Synthesis of Methylgenipin and Evaluation of Its Anti-Hepatic Injury Activity
Abstract
1. Introduction
2. Results
2.1. HPLC Idenification of MG
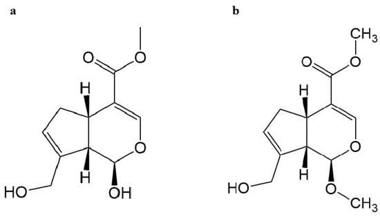
2.2. Structure Determination of MG
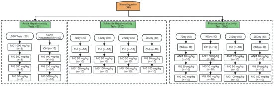
2.3. Acute Hepatotoxicity of Methylgenipin in Normal Mice
2.4. Assessment of Subacute Hepatotoxicity Test of MG in Normal Mice
2.5. Therapeutic Effect of MG on ANIT-Induced Cholestatic Liver Injury
2.6. Proteomic Study of MG in the Treatment of ANIT-Induced Liver Injury
2.6.1. Screening for Differential Proteins
2.6.2. Differential Protein GO and KEGG Analysis Results
2.6.3. Validation of Proteomic Critical Targets of MG against Liver Injury
3. Discussion
4. Materials and Methods
4.1. Reagents and Chemicals
4.2. Synthesis of MG
4.3. Purification of MG
4.3.1. Column Loading
4.3.2. Loading
4.3.3. Qualitative NMR
4.3.4. HPLC Quantitation
4.4. Animals
4.4.1. Acute Hepatotoxicity Tests
4.4.2. Subacute Hepatotoxicity Test
4.4.3. Therapeutic Effect of MG on ANIT-Induced Cholestatic Liver Injury
4.5. Determination of LD50 in Normal Mice
4.6. Biochemical Indicators
4.7. Hepatic Pathology Experiments
4.8. Liver Tissue Protein Extraction and Lysis
4.9. Protein Quantitation
4.10. Gene Ontology, Pathway Analysis, and Interactions between Proteins
4.11. Statistical Methods
5. Conclusions
Author Contributions
Funding
Institutional Review Board Statement
Informed Consent Statement
Data Availability Statement
Conflicts of Interest
Sample Availability
References
- Asrani, S.K.; Devarbhavi, H.; Eaton, J.; Kamath, P.S. Burden of liver diseases in the world. J. Hepatol. 2019, 70, 151–171. [Google Scholar] [CrossRef]
- Shen, B.; Feng, H.; Cheng, J.; Li, Z.; Jin, M.; Zhao, L.; Wang, Q.; Qin, H.; Liu, G. Geniposide alleviates non-alcohol fatty liver disease via regulating Nrf2/AMPK/mTOR signalling pathways. J. Cell. Mol. Med. 2020, 24, 5097–5108. [Google Scholar] [CrossRef]
- Schweitzer, A.; Horn, J.; Mikolajczyk, R.T.; Krause, G.; Ott, J.J. Estimations of worldwide prevalence of chronic hepatitis B virus infection: A systematic review of data published between 1965 and 2013. Lancet 2015, 386, 1546–1555. [Google Scholar] [CrossRef]
- Tian, J.; Qin, S.; Han, J.; Meng, J.; Liang, A. A review of the ethnopharmacology, phytochemistry, pharmacology and toxicology of Fructus Gardeniae (Zhi-zi). J. Ethnopharmacol. 2022, 289, 114984. [Google Scholar] [CrossRef] [PubMed]
- Lin, Y.; Lai, C.; Lai, C.; Sue, S.; Lin, C.; Hung, C.; Lin, T.; Hsu, W.; Huang, S.; Hung, Y.; et al. Inhibition of enterovirus 71 infections and viral IRES activity by Fructus gardeniae and geniposide. Eur. J. Med. Chem. 2013, 62, 206–213. [Google Scholar] [CrossRef] [PubMed]
- Li, Y.; Li, L.; Hölscher, C. Therapeutic Potential of Genipin in Central Neurodegenerative Diseases. CNS Drugs 2016, 30, 889–897. [Google Scholar] [CrossRef] [PubMed]
- Xiao, W.; Li, S.; Wang, S.; Ho, C.T. Chemistry and bioactivity of Gardenia jasminoides. J. Food Drug Anal. 2016, 25, 43–61. [Google Scholar] [CrossRef] [PubMed]
- Shoda, J.; Miura, T.; Utsunomiya, H.; Oda, K.; Yamamoto, M.; Kano, M.; Ikegami, T.; Tanaka, N.; Akita, H.; Ito, K.; et al. Genipin enhances Mrp2 (Abcc2)-mediated bile formation and organic anion transport in rat liver. Hepatology 2004, 39, 167–178. [Google Scholar] [CrossRef]
- Okada, K.; Shoda, J.; Kano, M.; Suzuki, S.; Ohtake, N.; Yamamoto, M.; Takahashi, H.; Utsunomiya, H.; Oda, K.; Sato, K. Inchinkoto, a herbal medicine and its ingredients dually exert Mrp2/MRP2-mediated choleresis and Nrf2-mediated antioxidative action in rat liver. Am. J. Physiol. Gastrointest. Liver Physiol. 2007, 292, 1450–1463. [Google Scholar] [CrossRef]
- Dong, L.C.; Fan, Y.X.; Yu, Q.; Ma, J.; Dong, X.; Li, P.; Li, H.J. Synergistic effects of rhubarb-gardenia herb pair in cholestatic rats at pharmacodynamic and pharmacokinetic levels. J. Ethnopharmacol. 2015, 175, 67–74. [Google Scholar] [CrossRef]
- Zhao, Y.; Wang, J.; Zhou, G.; Shan, L.; Xiao, X. Investigations of free anthraquinones from rhubarb against alpha-naphthylisothiocyanate-induced cholestatic liver injury in rats. Basic Clin. Pharmacol. Toxicol. 2009, 104, 463–469. [Google Scholar] [CrossRef] [PubMed]
- Hobbs, C.A.; Mihoko, K.; Carol, S.; Jeffrey, D.; Robert, M.; Leslie, R.; Shim-Mo, H. Genotoxicity evaluation of the naturally-derived food colorant, gardenia blue, and its precursor, genipin. Food Chem. Toxicol. 2018, 118, 695–708. [Google Scholar] [CrossRef] [PubMed]
- Li, Y.; Pan, H.; Li, X.; Jiang, N.; Huang, L.; Lu, Y.; Shi, F. Role of intestinal microbiota-mediated genipin dialdehyde intermediate formation in geniposide-induced hepatotoxicity in rats. Toxicol. Appl. Pharmacol. 2019, 377, 114624. [Google Scholar] [CrossRef] [PubMed]
- Yu, R.; Li, Y.; Si, D.; Yan, S.; Liu, J.; Si, J.; Zhang, X. Identification, quantitative and bioactivity analyses of aroma and alcohol-soluble components in flowers of Gardenia jasminoides and its variety during different drying processes. Food Chem. 2023, 420, 135846. [Google Scholar] [CrossRef]
- Li, H.; Ma, J.; Mei, Y.; Liu, L.; Cao, Z.; Shi, D.; Yao, X.; Yu, Y. Gardenia jasminoidesTwo new iridoid glycosides from the fruit of. Nat. Prod. Res. 2022, 36, 186–192. [Google Scholar] [CrossRef] [PubMed]
- Wang, M.; Zou, X.; Liu, K.; Xu, H.; Fan, H.; Che, X. Isolation and Structural Identification of Epimers of Methyl Genipin. Nat. Prod. Res. Dev. 2014, 26, 35. [Google Scholar] [CrossRef]
- Ding, Y.; Zhang, T.; Tao, J.; Zhang, L.; Shi, J.; Ji, G. Potential hepatotoxicity of geniposide, the major iridoid glycoside in dried ripe fruits of Gardenia jasminoides (Zhi-zi). Nat. Prod. Res. 2013, 27, 929–933. [Google Scholar] [CrossRef]
- Gallenkamp, H.; Richter, E. Influence of alpha-naphthylisothiocyanate (ANIT) on microsomal cytochrome P-450, protein and phospholipid content in rat liver. Biochem. Pharmacol. 1974, 23, 2431–2435. [Google Scholar] [CrossRef]
- Pang, C.; Sheng, Y.; Jiang, P.; Wei, H.; Ji, L. Chlorogenic acid prevents acetaminophen-induced liver injury: The involvement of CYP450 metabolic enzymes and some antioxidant signals. J. Zhejiang Univ. Sci. B 2015, 16, 602–610. [Google Scholar] [CrossRef]
- Wang, K.; Li, Z.; Ding, Y.; Liu, Z.; Li, Y.; Liu, X.; Sun, Y.; Hong, J.; Zheng, W.; Qian, L.; et al. Klotho improves cardiac fibrosis, inflammatory cytokines, ferroptosis, and oxidative stress in mice with myocardial infarction. J. Physiol. Biochem. 2023. [Google Scholar] [CrossRef]
- Daniela, E.; Michal, M.S.; Sabine, R.; Tatsuoka, K.S. Diagnostic Performance of Traditional Hepatobiliary Biomarkers of Drug-Induced Liver Injury in the Rat. Toxicol. Sci. 2010, 116, 397–412. [Google Scholar] [CrossRef]
- Kim, S.H.; Ryu, D.S.; Lee, H.S.; Shin, H.R.; Kwon, J.H.; Lee, D.S. Acute oral toxicity of the ethyl acetate fraction of Orostachys japonicus in mice. Pharm. Biol. 2014, 52, 1345–1350. [Google Scholar] [CrossRef]
- Chai, J.; Feng, X.; Zhang, L.; Chen, S.; Cheng, Y.; He, X.; Yang, Y.; He, Y.; Wang, H.; Wang, R. Hepatic Expression of Detoxification Enzymes Is Decreased in Human Obstructive Cholestasis Due to Gallstone Biliary Obstruction. PLoS ONE 2015, 10, e0120055. [Google Scholar] [CrossRef] [PubMed]
- Tan, D.X.; Reiter, R.J. Mitochondria: The birth place, battle ground and the site of melatonin metabolism in cells. Br. J. Pharmacol. 2019, 2, 44–66. [Google Scholar] [CrossRef]
- Yu, H.; Li, Y.; Xu, Z.; Wang, D.; Shi, S.; Deng, H.; Zeng, B.; Zheng, Z.; Sun, L.; Deng, X.; et al. Identification of potential biomarkers in cholestasis and the therapeutic effect of melatonin by metabolomics, multivariate data and pathway analyses. Int. J. Mol. Med. 2018, 42, 2515–2526. [Google Scholar] [CrossRef] [PubMed]
- Ohta, Y.; Kongo-Nishimura, M.; Imai, Y.; Kitagawa, A. Melatonin attenuates disruption of serum cholesterol status in rats with a single alpha-naphthylisothiocyanate treatment. J. Pineal Res. 2007, 42, 159–165. [Google Scholar] [CrossRef]
- Zhang, Y.; Li, F.; Patterson, A.; Wang, Y.; Krausz, K.; Neale, G.; Thomas, S.; Nachagari, D.; Vogel, P.; Vore, M.; et al. Abcb11 deficiency induces cholestasis coupled to impaired β-fatty acid oxidation in mice. J. Biol. Chem. 2012, 287, 24784–24794. [Google Scholar] [CrossRef]
- Zhang, J.J.; Meng, X.; Li, Y.; Yue, Z.; Xu, D.P.; Li, S.; Li, H.B. Effects of Melatonin on Liver Injuries and Diseases. Int. J. Mol. Sci. 2017, 18, 673. [Google Scholar] [CrossRef]
- Yang, H.; Ramani, K.; Xia, M.; Ko, K.S.; Li, T.W.; Oh, P.; Li, J.; Lu, S.C. Dysregulation of glutathione synthesis during cholestasis in mice: Molecular mechanisms and therapeutic implications. Hepatology 2009, 49, 1982–1991. [Google Scholar] [CrossRef]
- Suzuki, H.; Yamazaki, M.; Chiba, K.; Uemori, Y.; Sawanishi, H. Neuritogenic Activities of 1-Alkyloxygenipins. Chem. Pharm. Bull. 2010, 58, 168–171. [Google Scholar] [CrossRef]
- Huang, W.; Wang, Y.; Li, J.; Zhang, Y.; Ma, X.; Zhu, P.; Zhang, Y. Design, synthesis, and evaluation of genipin derivatives for the treatment of Alzheimer’s Disease. Chem. Biol. Drug Des. 2019, 93, 110–122. [Google Scholar] [CrossRef] [PubMed]
- Fang, J.; Huang, T.; Xia, M.; Deng, L.; Hao, X.; Wang, Y.; Mu, S. Design and synthesis of novel monoterpenoid indole alkaloid-like analogues and their antitumour activities in vitro. Org. Biomol. Chem. 2018, 16, 3026–3037. [Google Scholar] [CrossRef] [PubMed]
- Zhang, Y.; Wang, J.; Dong, F.; Li, H.; Hou, Y. Determination of Geniposide and Genipin Simultaneously by HPLC. Lishizhen Med. Mater. Med. Res. 2011, 40, 476–482. [Google Scholar] [CrossRef]
- Xu, Y.; Cao, J.; Wang, Y.M.; Luo, G.A. Simultaneous determination of 3 kinds of components in Gardenia by high-performance liquid chromatography under different UV-vis wave length. Acta Pharm. Sin. 2003, 38, 543–546. [Google Scholar] [CrossRef]










| Position | δH | δC |
|---|---|---|
| 1 | 3.70 (d, J = 4.4 Hz, 3H) | 57.2 |
| 2 | 4.44 (d, J = 7.8 Hz, 1H) | 102.8 |
| 3 | 7.50 (s, 1H) | 152.1 |
| 4 | — | 111.2 |
| 5 | — | 167.9 |
| 6 | 3.56 (s, J = 1.0 Hz, 3H) | 51.3 |
| 7 | 2.58 (m, 1H) | 36.1 |
| 8 | 2.05 (m, 1H), 2.84 (m, 1H) | 39.0 |
| 9 | 5.81 (s, 1H) | 129.2 |
| 10 | — | 143.0 |
| 11 | 3.16 (m, 1H) | 46.6 |
| 12 | 4.22 (s, 2H) | 61.5 |
| Groups | 7Day | 14Day | 21Day | 28Day | ||||
|---|---|---|---|---|---|---|---|---|
| Weight (g) | Liver Index (%) | Weight (g) | Liver Index (%) | Weight (g) | Liver Index (%) | Weight (g) | Liver Index (%) | |
| Ctrl | 30.4 ± 3.97 | 0.028 ± 0.006 | 34.3 ± 2.68 | 0.033 ± 0.004 | 34.5 ± 3.45 | 0.033 ± 0.004 | 36.0 ± 4.67 | 0.037 ± 0.009 |
| ANIT | 33.8 ± 2.49 | 0.032 ± 0.004 ## | 33.5 ± 1.47 | 0.043 ± 0.002 ## | 34.2 ± 3.23 | 0.046 ± 0.006## | 37.7 ± 4.45 | 0.048 ± 0.004 ## |
| MG (50mg/kg) | 31.2 ± 4.05 | 0.029 ± 0.002 ** | 35.3 ± 4.19 | 0.039 ± 0.003 * | 36.5 ± 3.72 | 0.037 ± 0.003 ** | 39.5 ± 4.65 | 0.037 ± 0.003 ** |
| MG (100mg/kg) | 31.9 ± 3.97 | 0.029 ± 0.002 * | 35.2 ± 2.96 | 0.040 ± 0.003 * | 36.9 ± 4.19 | 0.040 ± 0.005 * | 38.2 ± 5.97 | 0.041 ± 0.004 * |
Disclaimer/Publisher’s Note: The statements, opinions and data contained in all publications are solely those of the individual author(s) and contributor(s) and not of MDPI and/or the editor(s). MDPI and/or the editor(s) disclaim responsibility for any injury to people or property resulting from any ideas, methods, instructions or products referred to in the content. |
© 2023 by the authors. Licensee MDPI, Basel, Switzerland. This article is an open access article distributed under the terms and conditions of the Creative Commons Attribution (CC BY) license (https://creativecommons.org/licenses/by/4.0/).
Share and Cite
Wang, J.; Qiu, Y.; Chen, Y.; Zhou, F.; Wang, S.; Chen, L.; Chen, Y.; Yu, R.; Huang, L. Synthesis of Methylgenipin and Evaluation of Its Anti-Hepatic Injury Activity. Molecules 2023, 28, 4793. https://doi.org/10.3390/molecules28124793
Wang J, Qiu Y, Chen Y, Zhou F, Wang S, Chen L, Chen Y, Yu R, Huang L. Synthesis of Methylgenipin and Evaluation of Its Anti-Hepatic Injury Activity. Molecules. 2023; 28(12):4793. https://doi.org/10.3390/molecules28124793
Chicago/Turabian StyleWang, Jingjing, Yongwei Qiu, Yaohui Chen, Feng Zhou, Shuaikang Wang, Liping Chen, Yinfang Chen, Riyue Yu, and Liping Huang. 2023. "Synthesis of Methylgenipin and Evaluation of Its Anti-Hepatic Injury Activity" Molecules 28, no. 12: 4793. https://doi.org/10.3390/molecules28124793
APA StyleWang, J., Qiu, Y., Chen, Y., Zhou, F., Wang, S., Chen, L., Chen, Y., Yu, R., & Huang, L. (2023). Synthesis of Methylgenipin and Evaluation of Its Anti-Hepatic Injury Activity. Molecules, 28(12), 4793. https://doi.org/10.3390/molecules28124793

