Abstract
Malaria continues to pose a significant health threat, causing thousands of deaths each year. The limited availability of vaccines and medications, combined with the emergence of drug resistance, further complicates the fight against this disease. In this study, we aimed to enhance the antimalarial potency of the previously reported hit compound BIPPO (pIC50 5.9). Through systematic modification of pyrazolopyrimidinone analogs, we discovered the promising analog 30 (NPD-3547), which exhibited approximately one log unit higher in vitro potency (pIC50 6.8) against Plasmodium falciparum. Furthermore, we identified several other BIPPO analogs (23, 28, 29 and 47a) with potent antimalarial activity (pIC50 > 6.0) and favorable metabolic stability in mouse liver microsomes. These compounds can serve as new tools for further optimization towards the development of potential candidates for antimalarial studies.
1. Introduction
Malaria is a mosquito-transmitted parasitic disease caused by Plasmodium spp. Although the world has witnessed a decrease in reported malaria cases, the current situation is still worrying [1]. In 2019, there was an estimated number of 229 million infections with 409,000 deaths globally [2]. With a substantial amount (20%) of malaria research funding invested in vaccine discovery annually, there is so far only one vaccine (RTS,S), which was approved in 2015 [3,4]. However, due to its low efficacy, the WHO does not recommend its routine use in infants (6–12 weeks), who suffer greatly from malaria [5]. Another emerging malaria vaccine is R21, which is still under assessment for its safety and effectiveness at the WHO [6]. In humans, malaria is caused by five different species of Plasmodium [7]. Among them, P. falciparum and P. vivax are responsible for most infections; other cases are caused by P. ovale, P. malariae and P. knowlesi. Of all five different species, infections caused by P. falciparum lead to the highest number of deaths. Therefore, the available treatment mainly focuses on this species.
The current drug treatment of malaria relies on the combination therapy (ACT) of artemisinin with its analogs (dihydroartemisinin, artesunate or artemether) and a different class of antimalarial drug (e.g., amodiaquine or mefloquine) [8]. Due to the unique life cycle of malaria, recrudescence, relapse or reinfection may occur after some symptom-free periods [9]. Moreover, drug resistance has already become a problem in some Southwest Asian countries, although the WHO recommends ACT to delay the rise of resistance [10,11]. Above all, malaria causes a heavy life threat and economic burden in epidemic areas. Therefore, it is of high urgency to develop novel effective antimalarial treatments.
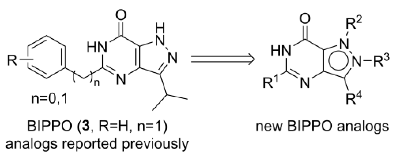
In 2015, Howard et al. reported the discovery of BIPPO (5-benzyl-3-isopropyl-1,6-dihydro-7H-pyrazolo [4,3-d]pyrimidin-7-one, 3, Figure 1 and Table 1) and its analogs as potent antimalarial agents against asexual blood-stage P. falciparum with low toxicity [12]. Together with its favorable physiochemical properties, e.g., low molecular weight (268 Dalton), low cLogP (2.4), good solubility and metabolic stability (not shown), we considered BIPPO as a good starting point for an antimalarial drug discovery program. In this paper, we present a systematic modification of BIPPO (Figure 1) to improve its antimalarial activity.
Figure 1.
Design of BIPPO analogs in the present study.
Table 1.
Exploration of BIPPO analogs against P. falciparum.
2. Results and Discussion
2.1. Design and Synthesis of BIPPO Analogs
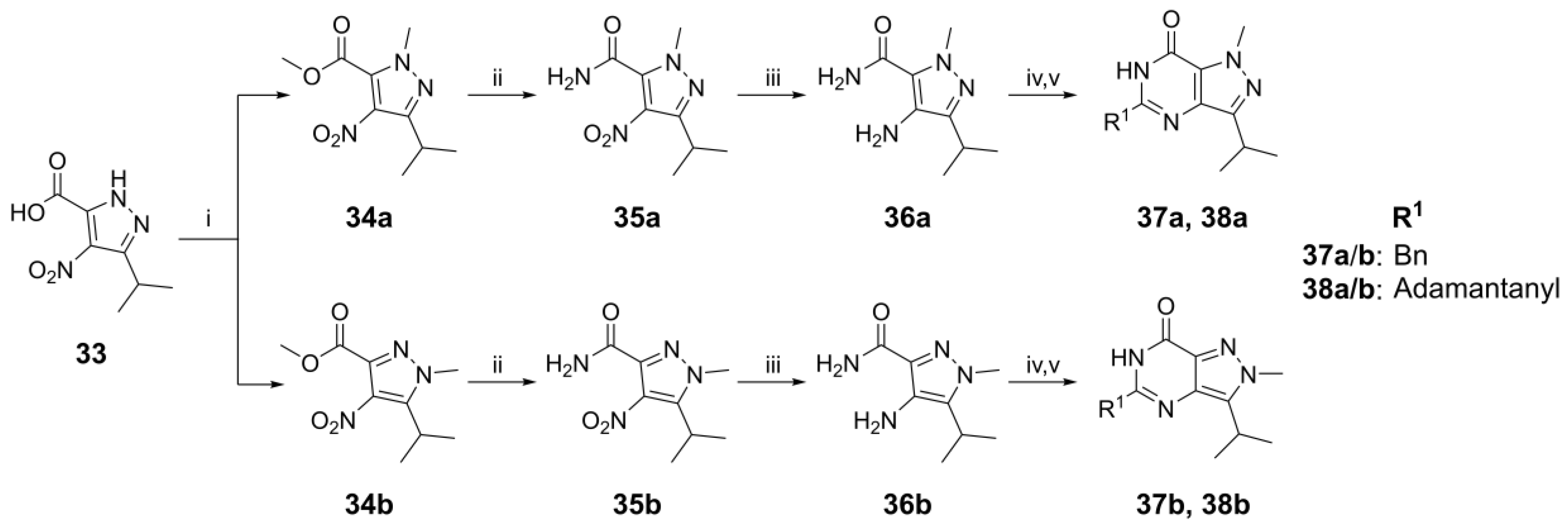
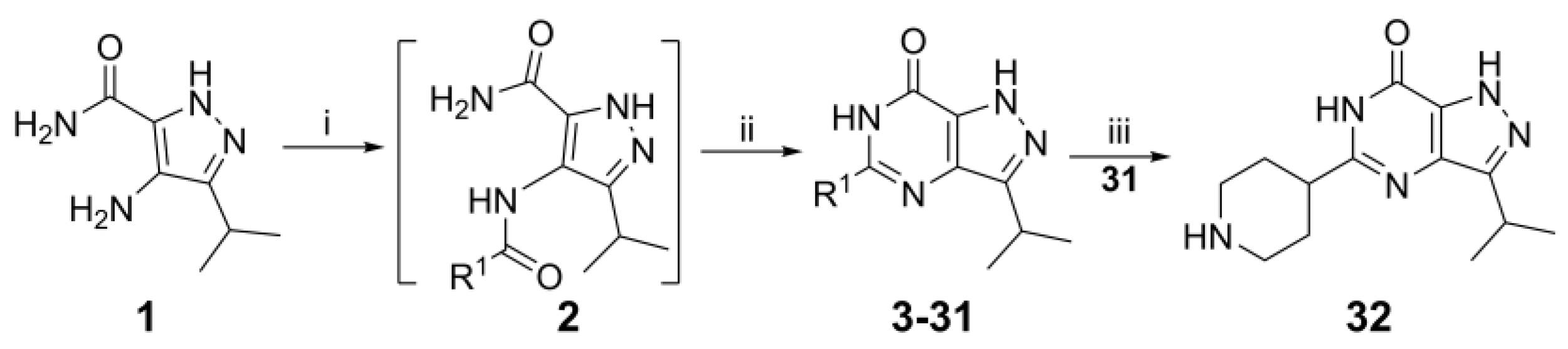
Previously, structural modifications focused mainly on substituents on the benzyl group of BIPPO and its phenyl analogs [12]. To explore the structure–activity relationship of this scaffold in more detail, first a few structurally close BIPPO analogs with various R1 substituents were synthesized with the route [13] shown in Scheme 1. The first step started from a commercially available 4-aminopyrazole 1 with a condensation reaction to form the amide intermediate 2, after which a ring closure reaction under basic conditions yields the desired products 3–32. Interestingly, during the synthesis of the R1 analogs, instead of the originally designed 4-cyclohexanone analog, two alcohol diastereomers, 26 and 27, were obtained after the ring closure reaction, probably because the carbonyl group was reduced under basic conditions in the microwave reaction; reactions with similar conditions were reported previously [14,15]. The structures of these two diastereomers could be confirmed with selective proton decoupling 1H NMR. Next, to explore the chemical space of R2 and R3 positions, a methyl group was introduced. Previously, Howard et al. reported the synthesis of R2 methylated BIPPO analog (37a) from BIPPO with dimethyl sulfate (DMS). However, the analog with a methyl group at the R3 position (37b) was not reported. Here, we report the synthesis of these two analogs with a different synthetic route (Scheme 2) and confirm their regiochemistry. Starting from the carboxylic acid intermediate 33 [13], the pyrazole methylation in the first step leads to the two regio-isomers 34a and 34b, which were separated by column chromatography and structurally identified with a 1D-NOESY NMR method. The subsequent amidation and reduction reactions resulted in intermediates 36a and 36b in high yields (92% and 96%), without purification of the intermediates 35a and 35b. Amide coupling and ring closure reactions under basic conditions, as shown in Scheme 1, yielded analogs with a methyl group at R2 (37a, 38a) and R3 (37b, 38b) positions in moderate to good yields (37–70%).
Scheme 1.
Synthetic routes of R1 analogs.
Scheme 2.
Synthetic routes of R2 and R3 analogs.
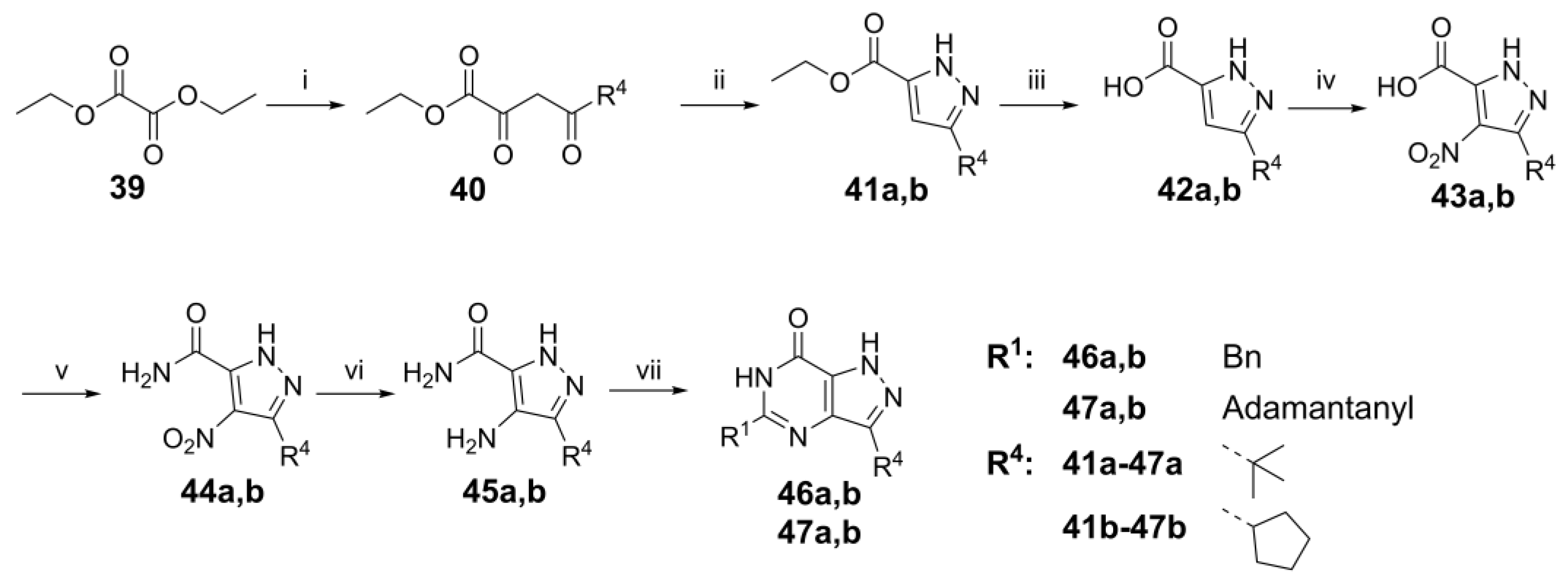
The last modification focused on the R4 position, where a tert-butyl group and a cyclopentyl group were introduced instead of the isopropyl group in 3. These analogs (46a/b, 47a/b) could be obtained with the previously reported route for 3 (Scheme 3) [13].
Scheme 3.
Synthetic route of R4 analogs.
During the chemical characterization of the compounds, it was observed that some carbon signals from the non-N-substituted pyrazoles were not visible in 13C NMR spectra. By using 13C NMR combined with 2D NMR (HSQC and HMBC), the compounds were unambiguously characterized [12,16].
Reagents and conditions: (i) R1COOH, TEA, PyBrop, DCE, MW 120 °C, 20 min; (ii) KOtBu, iPrOH, MW 130 °C, 30 min; and (iii) 1.0 M aq. HCl, 1,4-dioxane, RT, 16 h.
Reagents and conditions: (i) MeI, K2CO3, DMF, 60 °C, 1 h; (ii) 7 M NH3 in MeOH, RT, 16 h; (iii) 10% Pd/C, H2 (g), EtOH, 60 °C, 16 h; (iv) R1COOH, TEA, PyBrop, DCE, MW 120 °C, 20 min; and (v) KOtBu, iPrOH, MW 130 °C, 30 min.
Reagents and conditions: (i) R4(CO)CH3, NaOEt, EtOH 60 °C, 2 h; (ii) N2H4·H2O, EtOH, RT, 18 h; (iii) 1.0 M aq. NaOH, 1,4-dioxane, RT, 3 h; (iv) 65% HNO3, 98% H2SO4, 60 °C, 3 h; (v) (1) cat. DMF, (COCl)2, DCM, RT, 2 h; (2) 7 M NH3 in MeOH, RT, 6 h; (vi) 10% Pd/C, H2 (g), EtOH, 60 °C, 16 h; and (vii) (1) R1COOH, TEA, PyBrop, DCE, MW 120 °C, 20 min; (2) KOtBu, iPrOH, MW 130 °C, 30 min.
2.2. Antimalarial Activities of BIPPO Analogs
Previously, Howard et al. reported (sub)micromolar activity against P. falciparum for a series of BIPPO analogs with benzyl substituents [12]. To further understand the structure–activity relationship (SAR) of this interesting scaffold, close analogs of 3 with substituents at R1–R4 positions were tested against P. falciparum and human MRC-5 cells as the control for non-specific toxicity (Table 1).
To improve the chemical diversity and solubility of 3, instead of the benzyl group, a pyridylmethyl group (4) was introduced at the R1 position, which led to a sixfold decreased antimalarial potency compared to 3. Analogs 5, 6 and 12–17 were designed to understand the influence of linker flexibility, linker length and chemical space around the linker. Except for 13, 14 and 17 with an equal potency compared to 3, the antimalaria potencies of other analogs (5, 6, 12 and 15–16) were 5- to 25-fold lower than 3. All analogs with aromatic substituents (6–11) directly attached at the R1 position exhibited significantly decreased activity compared with 3.
For the R2, R3 and R4 analogs, decreased antimalarial activities were observed for the N-methyl analogs 37a (pIC50 of 5.0) and 37b (pIC50 of 5.3) compared with 3. At the R4 position, the isopropyl substituent of 3 was replaced with a tert-butyl (46a) or cyclopentyl groups (46b). Since both analogs show similar antimalarial potencies compared with 3, no further modifications were made at the R4 position, as the larger substituents also led to a decreased aqueous solubility (e.g., cLogS of -4.0 for 46b compared to -2.9 for 3).
Following our initial screening of close analogs of 3, the large activity differences against P. falciparum following variation at the R1 position (especially between 3 and 6, benzyl group versus phenyl group) and equal potency of 13 (α-methyl) suggested R1 as a promising position for follow-up modifications. To further explore the R1 position of this scaffold, a series of BIPPO analogs with various substituents at the R1 position was synthesized and tested against P. falciparum and MCR-5 cells. From a series of analogs without a substituent at R1 or with alkyl R1 substituents with increasing sizes (18–23), it appeared that the antimalarial potency increased with the size of the R1 substituent. Analogs 19–21 with relatively small acyclic aliphatic substituents and 18 show lower or equal potency compared with 3, while 22, 23 and 28–30 with bulkier substituents exhibit improved activity (Table 2). Notably, the introduction of a cyclohexyl group (23) and an adamantanyl group (30) leads to a five- and eightfold potency increase, respectively, compared with 3. To improve the solubility of 23, three heterocyclic substituted analogs (24, 25, 32) and two analogs (26, 27) with a hydroxyl group were synthesized. Unfortunately, these modifications all resulted in less active analogs compared to 23 (Table 2), indicating that heteroatoms and polar groups are not tolerated at this position.
Table 2.
Exploration of R1 analogs with aliphatic substitutions against P. falciparum.
From all our efforts to improve the potency of 3 at the R1 position, 30 with an adamantanyl group turned out to be the most potent compound (pIC50 6.8) against P. falciparum without showing noticeable toxicity for human MCR-5 cells. Taking 30 as a starting point, further modifications focused on R2–4 positions based on the previous synthetic routes (Scheme 1 and Scheme 2). Unfortunately, no potency improvement was achieved within this series (Table 3). Biological analysis of the R2–4 analogs of 30 resulted in a similar SAR as for the related analogs of 3 (Table 3). The introduction of a methyl group at the R2 position (38a) led to a more than 400-fold potency decrease. Analog 38b with a methyl group at the R3 position was more than 15-fold less active compared with 30. The introduction of a tert-butyl group (47a) and a cyclopentyl group (47b) at the R4 position led to a 4- and 2.5-fold potency decrease, respectively.
Table 3.
Exploration of R2–4 analogs of 30 against P. falciparum.
2.3. Metabolic Stability Test
The modifications of 3 resulted ultimately in an increase in the pIC50 of 3 from 5.9 to 6.8 by introducing an adamantanyl group (30) at the R1 position. Thus, compounds 23, 28–30, 47a and 47b with high potencies (pIC50 > 6) were evaluated for their in vitro metabolic stability in human and mouse liver microsomes (S9 fraction) with diclofenac as a reference compound. As summarized in Figure 2, substituents in the R4 position affect metabolic stability. Analogs 23, 28 and 29 with an isopropyl group at the R4 position showed similar metabolic stability. They exhibited good stability with human liver microsomes, with more than 50% of the parent compounds remaining after one hour incubation in conditions with Phase I and Phase II metabolism. Their stability against mouse liver microsomes is lower, especially for their Phase I metabolism; only 38% and 26% of the parent compounds are left for 23 and 29 after one hour of incubation. Analog 28 with a difluoro-cyclohexyl group at the R1 position exhibited slightly improved metabolic stability with mouse liver microsomes; 68% of the parent compound was observed after one hour of incubation. For the adamantanyl analogs 30, 47a and 47b, metabolic stability differs drastically, with Phase I identified as the main metabolic pathway. Analog 47b was metabolized for >95% within 30 min with mouse liver microsomes, while 90% of 47a (tert-butyl analog) was left after one hour of incubation. In general, all compounds showed better metabolic stability than diclofenac in the mouse Phase II and both human Phase I/II assays. The analogs 23, 29, 30 and 47b were metabolized faster than diclofenac in the mouse Phase I assay.
Figure 2.
In vitro mouse and human microsomal stability of analogs of 3. (A) Mouse microsomal stability (Phase I) of selected compounds; (B) Mouse microsomal stability (Phase II) of selected compounds; (C) Human microsomal stability (Phase I) of selected compounds; (D) Human microsomal stability (Phase II) of selected compounds. Diclofenac (black) was used as a reference compound. Source data are provided in Table S1.
3. Conclusions
Based on its potency as an antimalarial and its drug-like properties, we took BIPPO (3) as a starting point for a hit optimization program. Systematic modification identified the R1 position in the structure of BIPPO as a key position to improve antimalarial potency. The introduction of aliphatic substituents at this position yielded the adamantanyl analog 30, which is around one log unit more potent than the parent compound BIPPO against asexual blood-stage Plasmodium. The metabolic stability assay indicates that BIPPO analogs 23, 28, 29 and 47a have a sufficient stability profile for in vivo studies. In summary, this systematic modification of BIPPO yields a series of analogs with high antimalarial potency against the blood-stage form of P. falciparum. Together with their good drug-like properties and in vitro metabolic stability, they can serve as tool compounds for further hit-to-lead optimization towards candidates for advanced antimalarial studies.
4. Materials and Methods
4.1. Chemistry
All starting materials were obtained from commercial suppliers and used without purification. Synthesis of 1, 3, 6, 18, 19, 36b, 37a and 43b was reported previously [12,13,16,17,18,19,20]. Anhydrous THF, DCM and DMF were obtained by passing through an activated alumina column prior to use. All reactions were carried out under a nitrogen atmosphere unless mentioned otherwise. TLC analyses were performed using Merck F254 aluminum-backed silica plates and visualized with 254 nm UV light. Flash column chromatography was executed using Biotage Isolera equipment. All HRMS spectra were recorded on a Bruker microTOF mass spectrometer using ESI in positive-ion mode. All NMR spectra were recorded on either a Bruker Avance 300, 500 or 600 spectrometer. The peak multiplicities are defined as follows: s, singlet; d, doublet; t, triplet; q, quartet; p, pentet; dd, doublet of doublets; dt, doublet of triplets; td, triplet of doublets; br, broad; m, multiplet; and app, apparent. The spectra were referenced to the internal solvent peak as follows: CDCl3 (δ = 7.26 ppm in 1H NMR, δ = 77.16 ppm in 13C NMR) and DMSO-d6 (δ = 2.50 ppm in 1H NMR, δ = 39.52 ppm in 13C NMR). IUPAC names were adapted from ChemBioDraw Ultra 19.0. Purities were measured with the aid of analytical LC-MS using a Shimadzu LC-20AD liquid chromatography pump system with a Shimadzu SPDM20A diode array detector with the MS detection performed with a Shimadzu LCMS-2010EV mass spectrometer operating in positive ionization mode. The column used was an Xbridge (C18) 5 μm column (100 mm × 4.6 mm). The following solutions were used for the eluents. Acidic mode eluent A: H2O/HCOOH 999:1, and solvent B: MeCN/HCOOH 999:1. Basic mode eluent A: 0.04% (w/v) (NH4)HCO3 aqueous solution, and solvent B: 0.04% (NH4)HCO3 (w/v) in MeCN:H2O 9:1. The eluent program used is as follows: flow rate: 1.0 mL/min, start with 95% A in a linear gradient to 10% A over 4.5 min, hold 1.5 min at 10% A, in 0.5 min in a linear gradient to 95% A, hold 1.5 min at 95% A, total run time: 8.0 min. Compound purities were calculated as the percentage peak area of the analyzed compound by UV detection at 254 nm. Note: not all 13C signals are visible in spectrum due to tautomerism of non-N-substituted pyrazoles; 2D NMR (HSQC and HMBC) spectra were measured to assign 13C signals if applicable.
The general method for the synthesis of final compounds: An amine (1.0 eq) and the corresponding acid (1.0 eq), PyBrop (1.1 eq) and TEA (2.0 eq) were combined in DCE and heated using microwave irradiation at 120 °C for 20 min. The reaction mixture was purified using column chromatography to obtain the amide intermediates. Then, the amide intermediate was combined with KOtBu (2.0 eq) in iPrOH and heated using microwave irradiation at 130 °C for 30 min. The reaction mixture was concentrated in vacuo and purified using column chromatography to obtain the final product.
5-Benzyl-3-isopropyl-1,6-dihydro-7H-pyrazolo[4,3-d]pyrimidin-7-one, 3 (NPD-0019). Prepared from 1 via the general method to give the title compound as a white solid (87 mg, 68% for two steps). 1H NMR (500 MHz, DMSO-d6) δ 13.63 (br s, 1H), 12.18 (br s, 1H), 7.37–7.28 (m, 4H), 7.25–7.20 (m, 1H), 3.90 (s, 2H), 3.24 (hept, J = 6.8 Hz, 1H) and 1.32 (d, J = 7.0 Hz, 6H). 13C NMR (151 MHz, DMSO-d6) δ 152.4 (HMBC), 150.3 (HMBC), 137.1, 128.7, 128.4, 126.6, 40.3, 25.8 (HSQC) and 21.8. LC-MS: tR = 3.66 min, purity: >99%, m/z [M + H]+: 269; HR-MS: calc. for C15H16N4O [M + H]+; 269.1397, found 269.1385. Spectral data agree with a previous report [12].
3-Isopropyl-5-(pyridin-4-ylmethyl)-1,6-dihydro-7H-pyrazolo[4,3-d]pyrimidin-7-one, 4 (NPD-2960). Prepared from 1 via the general method to give the title compound as a white solid (75 mg, 59% for two steps). 1H NMR (500 MHz, DMSO-d6 + 1 drop of D2O) δ 8.48 (d, J = 5.3 Hz, 2H), 7.32 (d, J = 5.6 Hz, 2H), 3.95 (s, 2H), 3.22 (hept, J = 6.9 Hz, 1H) and 1.29 (d, J = 7.0 Hz, 6H). 13C NMR (126 MHz, DMSO-d6 + 1 drop of D2O) δ 150.6 (HMBC), 149.6, 145.9, 124.2, 39.5, 26.1 (HSQC) and 21.8. LC-MS: tR = 2.26 min, purity: 98%, m/z [M + H]+: 270; HR-MS: calc. for C14H15N5O [M + H]+; 270.1349, found 270.1341.
5-(Benzyloxy)-3-isopropyl-1,6-dihydro-7H-pyrazolo[4,3-d]pyrimidin-7-one, 5 (NPD-0434). Prepared from 1 via the general method to give the title compound as a white solid (200 mg, 60% for two steps). 1H NMR (600 MHz, DMSO-d6) δ 13.73 (br s, 1H), 12.40 (br s, 1H), 7.33–7.28 (m, 2H), 7.08–7.03 (m, 2H), 6.99–6.95 (m, 1H), 4.95 (s, 2H), 3.26 (app s, 1H) and 1.33 (d, J = 7.0 Hz, 6H). 13C NMR (151 MHz, DMSO-d6) δ 157.9, 150.8 (HMBC), 148.9 (HMBC), 142.3 (HMBC), 129.5, 121.2, 114.8, 67.8, 26.2 (HSQC) and 21.8. LC-MS: tR = 3.80 min, purity: >99%, m/z [M + H]+: 285; HR-MS: calc. for C15H16N4O2 [M + H]+; 285.1346, found 285.1341.
3-Isopropyl-5-phenyl-1,6-dihydro-7H-pyrazolo[4,3-d]pyrimidin-7-one, 6 (NPD-3200). Prepared from 1 via the general method to give the title compound as a white solid (73 mg, 32% for two steps). 1H NMR (500 MHz, DMSO-d6 + 1 drop of D2O) δ 8.04–7.98 (m, 2H), 7.55–7.48 (m, 3H), 3.33 (hept, J = 7.0 Hz, 1H) and 1.37 (d, J = 7.0 Hz, 6H). 13C NMR (126 MHz, DMSO-d6 + 1 drop of D2O) δ 151.8 (HMBC), 150.4 (HMBC), 143.3 (HMBC), 133.6, 131.3, 129.3, 128.0, 26.6 (HSQC) and 22.4. LC-MS: tR = 3.78 min, purity: >99%, m/z [M + H]+: 255; HR-MS: calc. for C14H14N4O [M + Na]+; 277.1060, found 277.1070. Spectral data agree with a previous report [12].
3-Isopropyl-5-(4-(4-methylpiperazin-1-yl)phenyl)-1,6-dihydro-7H-pyrazolo[4,3-d]pyrimidin-7-one, 7 (NPD-3282). Prepared from 1 via the general method to give the title compound as a white solid (0.11 g, 35% for two steps). 1H NMR (600 MHz, CDCl3) δ 10.78 (br s, 1H), 7.89 (d, J = 7.9 Hz, 2H), 6.87 (app s, 2H), 3.48 (hept, J = 6.6 Hz, 1H), 3.22 (app s, 4H), 2.53 (app s, 4H), 2.33 (s, 3H) and 1.51 (d, J = 6.9 Hz, 6H). 13C NMR (151 MHz, CDCl3) δ 155.8, 152.9, 152.2 (HMBC), 149.5, 139.0, 128.3, 122.7, 114.8, 54.8, 47.7, 46.2, 26.9 and 22.0. LC-MS: tR = 2.53 min, purity: 98%, m/z [M + H]+: 353; HR-MS: calc. for C19H24N6O [M + H]+; 353.2084, found 353.2078.
3-Isopropyl-5-(4-(piperidin-1-yl)phenyl)-1,6-dihydro-7H-pyrazolo[4,3-d]pyrimidin-7-one, 8 (NPD-3283). Prepared from 1 via the general method to give the title compound as a white solid (70 mg, 23% for two steps). 1H NMR (300 MHz, DMSO-d6) δ 13.62 (br s, 1H), 12.03 (br s, 1H), 7.97 (d, J = 8.9 Hz, 2H), 7.00 (d, J = 9.0 Hz, 2H), 3.32–3.26 (m, 5H), 1.60 (app s, 6H) and 1.39 (d, J = 7.0 Hz, 6H). 13C NMR (151 MHz, DMSO-d6) δ 152.5, 150.6 (HMBC), 141.8 (HMBC), 128.4, 121.5, 114.1, 48.3, 26.3 (HMBC), 24.9, 24.0 and 21.9. LC-MS: tR = 4.34 min, purity: >99%, m/z [M + H]+: 338; HR-MS: calc. for C19H23N5O [M + H]+; 338.1975, found 338.1964.
3-Isopropyl-5-(thiazol-4-yl)-1,6-dihydro-7H-pyrazolo[4,3-d]pyrimidin-7-one, 9 (NPD-2973). Prepared from 1 via the general method to give the title compound as a white solid (67 mg, 54% for two steps). 1H NMR (500 MHz, DMSO-d6 + 1 drop of D2O) δ 9.26 (s, 1H), 8.50 (s, 1H), 3.33 (app s, 1H) and 1.38 (d, J = 6.8 Hz, 6H). 13C NMR (126 MHz, DMSO-d6 + 1 drop of D2O) δ 155.4 (HSQC), 149.1, 149.0 (HMBC), 144.5, 135.8 (HMBC), 121.9, 25.8 and 22.0. LC-MS: tR = 3.40 min, purity: >99%, m/z [M + H]+: 262; HR-MS: calc. for C11H11N5OS [M + H]+; 262.0757, found 262.0756.
3-Isopropyl-5-(1-methyl-6-oxo-1,6-dihydropyridin-3-yl)-1,6-dihydro-7H-pyrazolo[4,3-d]pyrimidin-7-one, 10 (NPD-2968). Prepared from 1 via the general method to give the title compound as a white solid (46 mg, 34% for two steps). 1H NMR (300 MHz, DMSO-d6) δ 13.73 (br s, 1H), 12.03 (br s, 1H), 8.57 (d, J = 2.6 Hz, 1H), 8.10 (dd, J = 9.6, 2.6 Hz, 1H), 6.51 (d, J = 9.6 Hz, 1H), 3.51 (s, 3H), 3.33 (1H, confirmed by HSQC) and 1.38 (d, J = 7.0 Hz, 6H). 13C NMR (126 MHz, DMSO-d6) δ 162.4, 151.5 (HMBC), 142.7 (HMBC), 141.0, 138.9, 119.2, 112.2, 38.1, 26.5 (HSQC) and 22.3. LC-MS: tR = 2.91 min, purity: >99%, m/z [M + H]+: 286; HR-MS: calc. for C14H15N5O2 [M + H]+; 286.1299, found 286.1293.
3-Isopropyl-5-(1-methyl-2-oxo-1,2-dihydropyridin-4-yl)-1,6-dihydro-7H-pyrazolo[4,3-d]pyrimidin-7-one, 11 (NPD-2970). Prepared from 1 via the general method to give the title compound as a white solid (47 mg, 35% for two steps). 1H NMR (500 MHz, DMSO-d6 + 1 drop of D2O) δ 7.78 (d, J = 7.1 Hz, 1H), 7.11 (s, 1H), 6.87 (dd, J = 7.1, 1.7 Hz, 1H), 3.45 (s, 3H), 3.32 (hept, J = 7.0 Hz, 1H) and 1.37 (d, J = 6.9 Hz, 6H). 13C NMR (126 MHz, DMSO-d6 + 1 drop of D2O) δ 162.2, 144.0, 140.2, 117.5, 103.7, 37.2, 26.2 (HSQC) and 22.1. LC-MS: tR = 2.86 min, purity: >99%, m/z [M + H]+: 286; HR-MS: calc. for C14H15N5O2 [M + K]+; 324.0857, found 324.0857.
3-Isopropyl-5-phenethyl-1,6-dihydro-7H-pyrazolo[4,3-d]pyrimidin-7-one, 12 (NPD-3281). Prepared from 1 via the general method to give the title compound as a white solid (96 mg, 71% for two steps). 1H NMR (600 MHz, DMSO-d6) δ 13.52 (br s, 1H), 12.11 (br s, 1H), 7.29–7.25 (m, 4H), 7.20–7.16 (m, 1H), 3.26 (app s, 1H), 3.07–2.97 (m, 2H), 2.88 (app s, 2H) and 1.34 (d, J = 6.9 Hz, 6H). 13C NMR (151 MHz, DMSO-d6) δ 154.3 (HMBC), 153.5 (HMBC), 150.8 (HMBC), 141.3, 137.5 (HMBC), 128.9, 128.7, 126.5, 36.2, 33.2, 26.6 (HSQC) and 22.3. LC-MS: tR = 3.87 min, purity: >99%, m/z [M + H]+: 283; HR-MS: calc. for C16H18N4O [M + H]+; 283.1553, found 283.1545. Spectral data agree with a previous report [12].
(racemic)-3-Isopropyl-5-(1-phenylethyl)-1,6-dihydro-7H-pyrazolo[4,3-d]pyrimidin-7-one, 13 (NPD-2969). Prepared from 1 via the general method to yield the title compound as a white solid (95 mg, 71% for two steps). 1H NMR (500 MHz, CDCl3) δ 10.48 (br s, 1H), 7.34 (d, J = 7.2 Hz, 2H), 7.24 (app t, J = 7.5 Hz, 2H), 7.18 (t, J = 7.2 Hz, 1H), 4.20 (q, J = 7.0 Hz, 1H), 3.51 (hept, J = 7.0 Hz, 1H), 1.71 (d, J = 7.0 Hz, 3H) and 1.52 (d, J = 7.0 Hz, 6H). 13C NMR (126 MHz, DMSO-d6) δ 155.9, 155.3, 151.3, 141.5, 137.6, 129.0, 127.7, 127.6, 127.2, 45.0, 26.8, 21.9, 21.9 and 19.7. Note: one extra carbon signal observed due to hindered rotation of the isopropyl group. LC-MS: tR = 4.41 min, purity: >99%, m/z [M + H]+: 283; HR-MS: calc. for C16H18N4O [M + H]+; 283.1553, found 283.1542.
3-Isopropyl-5-(2-phenylpropan-2-yl)-1,6-dihydro-7H-pyrazolo[4,3-d]pyrimidin-7-one, 14 (NPD-3743). Prepared from 1 via the general method to yield the title compound as a white solid (58 mg, 22% for two steps). 1H NMR (500 MHz, DMSO-d6 + 1 drop of D2O) δ 7.34–7.28 (m, 2H), 7.25–7.17 (m, 3H), 3.31 (hept, J = 7.4 Hz, 1H), 1.68 (s, 6H) and 1.40 (d, J = 7.0 Hz, 6H). 13C NMR (126 MHz, DMSO-d6) δ 158.0 (HMBC), 150.7 (HMBC), 146.3, 128.3, 126.4, 126.2, 44.7, 27.8 (HSQC), 26.1 and 21.9. LC-MS: tR = 4.57 min, purity: >99%, m/z [M + H]+: 297; HR-MS: calc. for C17H20N4O [M + H]+; 297.1710, found 297.1706.
(racemic)-3-Isopropyl-5-(methoxy(phenyl)methyl)-1,6-dihydro-7H-pyrazolo[4,3-d]pyrimidin-7-one, 15 (NPD-3744). Prepared from 1 via the general method to yield the title compound as a white solid (47 mg, 18% for two steps). 1H NMR (500 MHz, DMSO-d6) δ 13.69 (br s, 1H), 12.15 (br s, 1H), 7.53–7.49 (m, 2H), 7.38–7.33 (m, 2H), 7.32–7.27 (m, 1H), 5.25 (s, 1H), 3.35 (s, 3H), 3.29–3.18 (m, 1H), 1.32 (d, J = 2.4 Hz, 3H) and 1.31 (d, J = 2.4 Hz, 3H). 13C NMR (126 MHz, DMSO-d6) δ 152.6 (HMBC), 150.8 (HMBC), 141.9 (HMBC), 138.4, 128.4, 128.3, 127.0, 82.5, 56.9, 26.0 (HSQC), 21.9 and 21.8. Note: one extra carbon signal was observed due to hindered rotation of the isopropyl group. LC-MS: tR = 3.86 min, purity: >99%, m/z [M + H]+: 299; HR-MS: calc. for C17H20N4O [M + H]+; 299.1503, found 299.1499.
3-Isopropyl-5-(1-phenylcyclopropyl)-1,6-dihydro-7H-pyrazolo[4,3-d]pyrimidin-7-one, 16 (NPD-3746). Prepared from 1 via the general method to yield the title compound as a white solid (74 mg, 28% for two steps). 1H NMR (500 MHz, CDCl3) δ 8.58 (br s, 1H), 7.48–7.36 (m, 5H), 3.39 (hept, J = 7.0 Hz, 1H), 1.83 (app q, J = 3.9 Hz, 2H), 1.44 (d, J = 7.0 Hz, 6H) and 1.37 (app q, J = 3.9 Hz, 2H). 13C NMR (126 MHz, CDCl3) δ 155.5, 154.1, 151.7, 138.6, 138.1, 131.0, 129.8, 128.9, 126.2, 29.4, 26.8, 21.8 and 18.0. LC-MS: tR = 4.21 min, purity: >99%, m/z [M + H]+: 295; HR-MS: calc. for C17H20N4O [M + H]+; 295.1553, found 295.1553.
3-Isopropyl-5-(1-phenylcyclobutyl)-1,6-dihydro-7H-pyrazolo[4,3-d]pyrimidin-7-one, 17 (NPD-3745). Prepared from 1 via the general method to yield the title compound as a white solid (77 mg, 28% for two steps). 1H NMR (500 MHz, CDCl3) δ 8.65 (s, 1H), 7.40–7.22 (m, 5H), 3.49 (hept, J = 7.0 Hz, 1H), 3.06–2.97 (m, 2H), 2.71–2.62 (m, 2H), 2.22–2.09 (m, 1H), 2.03–1.91 (m, 1H) and 1.52 (d, J = 6.9 Hz, 6H). 13C NMR (126 MHz, CDCl3) δ 156.5, 154.9, 152.0, 144.1, 137.5, 129.3, 127.5, 126.6, 126.3, 51.3, 32.7, 27.0, 21.9 and 16.5. LC-MS: tR = 4.67 min, purity: >99%, m/z [M + H]+: 309; HR-MS: calc. for C17H20N4O [M + H]+; 309.1710, found 309.1709.
3-Isopropyl-1,6-dihydro-7H-pyrazolo[4,3-d]pyrimidin-7-one, 18 (NPD-3378). Prepared from 1 via the general method to give the title compound as a white solid (75 mg, 32% for two steps). 1H NMR (600 MHz, DMSO-d6) δ 13.71 (br s, 1H), 12.08 (br s, 1H), 7.80 (s, 1H), 3.26 (hept, J = 6.9 Hz, 1H) and 1.34 (d, J = 7.0 Hz, 6H). 13C NMR (151 MHz, DMSO-d6) δ 153.4 (HMBC), 150.4 (HMBC), 141.8, 136.3 (HMBC), 25.9 (HSQC) and 21.8. LC-MS: tR = 2.36 min, purity: >99%, m/z [M + H]+: 179; HR-MS: calc. for C8H10N4O [M + H]+; 179.0927, found 179.0935. Spectral data are in agreement with a previous report [17,18].
3-Isopropyl-5-methyl-1,6-dihydro-7H-pyrazolo[4,3-d]pyrimidin-7-one, 19 (NPD-3380). Prepared from 1 via the general method to give the title compound as a white solid (0.16 g, 90% for two steps). 1H NMR (300 MHz, DMSO-d6) δ 13.52 (br s, 1H), 11.99 (br s, 1H), 3.23 (hept, J = 6.2 Hz, 1H), 2.31 (s, 3H) and 1.32 (d, J = 7.0 Hz, 6H). 13C NMR (126 MHz, DMSO-d6) δ 151.1, 141.1 (HMBC), 26.4 (HSQC), 22.4 and 21.5. LC-MS: tR = 2.46 min, purity: >99%, m/z [M + H]+: 193; HR-MS: calc. for C9H12N4O [M + H]+; 193.1084, found 193.1090. Spectral data agree with a previous report [19].
3,5-Diisopropyl-1,6-dihydro-7H-pyrazolo[4,3-d]pyrimidin-7-one, 20 (NPD-3379). Prepared from 1 via the general method to give the title compound as a white solid (0.17 g, 87% for two steps). 1H NMR (300 MHz, DMSO-d6) δ 13.54 (br s, 1H), 11.88 (br s, 1H), 3.23 (hept, J = 6.8 Hz, 1H), 2.87 (hept, J = 7.8 Hz, 1H), 1.34 (d, J = 6.9 Hz, 6H) and 1.22 (d, J = 6.8 Hz, 6H). 13C NMR (151 MHz, DMSO-d6) δ 158.1 (HMBC), 150.7 (HMBC), 32.8, 26.3 (HSQC), 21.8 and 20.7. LC-MS: tR = 3.42 min, purity: >99%, m/z [M + H]+: 221; HR-MS: calc. for C11H16N4O [M + H]+; 221.1397, found 221.1405.
5-Butyl-3-isopropyl-1,6-dihydro-7H-pyrazolo[4,3-d]pyrimidin-7-one, 21 (NPD-3645). Prepared from 1 via the general method to give the title compound as a white solid (88 mg, 42% for two steps). 1H NMR (500 MHz, DMSO-d6) δ 13.52 (br s, 1H), 12.02 (br s, 1H), 3.29–3.17 (m, 1H), 2.61–2.53 (m, 2H), 1.65 (app p, J = 7.6 Hz, 2H), 1.37–1.28 (m, 8H) and 0.89 (t, J = 7.4 Hz, 3H). 13C NMR (126 MHz, DMSO-d6) δ 154.5 (HMBC), 150.6 (HMBC), 141.4 (HMBC), 34.2, 29.7, 26.5, 22.3, 22.1 and 14.2. LC-MS: tR = 3.58 min, purity: >99%, m/z [M + H]+: 235; HR-MS: calc. for C12H18N4O [M + H]+; 235.1553, found 235.1562.
5-Cyclopentyl-3-isopropyl-1,6-dihydro-7H-pyrazolo[4,3-d]pyrimidin-7-one, 22 (NPD-3373). Prepared from 1 via the general method to give the title compound as a white solid (0.13 g, 60% for two steps). 1H NMR (600 MHz, DMSO-d6) δ 13.51 (br s, 1H), 11.97 (br s, 1H), 3.28–3.19 (m, 1H), 3.07–3.00 (m, 1H), 2.00–1.91 (m, 2H), 1.89–1.81 (m, 2H), 1.77–1.69 (m, 2H), 1.64–1.55 (m, 2H) and 1.34 (d, J = 7.0 Hz, 6H). 13C NMR (151 MHz, DMSO-d6) δ 157.4 (HMBC), 150.6 (HMBC), 141.9 (HMBC), 43.3, 31.0, 26.7, 25.2 and 21.8. LC-MS: tR = 3.90 min, purity: >99%, m/z [M + H]+: 247; HR-MS: calc. for C13H18N4O [M + H]+; 247.1553, found 247.1562.
5-Cyclohexyl-3-isopropyl-1,6-dihydro-7H-pyrazolo[4,3-d]pyrimidin-7-one, 23 (NPD-3518). Prepared from 1 via the general method to give the title compound as a white solid (98 mg, 42% for two steps). 1H NMR (300 MHz, CD3OD) δ 3.48–3.34 (m, 1H), 2.60 (tt, J = 12.0, 3.5 Hz, 1H), 2.03–1.83 (m, 4H), 1.81–1.57 (m, 3H) and 1.52–1.28 (m, 9H). 13C NMR (151 MHz, CD3OD) δ 180.4 (HMBC), 159.3 (HMBC), 153.1 (HMBC), 144.1 (HMBC), 44.7, 32.1, 27.8 (HSQC), 27.1, 26.9 and 22.2. LC-MS: tR = 4.18 min, purity: >99%, m/z [M + H]+: 261; HR-MS: calc. for C14H20N4O [M + H]+; 261.1710, found 261.1698.
3-Isopropyl-5-(tetrahydro-2H-pyran-4-yl)-1,6-dihydro-7H-pyrazolo[4,3-d]pyrimidin-7-one, 24 (NPD-3542). Prepared from 1 via the general method to give the title compound as a white solid (95 mg, 41% for two steps). 1H NMR (300 MHz, DMSO-d6) δ 13.64 (br s, 1H), 11.70 (br s, 1H), 4.01–3.88 (m, 2H), 3.47–3.17 (m, 3H), 2.92–2.74 (m, 1H), 1.85–1.73 (m, 4H) and 1.34 (d, J = 6.9 Hz, 6H). 13C NMR (151 MHz, DMSO-d6) δ 156.1 (HMBC), 150.4 (HMBC), 139.8 (HMBC), 66.6, 39.2, 30.3, 26.1 (HSQC) and 21.8. LC-MS: tR = 3.04 min, purity: >99%, m/z [M + H]+: 263; HR-MS: calc. for C13H18N4O2 [M + H]+; 263.1503, found 263.1497.
3-Isopropyl-5-(1-methylpiperidin-4-yl)-1,6-dihydro-7H-pyrazolo[4,3-d]pyrimidin-7-one diformate, 25 (NPD-3374). Prepared from 1 to give the title compound as a white solid (39 mg, 9% for two steps). 1H NMR (600 MHz, DMSO-d6 + 1 drop of D2O) δ 8.31 (s, 2H), 3.36 (app d, J = 12.2 Hz, 2H), 3.24 (hept, J = 7.2 Hz, 1H), 2.88 (app t, J = 11.1 Hz, 2H), 2.80 (app t, J = 11.1 Hz, 1H), 2.66 (s, 3H), 2.06 (app d, J = 12.4 Hz, 2H), 1.93 (app q, J = 11.3 Hz, 2H) and 1.30 (d, J = 7.0 Hz, 6H). 13C NMR (151 MHz, DMSO-d6 + 1 drop of D2O) δ 167.5, 155.4, 151.4 (HMBC), 53.7, 43.7, 37.9, 27.9, 26.4 and 22.4. LC-MS: tR = 2.14 min, purity: >99%, m/z [M + H]+: 276; HR-MS: calc. for C14H21N5O [M + H]+; 276.1819, found 276.1822.
cis-5-(4-Hydroxycyclohexyl)-3-isopropyl-1,6-dihydro-7H-pyrazolo[4,3-d]pyrimidin-7-one, 26 (NPD-3543) and trans-5-(4-Hydroxycyclohexyl)-3-isopropyl-1,6-dihydro-7H-pyrazolo [4,3-d]pyrimidin-7-one, 27 (NPD-3544). Prepared from 1 with 4-oxocyclohexanecarboxylic acid via the general method to give the title compound 26 as a white solid (79 mg, 24% for two steps) and 27 as a white solid (65 mg, 20% for two steps). 26: 1H NMR (500 MHz, DMSO-d6) δ 13.53 (br s, 1H), 11.88 (br s, 1H), 4.36 (s, 1H), 3.83 (s, 1H), 3.30–3.20 (m, 1H), 2.62–2.54 (m, 1H), 2.00–1.88 (m, 2H), 1.78–1.67 (m, 2H), 1.65–1.55 (m, 2H), 1.52–1.43 (m, 2H) and 1.34 (d, J = 6.9 Hz, 6H). 13C NMR (126 MHz, DMSO-d6) δ 157.4 (HMBC), 150.3 (HMBC), 140.8 (HMBC), 63.8, 41.0, 32.0, 26.1 (HSQC), 24.8 and 21.9. LC-MS: tR = 2.85 min, purity: >99%, m/z [M + H]+: 277; HR-MS: calc. for C14H20N4O2 [M + H]+; 277.1659, found 277.1659. 27: 1H NMR (500 MHz, DMSO-d6) δ 13.54 (br s, 1H), 11.90 (br s, 1H), 4.59 (d, J = 4.4 Hz, 1H), 3.41 (tt, J = 8.5, 5.2 Hz, 1H), 3.23 (hept, J = 7.6, 7.1 Hz, 1H), 2.49–2.45 (m, 1H), 1.98–1.81 (m, 4H), 1.66–1.52 (m, 2H), 1.32 (d, J = 7.0 Hz, 6H) and 1.27–1.14 (m, 2H). 13C NMR (151 MHz, DMSO-d6) δ 157.1 (HMBC), 150.2 (HMBC), 141.2 (HMBC), 68.3, 41.6, 35.0, 29.0, 26.2 (HSQC) and 21.9. LC-MS: tR = 2.76 min, purity: >99%, m/z [M + H]+: 277; HR-MS: calc. for C14H20N4O2 [M + H]+; 277.1665, found 277.1653. NMR proof of diastereomers can be found in the Supporting information (Figure S76).
5-(4,4-Difluorocyclohexyl)-3-isopropyl-1,6-dihydro-7H-pyrazolo[4,3-d]pyrimidin-7-one, 28 (NPD-3545). Prepared from 1 via the general method to give the title compound as a white solid (84 mg, 32% for two steps). 1H NMR (500 MHz, DMSO-d6) δ 13.63 (br s, 1H), 12.01 (br s, 1H), 3.24 (hept, J = 7.0 Hz, 1H), 2.79–2.70 (m, 1H), 2.19–2.09 (m, 2H), 2.05–1.96 (m, 2H), 1.95–1.75 (m, 4H) and 1.33 (d, J = 7.0 Hz, 6H). 13C NMR (126 MHz, DMSO-d6) δ 155.6, 150.2 (HMBC), 125.7, 123.8, 121.9, 39.0 (HSQC), 32.4 (t, J = 24.3 Hz), 26.8, 26.7, 26.0 (HSQC) and 21.8. LC-MS: tR = 3.95 min, purity: >99%, m/z [M + H]+: 297; HR-MS: calc. for C14H18F2N4O [M + H]+; 297.1521, found 297.1523.
5-(Bicyclo[2.2.2]octan-1-yl)-3-isopropyl-1,6-dihydro-7H-pyrazolo[4,3-d]pyrimidin-7-one, 29 (NPD-3546). Prepared from 1 via the general method to give the title compound as a white solid (78 mg, 31% for two steps). 1H NMR (500 MHz, DMSO-d6) δ 3.22 (hept, J = 7.0 Hz, 1H), 1.88–1.81 (m, 6H), 1.67–1.62 (m, 1H), 1.62–1.55 (m, 6H) and 1.34 (d, J = 7.0 Hz, 6H). 13C NMR (126 MHz, DMSO-d6) δ 159.4, 150.1 (HMBC), 136.3 (HMBC), 37.0, 28.9, 26.4, 25.8, 24.0 and 22.2. LC-MS: tR = 4.75 min, purity: >99%, m/z [M + H]+: 287; HR-MS: calc. for C16H22N4O [M + H]+; 287.1866, found 287.1873.
5-(Adamantan-1-yl)-3-isopropyl-1,6-dihydro-7H-pyrazolo[4,3-d]pyrimidin-7-one, 30 (NPD-3547). Prepared from 1 via the general method to give the title compound as a white solid (85 mg, 31% for two steps). 1H NMR (500 MHz, DMSO-d6) δ 13.56 (br s, 1H), 11.55 (br s, 1H), 3.23 (hept, J = 6.8 Hz, 1H), 2.03 (app s, 3H), 1.99 (app s, 6H), 1.75–1.66 (m, 6H) and 1.35 (d, J = 7.0 Hz, 6H). 13C NMR (126 MHz, DMSO-d6) δ 159.7 (HMBC), 150.9 (HMBC), 39.5, 38.9, 36.3, 28.2, 26.5 (HSQC) and 22.3. LC-MS: tR = 5.14 min, purity: >99%, m/z [M + H]+: 313; HR-MS: calc. for C18H24N4O [M + H]+; 313.2023, found 313.2030.
3-Isopropyl-5-(piperidin-4-yl)-1,6-dihydro-7H-pyrazolo[4,3-d]pyrimidin-7-one, 32 (NPD-3593). Prepared from 1 (0.20 g, 1.2 mmol), N-BOC-piperidine-4-carboxylic acid (0.27 g, 1.2 mmol) and PyBrop (0.61 g, 1.3 mmol) via the general method to give the intermediate 31 as a white solid (119 mg, 28% for two steps). A solution of 1.0 M HCl was added dropwise to a 1,4-dioxane (50 mL) solution of 31 and stirred for 16 h. The reaction mixture was concentrated in vacuo and purified with a reverse-phase column to give the title compound as a white solid (46 mg, 53%). 1H NMR (500 MHz, CD3OD) δ 3.54 (dt, J = 12.9, 3.7 Hz, 2H), 3.40–3.33 (m, 1H), 3.14 (td, J = 12.6, 3.2 Hz, 2H), 2.96 (tt, J = 9.9, 4.1 Hz, 1H), 2.26–2.20 (m, 2H), 2.17–2.08 (m, 2H) and 1.43 (d, J = 7.0 Hz, 6H). 13C NMR (126 MHz, CD3OD) δ 155.7 (HMBC), 154.1 (HMBC), 44.5, 38.9, 28.0, 27.7 (HSQC) and 22.2. LC-MS: tR = 2.04 min, purity: >99%, m/z [M + H]+: 262; HR-MS: calc. for C13H19N5O [M + H]+; 262.1662, found 262.1668.
Methyl 3-isopropyl-1-methyl-4-nitro-1H-pyrazole-5-carboxylate, 34a and methyl 5-isopropyl-1-methyl-4-nitro-1H-pyrazole-3-carboxylate, 34b. To a mixture of K2CO3 (13.9 g, 100 mmol), 33 (5.00 g, 25.1 mmol) in DMF (50 mL) was added MeI (3.45 mL, 55.2 mmol); the reaction mixture was heated at 60 °C for 1 h. After that, this mixture was concentrated in vacuo, dissolved in water (50 mL), extracted with EtOAc (3 × 50 mL) and washed with brine. The combined organic layers were concentrated in vacuo, purified using flash column chromatography on silica gel eluting with EtOAc in cyclohexane (10% to 50%) to give the title compounds 34a (1.33 g, 23%) and 34b (1.46 g, 26%) as off-white solids. 34a: 1H NMR (600 MHz, CDCl3) δ 3.98 (s, 3H), 3.96 (s, 3H), 3.43 (hept, J = 7.1 Hz, 1H) and 1.30 (d, J = 6.9 Hz, 6H). 13C NMR (151 MHz, CDCl3) δ 159.3, 153.3, 132.1, 131.9 (HMBC), 53.7, 39.2, 26.5 and 21.5. LC-MS: tR = 4.46 min, purity: >99%, m/z [M + H]+: 228. 34b: 1H NMR (600 MHz, CDCl3) δ 3.94 (s, 3H), 3.94 (s, 3H), 3.48 (hept, J = 7.2 Hz, 1H) and 1.40 (d, J = 7.2 Hz, 6H). 13C NMR (151 MHz, CDCl3) δ 160.8, 146.3, 137.4, 132.1 (HMBC), 53.1, 39.1, 25.8 and 19.4. LC-MS: tR = 3.96 min, purity: >99%, m/z [M + H]+: 228. Regiochemistry confirmed with 1D NOESY spectra (Supporting information Figure S95).
3-Isopropyl-1-methyl-4-nitro-1H-pyrazole-5-carboxamide, 36a. Ester 34a (1.33 g, 5.84 mmol) was dissolved in 7 M NH3 in MeOH (4.17 mL, 29.2 mmol) and stirred at RT for 16 h. The reaction mixture was then concentrated in vacuo and added to the suspension of 10% palladium on carbon (0.200 g, 1.88 mmol) in EtOH (50 mL) and heated at 75 °C with H2 gas insert for 16 h. After that, the reaction mixture was filtered through celite, concentrated in vacuo and purified using flash column chromatography on silica gel with a gradient elution of MeOH in DCM (0% to 10%) to give the title compound as a pink solid (0.98 g, 92% for two steps). 1H NMR (300 MHz, DMSO-d6) δ 7.51 (br s, 2H), 4.09 (s, 2H), 3.86 (s, 3H), 2.97 (hept, J = 7.0 Hz, 1H) and 1.16 (d, J = 6.9 Hz, 6H). 13C NMR (151 MHz, DMSO-d6) δ 162.0, 146.1, 128.0, 124.3, 39.0, 24.3 and 21.8. LC-MS: tR = 2.14 min, purity: 97%, m/z [M + H]+: 183.
4-Amino-5-isopropyl-1-methyl-1H-pyrazole-3-carboxamide, 36b. Ester 34b (1.46 g, 6.88 mmol) was dissolved in 7 M NH3 in MeOH (4.58 mL, 32.1 mmol) and stirred at RT for 16 h. The reaction mixture was then concentrated in vacuo and added to the suspension of 10% palladium on carbon (0.250 g, 2.35 mmol) in EtOH (50 mL) and heated at 75 °C with H2 gas insert for 16 h. After that, the reaction mixture was filtered through celite, concentrated in vacuo and purified using flash column chromatography on silica gel with a gradient elution of MeOH in DCM (0% to 10%) to give the title compound as a pink solid (1.20 g, 96% for two steps). 1H NMR (300 MHz, DMSO-d6) δ 7.07 (s, 1H), 6.94 (s, 1H), 4.42 (s, 2H), 3.71 (s, 3H), 3.06 (hept, J = 7.0 Hz, 1H) and 1.24 (d, J = 7.1 Hz, 6H). 13C NMR (151 MHz, DMSO-d6) δ 166.0, 132.5, 130.4, 129.8, 37.6, 24.3 and 20.0. LC-MS: tR = 1.78 min, purity: >99%, m/z [M + H]+: 183. Spectral data are in agreement with a previous report [16].
5-Benzyl-3-isopropyl-1-methyl-1,6-dihydro-7H-pyrazolo[4,3-d]pyrimidin-7-one, 37a (NPD-3647). Prepared from 36a via the general method to yield the title compound 37a as a white solid (0.16 g, 70% for two steps). 1H NMR (500 MHz, CD3OD) δ 7.34–7.28 (m, 4H), 7.26–7.21 (m, 1H), 4.16 (s, 3H), 3.97 (s, 2H), 3.36 (hept, J = 7.0 Hz, 1H) and 1.37 (d, J = 7.0 Hz, 6H). 13C NMR (151 MHz, CD3OD) δ 156.5, 154.7, 151.8, 138.6, 137.7, 129.7, 129.7, 128.1, 126.0, 41.7, 38.3, 27.4 and 22.4. LC-MS: tR = 4.16 min, purity: >99%, m/z [M + H]+: 283; HR-MS: calc. for C16H18N4O [M + H]+; 283.1553, found 283.1556. Spectral data are in agreement with a previous report [12].
5-Benzyl-3-isopropyl-2-methyl-2,6-dihydro-7H-pyrazolo[4,3-d]pyrimidin-7-one, 37b (NPD-3646). Prepared from 36b via the general method to yield the title compound as a white solid (85 mg, 37% for two steps). 1H NMR (600 MHz, CD3OD) δ 7.36–7.28 (m, 4H), 7.25–7.21 (m, 1H), 4.05 (s, 3H), 3.93 (s, 2H), 3.40 (hept, J = 7.0 Hz, 1H) and 1.49 (d, J = 7.0 Hz, 6H). 13C NMR (151 MHz, CD3OD) δ 159.9, 153.4, 143.3, 137.9, 136.7, 134.9, 129.8, 129.6, 128.0, 42.0, 38.8, 27.4 and 21.4. LC-MS: tR = 3.92 min, purity: >99%, m/z [M + H]+: 283; HR-MS: calc. for C16H18N4O [M + H]+; 283.1553, found 283.1554.
5-(Adamantan-1-yl)-3-isopropyl-1-methyl-1,6-dihydro-7H-pyrazolo[4,3-d]pyrimidin-7-one, 38a (NPD-3642). Prepared from 36a via the general method to give the title compound as a white solid (123 mg, 46% for two steps). 1H NMR (500 MHz, CDCl3) δ 10.02 (s, 1H), 4.23 (s, 3H), 3.34 (hept, J = 6.9 Hz, 1H), 2.13 (s, 3H), 2.04 (app s, 6H), 1.84–1.74 (m, 6H) and 1.42 (d, J = 6.9 Hz, 6H). 13C NMR (151 MHz, CDCl3) δ 158.8, 155.4, 151.2, 138.0, 124.7, 40.4, 38.9, 38.2, 36.5, 28.4, 27.0 and 22.0. LC-MS: tR = 5.79 min, purity: 97%, m/z [M + H]+: 327; HR-MS: calc. for C19H26N4O [M + H]+; 327.2179, found 327.2170.
5-(Adamantan-1-yl)-3-isopropyl-2-methyl-2,6-dihydro-7H-pyrazolo[4,3-d]pyrimidin-7-one, 38b (NPD-3641). Prepared from 36b via the general method to give the title compound as a white solid (112 mg, 42% for two steps). 1H NMR (500 MHz, CDCl3) δ 8.72 (s, 1H), 4.04 (s, 3H), 3.30 (hept, J = 7.0 Hz, 1H), 2.13 (app s, 3H), 1.98 (d, J = 2.6 Hz, 6H), 1.77 (app q, J = 12.3 Hz, 6H) and 1.50 (d, J = 7.0 Hz, 6H). 13C NMR (126 MHz, DMSO-d6) δ 157.9, 157.8, 141.7, 135.1, 134.0, 40.4, 38.8, 38.8, 36.5, 28.3, 26.5 and 21.3. LC-MS: tR = 5.31 min, purity: >99%, m/z [M + H]+: 327; HR-MS: calc. for C19H26N4O [M + H]+; 327.2179, found 327.2174.
3-Cyclopentyl-1H-pyrazole-5-carboxylic acid, 42b. NaOEt (3.89 g, 54.9 mmol) was dissolved in EtOH (50 mL) at RT and a solution of diethyl oxalate (7.56 mL, 55.4 mmol) in 1-cyclopentylethanone (5.67 mL, 46.1 mmol) was added dropwise at RT for 30 min. The reaction mixture was diluted with EtOH (50 mL) and heated to 60 °C for 2 h, after which AcOH (8.9 mL, 55 mmol) and 64–65% N2H4 monohydrate (2.20 mL, 46.1 mmol) were added, and the mixture was stirred under reflux for 2 h. The reaction mixture was concentrated under reduced pressure and mixed with aqueous NaOH solution (97 mL, 97 mmol) in 1,4-dioxane (112 mL); the reaction mixture was heated to 50 °C and stirred for 20 h. Then, the reaction was cooled to RT, and 1,4-dioxane was removed under reduced pressure. The residue was washed with diethyl ether (100 mL). The water layer was acidified to pH 1 with concentrated HCl (37%). The white solid was filtered and dried in vacuo to yield the title product 42b as a white solid (5.21 g, 63% for three steps). 1H NMR (600 MHz, DMSO-d6) δ 12.90 (br s, 1H), 6.46 (s, 1H), 3.04 (app p, J = 8.1 Hz, 1H), 2.02–1.94 (m, 2H), 1.73–1.66 (m, 2H) and 1.64–1.53 (m, 4H). 13C NMR (151 MHz, DMSO-d6) δ 104.6, 36.6 (HMBC), 32.7 and 24.6. LC-MS: tR = 3.19 min, purity: >99%, m/z [M − H]−: 179.
3-(tert-Butyl)-4-nitro-1H-pyrazole-5-carboxylic acid, 43a. Ester 41a (25.0 g, 127 mmol) was dissolved in a mixture of THF (100 mL) and water (100 mL), after which NaOH (15.3 g, 382 mmol) was added. The reaction mixture was concentrated under reduced pressure after heating at 60 °C for 4 h, washed with EtOAc (3 × 100 mL), adjusted to pH 1 with concentrated HCl solution, and the off-white solid was filtered as intermediate 42a (16.5 g, 77%), which was used for the next step without further purification. Acid 42a (3.95 g, 23.5 mmol) was added portion-wise to concentrated H2SO4 (19.1 mL, 352 mmol) at RT with stirring. The reaction mixture was then heated to 60 °C, and 65% HNO3 (4.50 mL, 70.4 mmol) was added dropwise, keeping the temperature at 60 °C. The reaction was stirred at 60 °C for 3 h, cooled to RT and poured onto 200 g of ice with stirring. After 15 min, the white precipitate was isolated by filtration, washed with water and dried under reduced pressure to give the title product 43a as a white solid (4.50, 90%). 1H NMR (300 MHz, DMSO-d6) δ 13.82 (s, 1H) and 1.34 (s, 9H). 13C NMR (151 MHz, DMSO-d6) δ 147.3 (HMBC), 32.4 (HSQC) and 28.2. LC-MS: tR = 3.26 min, purity: 96%, m/z [M + H]+: 214.
3-Cyclopentyl-4-nitro-1H-pyrazole-5-carboxylic acid, 43b. Acid 42b (5.21 g, 28.9 mmol) was added portion-wise to concentrated H2SO4 (8.91 mL, 159 mmol) at RT with stirring. The reaction mixture was then heated to 60 °C, and 65% HNO3 (6.95 mL, 101 mmol) was added dropwise, keeping the temperature at 60 °C. The reaction was stirred at 60 °C for 3 h, cooled to RT and poured onto 200 g of ice with stirring. After 15 min, the white precipitate was isolated by filtration, washed with water and dried under reduced pressure to give the title product 43b as a white solid (4.01 g, 61%). 1H NMR (600 MHz, DMSO-d6 + 1 drop of D2O) δ 3.47 (p, J = 8.6 Hz, 1H), 2.09–1.98 (m, 2H), 1.79–1.68 (m, 2H) and 1.68–1.55 (m, 4H). 13C NMR (151 MHz, DMSO-d6 + 1 drop of D2O) δ 36.0, 32.0 and 25.5. LC-MS: tR = 3.26 min, purity: >99%, m/z [M − H]−: 224. Spectral data are in agreement with a previous report [17].
4-Amino-3-(tert-butyl)-1H-pyrazole-5-carboxamide, 45a. Oxalyl chloride (6.16 mL, 70.4 mmol) was added dropwise to a suspension of 43a (5.00 g, 23.5 mmol) in DCM (240 mL) containing DMF (0.082 mL, 1.1 mmol) under nitrogen at 0 °C. The reaction mixture was stirred at 0 °C for 1 h, allowed to warm to RT and stirred for a further 2 h. The reaction mixture was concentrated in vacuo and co-evaporated with toluene three times. The residue was dissolved in DCM (100 mL) and added dropwise to 7 M NH3 in MeOH (10.1 mL, 70.4 mmol) at 0 °C. After stirring for 3 h, the reaction mixture was concentrated in vacuo, combined with 10% palladium on carbon (0.85 g, 8.0 mmol) in EtOH (90 mL) and stirred under H2 gas insert at 60 °C for 6 h. The reaction mixture was filtered through celite, and the solid was washed with MeOH (50 mL). The filtrate was concentrated under reduced pressure, and the residue was used for the next step without further purification.
4-Amino-3-cyclopentyl-1H-pyrazole-5-carboxamide, 45b. Oxalyl chloride (1.09 mL, 12.5 mmol) was added dropwise to a suspension of 43b (0.94 g, 4.2 mmol) in DCM (20 mL) containing DMF (0.014 mL, 0.18 mmol) under nitrogen at 0 °C. The reaction was stirred at 0 °C for 1 h, allowed to warm to RT and stirred for a further 2 h. The reaction mixture was concentrated in vacuo, combined with 10% palladium on carbon (0.85 g, 8.0 mmol) in EtOH (90 mL) and stirred under H2 gas insert at 60 °C for 6 h. The reaction mixture was filtered through celite, and the solid was washed with MeOH (50 mL). The filtrate was concentrated under reduced pressure, and the residue was used for the next step without further purification.
5-Benzyl-3-(tert-butyl)-1,6-dihydro-7H-pyrazolo[4,3-d]pyrimidin-7-one, 46a (NPD-3648). Prepared from 45a via the general method to yield the title compound as a white solid (0.14 g, 46% for four steps). 1H NMR (500 MHz, CD3OD) δ 7.36–7.33 (m, 2H), 7.33–7.27 (m, 2H), 7.25–7.20 (m, 1H), 3.98 (s, 2H) and 1.50 (s, 9H). 13C NMR (126 MHz, CD3OD) δ 155.4 (HMBC), 153.0 (HMBC), 146.6 (HMBC), 138.0, 129.8, 129.6, 128.0, 42.0, 33.8 (HMBC) and 29.9. LC-MS: tR = 4.20 min, purity: >99%, m/z [M + H]+: 283; HR-MS: calc. for C17H18N4O [M + H]+; 283.1553, found 283.1551.
5-Benzyl-3-cyclopentyl-1,6-dihydro-7H-pyrazolo[4,3-d]pyrimidin-7-one, 46b (NPD-3604). Prepared from 45b via the general method to give the title compound as a white solid (0.14 g, 14% for four steps). 1H NMR (500 MHz, DMSO-d6) δ 7.34–7.27 (m, 4H), 7.24–7.19 (m, 1H), 3.88 (s, 2H), 3.31 (app p, J = 8.1 Hz, 1H), 2.02–1.94 (m, 2H), 1.84–1.68 (m, 4H) and 1.66–1.56 (m, 2H). 13C NMR (126 MHz, DMSO-d6) δ 153.0, 137.4, 129.1, 129.0, 127.3, 40.6, 36.6, 32.6 and 25.4. LC-MS: tR = 4.05 min, purity: >99%, m/z [M + H]+: 295; HR-MS: calc. for C17H18N4O [M + H]+; 295.1553, found 295.1542.
5-(Adamantan-1-yl)-3-(tert-butyl)-1,6-dihydro-7H-pyrazolo[4,3-d]pyrimidin-7-one, 47a (NPD-3643). Prepared from 45a via the general method to give the title compound as a white solid (132 mg, 29% for four steps). 1H NMR (500 MHz, CDCl3) δ 9.20 (s, 1H), 2.15 (app s, 3H), 2.02 (app s, 6H), 1.79 (app q, J = 12.3 Hz, 6H) and 1.53 (s, 9H). 13C NMR (126 MHz, DMSO-d6) δ 158.5, 155.1, 154.0, 137.7, 127.2, 40.5, 39.0, 36.5, 33.4, 29.4 and 28.3. LC-MS: tR = 5.55 min, purity: 99%, m/z [M + H]+: 327; HR-MS: calc. for C19H26N4O [M + H]+; 327.2179, found 327.2170.
5-(Adamantan-1-yl)-3-cyclopentyl-1,6-dihydro-7H-pyrazolo[4,3-d]pyrimidin-7-one, 47b (NPD-3644). Prepared from 45b via the general method to give the title compound as a white solid (97 mg, 11% for four steps). 1H NMR (500 MHz, DMSO-d6 + 1 drop of D2O) δ 3.29 (p, J = 8.2 Hz, 1H), 2.05–1.88 (m, 11H) and 1.88–1.56 (m, 12H). 13C NMR (126 MHz, CD3OD + 1 drop of CDCl3) δ 159.8, 156.8, 148.0 (HMBC), 136.3 (HMBC), 40.3, 39.3, 37.3, 36.7, 32.8, 28.6 and 26.0. LC-MS: tR = 5.52 min, purity: >99%, m/z [M + H]+: 339; HR-MS: calc. for C20H26N4O [M + H]+; 339.2179, found 339.2167.
4.2. Antimalarial Screening
The assay for antimalarial activity was carried out as described in detail in Pereira et al. [21].
4.3. Metabolic Stability
The assay for metabolic stability in human and mouse liver microsomal fractions (S9) was performed as described [22].
Supplementary Materials
The following supporting information can be downloaded at https://www.mdpi.com/article/10.3390/molecules28134939/s1. Figures S1–S134: LC-MS and NMR spectra of intermediates and final compounds; Table S1: In vitro microsomal stability of BIPPO analogs.
Author Contributions
Conceptualization, R.L. and G.C.; methodology, Y.Z., A.M., L.M., G.C., G.J.S. and R.L.; validation, Y.Z. and A.M.; formal analysis, Y.Z., A.M., L.M., G.C., G.J.S. and R.L.; investigation, Y.Z. and A.M.; resources, R.L. and G.C.; data curation, Y.Z.; writing—original draft preparation, Y.Z.; writing—review and editing, Y.Z., L.M., G.C., G.J.S. and R.L.; visualization, Y.Z. and G.J.S.; supervision, R.L., L.M. and G.C.; project administration, R.L. and G.C.; funding acquisition, R.L. and G.C. All authors have read and agreed to the published version of the manuscript.
Funding
This work was supported by the European Commission 7th Framework Program FP7-HEALTH-2013-INNOVATION-1 under project reference 602666 “Parasite-specific cyclic nucleotide phosphodiesterase inhibitors to target Neglected Parasitic Diseases” (PDE4NPD). YZ acknowledges the China Scholarship Council (CSC) for funding (Grant No. 201506220185). LMPH is a partner of the Excellence Centre ‘Infla-Med’ (www.uantwerpen.be/infla-med, accessed on 22 June 2023) and participates in COST Action CA21111.
Institutional Review Board Statement
Not applicable.
Informed Consent Statement
Not applicable.
Data Availability Statement
Not applicable.
Acknowledgments
Andrea van de Slope and Hans Custers are thanked for their technical efforts. Elwin A. C. Janssen is thanked for his NMR support. Mohamed Ibrahim is thanked for his chemistry efforts.
Conflicts of Interest
The authors declare no conflict of interest.
Abbreviations
ACT, artemisinin combination therapy; CYP, cytochrome P450; HMBC, heteronuclear multiple bond correlation; HSQC, heteronuclear single quantum coherence; NADPH, nicotinamide adenine dinucleotide phosphate; NOESY, nuclear Overhauser effect spectroscopy; PDE, phosphodiesterase; WHO, World Health Organization.
References
- Ashley, E.A.; Pyae Phyo, A.; Woodrow, C.J. Malaria. Lancet 2018, 391, 1608–1621. [Google Scholar] [CrossRef] [PubMed]
- World Health Organization World Malaria Report. 2020. Available online: https://www.who.int/publications/i/item/9789240015791 (accessed on 28 May 2023).
- Casares, S.; Brumeanu, T.-D.; Richie, T.L. The RTS,S Malaria Vaccine. Vaccine 2010, 28, 4880–4894. [Google Scholar] [CrossRef] [PubMed]
- Rts, S.C.T.P. Efficacy and Safety of RTS,S/AS01 Malaria Vaccine with or without a Booster Dose in Infants and Children in Africa: Final Results of a Phase 3, Individually Randomised, Controlled Trial. Lancet 2015, 386, 31–45. [Google Scholar] [CrossRef]
- WHO. Malaria Position Paper. Wkly. Epidemiol. Rec. 2016, 91, 33–52. [Google Scholar]
- Moorthy, V.; Binka, F. R21/Matrix-M: A Second Malaria Vaccine? Lancet 2021, 397, 1782–1783. [Google Scholar] [CrossRef] [PubMed]
- Cotter, C.; Sturrock, H.J.W.; Hsiang, M.S.; Liu, J.; Phillips, A.A.; Hwang, J.; Gueye, C.S.; Fullman, N.; Gosling, R.D.; Feachem, R.G.A. The Changing Epidemiology of Malaria Elimination: New Strategies for New Challenges. Lancet 2013, 382, 900–911. [Google Scholar] [CrossRef] [PubMed]
- World Health Organization World Malaria Report. 2018. Available online: https://www.who.int/publications/i/item/9789241565653 (accessed on 28 May 2023).
- Delves, M.; Plouffe, D.; Scheurer, C.; Meister, S.; Wittlin, S.; Winzeler, E.A.; Sinden, R.E.; Leroy, D. The Activities of Current Antimalarial Drugs on the Life Cycle Stages of Plasmodium: A Comparative Study with Human and Rodent Parasites. PLoS Med. 2012, 9, e1001169. [Google Scholar] [CrossRef] [PubMed]
- Blasco, B.; Leroy, D.; Fidock, D.A. Antimalarial Drug Resistance: Linking Plasmodium Falciparum Parasite Biology to the Clinic. Nat. Med. 2017, 23, 917–928. [Google Scholar] [CrossRef] [PubMed]
- World Health Organization Antimalarial Drug Combination Therapy: Report of a WHO Technical Consultation. Available online: https://apps.who.int/iris/handle/10665/66952 (accessed on 28 May 2023).
- Howard, B.L.; Harvey, K.L.; Stewart, R.J.; Azevedo, M.F.; Crabb, B.S.; Jennings, I.G.; Sanders, P.R.; Manallack, D.T.; Thompson, P.E.; Tonkin, C.J.; et al. Identification of Potent Phosphodiesterase Inhibitors That Demonstrate Cyclic Nucleotide-Dependent Functions in Apicomplexan Parasites. ACS Chem. Biol. 2015, 10, 1145–1154. [Google Scholar] [CrossRef] [PubMed]
- DeNinno, M.P.; Andrews, M.; Bell, A.S.; Chen, Y.; Eller-Zarbo, C.; Eshelby, N.; Etienne, J.B.; Moore, D.E.; Palmer, M.J.; Visser, M.S.; et al. The Discovery of Potent, Selective, and Orally Bioavailable PDE9 Inhibitors as Potential Hypoglycemic Agents. Bioorganic Med. Chem. Lett. 2009, 19, 2537–2541. [Google Scholar] [CrossRef] [PubMed]
- Zuidema, D.R.; Wert, K.J.; Williams, S.L.; Chill, S.T.; Holte, K.L.; Kokes, N.K.; Mebane, R.C. Novel Method of Reducing Ketones Using Sodium Hydroxide in Isopropanol. Synth. Commun. 2010, 40, 1187–1191. [Google Scholar] [CrossRef]
- Ekström, J.; Wettergren, J.; Adolfsson, H. A Simple and Efficient Catalytic Method for the Reduction of Ketones. Adv. Synth. Catal. 2007, 349, 1609–1613. [Google Scholar] [CrossRef]
- DeNinno, M.P.; Hughes, B.; Kemp, M.I.; Palmer, M.J.; Wood, A. PDE9 Inhibitors for Treating Cardiovascular Disorders. Patent US20030195205A1, 8 May 2003. [Google Scholar]
- Moravcová, D.; Kryštof, V.; Havlíček, L.; Moravec, J.; Lenobel, R.; Strnad, M. Pyrazolo[4,3-d]Pyrimidines as New Generation of Cyclin-Dependent Kinase Inhibitors. Bioorganic Med. Chem. Lett. 2003, 13, 2989–2992. [Google Scholar] [CrossRef]
- Moravcova, D.; Havlicek, L.; Krystof, V.; Lenobel, R.; Binarova, P.; Mlejnek, P.; Vojtesek, B.; Uldrijan, S.; Schmulling, T.; Strnad, M.; et al. Pyrazolo [4,3-d] Pyrimidines, Processes for Their Preparation and Methods of Use. Patent EP1475094B1, 10 November 2004. [Google Scholar]
- Moravcová, D.; Havlicek, L.; Krystof, V.; Lenobel, R.; Strnad, M. Pyrazolo[4,3-d]Pyrimidines, Processes for Their Preparation and Methods for Therapy. Patent EP1348707A1, 1 October 2003. [Google Scholar]
- Moszczynski-Petkowski, R.; Bojarski, L.; MAJER, J.; Wieczorek, M.; DUBIEL, K.; Lamparska-Przybysz, M. Pyrazolo[4,3-d]Pyrimidin-7(6H)-One Derivatives as PDE9 Inhibitors. Patent WO2014024125A1, 13 February 2014. [Google Scholar]
- Pereira, M.; Caljon, G.; Gouveia, M.J.; Maes, L.; Vale, N. Synthesis, Biological Activity and In Silico Pharmacokinetic Prediction of a New 2-Thioxo-Imidazoldidin-4-One of Primaquine. Pharmaceuticals 2021, 14, 196. [Google Scholar] [CrossRef] [PubMed]
- Hulpia, F.; Campagnaro, G.D.; Scortichini, M.; Van Hecke, K.; Maes, L.; de Koning, H.P.; Caljon, G.; Van Calenbergh, S. Revisiting Tubercidin against Kinetoplastid Parasites: Aromatic Substitutions at Position 7 Improve Activity and Reduce Toxicity. Eur. J. Med. Chem. 2019, 164, 689–705. [Google Scholar] [CrossRef]
Disclaimer/Publisher’s Note: The statements, opinions and data contained in all publications are solely those of the individual author(s) and contributor(s) and not of MDPI and/or the editor(s). MDPI and/or the editor(s) disclaim responsibility for any injury to people or property resulting from any ideas, methods, instructions or products referred to in the content. |
© 2023 by the authors. Licensee MDPI, Basel, Switzerland. This article is an open access article distributed under the terms and conditions of the Creative Commons Attribution (CC BY) license (https://creativecommons.org/licenses/by/4.0/).




