Fully Selective Synthesis of Spirocyclic-1,2-oxazine N-Oxides via Non-Catalysed Hetero Diels-Alder Reactions with the Participation of Cyanofunctionalysed Conjugated Nitroalkenes
Abstract
1. Introduction


2. Results and Discussion
- (1)
- During phases, I–V, the topological changes heading to the creation of two pseudoradical centres [49] at C4 and C5 are taking place. At point P1 V(N2) monosynaptic basin representing nonbonding electron density is created, integrating 0.05 e originating from disynaptic basins V(N2,O1) and V(N2,O11). At the next point two disynaptic basins V(C3,C4) and V’(C3,C4) of the double bond merges into one V(C3,C4) basin with a population of 3.51 e. The monosynaptic basin V(N2) disappears at point P3 increasing V(N2,C3) disynaptic basins population to 2.51 e. Phase V starts with two disynaptic basins V(C5,C6) and V’(C5,C6) combining into one V(C5,C6) integrating 3.22 e. These changes contribute 11.2 kcal∙mol−1 of the energetic cost, in contrast, the transition state is only 3.29 kcal∙mol−1 higher.
- (2)
- Phase VI begins at P5 with the appearance of a pseudoradical center at C4 represented by a monosynaptic basin V(C4) with a population of 0.10 e gathered from the V(C4,C3) disynaptic basin. In the next phase VII, another pseudoradical centre is created at C5–the V(C5,C6) disynaptic basin provides electron density for a new monosynaptic basin V(C5) with initial integration of 0.36 e.
- (3)
- The new bond C4-C5 is created at point P7, at a C-C distance of 2.000 Å by merging of V(C4) and V(C5) monosynaptic basins which show a population of 0.09 e and 0.39 e respectively at the last point of phase VII. The new disynaptic basin V(C4,C5) integrates 0.52 e, representing 28% of its final electron population. The TS3c is part of Phase VIII, where the first bond is already established.
- (4)
- At points P8 and P9, a new pseudoradical centre emerges represented by V(C3) and V’(C3) monosynaptic basins with an initial population of 0.52 e and 0.33 e, respectively. Their electron density originating from the V(C4,C3) disynaptic basin of the C4-C3 underpopulated double bond causes its transition into a single bond.
- (5)
- At point P10 the V(C6) monosynaptic basin appears with a marginal population of 0.01 e. At the start of phase XII, it disappears, and a slight increase in the population of V(O1) and V’(O1) monosynaptic basins takes place.
- (6)
- At the beginning of the last phase, the second bond is created, at an O-C distance of 1.778 Å, by a donation of the nonbonding electron density of O1 to C6. The V(O1,C6) disynaptic basin integrates 0.81 e representing a strongly underpopulated O1-C6 single bond.
- (7)
- The formation of the second O1-C6 bond starts while the first C4-C5 single bond is at 97% of its final population. Therefore, the mechanism of the HDA reaction of nitroalkene 1c with alkene 2 proceeds by a two-stage one-step mechanism [50].
- (8)
- The activation energy associated with this HDA reaction, 7.46 kcal·mol−1, can mainly be related to the depopulation of the C3-C4 and C5-C6 regions, formation of C4 and C5 pseudoradical centres and first C4-C5 single bond.
- (9)
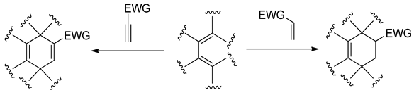
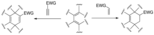
- The conducted BET analysis allowed for the determination and examination of the molecular mechanism of the HDA reaction of the (E)-2-phenyl-1-cyano-1-nitroethene 1c and methylenecyclopentane 2 (Scheme 2).
3. Materials and Methods
3.1. Analytical Techniques
3.2. X-ray Crystal Structure Determination
3.3. Synthesis of Conjugated Nitroalkenes
3.4. Synthesis of Methylenecyclopentane (2)
3.5. HDA Reactions between E-2-Aryl-1-cyano-1-nitroethenes and Methylenecyclopentane–General Procedure
3.6. Quantum Chemical Calculations
4. Conclusions
Supplementary Materials
Author Contributions
Funding
Institutional Review Board Statement
Informed Consent Statement
Data Availability Statement
Acknowledgments
Conflicts of Interest
Sample Availability
References
- Horsten, T.; Dehaen, W. 4,5,6,7-Tetrahydroindol-4-Ones as a Valuable Starting Point for the Synthesis of Polyheterocyclic Structures. Molecules 2021, 26, 4596. [Google Scholar] [CrossRef] [PubMed]
- Khalid, Z.; Alnuwaiser, M.A.; Ahmad, H.A.; Shafqat, S.S.; Munawar, M.A.; Kamran, K.; Abbas, M.M.; Kalam, M.A.; Ewida, M.A. Experimental and Computational Analysis of Newly Synthesized Benzotriazinone Sulfonamides as Alpha-Glucosidase Inhibitors. Molecules 2022, 27, 6783. [Google Scholar] [CrossRef] [PubMed]
- Narváez-Ordoñez, E.G.; Pabón-Carcelén, K.A.; Zurita-Saltos, D.A.; Bonilla-Valladares, P.M.; Yánez-Darquea, T.G.; Ramos-Guerrero, L.A.; Ulic, S.E.; Jios, J.J.; Echeverría, G.A.; Piro, O.E.; et al. Synthesis, Experimental and Theoretical Study of Azidochromones. Molecules 2022, 27, 2636. [Google Scholar] [CrossRef] [PubMed]
- Xiong, Y.X.; Huang, Z.S.; Tan, J.H. Targeting G-quadruplex nucleic acids with heterocyclic alkaloids and their derivatives. Eur. J. Med. Chem. 2015, 97, 538–551. [Google Scholar] [CrossRef]
- Mirza, A.Z. Advancement in the development of heterocyclic nucleosides for the treatment of cancer-A review. Nucleosides Nucleotides Nucleic Acids 2019, 38, 836–857. [Google Scholar] [CrossRef]
- Arora, P.; Arora, V.; Lamba, H.S.; Wadhwa, D. Importance of heterocyclic chemistry: A review. Int. J. Pharm. Sci. Res. 2012, 3, 2947–2954. [Google Scholar]
- Palomero, O.E.; Cunningham, A.L.; Davies, B.W.; Jones, R.A. Antibacterial Thiamine inspired silver (I) and gold (I) N-heterocyclic carbene compounds. Inorganica Chim. Acta 2021, 517, 120152. [Google Scholar] [CrossRef]
- Shchepin, R.V.; Barskiy, D.A.; Mikhaylov, D.A.; Chekmenev, E.Y. Efficient Synthesis of Nicotinamide-1-15N for Ultrafast NMR Hyperpolarization Using Parahydrogen. Bioconjugate Chem. 2016, 27, 878–882. [Google Scholar] [CrossRef]
- Al-Mulla, A. Biological Importance of Heterocyclic Compounds. Der Pharma Chem. 2017, 9, 141–147. [Google Scholar]
- Gomtsyan, A. Heterocycles in drugs and drug discovery. Chem. Heterocycl. Compd. 2012, 48, 7–10. [Google Scholar] [CrossRef]
- Hossain, M.; Nanda, A.K. A Review on Heterocyclic: Synthesis and Their Application in Medicinal Chemistry of Imidazole Moiety. Sci. J. Chem. 2018, 6, 83–94. [Google Scholar] [CrossRef]
- Arshadi, S.; Banaei, A.; Ebrahimiasl, S.; Monfared, A.; Vessally, E. Solvent-free incorporation of CO2 into 2-oxazolidinones: A review. RSC Adv. 2019, 9, 19465–19482. [Google Scholar] [CrossRef]
- Boiko, V.N. Aromatic and heterocyclic perfluoroalkyl sulfides. Methods of preparation. Beilstein J. Org. Chem. 2010, 6, 880–921. [Google Scholar] [CrossRef]
- Tietze, L.F.; Rackelmann, N. Domino reactions in the synthesis of heterocyclic natural products and analogs. Pure Appl. Chem. 2004, 76, 1967–1983. [Google Scholar] [CrossRef]
- Quraishi, M.A.; Chauhan, D.S.; Saji, V.S. Heterocyclic biomolecules as green corrosion inhibitors. J. Mol. Liq. 2021, 341, 117265. [Google Scholar] [CrossRef]
- Saranya, J.; Sowmiya, M.; Sounthari, P.; Parameswari, K.; Chitra, S.; Senthilkumar, K. N-heterocycles as corrosion inhibitors for mild steel in acid medium. J. Mol. Liq. 2016, 216, 42–52. [Google Scholar] [CrossRef]
- Newsome, A.G.; Murphy, B.T.; van Breemen, R.B. Isolation and Characterization of Natural Blue Pigments from Underexplored Sources. In Book Physical Methods in Food Analysis; Tunick, M.H., Onwulata, C.I., Eds.; American Chemical Society: Washington, DC, USA, 2013; Volume 8, pp. 105–125. [Google Scholar]
- Eicher, T.; Hauptmann, S.; Speicher, A. The Chemistry of Heterocycles: Structures, Reactions, Synthesis, and Applications, 3rd ed.; John Wiley & Sons: Hoboken, NJ, USA, 2013. [Google Scholar]
- Chen, J.J.; Li, K.T.; Yang, D.Y. Synthesis of Coumarin/Phenanthridine-Fused Heterocycles and Their Photochemical and Thermochromic Properties. Org. Lett. 2011, 7, 1658–1661. [Google Scholar] [CrossRef] [PubMed]
- Courtney, S.M.; Whittaker, M.; Mather, O.C.; Yarnold, C.J.; Backer, O.R.; Hesterkamp, T. Compounds Having Hsp90 Inhibitory Activity. British Patent 2449293, 2008. [Google Scholar]
- Lubbers, T.; Angehrn, P.; Gmunderb, H.; Herzig, S. Measurement at 100 K is a standard procedure in crystallography to protect crystals from thermal changes when exposed to high-energy X-rays and to minimize the possibility of radiation damage. Bioorg. Med. Chem. Lett. 2007, 17, 4708–4714. [Google Scholar]
- Sun, Y.; Huang, W.; Li, Z.; Wang, T.; Luo, J. Design, synthesis, and herbicidal activity of novel 2-(arylamino)-5-methyl-4-methylene-7-(methylthio)-4H-pyrido[4,3-d][1,3]oxazine-8-carbonitrile derivatives. J. Chem. Res. 2019, 43, 119–123. [Google Scholar] [CrossRef]
- Piste, P.B. Novel synthesis and antimicrobial activities of thiazino-oxazine derivatives. Int. J. Pharm. Sci. Drug Res. 2018, 10, 206–212. [Google Scholar] [CrossRef]
- Nicolaou, K.C.; Snyder, S.A.; Montagnon, T.; Vassilikogiannakis, G. The Diels–Alder Reaction in Total Synthesis. Angew. Chem. Int. Ed. 2002, 41, 1668–1698. [Google Scholar] [CrossRef]
- Domingo, L.R.; Ríos-Gutiérrez, M.; Silvi, B.; Pérez, P. The Mysticism of Pericyclic Reactions: A Contemporary Rationalisation of Organic Reactivity Based on Electron Density Analysis. Eur. J. Org. Chem. 2018, 9, 1107–1120. [Google Scholar] [CrossRef]
- Heravi, M.; Ahmadi, T.; Ghavidel, M.; Heidari, B.; Hamidi, H. Recent applications of the hetero Diels–Alder reaction in the total synthesis of natural products. RSC Adv. 2015, 5, 101999–102075. [Google Scholar] [CrossRef]
- Denmark, S.E.; Cramer, C.J.; Sternberg, J.A. Intermolecular [4 + 2]-Cycloadditions of Nitroalkenes with Cyclic Olefins. Transformations of Cyclic Nitronates. Helv. Chim. Acta 1986, 69, 1971–1989. [Google Scholar] [CrossRef]
- Denmark, S.E.; Sternberg, J.A. Intramolecular [4 + 2] cycloadditions of (Z)-.alpha.,.beta.-unsaturated aldehydes with vinyl sulfides and ketene dithioacetals. J. Am. Chem. Soc. 1986, 108, 8277–8279. [Google Scholar] [CrossRef]
- Denmark, S.E.; Dappen, M.S.; Cramer, C.J. Intramolecular [4 + 2] cycloadditions of nitroalkenes with olefins. J. Am. Chem. Soc. 1986, 108, 1306–1307. [Google Scholar] [CrossRef]
- Hodge, E.B.; Abbott, R. The Reaction between 2-Nitro-1-phenylpropene and Cyclohexanone. J. Org. Chem. 1962, 27, 2254–2255. [Google Scholar] [CrossRef]
- Creegan, S.E.; Piercey, D.G. Nitroacetonitrile as a versatile precursor in energetic materials synthesis. RSC Adv. 2020, 10, 39478–39484. [Google Scholar] [CrossRef]
- Woliński, P.; Kącka-Zych, A.; Demchuk, O.M.; Łapczuk-Krygier, A.; Mirosław, B.; Jasiński, R. Clean and molecularly programmable protocol for preparation of bis-heterobiarylic systems via a domino pseudocyclic reaction as a valuable alternative for TM-catalyzed cross-couplings. J. Clean. Prod. 2020, 275, 122086. [Google Scholar] [CrossRef]
- Żmigrodzka, M.; Dresler, E.; Hordyjewicz-Baran, Z.; Kulesza, R.; Jasiński, R. A unique example of noncatalyzed [3+2] cycloaddition involving (2E)-3-aryl-2-nitroprop-2-enenitriles. Chem. Heterocycl. Comp. 2017, 53, 1161–1162. [Google Scholar] [CrossRef]
- Łapczuk-Krygier, A.; Ponikiewski, Ł.; Jasiński, R. The crystal structure of (1RS,4RS,5RS,6SR)-5-cyano-5-nitro-6-phenyl-bicyclo[2.2.1]hept-2-ene. Crystallogr. Rep. 2014, 59, 961–963. [Google Scholar] [CrossRef]
- Wolinski, P.; Kacka-Zych, A.; Miroslaw, B.; Wielgus, E.; Jasinski, R. Green, one-pot synthesis of 1,2-oxazine-type herbicides via non-catalyzed Hetero Diels-Alder reactions involving (2E)-3-aryl-2-nitroprop-2-enenitriles. J. Clean. Prod. 2022, 356, 131878. [Google Scholar] [CrossRef]
- Domingo, L.R.; Ríos-Gutiérrez, M. A Useful Classification of Organic Reactions Based on the Flux of the Electron Density. SciRad 2023, 2, 1–24. [Google Scholar] [CrossRef]
- Geerlings, P.; De Proft, F.; Langenaeker, W. Conceptual Density Functional Theory. Chem. Rev. 2003, 103, 1793–1874. [Google Scholar] [CrossRef]
- Domingo, L.R.; Sáeza, J.A. Understanding the mechanism of polar Diels–Alder reactions. Org. Biomol. Chem. 2009, 7, 3576–3583. [Google Scholar] [CrossRef]
- Jasiński, R. First example of stepwise, zwitterionic mechanism for bicyclo[2.2.1]hept-5-ene (norbornene) formation process catalyzed by the 1-butyl-3-methylimidazolium cations. Monatsh. Chem.-Chem. Mon. 2016, 147, 1207–1213. [Google Scholar] [CrossRef]
- Jasiśnki, R. One-step versus two-step mechanism of Diels-Alder reaction of 1-chloro-1-nitroethene with cyclopentadiene and furan. J. Mol. Graph. Model. 2017, 75, 55–61. [Google Scholar]
- Jasiński, R. B-Trifluoromethylated nitroethenes in Diels-Alder reaction with cyclopentadiene: A DFT computational study. J. Fluor. Chem. 2018, 206, 1–7. [Google Scholar] [CrossRef]
- Jasiński, R. A reexamination of the molecular mechanism of the Diels–Alder reaction between tetrafluoroethene and cyclopentadiene. React. Kinet. Mech. Catal. 2016, 119, 49–57. [Google Scholar] [CrossRef]
- Jasiński, R. On the question of stepwise [4+2] cycloaddition reactions and their stereochemical aspects. Symmetry 2021, 13, 1911. [Google Scholar] [CrossRef]
- Siadati, S.A.; Rezazadeh, S. The extraordinary gravity of three atom 4π-components and 1,3-dienes to C20-nXn fullerenes; a new gate to the future of Nano technology. SciRad 2023, 1, 46–68. [Google Scholar] [CrossRef]
- Jasiński, R. Stepwise, zwitterionic course of Hetero Diels-Alder reaction between 1,2,4-triazyne molecular systems and 2-cyclopropylidene-1,3-dimetylimidazoline. Chem. Heterocycl. Compd. 2022, 58, 260. [Google Scholar] [CrossRef]
- Mondal, A.; Mohammad-Salim, H.A.; Acharjee, N. Unveiling substituent effects in [3+2] cycloaddition reactions of benzonitrile N-oxide and benzylideneanilines from the molecular electron density theory perspective. SciRad 2023, 2, 75–92. [Google Scholar] [CrossRef]
- Kącka-Zych, A.; Jasiński, R. Mechanistic aspects of the synthesis of seven-membered internal nitronates via stepwise [4 + 3] cycloaddition involving conjugated nitroalkenes: Molecular Electron Density Theory computational study. J. Comput. Chem. 2022, 43, 1221. [Google Scholar] [CrossRef]
- Kącka-Zych, A.; Jasiński, R. Understanding the molecular mechanism of the stereoselective conversion of N-trialkylsilyloxy nitronates into bicyclic isoxazoline derivatives. New J. Chem. 2021, 45, 9491–9500. [Google Scholar] [CrossRef]
- Domingo, L.R.; Sáez, J.A. Understanding the Electronic Reorganization along the Nonpolar [3 + 2] Cycloaddition Reactions of Carbonyl Ylides. J. Org. Chem. 2011, 76, 373–379. [Google Scholar] [CrossRef]
- Domingo, L.R.; Perez, P.; Saez, J.A. Understanding the regioselectivity in hetero Diels-Alder reactions. An ELF analysis of the reaction between nitrosoethylene and 1-vinylpyrrolidine. Tetrahedron 2013, 69, 107–114. [Google Scholar] [CrossRef]
- Sheldrick, G.M. SHELXT-Integrated space-group and crystal-structure determination. Acta Crystallogr. 2015, A71, 3–8. [Google Scholar] [CrossRef]
- Bourhis, L.J.; Dolomanov, O.V.; Gildea, R.J.; Howard, J.A.K.; Puschmann, H. The anatomy of a comprehensive constrained, restrained refinement program for the modern computing enviroment-Olex2 dissected. Acta Crystallogr. 2015, A71, 59–75. [Google Scholar]
- Sheldrick, G.M. Crystal structure refinement with SHELXL. Acta Crystallogr. 2015, C71, 3–8. [Google Scholar]
- Boguszewska-Czubara, A.; Kula, K.; Wnorowski, A.; Biernasiuk, A.; Popiołek, Ł.; Miodowski, D.; Demchuk, O.M.; Jasiński, R. Novel functionalized β-nitrostyrenes: Promising candidates for new antibacterial drugs. Saudi. Pharm. J. 2019, 27, 593–601. [Google Scholar] [CrossRef] [PubMed]
- Jasiński, R.; Mirosław, B.; Demchuk, O.M.; Babyuk, D.; Łapczuk-Krygier, A. In the search for experimental and quantumchemical evidence for zwitterionic nature of (2E)-3-[4-(dimethylamino)phenyl]-2-nitroprop-2-enenitrile–An extreme example of donor–π–acceptor push–pull molecule. J. Mol. Struct. 2016, 1108, 689–697. [Google Scholar] [CrossRef]
- Boguszewska-Czubara, A.; Łapczuk-Krygier, A.; Rykala, K.; Biernasiuk, A.; Wnorowski, A.; Popiolek, Ł.; Maziarka, A.; Hordyjewska, A.; Jasiński, R. Novel synthesis scheme and in vitro antimicrobial evaluation of a panel of (E)-2-aryl-1-cyano-1-nitroethenes. J. Enzym. Inhib. Med. Chem. 2016, 31, 900–907. [Google Scholar] [CrossRef]
- Banwell, M.G.; Vogt, F.; Wu, A.W. Assembly of the 1-Azaspiro[5.5]undecane Framework Associated with Perhydrohistrionicotoxin via Electrocyclic Ring-Opening of a Ring-Fused gem-Dichlorocyclopropane and Trapping of the Resulting π-Allyl Cation by a Tethered, Nitrogen-Centered Nucleophile. Aust. J. Chem. 2006, 59, 415–425. [Google Scholar] [CrossRef]
- Frisch, M.J.; Trucks, G.W.; Schlegel, H.B.; Scuseria, G.E.; Robb, M.A.; Cheeseman, J.R.; Scalmani, G.; Barone, V.; Petersson, G.A.; Nakatsuji, H.; et al. Gaussian 16, Revision C.01; Gaussian, Inc.: Wallingford, CT, USA, 2016. [Google Scholar]
- Scalmani, G.; Frisch, M.J. Continuous surface charge polarizable continuum models of solvation. I. General formalism. J. Chem. Phys. 2010, 132, 114110. [Google Scholar] [CrossRef]
- Domingo, L.R. A new C–C bond formation model based on the quantum chemical topology of electron density. RSC Adv. 2014, 4, 32415–32428. [Google Scholar] [CrossRef]
- Reed, A.E.; Weinstock, R.B.; Weinhold, F. Natural population analysis. J. Chem. Phys. 1985, 83, 735–746. [Google Scholar] [CrossRef]
- Reed, A.E.; Curtiss, L.A.; Weinhold, F. Intermolecular interactions from a natural bond orbital, donor-acceptor viewpoint. Chem. Rev. 1988, 88, 899–926. [Google Scholar] [CrossRef]
- Domingo, L.R.; Ríos-Gutiérrez, M.; Pérez, P. Applications of the Conceptual Density Functional Theory Indices to Organic Chemistry Reactivity. Molecules 2016, 21, 748. [Google Scholar] [CrossRef]
- Becke, A.D.; Edgecombe, K.E. A simple measure of electron localization in atomic and molecular systems. J. Chem. Phys. 1990, 92, 5397–5403. [Google Scholar] [CrossRef]
- Noury, S.; Krokidis, X.; Fuster, F.; Silvi, B. Computational tools for the electron localization function topological analysis. Comput. Chem. 1999, 23, 597–604. [Google Scholar] [CrossRef]
- Dennington, R.; Keith, T.A.; Millam, J.M. GaussView, 6th ed.; Semichem Inc.: Shawnee Mission, KS, USA, 2016. [Google Scholar]





| Global Properties | Local Properties | ||||||
|---|---|---|---|---|---|---|---|
| eletronic chemical potential μ [eV] | chemical hardhess η [eV] | electro- philicity ω [eV] | nucleo- philicityN [eV] | ![]() | |||
| P−1 | N1 [eV] | P−2 | N2 [eV] | ||||
| 2.87 | 6.95 | 0.59 | 2.77 | 0.636 | 1.76 | 0.266 | 0.74 |
| Nitroalkene | Eletronic Chemical Potential [μ eV] | Chemical Hardhess η [eV] | Electro- Philicity [eV] | Nucleo- Philicityn [eV] |
|---|---|---|---|---|
| 1a | −4.82 | 3.69 | 3.14 | 2.45 |
| 1b | −5.10 | 3.94 | 3.30 | 2.04 |
| 1c | −5.27 | 4.06 | 3.42 | 1.80 |
| 1d | −5.28 | 3.98 | 3.50 | 1.84 |
| 1e | −5.35 | 3.89 | 3.67 | 1.81 |
| 1f | −5.31 | 3.81 | 3.70 | 1.90 |
| 1g | −5.49 | 3.96 | 3.80 | 1.64 |
| Structure | ΔH | ΔS | ΔG | Imaginary Frequencies |
|---|---|---|---|---|
| MC3a | –6.1 | –32.6 | 3.7 | - |
| TS3a | 10.0 | –46.6 | 23.9 | −425.7 |
| 3a | –22.2 | –50.6 | –7.1 | - |
| MC4a | –7.8 | –37.5 | 3.4 | - |
| TS4a | 24.1 | –53.1 | 39.9 | −586.6 |
| 4a | –15.8 | –52.4 | –0.1 | - |
| MC3b | –6.1 | –33.4 | 3.8 | - |
| TS3b | 8.3 | –52.9 | 24.1 | −420.3 |
| 3b | –23.8 | –50.5 | –8.7 | - |
| MC4b | –7.9 | –37.3 | 3.2 | - |
| TS4b | 23.2 | –49.9 | 38.1 | −581.7 |
| 4b | –17.3 | –51.9 | –1.8 | - |
| MC3c | –6.1 | –34.0 | 4.0 | - |
| TS3c | 8.1 | –46.4 | 21.9 | −421.4 |
| 3c | –24.7 | –50.1 | –9.8 | - |
| MC4c | –7.7 | –37.0 | 3.3 | - |
| TS4c | 22.8 | –53.6 | 38.7 | −579.5 |
| 4c | –18.3 | –53.5 | –2.3 | - |
| MC3d | –6.1 | –33.8 | 3.9 | - |
| TS3d | 8.4 | –47.3 | 22.6 | −422.5 |
| 3d | –24.5 | –50.3 | –9.5 | - |
| MC4d | –7.8 | –36.6 | 3.2 | - |
| TS4d | 22.9 | –52.8 | 38.7 | −580.3 |
| 4d | –18.0 | –52.3 | –2.4 | - |
| MC3e | –6.1 | –34.6 | 4.2 | - |
| TS3e | 7.9 | –47.7 | 22.1 | −422.2 |
| 3e | –25.3 | –51.0 | –10.1 | - |
| MC4e | –7.9 | –38.6 | 3.6 | - |
| TS4e | 22.5 | –53.2 | 38.3 | −578.9 |
| 4e | –18.8 | –53.0 | –3.0 | - |
| MC3f | –6.1 | –36.4 | 4.8 | - |
| TS3f | 7.9 | –49.0 | 22.5 | −421.7 |
| 3f | –25.3 | –52.2 | –9.7 | - |
| MC4f | –7.9 | –38.0 | 3.5 | - |
| TS4f | 22.4 | –53.5 | 38.3 | −579.3 |
| 4f | –18.9 | –54.0 | –2.8 | - |
| MC3g | –6.3 | –33.7 | 3.8 | - |
| TS3g | 7.0 | –46.2 | 20.8 | −421.5 |
| 3g | –26.2 | –50.9 | –11.0 | - |
| MC4g | –8.0 | –37.9 | 3.3 | - |
| TS4g | 22.0 | –52.1 | 37.5 | −578.0 |
| 4g | –19.7 | –53.0 | –3.9 | - |
| Structures | 2 | 1c | MC3c | P1 | P2 | P3 | P4 | P5 | P6 | P7 | TS3c | P8 | P9 | P10 | P11 | P12 | 3c | ||||||||||||
|---|---|---|---|---|---|---|---|---|---|---|---|---|---|---|---|---|---|---|---|---|---|---|---|---|---|---|---|---|---|
| Phases | I | II | III | IV | V | VI | VII | VIII | IX | X | XI | XII | XIII | ||||||||||||||||
| d1(C1-C14) | 3.131 | 3.126 | 2.861 | 2.405 | 2.240 | 2.039 | 2.019 | 2.000 | 1.962 | 1.954 | 1.896 | 1.563 | 1.557 | 1.539 | 1.543 | ||||||||||||||
| d2(O9-C15) | 3.467 | 3.454 | 3.189 | 2.946 | 2.896 | 2.850 | 2.846 | 2.842 | 2.834 | 2.831 | 2.818 | 2.098 | 2.022 | 1.778 | 1.478 | ||||||||||||||
| IRC | −9.67 | −9.25 | −5.43 | −2.25 | −1.38 | −0.39 | −0.29 | −0.19 | 0.00 | 0.03 | 0.32 | 2.31 | 5.98 | 7.39 | |||||||||||||||
| GEDT | 0.01 | 0.01 | 0.03 | 0.11 | 0.20 | 0.36 | 0.38 | 0.40 | 0.42 | 0.44 | 0.50 | 0.61 | 0.59 | 0.52 | |||||||||||||||
| dE kcal | −7.03 | −6.98 | −5.35 | 0.96 | 4.17 | 7.15 | 7.29 | 7.38 | 7.46 | 7.46 | 7.25 | −3.66 | −5.61 | −13.70 | −23.48 | ||||||||||||||
| V(O1) | 2.83 | 2.84 | 2.83 | 2.84 | 2.86 | 2.85 | 2.87 | 2.87 | 2.87 | 2.88 | 2.88 | 2.89 | 2.96 | 2.88 | 2.48 | 2.60 | |||||||||||||
| V’(O1) | 2.80 | 2.82 | 2.82 | 2.82 | 2.83 | 2.88 | 2.90 | 2.91 | 2.91 | 2.91 | 2.91 | 2.93 | 2.91 | 3.05 | 2.76 | 2.39 | |||||||||||||
| V(N2.O1) | 1.85 | 1.85 | 1.88 | 1.88 | 1.81 | 1.77 | 1.71 | 1.71 | 1.70 | 1.69 | 1.69 | 1.67 | 1.41 | 1.39 | 1.30 | 1.23 | |||||||||||||
| V(N2.O11) | 2.19 | 2.19 | 2.10 | 2.07 | 2.03 | 1.94 | 1.84 | 1.83 | 1.83 | 1.82 | 1.81 | 1.79 | 1.67 | 1.65 | 1.64 | 1.65 | |||||||||||||
| V(C3.N2) | 2.29 | 2.31 | 2.32 | 2.32 | 2.51 | 2.62 | 2.76 | 2.77 | 2.78 | 2.80 | 2.80 | 2.84 | 3.29 | 3.35 | 3.50 | 3.60 | |||||||||||||
| V(C4.C3) | 1.76 | 1.66 | 1.66 | 3.51 | 3.50 | 3.49 | 3.42 | 3.41 | 3.39 | 3.36 | 2.83 | 2.42 | 2.06 | 2.05 | 2.04 | 2.04 | |||||||||||||
| V’(C4.C3) | 1.79 | 1.86 | 1.87 | ||||||||||||||||||||||||||
| V(C5.C6) | 1.78 | 1.73 | 1.73 | 1.78 | 1.77 | 3.28 | 3.22 | 2.89 | 2.85 | 2.77 | 2.76 | 2.65 | 2.17 | 2.14 | 2.07 | 2.01 | |||||||||||||
| V’(C5.C6) | 1.78 | 1.79 | 1.79 | 1.70 | 1.61 | ||||||||||||||||||||||||
| V(O1.C6) | 0.81 | 1.22 | |||||||||||||||||||||||||||
| V(C4.C5) | 0.52 | 0.65 | 0.67 | 0.84 | 1.70 | 1.72 | 1.78 | 1.83 | |||||||||||||||||||||
| V(N2) | 0.05 | 0.08 | |||||||||||||||||||||||||||
| V(C3) | 0.52 | 0.56 | 0.57 | 0.55 | 0.49 | 0.37 | |||||||||||||||||||||||
| V’(C3) | 0.33 | 0.32 | 0.31 | 0.26 | 0.30 | ||||||||||||||||||||||||
| V(C4) | 0.10 | 0.09 | |||||||||||||||||||||||||||
| V(C5) | 0.36 | ||||||||||||||||||||||||||||
| V(C6) | 0.01 |
| Reaction | Solvent | Temperature [°C] | Time [h] | Yield [%] |
|---|---|---|---|---|
| 1a+2 | Chloroform | 60 | 24 | 22 |
| 1b+2 | Chloroform | 60 | 24 | 32 |
| 1c+2 | Chloroform | 0 | 24 | - |
| 1c+2 | Chloroform | 25 | 24 | trace |
| 1c+2 | Chloroform | 60 | 12 | 40 |
| 1c+2 | Chloroform | 60 | 24 | 58 |
| 1c+2 | Nitromethane | 60 | 24 | 52 |
| 1d+2 | Chloroform | 60 | 24 | 61 |
| 1e+2 | Chloroform | 60 | 24 | 60 |
| 1f+2 | Chloroform | 60 | 24 | 72 |
| 1g+2 | Chloroform | 60 | 24 | 69 |
Disclaimer/Publisher’s Note: The statements, opinions and data contained in all publications are solely those of the individual author(s) and contributor(s) and not of MDPI and/or the editor(s). MDPI and/or the editor(s) disclaim responsibility for any injury to people or property resulting from any ideas, methods, instructions or products referred to in the content. |
© 2023 by the authors. Licensee MDPI, Basel, Switzerland. This article is an open access article distributed under the terms and conditions of the Creative Commons Attribution (CC BY) license (https://creativecommons.org/licenses/by/4.0/).
Share and Cite
Woliński, P.; Kącka-Zych, A.; Wróblewska, A.; Wielgus, E.; Dolot, R.; Jasiński, R. Fully Selective Synthesis of Spirocyclic-1,2-oxazine N-Oxides via Non-Catalysed Hetero Diels-Alder Reactions with the Participation of Cyanofunctionalysed Conjugated Nitroalkenes. Molecules 2023, 28, 4586. https://doi.org/10.3390/molecules28124586
Woliński P, Kącka-Zych A, Wróblewska A, Wielgus E, Dolot R, Jasiński R. Fully Selective Synthesis of Spirocyclic-1,2-oxazine N-Oxides via Non-Catalysed Hetero Diels-Alder Reactions with the Participation of Cyanofunctionalysed Conjugated Nitroalkenes. Molecules. 2023; 28(12):4586. https://doi.org/10.3390/molecules28124586
Chicago/Turabian StyleWoliński, Przemysław, Agnieszka Kącka-Zych, Aneta Wróblewska, Ewelina Wielgus, Rafał Dolot, and Radomir Jasiński. 2023. "Fully Selective Synthesis of Spirocyclic-1,2-oxazine N-Oxides via Non-Catalysed Hetero Diels-Alder Reactions with the Participation of Cyanofunctionalysed Conjugated Nitroalkenes" Molecules 28, no. 12: 4586. https://doi.org/10.3390/molecules28124586
APA StyleWoliński, P., Kącka-Zych, A., Wróblewska, A., Wielgus, E., Dolot, R., & Jasiński, R. (2023). Fully Selective Synthesis of Spirocyclic-1,2-oxazine N-Oxides via Non-Catalysed Hetero Diels-Alder Reactions with the Participation of Cyanofunctionalysed Conjugated Nitroalkenes. Molecules, 28(12), 4586. https://doi.org/10.3390/molecules28124586


