Abstract
Ganoderma lucidum has long been used as a multi-purpose plant and functional food. The pharmacological properties of G. lucidum are primarily attributed to its polysaccharides and triterpenoids. Ganoderic and lucidenic acids are the two major triterpenoids groups in G. lucidum. Despite the discovery of 22 types of lucidenic acids, research on lucidenic acids is significantly less extensive compared to that on ganoderic acid. To the best of our knowledge, for the first time, in this review, we aimed to summarize the sources, contents, chemical structures, and pharmacological effects, including anti-cancer, anti-inflammatory, antioxidant, anti-viral, neuroprotective, anti-hyperlipidemic, anti-hypercholesterolemic, and anti-diabetic properties, of lucidenic acids. Studies on lucidenic acids are still preliminary and have several limitations. Therefore, more in-depth studies with optimal designs are essential for the development of lucidenic acids as medicines, functional foods, and nutraceuticals.
1. Introduction
Natural products are valuable sources of biologically active substances, which may serve as promising lead compounds for new drug development. Triterpenoids are one of the largest classes of natural products. Many triterpenoids possess substantial pharmacological activity and are, therefore, of interest to medicinal chemists. Triterpenoids are usually classified into the following three groups: acyclic, tetracyclic and pentacyclic, in which tetracyclic triterpenoids can be further divided into dammarane, cucurbitane, cycloartane, protostane, and lanostane types. Dammarane-type triterpenoids are mainly distributed in Araliaceae, Cucurbitaceae, Scrophulariaceae, and Rhamnaceae. Cucurbitane-type triterpenoids are mainly found in Cucurbitaceae; cycloartane-type triterpenoids are abundant in Leguminosae, Passifloraceae, and Ranunculaceae. Protostane-type triterpenoids are mainly isolated from the Alismataceae family, and lanostane-type triterpenoids are from fungi [1]. The tetracyclic ring system in these triterpenoids plays a critical role in their biological activities, including their anticancer [2] and antidiabetic effects [1]. Side-chain modifications of tetracyclic ring systems can affect their pharmacological properties [3,4].
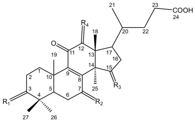
Ganoderma lucidum is a mushroom that has been used for many years as a medicinal and functional food in Far East countries to promote health and longevity. The most well-known properties of G. lucidum are its immunomodulatory and anti-cancer activities, which are attributed to its polysaccharides and triterpenoids [5]. Over 380 triterpenoids have been isolated from Ganoderma using phytochemical methods [6]. Among these triterpenoids, ganoderic acids are the most widely studied and reported. Ganoderic acids A and B were isolated from the fruiting bodies of G. lucidum for the first time in 1982 [7]. Ganoderic acids are C30 lanostane compounds (Figure 1). In addition to their anti-cancer and anti-diabetic effects, their anti-viral, hepatoprotective, antiplatelet, antioxidant, hypocholesterolemia, and antihistamine properties have also been reported.
Figure 1.
Chemical structures of ganoderic acid A and lucidenic acid A.
Lucidenic acids, which have a C27 lanostane skeleton (Figure 1), are the second major group of triterpenoids found in the Ganoderma species [8]. Although some biological activities of lucidenic acids have been reported [9,10,11,12,13,14,15,16], studies that investigate their mechanisms of action and potential applications remain inadequate and preliminary. To the best of our knowledge, for the first time, in this review, we aimed to summarize the sources, contents, structures, and pharmacological activities of lucidenic acids. The findings of this review may be beneficial for the development of lucidenic acids as medicine, functional foods, and nutraceuticals.
2. Sources and Contents
Apart from G. lucidum, lucidenic acids have also been found in other Ganoderma species, such as G. sinense [17], G. curtisii [18], G. colossum [19], G. sessile [20], G. tsugae [21], G. applanatum [22], G. austral [23], G. subresinosum [23], and G. hainanense [24]. Furthermore, lucidenic acids are found in non-Ganoderma species [25], such as Amauroderma rugosum [26], Homalium zeylanicum [27], and potato leaves [28].
Lucidenic acids were discovered in 1984, when lucidenic acids A, B, and C were first isolated from G. lucidum [29]. The types and amounts of lucidenic acids in various species are listed in Table 1. G. lucidum is rich in lucidenic acids A, D2, and E2. The amount of lucidenic acid A in ethanol extract of G. lucidum fruiting bodies is 2.8 mg/g [26,30]. The amounts of lucidenic acids D2 and E2 range from 1.538 mg/g to 2.227 mg/g and 2.246 mg/g to 3.306 mg/g in grain alcohol extracts of G. lucidum fruiting bodies, respectively [31]. In addition to fruiting bodies, lucidenic acids can be found in other parts of G. lucidum, such as mycelia and spores [32]. The lucidenic acid content in fruiting bodies is higher than that in spores [33].
Table 1.
The sources, molecule formulae, and amounts of lucidenic acids.
3. Chemical Structures of Lucidenic Acids
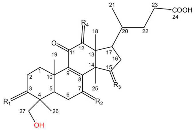
Lucidenic acids contain a tetracyclic lanostane skeleton and side chain of a carboxyl group. Lucidenic acids A, B, C, D1, D2, E1, E2, F, K, L, M, N, P and Q share the same chemical structure with the keto, hydroxyl, or acetoxy groups at C3, C7, C12, and C15 (Table 2).
Table 2.
Chemical structures of lucidenic acids A, B, C, D1, D2, E1, E2, F, K, L, M, N, P and Q.
Lucidenic acids G, H, I, J, O and R have structures similar to those of the aforementioned lucidenic acids, except that they have a hydroxyl substitute at C27 (Table 3). In addition, the lucidenic acid O has a distinctive carbon–carbon double-bond between C20 and C21.
Table 3.
Chemical structures of lucidenic acids G, H, I, J, O and R.
The type of functional group at C3 in lanostane, number of hydroxyl groups, and type of side chain are crucial for the biological activities of triterpenoids [6,52]. For instance, the hydroxyl group at C3 is associated with α-glucosidase inhibitory activity [53]. Moreover, an increase in the number of hydroxyl groups leads to a decrease in cytotoxicity in triterpenoids [52].
4. Potential Pharmacological Effects of Lucidenic Acids
Lucidenic acids have potential anti-cancer, anti-inflammatory, anti-oxidant, anti-viral, anti-obesity, anti-diabetic, neuroprotective, and immunomodulatory properties (Table 4). The details are elaborated below.
Table 4.
Potential pharmacological effects of lucidenic acids and derivatives.
4.1. Anti-Cancer Effect
The most widely studied pharmacological effect of lucidenic acids is their anti-cancer effect. Lucidenic acids can induce cytotoxicity in different cancer cell lines, including prostate cancer [54], leukemia [11,55,56], liver cancer [71], and lung cancer cells [43]. Lucidenic acid A decreased the viability of PC-3 prostatic cancer cells with an IC50 of 35.0 ± 4.1 μM [54]. Additionally, lucidenic acid A decreased the viability of HL-60 leukemia cells with an IC50 of 61 μM [57] and 142 μM [55] after incubation for 72 and 24 h, respectively. Furthermore, treatment with lucidenic acid A for 72 h induced cytotoxic effects in COLO205 colon cancer, HCT-116 colon cancer, and HepG2 hepatoma cells, with IC50 values of 154, 428, and 183 μM, respectively [57]. Both lucidenic acids A and N exhibited cytotoxicity against KB epidermal carcinoma and P388 leukemia cells [46,57]. Lucidenic acid B induced cytotoxicity in COLO205, HepG2, HL-60, and HT-29 cancer cells [57]. Among these cells, HL-60 and HepG2 cell lines were the most sensitive to lucidenic acid B, with an IC50 of 45.0 and 112 μM, respectively [57]. Lucidenic acid C also induced cytotoxic effects in COLO205, HepG2, and HL-60 cancer cell lines, but was not as potent as lucidenic acids A and B [57]. Lucidenic acid N also exhibited cytotoxic effects against COLO205, HepG2, and HL-60 cells, with an IC50 of 486, 230, and 64.5 μM, respectively [57].
The mechanism of the cytotoxic action of lucidenic acids has rarely been studied; however, lucidenic acid B has been demonstrated to induce cancer cell apoptosis via the activation of caspase-9 and caspase-3, followed by PARP cleavage [11,55]. The cytotoxic effects of lucidenic acids are also related to G1 phase cell cycle arrest [11,56]. Moreover, eukaryotic DNA polymerases can be inhibited by lucidenic acid O [49].
Apart from their direct cytotoxic effects, lucidenic acids also possess anti-proliferative properties. Lucidenic acid C exhibited moderate inhibitory activity against A549 human lung adenocarcinoma cell proliferation, with an IC50 between 52.6 and 84.7 μM [43]. The potential ability of lucidenic acid D to inhibit HepG2 cell proliferation has also been demonstrated based on the chemometric analysis of the spectrum–effect relationship of Ganoderma extracts [66].
In addition to their cytotoxic and anti-proliferative effects, lucidenic acids can inhibit cancer cell invasion, implying that they may have a potential anti-metastatic effect. For instance, 24 h incubation with 50 µM of lucidenic acids A, B, C, and N inhibited HepG2 cell invasion without affecting cell viability [58]. The mechanism of action of this anti-invasive effect remains unknown, but it may be associated with the inhibition of matrix metallopeptidase 9 (MMP-9). Lucidenic acid B has been reported to reverse phorbol myristate acetate-induced MMP-9 activity in a dose-response manner [12]. This effect is related to the suppression of both MAPK/ERK1/2 phosphorylation and IκBα protein activation while enhancing the expression of IκBα protein, leading to a decrease in NF-κB DNA-binding activity [12].
Another promising property of lucidenic acids is that certain lucidenic acids, such as lucidenic acids A, E, and N, may potentiate the anti-cancer effect of doxorubicin [59]. This synergistic effect may be beneficial, as it may lower the dosage required, and hence reduce the adverse drug reactions, such as cardiotoxicity, of doxorubicin. Lucidenic acids are considered to be safe because their cytotoxic and antiproliferative effects are specific to cancer cells. A study showed that lucidenic acid killed 50% of HL-60 leukemia cells at concentrations ranging from 19.3 to 64.5 μM and had no significant effect on the viability of normal peripheral blood lymphocytes [11].
The target binding sites of lucidenic acids in cancer cells remain unidentified. Computational molecular docking models have demonstrated promising binding energies of lucidenic acids for the Mdm2 receptor (predicted hydrogen bonding with Val93, Ile19, Gln24, Gln18 and His96) and zinc finger 439 protein (predicted hydrogen bonding with at Ser86), suggesting that they may be the target sites of lucidenic acids in breast cancer [72,73]. Mdm2 is a potent inhibitor of the p53 family of transcription factors and tumor suppressors. The function of the zinc finger 439 protein remains unknown, but it is suggested to be involved in the regulation of gene transcription. Moreover, lucidenic acids may act as potential quadruplex stabilizing ligands and promising inhibitors of Bcl-2 [74,75], which is a well-known apoptosis suppressor.
4.2. Anti-Inflammatory Effect
Inflammation is involved in infectious diseases and chronic disorders, such as arthritis, inflammatory bowel disease, and dermatitis. The anti-inflammatory functions of lucidenic acids have been demonstrated by a previous study, which reported that G. lucidum extracts containing lucidenic acids B, D1, D2, E1, and L attenuated lipopolysaccharide-induced pro-inflammatory cytokine and nitric oxide release and increased the expression levels of inducible nitric oxide synthase and cyclo-oxygenase-2 in RAW264.7 cells [65]. Similarly, lucidenic acid R suppressed 20% of nitric oxide production in lipopolysaccharide-stimulated RAW264.7 cells [51]. Moreover, an in vitro study using a protein denaturation assay demonstrated that lucidenic acid A inhibited inflammation, with an IC50 of 13 μg/mL [27].
In vivo anti-inflammatory effects of lucidenic acids have also been reported. In a mouse model of 12-O-tetradecanoylphorbol-13-acetate-induced ear skin inflammation, the tropical treatment of lucidenic acids A, D2, E2, and P inhibited skin inflammation with ID50 values of 0.07, 0.11, 0.11, and 0.29 mg/ear, respectively [60].
4.3. Antioxidant Effect
The thiobarbituric acid reactive substances assay has demonstrated that G. lucidum extract can suppress oxidative stress in rat liver mitochondria [16]. Among the different fractions of G. lucidum extract, the fraction with ganoderic acids A, B, C, and D, lucidenic acid B, and ganodermanontriol as major components had the highest protective effect against lipid peroxidation [16]. Nevertheless, further studies are required to confirm the antioxidant effect of lucidenic acids.
4.4. Anti-Viral Effect
The Epstein–Barr virus is a key risk factor for many malignant diseases, such as nasopharyngeal carcinoma and Burkitt lymphoma. Notably, lucidenic acid A, C, D2, E2, F, and P, methyl lucidenate A, methyl lucidenate E2, methyl lucidenate Q, and 20-hydroxylucidenic acid N inhibited the activation of the Epstein–Barr virus early antigen in Raji cells [50,60]. Human angiotensin-converting enzyme (hACE2) is the key receptor for the entry of severe acute respiratory syndrome coronavirus 2 (SARS-CoV-2) into target cells [76]. While the efficacy of anti-viral medications decreased with the appearance of new SARS-CoV-2 variants [10], blocking hACE2 may be an effective method to prevent SARS-CoV-2 infection [10]. The molecular docking results showed that lucidenic acid A has good binding stability to hACE2 (interaction with the amino acid residues Gln96, Asn33 and Lys26) [61]. In vitro fluorescence resonance energy transfer tests also demonstrated that lucidenic acid A inhibited hACE2 with an IC50 of 2 μmol/mL [61]. This suggests that lucidenic acids may be useful for the prevention or treatment of COVID-19.
In addition, molecular docking has demonstrated that lucidenic acids A, B, C, and N can bind to matrix metalloproteinase, so their effects on inhibiting the invasion of hepatitis B virus have been proposed [62]. Moreover, lucidenic acids may have potential effects on the human immunodeficiency virus (HIV). Lucidenic acid O has been reported to inhibit HIV reverse transcriptase with an IC50 of 67 μM [49]. Moreover, 20-hydroxylucidenic acid N and 20(21)-dehydrolucidenic acid N, which are derivatives of lucidenic acids, exhibited anti-HIV-1 protease activity [9].
4.5. Neuroprotective Effect
Neurodegenerative diseases have become prevalent, owing to the aging population, affecting more than 55 million people worldwide [77]. G. lucidum extract that contains lucidenic acids exhibited neuroprotective effects [13]. Lucidenic acids A and N and methyl lucidenic E2 inhibited acetylcholinesterase with IC50 values of 24.04 ± 3.46, 25.91 ± 0.89, and 17.14 ± 2.88 μM, respectively [15]. Furthermore, another study reported that lucidenic acid A inhibited acetylcholinesterase, with an IC50 of 54.5 μM [78]. In addition, lucidenic acid N inhibited butyrylcholinesterase activity, with an IC50 of 188.36 ± 3.05 μM [15]. Cholinergic neurotransmitters decline in the brains of patients with Alzheimer’s disease. The inhibition of cholinesterase by lucidenic acid may increase acetylcholine levels in the central nervous system, thus enhancing cholinergic transmission [79].
4.6. Anti-Hyperlipidemic Effect
Lucidenic acids have the potential to treat hyperlipidemia. Lucidenic acid N at a concentration of 80 μM reduced triglyceride accumulation in 3T3-L1 preadipocytes by approximately 30% [68]. Lucidenic acid N, methyl lucidenate E2, and methyl lucidenate F have been reported to inhibit adipocyte differentiation [69]. Butyl lucidenate N, a lucidenic acid derivative, inhibited adipogenesis in 3T3-L1 cells by downregulating the gene expression of sterol regulatory element-binding protein-1c, fatty acid synthase, and acetyl-CoA carboxylase [70]. Furthermore, lucidenic aid A has been proposed as a component that is associated with the anti-hyperlipidemic effect of Fu-Ling-Pi, a traditional Chinese medicine [63].
4.7. Anti-Hypercholesterolemic Effect
β-Hydroxyβ-methylglutaryl-CoA (HMG-CoA) reductase inhibitors are commonly used as lipid-lowering medications. They can reduce cholesterol biosynthesis and regulate lipid metabolism, thus preventing the incidence of mortality in coronary patients [80]. The results of virtual screening and in silico profiling have demonstrated the potential of lucidenic acids to interact with HMG-CoA reductase [67]. Additionally, another study has shown that lucidenic acid E can inhibit HMG-CoA reductase, with an IC50 of 42.9 ± 0.9 μM [43].
4.8. Anti-Hyperglycemic Effect
A study reported that lucidenic acids E, H, and Q had promising anti-hyperglycemic properties [43]. Among these, lucidenic acids E and Q inhibited α-glucosidase, with an IC50 of 32.5 and 60.1 μM, respectively [43]. They could also inhibit maltase, with an IC50 of 16.9 and 51 μM, respectively [43]. Moreover, lucidenic acid Q showed inhibitory activity against sucrase in rats, with an IC50 of 69.1 μM [43]. PTP1B inhibitors are promising therapeutic agents for diabetes [81]. Lucidenic acids H and E exhibited inhibitory activity against PTP1B within a concentration range of 7.6–41.9 μM [43]. In addition, lucidenic acid Q inhibited aldose reductase, which may be useful for the prevention of diabetic complications, such as neuropathy [43].
4.9. Other Pharmacological Effects
Apart from the aforementioned pharmacological effects, lucidenic acid I, methyl lucidenate E2, and dehydrolucidenic acid N have immunomodulatory activities that enhance recovery from neutropenia, macrophage formation, and macrophage phagocytosis [14]. In addition, a study has demonstrated that a G. lucidum nanogel, which contains 6.3% lucidenic acid A and 7.3% lucidenic acid H, is effective for the topical treatment of frostbite [64].
5. Conclusions
This review summarizes the sources, contents, chemical structures, and pharmacological effects of lucidenic acids. Lucidenic acids are a group of tetracyclic triterpenoids that possess anti-cancer, anti-inflammatory, antioxidant, anti-viral, anti-hyperlipidemic, anti-hyperglycemic, neuroprotective, and immunomodulatory properties. Previous studies on lucidenic acids are preliminary and have several limitations. Therefore, further studies are warranted for the development of lucidenic acids as medicines, functional foods, and nutraceuticals.
6. Future Directions
As lucidenic acids have promising pharmacological effects and different Ganoderma species contain different compositions of lucidenic acids, it has been proposed that the types and levels of lucidenic acids in Ganoderma products may serve as an indicator for quality control [82], similar to that used for ganoderic acids. Lucidenic acids and ganoderic acids are C27 and C30 lanostane triterpenoids, respectively. Theoretically, this 3-carbon difference may affect their physicochemical properties (e.g., stability and solubility), pharmacokinetic properties, and receptor binding. It is not known whether lucidenic acids are better drug candidates when compared with ganoderic acids. However, we cannot exclude the possibility that lucidenic acid may have certain pharmacological effects that ganoderic acids do not have, such as the blocking effect of lucidenic acids on hACE2, which has never been reported for ganoderic acid. Nonetheless, using lucidenic acids for the treatment or prevention of any disease cannot be proposed yet because the research findings are preliminary and inadequate. Therefore, further studies are required.
First, some effects of lucidenic acids were predicted using molecular docking. A typical example is the proposed inhibitory effect of lucidenic acid on hACE2. Further in vivo and in vitro studies are needed to verify the usefulness of lucidenic acids in the treatment of COVID-19. Similarly, the potential anti-hyperlipidemic, anti-diabetic, and neuroprotective effects of lucidenic acids were primarily studied using biochemical assays. Biological studies using in vitro, ex vivo, or in vivo models should be performed. In addition, the anti-cancer effects of lucidenic acids have been mostly demonstrated in in vitro models. As lucidenic acids exhibit low toxicity against normal cells, in vivo studies, such as in xenograft mouse models, should be considered in the future.
Second, the entire range of lucidenic acids should be studied to obtain a full picture of their structure–activity relationship. For instance, many pharmacological studies have been performed on lucidenic acids A, B, C, and N. Studies on their structures revealed that these lucidenic acids possess a hydroxyl group at the C7 position and a keto group at the C15 position. To confirm whether the hydroxyl and keto groups are essential for their pharmacological effects (e.g., cytotoxicity), the other lucidenic acids should also be studied (at least lucidenic acids E1, H, and P should be evaluated because they also contain these two functional groups).
Third, the pharmacokinetics and bioavailability of lucidenic acids have not yet been investigated. These data are crucial for drug development, especially for formulation design and dosage regimens. A pharmacokinetic study in a rat model showed that the oral bioavailability of ganoderic acid A was as low as 8.68% [83]. The bioavailability of lucidenic acids, which have chemical structures similar to those of ganoderic acids, may not be high. Nevertheless, even though lucidenic acids may not be easily absorbed in the gastrointestinal tract, lucidenic acid can still be orally active if its potency is high enough. Furthermore, the interactions between lucidenic acids and the gut microbiota should also be taken into consideration. Recent studies have reported that ganoderic acids have the potential to alleviate lipid metabolic disorders and diabetes mellitus, and ameliorate the imbalance of gut microflora in hyperlipidemic and diabetic mice [84,85]. In addition, G. lucidum extracts fermented by probiotics, such as Bifidobacterium bifidum and Lactobacillus sakei, could be useful to enhance learning memory and cognitive function [86] and improve immunity [87]. Probiotic fermentation of G. lucidum extracts induces structural changes in the ganoderic acid components. Further studies are required to investigate whether lucidenic acids can also be biotransformed into substances that will be beneficial for health.
The advantages of lucidenic acids are their versatile pharmacological effects, especially on cancer, inflammation, neuroprotection, hyperlipidemia and hypercholesterolemia. These diseases are common problems worldwide because of the aging population and unhealthy lifestyle of the general population. Lucidenic acids are mainly found in edible fungi such as G. lucidum, so they should be reasonably safe and can be tolerated by humans. The cultivation of Ganoderma fungi can provide an adequate supply of lucidenic acids. The associated production cost may even be lowered if lucidenic acids can be obtained from mycelial cultures grown in large-scale fermentations. Nonetheless, the possible disadvantages should not be neglected. For instance, the content of lucidenic acids from Ganoderma fungi may be varied by environmental factors, so quality control is important. In addition, different lucidenic acids may have different pharmacological effects. The isolation of a specific type of lucidenic acid from crude extracts of Ganoderma fungi may be difficult and costly. Lucidenic acids may have a broad spectrum of therapeutic properties but lack specific molecular targets, which may cause unwanted side effects. Therefore, much more research must be conducted to develop lucidenic acids into medicines, functional food, or nutraceuticals. It is hoped that this review can provide some insights into this research area.
Author Contributions
C.Z., P.R., P.H.T.S., W.W., J.L., R.L. and Y.-W.K. contributed to the writing and preparation of the original draft. G.P.H.L. contributed to the funding acquisition, reviewing and editing of the manuscript. All authors have read and agreed to the published version of the manuscript.
Funding
This research received no external funding.
Institutional Review Board Statement
Not applicable.
Informed Consent Statement
Not applicable.
Data Availability Statement
Not applicable.
Conflicts of Interest
The authors declare no conflict of interest.
Sample Availability
Samples of the compounds are not available from the authors.
References
- Hamid, K.; Alqahtani, A.; Kim, M.; Cho, J.; Cui, P.H.; Li, C.G.; Groundwater, P.W.; Li, G.Q. Tetracyclic triterpenoids in herbal medicines and their activities in diabetes and its complications. Curr. Top. Med. Chem. 2015, 15, 2406–2430. [Google Scholar] [CrossRef]
- Ren, Y.; Kinghorn, A.D. Natural product triterpenoids and their semi-synthetic derivatives with potential anticancer activity. Planta Med. 2019, 85, 802–814. [Google Scholar] [CrossRef]
- Madasu, C.; Xu, Y.; Wijeratne, E.M.K.; Liu, M.X.; Molnár, I.; Gunatilaka, A.A.L. Semi-synthesis and cytotoxicity evaluation of pyrimidine, thiazole, and indole analogues of argentatins A–C from guayule (Parthenium argentatum) resin. Med. Chem. Res. 2022, 31, 1088–1098. [Google Scholar] [CrossRef]
- Xu, Y.M.; Madasu, C.; Liu, M.X.; Wijeratne, E.M.K.; Dierig, D.; White, B.; Molnár, I.; Gunatilaka, A.A.L. Cycloartane- and lanostane-type triterpenoids from the resin of Parthenium argentatum AZ-2, a byproduct of Guayule rubber production. ACS Omega 2021, 6, 15486–15498. [Google Scholar] [CrossRef] [PubMed]
- Xie, C.; Yan, S.; Zhang, Z.; Gong, W.; Zhu, Z.; Zhou, Y.; Yan, L.; Hu, Z.; Ai, L.; Peng, Y. Mapping the metabolic signatures of fermentation broth, mycelium, fruiting body and spores powder from Ganoderma lucidum by untargeted metabolomics. LWT 2020, 129, 109494. [Google Scholar] [CrossRef]
- Baby, S.; Johnson, A.J.; Govindan, B. Secondary metabolites from Ganoderma. Phytochemistry 2015, 114, 66–101. [Google Scholar] [CrossRef]
- Kubota, T.; Asaka, Y.; Miura, I.; Mori, H. Structures of Ganoderic acid A and B, two new lanostane type bitter triterpenes from Ganoderma lucidum (FR.) KARST. Helv. Chim. Acta 1982, 65, 611–619. [Google Scholar] [CrossRef]
- Sharma, C.; Bhardwaj, N.; Sharma, A.; Tuli, H.S.; Batra, P.; Beniwal, V.; Gupta, G.K.; Sharma, A.K. Bioactive metabolites of Ganoderma lucidum: Factors, mechanism and broad spectrum therapeutic potential. J. Herb. Med. 2019, 17, 100268. [Google Scholar] [CrossRef]
- Sato, N.; Zhang, Q.; Ma, C.M.; Hattori, M. Anti-human immunodeficiency virus-1 protease activity of new lanostane-type triterpenoids from Ganoderma sinense. Chem. Pharm. Bull. 2009, 57, 1076–1080. [Google Scholar] [CrossRef]
- Vallianou, N.G.; Tsilingiris, D.; Christodoulatos, G.S.; Karampela, I.; Dalamaga, M. Anti-viral treatment for SARS-CoV-2 infection: A race against time amidst the ongoing pandemic. Metab. Open 2021, 10, 100096. [Google Scholar] [CrossRef] [PubMed]
- Hsu, C.-L.; Yu, Y.S.; Yen, G.C. Lucidenic acid B induces apoptosis in human leukemia cells via a mitochondria-mediated pathway. J. Agric. Food Chem. 2008, 56, 3973–3980. [Google Scholar] [CrossRef]
- Weng, C.J.; Chau, C.F.; Hsieh, Y.S.; Yang, S.F.; Yen, G.C. Lucidenic acid inhibits PMA-induced invasion of human hepatoma cells through inactivating MAPK/ERK signal transduction pathway and reducing binding activities of NF-κB and AP-1. Carcinogenesis 2008, 29, 147–156. [Google Scholar] [CrossRef]
- Ćilerdžić, J.L.; Sofrenić, I.V.; Tešević, V.V.; Brčeski, I.D.; Duletić-Laušević, S.N.; Vukojević, J.B.; Stajić, M.M. Neuroprotective potential and chemical profile of alternatively cultivated Ganoderma lucidum basidiocarps. Chem. Biodivers. 2018, 15, e1800036. [Google Scholar] [CrossRef]
- Li, Z.; Shi, Y.; Zhang, X.; Xu, J.; Wang, H.; Zhao, L.; Wang, Y. Screening immunoactive compounds of Ganoderma lucidum spores by mass spectrometry molecular networking combined with in vivo zebrafish assays. Front. Pharmacol. 2020, 11, 287. [Google Scholar] [CrossRef]
- Lee, I.; Ahn, B.; Choi, J.; Hattori, M.; Min, B.; Bae, K. Selective cholinesterase inhibition by lanostane triterpenes from fruiting bodies of Ganoderma lucidum. Bioorg. Med. Chem. Lett. 2011, 21, 6603–6607. [Google Scholar] [CrossRef] [PubMed]
- Zhu, M.; Chang, Q.; Wong, L.K.; Chong, F.S.; Li, R.C. Triterpene antioxidants from Ganoderma lucidum. Phytother. Res. 1999, 13, 529–531. [Google Scholar] [CrossRef]
- Lin, D.; Yu-Rong, L.; Jun, Y.; Xiao-Hong, F.; Wei, D. Studies on chemical constituents of triterpenoids from Ganoderma sinense. Nat. Prod. Res. Dev. 2018, 30, 1669. [Google Scholar]
- Welti, S.; Moreau, P.A.; Decock, C.; Danel, C.; Duhal, N.; Favel, A.; Courtecuisse, R. Oxygenated lanostane-type triterpenes profiling in laccate Ganoderma chemotaxonomy. Mycol. Prog. 2015, 14, 45. [Google Scholar] [CrossRef]
- Weng, C.J.; Fang, P.S.; Chen, D.H.; Chen, K.D.; Yen, G.C. Anti-invasive effect of a rare mushroom, Ganoderma colossum, on human hepatoma cells. J. Agric. Food Chem. 2010, 58, 7657–7663. [Google Scholar] [CrossRef]
- Liu, L.Y. Studies on the Chemical Constituents and Bioactivities of the Fruiting Bodies of Ganoderma Theaecolum, Ganoderma Sessile and Ganoderma Mastoporum (in Chinese). Ph.D. Thesis, Peking Union Medical College, Beijing, China, 2017. [Google Scholar]
- Liu, C.; Pu, Q.; Wang, H.; Chen, R. Chemical constituents from fruiting bodies of Ganoderma tsugae (Ⅱ) (in Chinese). Chin. Trad. Herb. Drugs 2007, 38, 1610–1612. [Google Scholar]
- Trigos, Á.; Suárez Medellín, J. Biologically active metabolites of the genus Ganoderma: Three decades of myco-chemistry research. Rev. Mex. Micol. 2011, 34, 63–83. [Google Scholar]
- Ha, D.T.; Loan, L.T.; Hung, T.M.; Han, L.V.N.; Khoi, N.M.; Dung, L.V.; Min, B.S.; Nguyen, N.P.D. An improved HPLC-DAD method for quantitative comparisons of triterpenes in Ganoderma lucidum and its five related species originating from Vietnam. Molecules 2015, 20, 1059–1077. [Google Scholar] [CrossRef] [PubMed]
- Ma, Q.Y.; Luo, Y.; Huang, S.Z.; Guo, Z.K.; Dai, H.F.; Zhao, Y.X. Lanostane triterpenoids with cytotoxic activities from the fruiting bodies of Ganoderma hainanense. J. Asian Nat. Prod. Res. 2013, 15, 1214–1219. [Google Scholar] [CrossRef]
- Xiong, Q.; Sun, C.; Shi, H.; Cai, S.; Xie, H.; Liu, F.; Zhu, J. Analysis of related metabolites affecting taste values in rice under different nitrogen fertilizer amounts and planting densities. Foods 2022, 11, 1508. [Google Scholar] [CrossRef]
- Li, J.; Cheng, Y.; Li, R.; Wu, X.; Zheng, C.; Shiu, P.H.T.; Chan, J.C.K.; Rangsinth, P.; Liu, C.; Leung, S.W.S.; et al. Protective effects of Amauroderma rugosum on doxorubicin-induced cardiotoxicity through suppressing oxidative stress, mitochondrial dysfunction, apoptosis, and activating Akt/mTOR and Nrf2/HO-1 signaling pathways. Oxid. Med. Cell. Longev. 2022, 2022, 9266178. [Google Scholar] [CrossRef] [PubMed]
- Sahoo, A.K.; Dash, U.C.; Kanhar, S.; Mahapatra, A.K. In vitro biological assessment of Homalium zeylanicum and isolation of lucidenic acid A triterpenoid. Toxicol. Rep. 2017, 4, 274–281. [Google Scholar] [CrossRef]
- Zhu, J.; Tang, X.; Sun, Y.; Li, Y.; Wang, Y.; Jiang, Y.; Shao, H.; Yong, B.; Li, H.; Tao, X. Comparative Metabolomic Profiling of Compatible and Incompatible Interactions between Potato and Phytophthora infestans. Front. Microbiol. 2022, 13, 57160. [Google Scholar] [CrossRef]
- Nishitoba, T.; Sato, H.; Kasai, T.; Kawagishi, H.; Sakamura, S. New bitter C27 and C30 terpenoids from the fungus Ganoderma lucidum (Reishi). Agric. Biol. Chem. 1985, 49, 1793–1798. [Google Scholar]
- Pavlik, M.; Zhou, S.; Zhang, J.; Tang, Q.; Feng, N.; Kurjak, D.; Pavlík, M., Jr.; Kunca, A. Comparative analysis of triterpene composition between Ganoderma lingzhi from China and G. lucidum from Slovakia under different growing conditions. Int. J. Med. Mushrooms 2020, 22, 793–802. [Google Scholar] [CrossRef]
- Pecić, S.; Nikićević, N.; Veljović, M.; Jardanin, M.; Tešević, V.; Belović, M.; Nikšić, M. The influence of extraction parameters on physicochemical properties of special grain brandies with Ganoderma lucidum. Chem. Ind. Chem. Eng. Q. 2016, 22, 181–189. [Google Scholar] [CrossRef]
- Nishitoba, T.; Sato, H.; Shirasu, S.; Sakamura, S. Novel triterpenoids from the mycelial mat at the previous stage of fruiting of Ganoderma lucidum. Agric. Biol. Chem. 1987, 51, 619–622. [Google Scholar] [CrossRef]
- Paterson, R.R.M. Ganoderma–a therapeutic fungal biofactory. Phytochemistry 2006, 67, 1985–2001. [Google Scholar] [CrossRef] [PubMed]
- Ye, L.; Liu, S.; Xie, F.; Zhao, L.; Wu, X. Enhanced production of polysaccharides and triterpenoids in Ganoderma lucidum fruit bodies on induction with signal transduction during the fruiting stage. PLoS ONE 2018, 13, e0196287. [Google Scholar] [CrossRef]
- Nishitoba, T.; Sato, S.; Sakamura, S. New terpenoids from Ganoderma lucidum and their bitterness. Agric. Biol Chem. 1985, 49, 1547–1549. [Google Scholar] [CrossRef]
- Wu, T.S.; Shi, L.S.; Kuo, S.C.; Cherng, C.Y.; Tung, S.F.; Teng, C.M. Platelet aggregation inhibitor from Ganoderma lucium. J. Chin. Chem. Soc. 1997, 44, 157–161. [Google Scholar] [CrossRef]
- Li, L.; Guo, H.J.; Zhu, L.Y.; Zheng, L.; Liu, X. A supercritical-CO2 extract of Ganoderma lucidum spores inhibits cholangiocarcinoma cell migration by reversing the epithelial–mesenchymal transition. Phytomedicine 2016, 23, 491–497. [Google Scholar] [CrossRef] [PubMed]
- Shi, Y.J.; Zheng, H.X.; Hong, Z.P.; Wang, H.B.; Wang, Y.; Li, M.Y.; Li, Z.H. Antitumor effects of different Ganoderma lucidum spore powder in cell-and zebrafish-based bioassays. J. Integr. Med. 2021, 19, 177–184. [Google Scholar] [CrossRef]
- Liang, C.; Tian, D.; Liu, Y.; Li, H.; Zhu, J.; Li, M.; Xin, M.; Xia, J. Review of the molecular mechanisms of Ganoderma lucidum triterpenoids: Ganoderic acids A, C2, D, F, DM, X and Y. Eur. J. Med. Chem. 2019, 174, 130–141. [Google Scholar] [CrossRef]
- Kikuchi, T.; Matsuda, S.; Kadota, S.; Murai, Y.; Ogita, Z. Ganoderic acid D, E, F, and H and lucidenic acid D, E, and F, new triterpenoids from Ganoderma lucidum. Chem. Pharm. Bull. 1985, 33, 2624–2627. [Google Scholar] [CrossRef]
- Kikuchi, T.; Kanomi, S.; Murai, Y.; Kadota, S.; Tsubono, K.; Ogita, Z.I. Constituents of the fungus Ganoderma lucidum (FR.) KARST. II.: Structures of ganoderic acids F, G, and H, lucidenic acids D2 and E2, and related compounds. Chem. Pharm. Bull. 1986, 34, 4018–4029. [Google Scholar] [CrossRef]
- Nishitoba, T.; Sato, H.; Sakamura, S. New terpenoids, ganolucidic acid D, ganoderic acid L, lucidone C and lucidenic acid G, from the fungus Ganoderma lucidum. Agric. Biol. Chem. 1986, 50, 809–811. [Google Scholar] [CrossRef]
- Chen, B.; Tian, J.; Zhang, J.; Wang, K.; Liu, L.; Yang, B.; Bao, L.; Liu, H. Triterpenes and meroterpenes from Ganoderma lucidum with inhibitory activity against HMGs reductase, aldose reductase and α-glucosidase. Fitoterapia 2017, 120, 6–16. [Google Scholar] [CrossRef]
- Nishitoba, T.; Sato, H.; Sakamura, S. Triterpenoids from the fungus Ganoderma lucidum. Phytochemistry 1987, 26, 1777–1784. [Google Scholar] [CrossRef]
- Min, B.S.; Gao, J.J.; Hattori, M.; Lee, H.K.; Kim, Y.H. Anticomplement activity of terpenoids from the spores of Ganoderma lucidum. Planta Med. 2001, 67, 811–814. [Google Scholar] [CrossRef]
- Wu, T.S.; Shi, L.S.; Kuo, S.C. Cytotoxicity of Ganoderma lucidum triterpenes. J. Nat. Prod. 2001, 64, 1121–1122. [Google Scholar] [CrossRef] [PubMed]
- Zhou, Y.; Yang, X.; Yang, Q. Recent advances on triterpenes from Ganoderma mushroom. Food Rev. Int. 2006, 22, 259–273. [Google Scholar] [CrossRef]
- Nghien, N.X.; Thuy, N.T.B.; Luyen, N.T.; Thu, N.T.; Quan, N.D. Morphological Characteristics, Yield Performance, and Medicinal Value of Some Lingzhi Mushroom (Ganoderma lucidum) Strains Cultivated in Tam Dao, Vietnam. Vietn. J. Agr. Sci. 2019, 2, 321–331. [Google Scholar]
- Mizushina, Y.; Takahashi, N.; Hanashima, L.; Koshino, H.; Esumi, Y.; Uzawa, J.; Sugawara, F.; Sakaguchi, K. Lucidenic acid O and lactone, new terpene inhibitors of eukaryotic DNA polymerases from a basidiomycete, Ganoderma lucidum. Biorg. Med. Chem. 1999, 7, 2047–2052. [Google Scholar] [CrossRef]
- Iwatsuki, K.; Akihisa, T.; Tokuda, H.; Ukiya, M.; Oshikubo, M.; Kimura, Y.; Asano, T.; Nomura, A.; Nishino, H. Lucidenic acids P and Q, methyl lucidenate P, and other triterpenoids from the fungus Ganoderma lucidum and their inhibitory effects on Epstein− Barr virus activation. J. Nat. Prod. 2003, 66, 1582–1585. [Google Scholar] [CrossRef] [PubMed]
- Wu, Y.L.; Han, F.; Luan, S.S.; Ai, R.; Zhang, P.; Li, H.; Chen, L.X. Triterpenoids from Ganoderma lucidum and their potential anti-inflammatory effects. J. Agric. Food Chem. 2019, 67, 5147–5158. [Google Scholar] [CrossRef]
- Cheng, C.R.; Yue, Q.X.; Wu, Z.Y.; Song, X.Y.; Tao, S.J.; Wu, X.H.; Xu, P.P.; Liu, X.; Guan, S.H.; Guo, D.A. Cytotoxic triterpenoids from Ganoderma lucidum. Phytochemistry 2010, 71, 1579–1585. [Google Scholar] [CrossRef] [PubMed]
- Fatmawati, S.; Kondo, R.; Shimizu, K. Structure-activity relationships of lanostane-type triterpenoids from Ganoderma lingzhi as α-glucosidase inhibitors. Bioorg. Med. Chem. Lett. 2013, 23, 5900–6903. [Google Scholar] [CrossRef] [PubMed]
- Tung, N.T.; Cuong, T.D.; Hung, T.M.; Kim, J.A.; Woo, M.H.; Choi, J.S.; Lee, J.H.; Min, B.S. Cytotoxic and anti-angiogenic effects of lanostane triterpenoids from Ganoderma lucidum. Phytochem. Lett. 2015, 12, 69–74. [Google Scholar]
- Lee, M.K.; Hung, T.M.; Cuong, T.D.; Na, M.; Kim, J.C.; Kim, E.J.; Park, H.S.; Choi, J.S.; Lee, I.; Bae, K. Ergosta-7, 22-diene-2β, 3α, 9α-triol from the fruit bodies of Ganoderma lucidum induces apoptosis in human myelocytic HL-60 cells. Phytother. Res. 2011, 25, 1579–1585. [Google Scholar] [CrossRef] [PubMed]
- Cör, D.; Knez, Ž.; Knez Hrnčič, M. Antitumour, antimicrobial, antioxidant and antiacetylcholinesterase effect of Ganoderma lucidum terpenoids and polysaccharides: A review. Molecules 2018, 23, 649. [Google Scholar] [CrossRef] [PubMed]
- Singh, C.; Pathak, P.; Chaudhary, N.; Rathi, A.; Vyas, D. Recent Trends in Mushroom Biology. In Ganoderma lucidum: Cultivation and Production of Ganoderic and Lucidenic Acid; Global Books Organisation: Delhi, India, 2021; pp. 91–106. ISBN 9789383837991. [Google Scholar]
- Weng, C.J.; Chau, C.F.; Yen, G.C.; Liao, J.W.; Chen, D.H.; Chen, K.D. Inhibitory effects of Ganoderma lucidum on tumorigenesis and metastasis of human hepatoma cells in cells and animal models. J. Agric. Food Chem. 2009, 57, 5049–5057. [Google Scholar] [CrossRef] [PubMed]
- Yue, Q.X.; Xie, F.B.; Guan, S.H.; Ma, C.; Yang, M.; Jiang, B.H.; Liu, X.; Guo, D.A. Interaction of Ganoderma triterpenes with doxorubicin and proteomic characterization of the possible molecular targets of Ganoderma triterpenes. Cancer Sci. 2008, 99, 1461–1470. [Google Scholar] [CrossRef] [PubMed]
- Akihisa, T.; Nakamura, Y.; Tagata, M.; Tokuda, H.; Yasukawa, K.; Uchiyama, E.; Suzuki, T.; Kimura, Y. Anti-inflammatory and anti-tumor-promoting effects of triterpene acids and sterols from the fungus Ganoderma lucidum. Chem. Biodivers. 2007, 4, 224–231. [Google Scholar] [CrossRef]
- Xu, J.; Yang, W.; Pan, Y.; Xu, H.; He, L.; Zheng, B.; Xie, Y.; Wu, X. Lucidenic acid A inhibits the binding of hACE2 receptor with spike protein to prevent SARS-CoV-2 invasion. Food Chem. Toxicol. 2022, 169, 113438. [Google Scholar] [CrossRef]
- Divya, M.; Aparna, C.; Mayank, R.; Mp, S. In-silico insights to identify the bioactive compounds of edible mushrooms as potential MMP9 inhibitor for Hepatitis-B. Res. J. Biotechnol. 2021, 16, 2. [Google Scholar]
- Miao, H.; Li, M.H.; Zhang, X.; Yuan, S.J.; Ho, C.C.; Zhao, Y.Y. The antihyperlipidemic effect of Fu-Ling-Pi is associated with abnormal fatty acid metabolism as assessed by UPLC-HDMS-based lipidomics. RSC Adv. 2015, 5, 64208–64219. [Google Scholar] [CrossRef]
- Shen, C.Y.; Xu, P.H.; Shen, B.D.; Min, H.Y.; Li, X.R.; Han, J.; Yuan, H.L. Nanogel for dermal application of the triterpenoids isolated from Ganoderma lucidum (GLT) for frostbite treatment. Drug Deliv. 2016, 23, 610–618. [Google Scholar] [CrossRef]
- Dudhgaonkar, S.; Thyagarajan, A.; Sliva, D. Suppression of the inflammatory response by triterpenes isolated from the mushroom Ganoderma lucidum. Int. Immunopharmacol. 2009, 9, 1272–1280. [Google Scholar] [CrossRef] [PubMed]
- Zhang, C.; Fu, D.; Chen, G.; Guo, M. Comparative and chemometric analysis of correlations between the chemical fingerprints and anti-proliferative activities of ganoderic acids from three Ganoderma species. Phytochem. Anal. 2019, 30, 474–480. [Google Scholar] [CrossRef]
- Grienke, U.; Kaserer, T.; Pfluger, F.; Mair, C.E.; Langer, T.; Schuster, D.; Rollinger, J.M. Accessing biological actions of Ganoderma secondary metabolites by in silico profiling. Phytochemistry 2015, 114, 114–124. [Google Scholar] [CrossRef] [PubMed]
- Lee, I.; Kim, H.; Youn, U.; Kim, J.; Min, B.; Jung, H.; Na, M.; Hattori, M.; Bae, K. Effect of lanostane triterpenes from the fruiting bodies of Ganoderma lucidum on adipocyte differentiation in 3T3-L1 cells. Planta Med. 2010, 76, 1558–1563. [Google Scholar] [CrossRef]
- Lee, I.; Seo, J.; Kim, J.; Kim, H.; Youn, U.; Lee, J.; Jung, H.; Na, M.; Hattori, M.; Min, B. Lanostane triterpenes from the fruiting bodies of Ganoderma lucidum and their inhibitory effects on adipocyte differentiation in 3T3-L1 Cells. J. Nat. Prod. 2010, 73, 172–176. [Google Scholar] [CrossRef] [PubMed]
- Lee, I.; Kim, J.; Ryoo, I.; Kim, Y.; Choo, S.; Yoo, I.; Min, B.; Na, M.; Hattori, M.; Bae, K. Lanostane triterpenes from Ganoderma lucidum suppress the adipogenesis in 3T3-L1 cells through down-regulation of SREBP-1c. Bioorg. Med. Chem. Lett. 2010, 20, 5577–5581. [Google Scholar] [CrossRef]
- Weng, C.J.; Chau, C.F.; Chen, K.D.; Chen, D.H.; Yen, G.C. The anti-invasive effect of lucidenic acids isolated from a new Ganoderma lucidum strain. Mol. Nutr. Food Res. 2007, 51, 1472–1477. [Google Scholar] [CrossRef]
- Raghavan, V.; Manasa, D. Identification and Analysis of Disease Target Network of Human MicroRNA and Predicting Promising Leads for ZNF439, a Potential Target for Breast Cancer. Int. J. Biosci. 2012, 2, 358. [Google Scholar] [CrossRef]
- Borah, D.; Gogoi, D.; Yadav, R. Computer aided screening, docking and ADME study of mushroom derived compounds as Mdm2 inhibitor, a novel approach. Natl. Acad. Sci. Lett. 2015, 38, 469–473. [Google Scholar] [CrossRef]
- Sillapapongwarakorn, S.; Yanarojana, S.; Pinthong, D.; Thithapandha, A.; Ungwitayatorn, J.; Supavilai, P. Molecular docking based screening of triterpenoids as potential G-quadruplex stabilizing ligands with anti-cancer activity. Bioinformation 2017, 13, 284. [Google Scholar] [CrossRef]
- Khelifa, S. Low Molecular Weight Compounds from Mushrooms as Potential Bcl-2 Inhibitors: Docking and Virtual Screening Studies. Master’s Thesis, Escola Superior Agrária, Bragança, Portugal, 2016. [Google Scholar]
- Hikmet, F.; Méar, L.; Edvinsson, Å.; Micke, P.; Uhlén, M.; Lindskog, C. The protein expression profile of ACE2 in human tissues. Mol. Syst. Biol. 2020, 16, e9610. [Google Scholar] [CrossRef]
- World Health Organization. Global Status Report on the Public Health Response to Dementia; World Health Organization: Geneva, Switzerland, 2021; ISBN 978–92–4-003324–5.
- Wei, J.C.; Wang, Y.X.; Dai, R.; Tian, X.G.; Sun, C.P.; Ma, X.C.; Jia, J.M.; Zhang, B.J.; Huo, X.K.; Wang, C. C27-Nor lanostane triterpenoids of the fungus Ganoderma lucidum and their inhibitory effects on acetylcholinesteras. Phytochem. Lett. 2017, 20, 263–268. [Google Scholar] [CrossRef]
- Anand, P.; Singh, B. A review on cholinesterase inhibitors for Alzheimer’s disease. Arch. Pharm. Res. 2013, 36, 375–399. [Google Scholar] [CrossRef]
- Stancu, C.; Sima, A. Statins: Mechanism of action and effects. J. Cell. Mol. Med. 2001, 5, 378–387. [Google Scholar] [CrossRef]
- Combs, A.P. Recent advances in the discovery of competitive protein tyrosine phosphatase 1B inhibitors for the treatment of diabetes, obesity, and cancer. J. Med. Chem. 2010, 53, 2333–2344. [Google Scholar] [CrossRef] [PubMed]
- Zhang, Q.; Huang, L.; Wu, Y.; Huang, L.; Xu, X.; Lin, R. Study on Quality Control of Compound Anoectochilus roxburghii (Wall.) Lindl. by Liquid Chromatography–Tandem Mass Spectrometry. Molecules 2022, 27, 4130. [Google Scholar] [CrossRef]
- Cao, F.R.; Xiao, B.X.; Wang, L.S.; Tao, X.; Yan, M.Z.; Pan, R.L.; Liao, Y.H.; Liu, X.M.; Chang, Q. Plasma and brain pharmacokinetics of ganoderic acid A in rats determined by a developed UFLC-MS/MS method. J. Chromatogr. B Analyt. Technol. Biomed. Life Sci. 2017, 1052, 19–26. [Google Scholar] [CrossRef] [PubMed]
- Guo, W.L.; Guo, J.B.; Liu, B.Y.; Lu, J.Q.; Chen, M.; Liu, B.; Bai, W.D.; Rao, P.F.; Ni, L.; Lv, X.C. Ganoderic acid A from Ganoderma lucidum ameliorates lipid metabolism and alters gut microbiota composition in hyperlipidemic mice fed a high-fat diet. Food Funct. 2020, 11, 6818–6833. [Google Scholar] [CrossRef]
- Ren, L. Protective effect of ganoderic acid against the streptozotocin induced diabetes, inflammation, hyperlipidemia and microbiota imbalance in diabetic rats. Saudi J. Biol. Sci. 2019, 26, 1961–1972. [Google Scholar] [CrossRef] [PubMed]
- Choi, Y.J.; Yang, H.S.; Jo, J.H.; Lee, S.C.; Park, T.Y.; Choi, B.S.; Seo, K.S.; Huh, C.K. Anti-Amnesic Effect of Fermented Ganoderma lucidum Water Extracts by Lactic Acid Bacteria on Scopolamine-Induced Memory Impairment in Rats. Prev. Nutr. Food Sci. 2015, 20, 126–132. [Google Scholar] [CrossRef] [PubMed]
- Li, Y.; Liu, H.; Qi, H.; Tang, W.; Zhang, C.; Liu, Z.; Liu, Y.; Wei, X.; Kong, Z.; Jia, S.; et al. Probiotic fermentation of Ganoderma lucidum fruiting body extracts promoted its immunostimulatory activity in mice with dexamethasone-induced immunosuppression. Biomed. Pharmacother. 2021, 141, 111909. [Google Scholar] [CrossRef] [PubMed]
Disclaimer/Publisher’s Note: The statements, opinions and data contained in all publications are solely those of the individual author(s) and contributor(s) and not of MDPI and/or the editor(s). MDPI and/or the editor(s) disclaim responsibility for any injury to people or property resulting from any ideas, methods, instructions or products referred to in the content. |
© 2023 by the authors. Licensee MDPI, Basel, Switzerland. This article is an open access article distributed under the terms and conditions of the Creative Commons Attribution (CC BY) license (https://creativecommons.org/licenses/by/4.0/).

