Structure–Activity Relationship Studies on 6-Chloro-1-phenylbenzazepines Leads to the Identification of a New Dopamine D1 Receptor Antagonist
Abstract
1. Introduction
2. Results and Discussion
3. Conclusions
4. Materials and Methods
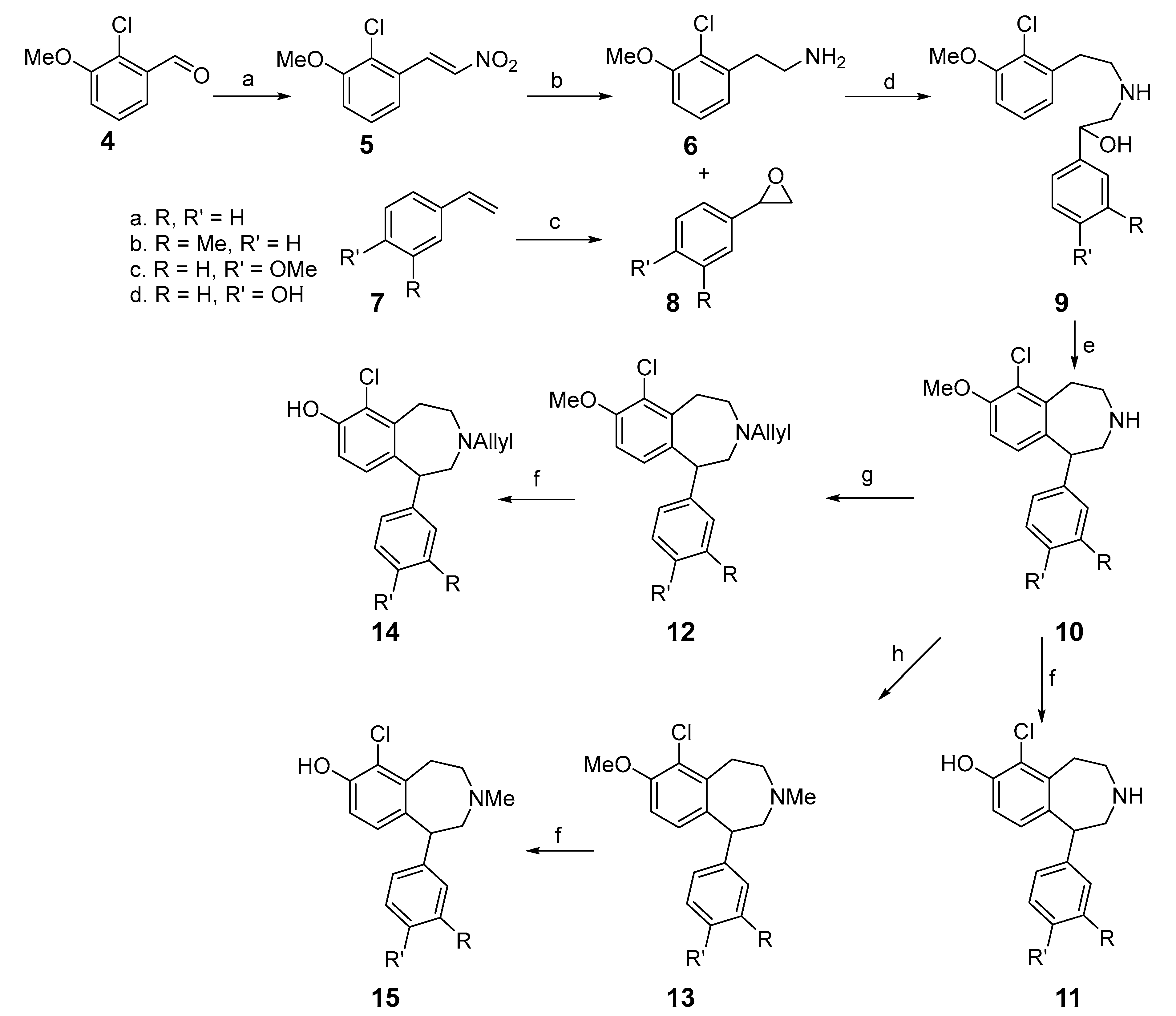
4.1. General Synthetic Experimental Procedures
4.2. General Procedure A: Epoxidation of Styrenes
4.3. General Procedure B: Coupling of 2-(4-(Benzyloxy)-3-methoxyphenyl)Ethan-1-amine with Epoxides
4.4. General Procedure C: Amino Alcohol Cyclization
4.5. General Procedure D: N-Methylation
4.6. General Procedure E: N-Allylation
4.7. General Procedure F: O-Demethylation with BBr3
4.8. General Procedure G: Ortho-Nitration of Phenol
4.9. General Procedure H: Reduction of O-Nitrophenol
4.10. General Procedure I: Amidation of O-Aminophenol
4.11. Biological Experimental Procedures
4.11.1. Dopamine Receptor Binding Assays
4.11.2. Dopamine Receptor Functional Assays
Supplementary Materials
Author Contributions
Funding
Data Availability Statement
Acknowledgments
Conflicts of Interest
Sample Availability
References
- Beaulieu, J.M.; Gainetdinov, R.R. The physiology, signaling, and pharmacology of dopamine receptors. Pharmacol. Rev. 2011, 63, 182–217. [Google Scholar] [CrossRef] [PubMed]
- Sakurai, H.; Bies, R.R.; Stroup, S.T.; Keefe, R.S.; Rajji, T.K.; Suzuki, T.; Mamo, D.C.; Pollock, B.G.; Watanabe, K.; Mimura, M.; et al. Dopamine D2 receptor occupancy and cognition in schizophrenia: Analysis of the CATIE data. Schizophr. Bull. 2013, 39, 564–574. [Google Scholar] [CrossRef]
- Martel, J.C.; Gatti McArthur, S. Dopamine Receptor Subtypes, Physiology and Pharmacology: New Ligands and Concepts in Schizophrenia. Front. Pharmacol. 2020, 11, 1003. [Google Scholar] [CrossRef]
- Bell, C. Endogenous renal dopamine and control of blood pressure. Clin. Exp. Hypertens. A 1987, 9, 955–975. [Google Scholar] [CrossRef] [PubMed]
- Caruana, M.P.; Heber, M.; Brigden, G.; Raftery, E.B. Effects of fenoldopam, a specific dopamine receptor agonist, on blood pressure and left ventricular function in systemic hypertension. Br. J. Clin. Pharmacol. 1987, 24, 721–727. [Google Scholar] [CrossRef] [PubMed]
- Eilam, D.; Clements, K.V.; Szechtman, H. Differential effects of D1 and D2 dopamine agonists on stereotyped locomotion in rats. Behav. Brain Res. 1991, 45, 117–124. [Google Scholar] [CrossRef]
- Ashby, F.G.; Valentin, V.V.; von Meer, S.S. Differential effects of dopamine-directed treatments on cognition. Neuropsychiatr. Dis. Treat. 2015, 11, 1859–1875. [Google Scholar] [CrossRef]
- Robbins, T.W. Dopamine and cognition. Curr. Opin. Neurol. 2003, 16 (Suppl. S2), S1–S2. [Google Scholar] [CrossRef]
- Nieoullon, A.; Coquerel, A. Dopamine: A key regulator to adapt action, emotion, motivation and cognition. Curr. Opin. Neurol. 2003, 16 (Suppl. S2), S3–S9. [Google Scholar] [CrossRef]
- Schwartz, J. The dopaminergic system in the periphery. J. Pharmacol. 1984, 15, 401–414. [Google Scholar]
- Rosenbaum, D.M.; Rasmussen, S.G.; Kobilka, B.K. The structure and function of G-protein-coupled receptors. Nature 2009, 459, 356–363. [Google Scholar] [CrossRef]
- Xin, J.; Fan, T.; Guo, P.; Wang, J. Identification of functional divergence sites in dopamine receptors of vertebrates. Comput. Biol. Chem. 2019, 83, 107140. [Google Scholar] [CrossRef]
- Beaulieu, J.M.; Espinoza, S.; Gainetdinov, R.R. Dopamine receptors—IUPHAR Review 13. Br. J. Pharmacol. 2015, 172, 1–23. [Google Scholar] [CrossRef]
- Missale, C.; Nash, S.R.; Robinson, S.W.; Jaber, M.; Caron, M.G. Dopamine receptors: From structure to function. Physiol. Rev. 1998, 78, 189–225. [Google Scholar] [CrossRef] [PubMed]
- Vallone, D.; Picetti, R.; Borrelli, E. Structure and function of dopamine receptors. Neurosci. Biobehav. Rev. 2000, 24, 125–132. [Google Scholar] [CrossRef]
- Sohur, U.S.; Gray, D.L.; Duvvuri, S.; Zhang, Y.; Thayer, K.; Feng, G. Phase 1 Parkinson’s Disease Studies Show the Dopamine D1/D5 Agonist PF-06649751 is Safe and Well Tolerated. Neurol. Ther. 2018, 7, 307–319. [Google Scholar] [CrossRef]
- Szasz, J.A.; Viorelia, C.; Mihaly, I.; Biro, I.; Peter, C.; Orban-Kis, K.; Szatmari, S. Dopamine agonists in Parkinson’s disease therapy—15 years of experience of the Neurological Clinics from Tirgu Mures. A cross-sectional study. Ideggyogy. Szle. 2019, 72, 187–193. [Google Scholar] [CrossRef]
- Perez de la Mora, M.; Hernandez-Mondragon, C.; Crespo-Ramirez, M.; Rejon-Orantes, J.; Borroto-Escuela, D.O.; Fuxe, K. Conventional and Novel Pharmacological Approaches to Treat Dopamine-Related Disorders: Focus on Parkinson’s Disease and Schizophrenia. Neuroscience 2020, 439, 301–318. [Google Scholar] [CrossRef] [PubMed]
- Karki, A.; Juarez, R.; Namballa, H.K.; Alberts, I.; Harding, W.W. Identification of C10 nitrogen-containing aporphines with dopamine D(1) versus D(5) receptor selectivity. Bioorg. Med. Chem. Lett. 2020, 30, 127053. [Google Scholar] [CrossRef]
- Bennett, A.; Barrera, E.; Namballa, H.; Harding, W.; Ranaldi, R. (-)-Stepholidine blocks expression, but not development, of cocaine conditioned place preference in rats. Neurosci. Lett. 2020, 734, 135151. [Google Scholar] [CrossRef]
- Namballa, H.K.; Dorogan, M.; Gudipally, A.R.; Okafor, S.; Gadhiya, S.; Harding, W.W. Discovery of Selective Dopamine Receptor Ligands Derived from (−)-Stepholidine via C-3 Alkoxylation and C-3/C-9 Dialkoxylation. J. Med. Chem. 2023, 66, 10060–10079. [Google Scholar] [CrossRef] [PubMed]
- Zhang, J.; Xiong, B.; Zhen, X.; Zhang, A. Dopamine D1 receptor ligands: Where are we now and where are we going. Med. Res. Rev. 2009, 29, 272–294. [Google Scholar] [CrossRef] [PubMed]
- Wu, W.L.; Burnett, D.A.; Spring, R.; Greenlee, W.J.; Smith, M.; Favreau, L.; Fawzi, A.; Zhang, H.; Lachowicz, J.E. Dopamine D1/D5 receptor antagonists with improved pharmacokinetics: Design, synthesis, and biological evaluation of phenol bioisosteric analogues of benzazepine D1/D5 antagonists. J. Med. Chem. 2005, 48, 680–693. [Google Scholar] [CrossRef] [PubMed]
- Breese, G.R.; Criswell, H.E.; McQuade, R.D.; Iorio, L.C.; Mueller, R.A. Pharmacological evaluation of SCH-12679: Evidence for an in vivo antagonism of D1-dopamine receptors. J. Pharmacol. Exp Ther 1990, 252, 558–567. [Google Scholar]
- Kaiser, C.; Dandridge, P.A.; Garvey, E.; Hahn, R.A.; Sarau, H.M.; Setler, P.E.; Bass, L.S.; Clardy, J. Absolute stereochemistry and dopaminergic activity of enantiomers of 2,3,4,5-tetrahydro-7,8-dihydroxy-1-phenyl-1H-3-benzazepine. J. Med. Chem. 1982, 25, 697–703. [Google Scholar] [CrossRef] [PubMed]
- Andersen, P.H.; Jansen, J.A. Dopamine receptor agonists: Selectivity and dopamine D1 receptor efficacy. Eur. J. Pharmacol. 1990, 188, 335–347. [Google Scholar] [CrossRef]
- Giri, R.; Namballa, H.K.; Sarker, A.; Alberts, I.; Harding, W.W. Synthesis and dopamine receptor pharmacological evaluations on ring C ortho halogenated 1-phenylbenzazepines. Bioorg. Med. Chem. Lett. 2020, 30, 127305. [Google Scholar] [CrossRef] [PubMed]
- Giri, R.; Namballa, H.K.; Sarker, A.; Alberts, I.; Harding, W.W. Further studies on C2’-substituted 1-phenylbenzazepines as dopamine D1 receptor ligands. Bioorg. Chem. 2022, 127, 105953. [Google Scholar] [CrossRef]
- Neumeyer, J.L.; Kula, N.S.; Bergman, J.; Baldessarini, R.J. Receptor affinities of dopamine D1 receptor-selective novel phenylbenzazepines. Eur. J. Pharmacol. 2003, 474, 137–140. [Google Scholar] [CrossRef]
- Abraham, A.D.; Neve, K.A.; Lattal, K.M. Activation of D1/5 Dopamine Receptors: A Common Mechanism for Enhancing Extinction of Fear and Reward-Seeking Behaviors. Neuropsychopharmacology 2016, 41, 2072–2081. [Google Scholar] [CrossRef]
- Ben-Sreti, M.M.; Gonzalez, J.P.; Sewell, R.D. Differential effects of SKF 38393 and LY 141865 on nociception and morphine analgesia. Life Sci. 1983, 33 (Suppl. S1), 665–668. [Google Scholar] [CrossRef] [PubMed]
- Brogden, R.N.; Markham, A. Fenoldopam: A review of its pharmacodynamic and pharmacokinetic properties and intravenous clinical potential in the management of hypertensive urgencies and emergencies. Drugs 1997, 54, 634–650. [Google Scholar] [CrossRef] [PubMed]
- Zhuang, Y.; Krumm, B.; Zhang, H.; Zhou, X.E.; Wang, Y.; Huang, X.-P.; Liu, Y.; Jiang, Y.; Zhang, C.; Yi, W.; et al. Mechanism of dopamine binding and allosteric modulation of the human D1 dopamine receptor. Cell Res. 2021, 31, 593–596. [Google Scholar] [CrossRef] [PubMed]




![]() | ||||||||
|---|---|---|---|---|---|---|---|---|
| Ki (nM) a | Selectivity | |||||||
| Cmpd # | R1 | R2 | R3 | R4 | D1R b | D2R c | D5R d | D5/D1 |
| 10a | Me | H | H | H | na e | na | na | |
| 11a | H | H | H | H | na | na | 470 | |
| 12a | Me | Allyl | H | H | na | na | na | |
| 13a | Me | Me | H | H | na | na | na | |
| 14a | H | Allyl | H | H | 102 ± 5.2 | na | 297 ± 19.3 | 2.9 |
| 15a | H | Me | H | H | 30.1 ± 1.3 | na | 187.4 ± 7.3 | 6.2 |
| 10b | Me | H | Me | H | na | na | na | |
| 11b | H | H | Me | H | na | na | na | |
| 12b | Me | Allyl | Me | H | na | na | na | |
| 13b | Me | Me | Me | H | na | na | na | |
| 14b | H | Allyl | Me | H | 281.4 ± 9.4 | na | 740.6 ± 12.5 | 2.6 |
| 15b | H | Me | Me | H | 77.9 ± 4.1 | na | 165.2 ± 4.9 | 2.1 |
| 10c | Me | H | H | OMe | na | na | na | |
| 12c | Me | Allyl | H | OMe | na | na | na | |
| 11d | H | H | H | OH | na | na | na | |
| 14d | H | Allyl | H | OH | na | na | na | |
| 15d | H | Me | H | OH | 160.9 ± 5.5 | na | 412.9 ± 9.8 | 2.6 |
| (+)-Butaclamol | 4.0 ± 0.2 | |||||||
| Haloperidol | 5.5 ± 0.3 | |||||||
| SKF 83566 | 3.9 ± 0.2 | |||||||
![]() | |||||||
|---|---|---|---|---|---|---|---|
| Ki (nM) a. | Selectivity | ||||||
| Cmpd # | R1 | R2 | R3 | D1R b | D2R c | D5R d | D5/D1 |
| 16a | NO2 | Me | H | na e | na | na | |
| 16b | NO2 | Me | Me | 4354.1 ± 67.3 | na | na | |
| 17a | NH2 | Me | H | 210.4 ± 7.1 | na | 269.8 ± 8.4 | 1.3 |
| 17b | NH2 | Me | Me | 71.9 ± 3.9 | na | 146.4 ± 5.8 | 2.0 |
| 18a | NHCOMe | Me | H | na | na | na | |
| 18b | NHCOMe | Me | Me | 1364.9 ± 14.0 | na | na | |
| 19a | NHCO(CH2)3Me | Me | H | 1970.1 ± 41.4 | na | na | |
| 19b | NHCO(CH2)3Me | Me | Me | 634.4 ± 12.5 | na | 2959.3 ± 29.6 | 4.7 |
| 20a | NHCOCH2CH(CH3)2 | Me | H | 2938.3 ± 36.2 | na | na | |
| 20b | NHCOCH2CH(CH3)2 | Me | Me | 4734.8 ± 55.9 | na | na | |
| 21a | NHCOCH=CH2 | Me | H | 1497.9 ± 18.9 | na | na | |
| 21b | NHCOCH=CH2 | Me | Me | 4979.6 ± 61.3 | na | na | |
| 22 | NHSO2Me | Me | Me | 113.7 ± 5.1 | na | 165.7 ± 6.8 | 1.5 |
| 23a | NHCONH2 | Me | H | 1761.9 ± 17.6 | na | na | |
| 23b | NHCONH2 | Me | Me | na | na | na | |
| 24a | NO2 | H | H | na | na | na | |
| 24b | NO2 | H | Me | 38.1 ± 2.0 | na | 97.9 ± 3.6 | 2.6 |
| (+)-Butaclamol | 4.0 ± 0.2 | ||||||
| Haloperidol | 5.5 ± 0.3 | ||||||
| SKF 83566 | 3.9 ± 0.2 | ||||||
| Compound | Assay Format | Result | RC50 (nM) | Max Response |
|---|---|---|---|---|
| Dopamine | Agonist | EC50 | 12.30 | 103.01 |
| SCH 39166 | Antagonist | IC50 | 1.67 | 102.24 |
| 15a | Agonist | EC50 | >10,000 | 17.22 |
| 15a | Antagonist | IC50 | 130.32 | 66.12 |
Disclaimer/Publisher’s Note: The statements, opinions and data contained in all publications are solely those of the individual author(s) and contributor(s) and not of MDPI and/or the editor(s). MDPI and/or the editor(s) disclaim responsibility for any injury to people or property resulting from any ideas, methods, instructions or products referred to in the content. |
© 2023 by the authors. Licensee MDPI, Basel, Switzerland. This article is an open access article distributed under the terms and conditions of the Creative Commons Attribution (CC BY) license (https://creativecommons.org/licenses/by/4.0/).
Share and Cite
Giri, R.; Namballa, H.K.; Emogaje, V.; Harding, W.W. Structure–Activity Relationship Studies on 6-Chloro-1-phenylbenzazepines Leads to the Identification of a New Dopamine D1 Receptor Antagonist. Molecules 2023, 28, 6010. https://doi.org/10.3390/molecules28166010
Giri R, Namballa HK, Emogaje V, Harding WW. Structure–Activity Relationship Studies on 6-Chloro-1-phenylbenzazepines Leads to the Identification of a New Dopamine D1 Receptor Antagonist. Molecules. 2023; 28(16):6010. https://doi.org/10.3390/molecules28166010
Chicago/Turabian StyleGiri, Rajan, Hari K. Namballa, Vishwashiv Emogaje, and Wayne W. Harding. 2023. "Structure–Activity Relationship Studies on 6-Chloro-1-phenylbenzazepines Leads to the Identification of a New Dopamine D1 Receptor Antagonist" Molecules 28, no. 16: 6010. https://doi.org/10.3390/molecules28166010
APA StyleGiri, R., Namballa, H. K., Emogaje, V., & Harding, W. W. (2023). Structure–Activity Relationship Studies on 6-Chloro-1-phenylbenzazepines Leads to the Identification of a New Dopamine D1 Receptor Antagonist. Molecules, 28(16), 6010. https://doi.org/10.3390/molecules28166010



