D.; Panis, B.; Gianinazzi-Pearson, V. Mycorrhiza induced resistance against the root-knot nematode Meloidogyne incognita involves priming of defense gene responses in tomato. Soil Biol. Biochem. 2013, 60, 45–54. [Google Scholar] [CrossRef]
- Anwar, S.A.; McKenry, M.V. Incidence and population density of plant-parasitic nematodes infecting vegetable crops and associated yield losses. Pak. J. Zool. 2012, 44, 327–333. [Google Scholar]
- Nicol, J.M.; Turner, S.J.; Coyne, D.L.; Nijs, L.; Hockland, S.; Maafi, Z.T. Current nematode threats to world agriculture. In Genomics and Molecular Genetics of Plant-Nematode Interactions; Jones, J., Gheysen, G., Fenoll, C., Eds.; Springer: Dordrecht, The Netherlands, 2011. [Google Scholar]
- Kim, T.Y.; Jang, J.Y.; Jeon, S.J.; Lee, H.W.; Bae, C.H.; Yeo, J.H.; Lee, H.B.; Kim, I.S.; Park, H.W.; Kim, J.C. Nematicidal activity of kojic acid produced by Aspergillus oryzae against Meloidogyne incognita. J. Microbiol. Biotechnol. 2016, 26, 1383–1391. [Google Scholar] [CrossRef]
- Giannakou, I.O.; Karpouzas, D.G. Evaluation of chemical and integrated strategies as alternatives to methyl bromide for the control of root-knot nematodes in Greece. Pest Manag. Sci. 2003, 59, 883–892. [Google Scholar] [CrossRef]
- Nyczepir, A.P.; Thomas, S.H. Current and future management strategies in intensive crop production systems. In Root-Knot Nematodes; Perry, R.N., Moens, M., Starr, J.L., Eds.; CAB International: Wallingford, UK, 2009; pp. 412–443. [Google Scholar]
- Schneider, S.M.; Rosskopf, E.N.; Leesch, J.G.; Chellemi, D.O.; Bull, C.T.; Mazzola, M. United States Department of Agriculture-Agricultural Research Service research on alternatives to methyl bromide: Pre-plant and post-harvest. Pest Manag. Sci. 2003, 59, 814–826. [Google Scholar] [CrossRef]
- Riga, E. The effects of Brassica green manures on plant parasitic and freeliving nematodes used in combination with reduced rates of synthetic nematicides. J. Nematol. 2011, 43, 119–121. [Google Scholar]
- Jones, J.T.; Haegeman, A.; Danchin, E.G.; Gaur, H.S.; Helder, J.; Jones, M.G.; Kikuchi, T.; Manzanilla-López, R.; Palomares-Rius, J.E.; Wesemael, W.M.L.; et al. Top 10 plant-parasitic nematodes in molecular plant pathology. Mol. Plant Pathol. 2013, 14, 946–961. [Google Scholar] [CrossRef] [PubMed]
- Lu, H.; Xu, S.; Zhang, W.; Xu, C.; Li, B.; Zhang, D.; Mu, W.; Liu, F. Nematicidal activity of trans-2-hexenal against southern root-knot nematode (Meloidogyne incognita) on tomato plants. J. Agric. Food Chem. 2017, 65, 544–550. [Google Scholar] [CrossRef] [PubMed]
- Schalchli, H.; Tortella, G.R.; Rubilar, O.; Parra, L.; Hormazabal, E.; Quiroz, A. Fungal volatiles: An environmentally friendly tool to control pathogenic microorganisms in plants. Crit. Rev. Biotechnol. 2016, 36, 144–152. [Google Scholar] [CrossRef] [PubMed]
- Li, N.; Pan, F.J.; Han, X.Z.; Zhang, B. Development of soil food web of microbes and nematodes under different agricultural practices during the early stage of pedogenesis of a Mollisol. Soil Biol. Biochem. 2016, 98, 208–216. [Google Scholar] [CrossRef]
- Rajaofera, M.J.N.; Wang, Y.; Dahar, G.Y.; Jin, P.; Fan, L.; Xu, L.; Liu, W.; Miao, W. Volatile organic compounds of Bacillus atrophaeus HAB-5 inhibit the growth of Colletotrichum gloeosporioides. Pestic. Biochem. Physiol. 2019, 156, 170–176. [Google Scholar] [CrossRef]
- Ayaz, M.; Ali, Q.; Farzand, A.; Khan, A.R.; Ling, H.; Gao, X. Nematicidal volatiles from Bacillus atrophaeus GBSC56 promote growth and stimulate induced systemic resistance in tomato against Meloidogyne incognita. Int. J. Mol. Sci. 2021, 22, 5049. [Google Scholar] [CrossRef]
- Nan, Y.; Liu, R.; Zhao, J.L.; Khan, R.A.A.; Li, Y.; Ling, J.; Liu, W.; Yang, Y.H.; Xie, B.Y.; Mao, Z.C. Volatile organic compounds of Bacillus cereus strain Bc-cm103 exhibit fumigation activity against Meloidogyne incognita. Plant Dis. 2021, 105, 904–911. [Google Scholar]
- Ye, L.; Wang, J.Y.; Liu, X.F.; Guan, Q.; Dou, N.X.; Li, J.; Zhang, Q.; Gao, Y.M.; Wang, M.; Li, J.S.; et al. Nematicidal activity of volatile organic compounds produced by Bacillus altitudinis AMCC1040 against Meloidogyne incognita. Arch. Microbiol. 2022, 204, 521. [Google Scholar] [CrossRef]
- Zhai, Y.L.; Shao, Z.Z.; Cai, M.M.; Zheng, L.Y.; Li, G.Y.; Huang, D.; Cheng, W.L.; Thomashow, L.; Weller, D.M.; Yu, Z.N.; et al. Multiple modes of nematode control by volatiles of Pseudomonas putida 1A00316 from Antarctic soil against Meloidogyne incognita. Front. Microbiol. 2018, 9, 253. [Google Scholar] [CrossRef]
- Wu, W.T.; Wang, J.J.; Wang, Z.H.; Guo, L.W.; Zhu, S.S.; Zhu, Y.Y.; Wang, Y.; He, X.H. Rhizosphere bacteria from Panax notoginseng against Meloidogyne hapla by rapid colonization and mediate resistance. Front. Microbiol. 2022, 13, 877082. [Google Scholar] [CrossRef]
- Gu, Y.Q.; Mo, M.H.; Zhou, J.P.; Zou, C.S.; Zhang, K.Q. Evaluation and identification of potential organic nematicidal volatiles from soil bacteria. Soil Biol. Biochem. 2007, 39, 2567–2575. [Google Scholar] [CrossRef]
- Thakore, Y. The biopesticide market for global agricultural use. Ind. Biotechnol. 2006, 2, 194–208. [Google Scholar] [CrossRef]
- Maffei, M.E.; Gertsch, J.; Appendino, G. Plant volatiles: Production, function an pharmacology. Nat. Prod. Rep. 2011, 28, 1359–1380. [Google Scholar] [CrossRef] [PubMed]
- Audrain, B.; Farag, M.A.; Ryu, C.M.; Ghigo, J.M. Role of bacterial volatile compounds in bacterial biology. FEMS Microbiol. Rev. 2015, 39, 222–233. [Google Scholar] [CrossRef]
- Effmert, U.; Kalderas, J.; Warnke, R.; Piechulla, B. Volatile mediated interactions between bacteria and fungi in the soil. J. Chem. Ecol. 2012, 38, 665–703. [Google Scholar] [CrossRef]
- Lemfack, M.C.; Nickel, J.; Dunkel, M.; Preissner, R.; Piechulla, B. MVOC: A database of microbial volatiles. Nucleic Acids Res. 2014, 42, 744–748. [Google Scholar] [CrossRef]
- Siddiqui, Z.A.; Mahmood, I. Role of bacteria in the management of plant parasitic nematodes: A review. Bioresour. Technol. 1999, 69, 167–179. [Google Scholar] [CrossRef]
- Zuckerman, B.M. Nematode chemotaxis and possible mechanisms of host/prey recognition. Annu. Rev. Phytopathol. 1984, 22, 95–113. [Google Scholar] [CrossRef]
- Ali, D.; Muhammet, O.; Menghsiao, M. Application Potential of Bacterial Volatile Organic Compounds in the Control of Root-Knot Nematodes. Molecules 2022, 27, 4355. [Google Scholar]
- Huang, D.; Yu, C.; Shao, Z.; Cai, M.; Li, G.; Zheng, L.; Yu, Z.; Zhang, J. Identification and Characterization of nematicidal volatile organic compounds from deep-sea Virgibacillus dokdonensis MCCC1A00493. Molecules 2020, 25, 744. [Google Scholar] [CrossRef]
- Cheng, W.; Yang, J.; Nie, Q.; Huang, D.; Yu, C.; Zheng, L.; Cai, M.; Thomashow, L.S.; Weller, D.M.; Yu, Z.; et al. Volatile organic compounds from Paenibacillus polymyxa KM2501-1 control Meloidogyne incognita by multiple strategies. Sci. Rep. 2017, 7, 16213. [Google Scholar] [CrossRef] [PubMed]
- Seo, D.J.; Kim, K.Y.; Park, R.D.; Kim, D.H.; Han, Y.S.; Kim, T.H.; Han, Y.S.; Kim, T.H.; Jung, W.J. Nematicidal activity of 3, 4-dihydroxybenzoic acid purified from Terminalia nigrovenulosa bark against Meloidogyne incognita. Microb. Pathog. 2013, 59, 52–59. [Google Scholar]
- Huang, Y.H.; Mao, Z.C.; Xie, B.Y. Chinese leek (Allium tuberosum Rottler ex Sprengel) reduced disease symptom caused by root-knot nematode. J. Integr. Agric. 2016, 15, 364–372. [Google Scholar] [CrossRef]
- Zhao, D.; Zhao, H.; Zhao, D.; Zhu, X.F.; Wang, Y.Y.; Duan, Y.X.; Xuan, Y.X.; Chen, L.J. Isolation and identification of bacteria from rhizosphere soil and their effect on plant growth promotion and root-knot nematode disease. Biol. Control 2018, 119, 12–19. [Google Scholar] [CrossRef]
- Azenha, M.; Vasconcelos, M.T. Headspace solid-phase microextraction gas chromatography-mass detection method for the determination of butyltin compounds in wines. Anal. Chim. Acta 2007, 458, 231–239. [Google Scholar] [CrossRef]
- Dìaz, A.; Vàzquez, L.; Ventura, F.; Galceran, M.T. Estimation of measurement uncertainty for the determination of nonylphenol in water using solid-phase extraction and solid-phase microextraction procedures. Anal. Chim. Acta 2004, 506, 71–80. [Google Scholar] [CrossRef]
- Mendoza, A.R.; Kiewnick, S.; Sikora, R.A. In vitro activity of Bacillus firmus against the burrowing nematode Radopholus similis, the root-knot nematode Meloidogyne incognita and the stem nematode Ditylenchus dipsaci. Biocontrol Sci. Technol. 2008, 18, 377–389. [Google Scholar] [CrossRef]
- Saikia, S.K.; Tiwari, S.; Pandey, R. Rhizospheric biological weapons for growth enhancement and Meloidogyne incognita management in Withania somnifera cv. Poshita. Biol. Control 2013, 65, 225–234. [Google Scholar] [CrossRef]
- Ntalli, N.G.; Manconi, F.; Leonti, M.; Maxia, A.; Caboni, P. Aliphatic ketones from Ruta chalepensis (Rutaceae) induce paralysis on root knot nematodes. J. Agric. Food Chem. 2011, 59, 7098–7103. [Google Scholar] [CrossRef]
- Tajima, T.; Watanabe, N.; Kogawa, Y.; Takiguchi, N.; Kato, J.; Ikeda, T.; Kuroda, A.; Ohtake, H. Chemotaxis of the nematode Caenorhabditis elegans toward cycloheximide and quinine hydrochloride. J. Biosci. Bioeng. 2001, 91, 322–324. [Google Scholar] [CrossRef]
- Saeki, S.; Yamamoto, M.; Iino, Y. Plasticity of chemotaxis revealed by paired presentation of a chemoattractant and starvation in the nematode Caenorhabditis elegans. J. Exp. Biol. 2011, 204, 1757–1764. [Google Scholar] [CrossRef] [PubMed]








| Compound | RT (min) | SI | Molecular Weight | Peak Area (%) | Peak Number |
|---|---|---|---|---|---|
| 3-methyl-1-butanol | 4.29 | 96 | 88.15 | 4.44 | 2 |
| 3-methyl-2-pentanone | 4.665 | 97 | 100.16 | 3.56 | 3 |
| 5-methyl-2-hexanone | 7.565 | 96 | 114.19 | 2.46 | 5 |
| 2-heptanone | 8.65 | 98 | 114.19 | 14.49 | 6 |
| 2,5-dimethylpyrazine | 9.375 | 95 | 108.14 | 16.28 | 8 |
| 6-methyl-2-heptanone | 10.95 | 96 | 128.21 | 15.56 | 9 |
| Compound | 24 h | 48 h |
|---|---|---|
| LC90 (μL/mL) | LC90 (μL/mL) | |
| 3-methyl-1-butanol | 2.8 | 2.7 |
| 3-methyl-2-pentanone | 20 | 18 |
| 5-methyl-2-hexanone | 20 | 17 |
| 2-heptanone | 6.2 | 6.1 |
| 2,5-dimethylpyrazine | 12.7 | 10.8 |
| 6-methyl-2-heptanone | 6.4 | 6.3 |
| Compound | Chemotaxis Index (C.I.) | |||
|---|---|---|---|---|
| 0.1 μL/mL | 1 μL/mL | 10 μL/mL | 100 μL/mL | |
| 3-methyl-1-butanol | −0.044 ± 0.0006 b | −0.274 ± 0.025 a | −0.284 ± 0.042 a | −0.299 ± 0.037 a |
| 3-methyl-2-pentanone | −0.019 ± 0.006 b | −0.033 ± 0.015 b | −0.103 ± 0.007 a | −0.112 ± 0.018 a |
| 5-methyl-2-hexanone | −0.035 ± 0.007 b | −0.057 ± 0.028 b | −0.095 ± 0.012 ab | −0.148 ± 0.037 a |
| 2-heptanone | −0.111 ± 0.017 b | −0.216 ± 0.022 a | −0.270 ± 0.034 a | −0.258 ± 0.003 a |
| 2,5-dimethylpyrazine | −0.064 ± 0.017 a | −0.048 ± 0.003 a | −0.052 ± 0.013 a | −0.079 ± 0.003 a |
| 6-methyl-2-heptanone | −0.022 ± 0.015 b | −0.023 ± 0.018 b | −0.039 ± 0.023 b | −0.120 ± 0.036 a |
Disclaimer/Publisher’s Note: The statements, opinions and data contained in all publications are solely those of the individual author(s) and contributor(s) and not of MDPI and/or the editor(s). MDPI and/or the editor(s) disclaim responsibility for any injury to people or property resulting from any ideas, methods, instructions or products referred to in the content. |
© 2023 by the authors. Licensee MDPI, Basel, Switzerland. This article is an open access article distributed under the terms and conditions of the Creative Commons Attribution (CC BY) license (https://creativecommons.org/licenses/by/4.0/).
Share and Cite
Wu, W.; Zeng, Y.; Yan, X.; Wang, Z.; Guo, L.; Zhu, Y.; Wang, Y.; He, X. Volatile Organic Compounds of Bacillus velezensis GJ-7 against Meloidogyne hapla through Multiple Prevention and Control Modes. Molecules 2023, 28, 3182. https://doi.org/10.3390/molecules28073182
Wu W, Zeng Y, Yan X, Wang Z, Guo L, Zhu Y, Wang Y, He X. Volatile Organic Compounds of Bacillus velezensis GJ-7 against Meloidogyne hapla through Multiple Prevention and Control Modes. Molecules. 2023; 28(7):3182. https://doi.org/10.3390/molecules28073182
Chicago/Turabian StyleWu, Wentao, Yuanling Zeng, Xirui Yan, Zhuhua Wang, Liwei Guo, Youyong Zhu, Yang Wang, and Xiahong He. 2023. "Volatile Organic Compounds of Bacillus velezensis GJ-7 against Meloidogyne hapla through Multiple Prevention and Control Modes" Molecules 28, no. 7: 3182. https://doi.org/10.3390/molecules28073182
APA StyleWu, W., Zeng, Y., Yan, X., Wang, Z., Guo, L., Zhu, Y., Wang, Y., & He, X. (2023). Volatile Organic Compounds of Bacillus velezensis GJ-7 against Meloidogyne hapla through Multiple Prevention and Control Modes. Molecules, 28(7), 3182. https://doi.org/10.3390/molecules28073182
