Abstract
Although diaryl tellurides are parent organotellurium compounds, their synthesis methods, especially for unsymmetrical ones, are limited. This may be due to the instability of diaryl tellurides and their synthesis intermediates under reaction conditions. Radical reactions are known to exhibit excellent functional group selectivity; therefore, we focused on a bimolecular homolytic substitution (SH2) reaction between the aryl radical and diaryl ditelluride. Aryl radicals are generated from arylhydrazines in air and captured by diaryl ditellurides, resulting in a selective formation of unsymmetrical diaryl tellurides with high yields. The electronic effects of the substituents on both arylhydrazines and diaryl ditellurides on the SH2 reaction of tellurium are also discussed in detail.
1. Introduction
In heteroatom chemistry, the formation of carbon–heteroatom bonds is an important fundamental reaction, and a series of transition-metal-catalyzed coupling reactions between aryl compounds and heteroatoms have been widely used for the construction of carbon–heteroatom bonds [1,2,3,4]. In recent years, however, higher purity heteroatom compounds that are used as functional molecules and pharmaceuticals have been in high demand, as there is growing concern that residual metals in the products may cause functional degradation and adverse effects on the environment and human health. Hence, the development of metal-free methods for carbon–heteroatom bond formation is strongly desired. To design such methods, we focused on bimolecular homolytic substitution (SH2) reactions between aryl radicals and interelement compounds bearing a heteroatom–heteroatom single bond. The concept was as follows: (1) aryl radicals were generated from arylhydrazines or triarylbismuthines using air and/or sunlight; (2) aryl radicals were smoothly captured by interelement compounds based on the characteristic features of individual heteroatom–heteroatom single bonds; and (3) the high tolerance of the radical reaction to various functional groups and solvents was advantageously utilized in developing a versatile method for forming carbon–heteroatom bonds.
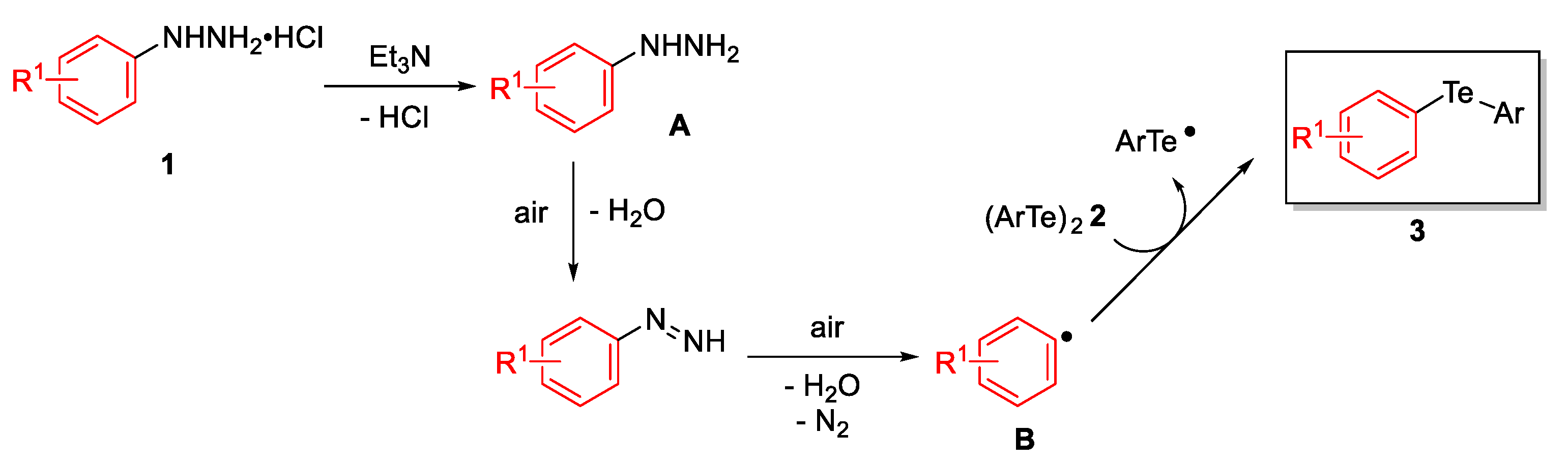
We recently developed a series of carbon–heteroatom bond formation methods, as shown in Scheme 1. Aryl radicals generated in air by the oxidation of arylhydrazine hydrochlorides or photoirradiation of triarylbismuthines were successfully trapped with I2 or BBr3 in dimethyl sulfoxide (DMSO) to give the corresponding aryl halides with high yields (Scheme 1a,b) [5,6]. This system was also applicable for the formation of unsymmetrical sulfides and selenides by trapping aryl radicals with (R–X)2 (X = S, Se) (Scheme 1c) [7,8,9,10]. In addition, we recently reported the preliminary results regarding the trapping of aryl radicals with diaryl ditellurides (ArTe)2 [11]. It has been found that the SH2 reaction with aryl radicals (Ar’•) on tellurium can produce diaryl tellurides (Ar’–Te–Ar). Interestingly, the formed Ar’–Te–Ar can further react with another aryl radical, Ar”•, under certain conditions to yield unsymmetrical diaryl tellurides (Ar’–Te–Ar”) (Scheme 1d). Such a radical substitution reaction was not observed in sulfide or selenide synthesis, and this reaction was considered to be characteristic of tellurium [12,13], which has a low binding energy for the carbon–tellurium bond. However, the scope and synthetic utility of this SH2 reaction between diaryl ditellurides and aryl radicals have not yet been elucidated.
Scheme 1.
Metal-free formation of carbon–heteroatom bonds via homolytic substitution reactions between aryl radicals and interelement compounds: Synthesis of (a) aryl iodides, (b) aryl bromides, (c) unsymmetrical sulfides and selenides, and (d) unsymmetrical diaryl tellurides (this work).
Hence, in this study, we report the scope of the substrate application of the SH2 reaction between aryl radicals and diaryl ditellurides in detail.
2. Results and Discussion
Diaryl tellurides have attracted the attention of many researchers because of their utilization in synthetic intermediates (e.g., tellurium-mediated living radical polymerization [14,15] and catalysts for photooxidation [16,17,18]). Furthermore, their fluorescence properties and synthetic application have been actively studied [19,20,21,22,23,24,25]. Although diaryl tellurides are parent organotellurium compounds [26], their methods of synthesis, especially for unsymmetrical ones, are limited. For the synthesis of diaryl tellurides, transition-metal-catalyzed methods with diaryl ditellurides have been reported in recent decades [27,28,29,30,31,32,33,34,35,36,37,38,39]. Most of them must be carried out in an inert gas atmosphere using the Schlenk technique. In addition, to use the products as functional materials, it was necessary to remove the metals. Therefore, the development of a metal-free, simple, and efficient method for the selective synthesis of unsymmetrical and easily manipulated diaryl tellurides was strongly needed.
Since radical reactions are known to exhibit excellent functional group tolerance, the SH2 reaction between aryl radicals and diaryl ditellurides will provide a wide range of unsymmetrical and symmetrical diaryl tellurides with high product selectivity. In our system, aryl radicals are generated from arylhydrazines in air and captured by diaryl ditellurides, and the procedure is simple, without the use of any transition-metal reagents. Thus, clarifying the electronic effects of the substituents on both arylhydrazines and diaryl ditellurides on the SH2 reaction on tellurium will lead to the facile synthesis of unsymmetrical diaryl tellurides, making it a versatile alternative to conventional methods.
Considering our previous study on the SH2 reaction of aryl radicals on tellurium [11], optimization of the reaction conditions for the synthesis of unsymmetrical tellurides was conducted using 4-nitrophenylhydrazine hydrochloride 1a and diphenyl ditelluride 2a as the model substrates and Et3N as the base for the deprotonation of 1a, respectively (Table 1). When the reaction was conducted in MeOH, the corresponding unsymmetrical telluride, namely, 4-nitrophenyl phenyl telluride 3a, was obtained in a 52% yield (Entry 1). Extending the reaction time to 48 h did not improve the yield of 3a (Entry 2). The optimization of the solvent revealed that benzene was the most effective (Entries 3–8). Increasing the loading of 1a gradually improved the yield of 3a, and the use of 1.0 mmol of 1a resulted in a 74% yield of 3a (Entries 9–10). The concentration of the substrates in benzene was also investigated in detail, and 3.0 mL of the solvent yielded the best results (Entry 8 vs. Entries 11–12). When 2,2,6,6-tetramethylpiperidine-N-oxyl (TEMPO) was added as a radical scavenger, the yield of 3a dramatically decreased compared with the optimal condition, which strongly indicated that the reaction proceeded through a free-radical pathway (Entry 10 vs. Entry 13).
Table 1.
The optimization of reaction conditions for the synthesis of unsymmetrical tellurides 3a.
Based on the optimal conditions (Entry 10 in Table 1), the reaction scope for the synthesis of unsymmetrical diaryl tellurides was examined using arylhydrazine hydrochlorides and diaryl ditellurides; the results are summarized in Table 2. Arylhydrazine hydrochlorides with p-nitro, p-cyano, and p-trifluoromethyl groups were successfully transformed into the corresponding unsymmetrical diaryl tellurides in moderate-to-good yields using (PhTe)2 as the substrate (3a–3c). o-Nitro, o-methoxy, and m-methoxyphenylhydrazine hydrochlorides were tolerated under the reaction conditions, resulting in the corresponding diaryl tellurides in 42–58% yields, respectively (3d–3f). When o-methoxyphenylhydrazine hydrochloride 1e was used as the substrate, bis(2-methoxyphenyl) telluride (3k, see Scheme 3a) was obtained in a 9% yield as the byproduct, owing to the SH2 reaction between the o-methoxyphenyl radical (from 1e) and diaryl telluride 3e (the byproduct 3k could easily be removed from the desired unsymmetrical telluride 3e by preparative TLC). The present unsymmetrical diaryl telluride synthesis could be applied to the synthesis of symmetrical diaryl tellurides, and 3g and 3h were thus obtained with high yields. Concerning the substituents of diaryl ditellurides 2, either electron-donating groups or halogen groups at the para-positions of the aromatic rings were tolerated, and the corresponding unsymmetrical tellurides were obtained in high yields, using 1a as the aryl radical source (3i and 3j). As shown in Table 2, this diaryl telluride synthesis method can be applied to a wide range of arylhydrazine hydrochlorides 1 and diaryl ditellurides 2; therefore, it enables the practical synthesis of unsymmetrical and symmetrical diaryl tellurides 3. Considering the limited examples of unsymmetrical synthesis methods [30,40,41,42], it is noteworthy that unsymmetrical tellurides 3 were selectively obtained by the present SH2 reaction.
Table 2.
Substrate scope for the synthesis of unsymmetrical tellurides 3 from arylhydrazine hydrochlorides 1 and diaryl ditellurides 2 under air.
Based on the control experiment (Entry 13 in Table 1) and our previous studies, possible reaction pathways for the formation of unsymmetrical diaryl telluride 3 from arylhydrazine hydrochlorides and diaryl ditellurides were proposed. Initially, the deprotonation of 1 occurred with Et3N to form free arylhydrazines A that were oxidized in air to form aryl radicals B. The generated aryl radicals B were trapped with diaryl ditellurides, which have stronger carbon-radical-trapping abilities than disulfides and diselenides, and the corresponding unsymmetrical diaryl tellurides 3 were formed via bimolecular homolytic substitution on tellurium [43,44,45,46,47] (Scheme 2).
Scheme 2.
Proposed reaction pathways for the formation of unsymmetrical tellurides 3.
Interestingly, in the SH2 reaction using arylhydrazine hydrochloride with an electron-donating group and diphenyl telluride, unsymmetrical telluride (cf. synthesis of unsymmetrical tellurides by ionic mechanism: [48,49]) is also formed in preference to symmetrical telluride (Scheme 3). Focusing on the difference in the electron-donating properties of each substituent, the yield of the byproduct, symmetrical telluride, was lower for the methoxy group than for the methyl group, and the unsymmetrical telluride was selectively obtained when 1e was used as the aryl source (Scheme 3a vs. Scheme 3b,c). This difference could be explained by the stability of the radical species generated. As shown in Scheme 3d, unsymmetrical diaryl telluride A (generated in situ from arylhydrazine and diaryl ditelluride) might react with another aryl radical to form B. Radical species B is known to be destabilized by an electron-donating group, resulting in a shift of equilibrium between A and B to the left. When 2-methoxyphenylhydrazine hydrochloride 1e, which has a stronger electron-donating property than the methyl group, is used, the formation of symmetrical telluride along with the removal of phenyl radical from B is expected to proceed much slower than the case of using 1h or 1i as the aryl radical sources.
Scheme 3.
Relative reactivities of arylhydrazine hydrochlorides with electron-donating groups (EDG; (a) o-methoxy, (b) p-methyl, and (c) o-methyl) toward in situ generated (d) (PhTe)2 and diaryl tellurides.
3. Materials and Methods
3.1. General Information
Unless otherwise stated, all starting materials were purchased from commercial sources and used without further purification. Ditellurides 2b and 2c were synthesized by the previously reported method [50]. All solvents were distilled before use. 1H NMR spectra were recorded in CDCl3 using the JEOL JNM-ECX400 (400 MHz) FT NMR, JEOL JNM-ECS400 (400 MHz) FT NMR (Tokyo, Japan), and the Bruker BioSpin Ascend 400 spectrometer (400 MHz) (Tokyo, Japan) with Me4Si as the internal standard. 13C{1H} NMR spectra were recorded in CDCl3 using the JEOL JNM-ECX400 (100 MHz) FT NMR, JEOL JNM-ECS400 (100 MHz) FT NMR, and the Bruker BioSpin Ascend 400 spectrometer (100 MHz). The characterization data of compounds are shown as follows (1H and 13C{1H} NMR spectra are included in the Supplementary Materials).
3.2. General Procedure for Synthesis of Diaryl Tellurides from Arylhydrazine Hydrochlorides and Diaryl Ditellurides under Air
Arylhydrazine hydrochloride 1 (1.0 mmol), diaryl ditellurides 2 (0.25 mmol), Et3N (3.0 eq. vs. 1), and benzene (3.0 mL) were added to a 30 mL flask equipped with a stir bar. The resulting solution was stirred at 60 °C in open air for 24 h. After the reaction was complete, the solvent was removed under reduced pressure. The residue was dissolved in AcOMe (10 mL) and filtered using silica gel. The filtrate was concentrated under reduced pressure, and the resulting residue was purified by preparative thin-layer chromatography (eluent: CH2Cl2/iso-hexane) to afford the corresponding unsymmetrical or symmetrical diaryl tellurides 3.
(4-Nitrophenyl)(phenyl)tellane (3a) (CAS: 79424-71-8) [35]. Yellow oil, 107.4 mg, 66%; 1H NMR (400 MHz, CDCl3): δ 7.94 (d, J = 8.2 Hz, 2H), 7.85 (d, J = 7.2 Hz, 2H), 7.55 (d, J = 8.6 Hz, 2H), 7.45–7.41 (m, 1H), 7.32 (t, J = 7.7 Hz, 2H); 13C{1H} NMR (100 MHz, CDCl3): δ 147.2, 140.4, 135.3, 130.3, 129.5, 128.2, 123.8, 112.8.
4-(Phenyltellanyl)benzonitrile (3b) (CAS: 105851-02-3) [33]. Yellow oil, 63.9 mg, 42%; 1H NMR (400 MHz, CDCl3): δ 7.85–7.82 (m, 2H), 7.57–7.54 (m, 2H), 7.44–7.37 (m, 3H), 7.34–7.29 (m, 2H); 13C{1H} NMR (100 MHz, CDCl3): δ 140.2, 135.8, 132.3, 130.2, 129.3, 124.5, 118.8, 112.9, 110.7.
(2-Nitrophenyl)(phenyl)tellane (3d) (CAS: 79424-69-4) [31]. Red oil, 66.7 mg, 41%; 1H NMR (400 MHz, CDCl3): δ 8.41 (d, J = 7.8 Hz, 1H), 7.97 (dd, J = 7.9, 1.1 Hz, 2H), 7.54–7.50 (m, 1H), 7.41 (t, J = 7.4 Hz, 2H), 7.34–7.30 (m, 1H), 7.27–7.21 (m, 2H); 13C{1H} NMR (100 MHz, CDCl3): δ 147.7, 141.4, 134.4, 133.5, 130.2, 129.7, 126.8, 126.3, 123.0, 118.2.
(2-Methoxyphenyl)(phenyl)tellane (3e) (CAS: 105152-01-0) [36]. Yellow oil, 62.4 mg, 40%; 1H NMR (400 MHz, CDCl3): δ 7.90 (d, J = 6.9 Hz, 2H), 7.43–7.38 (m, 1H), 7.30 (t, J = 7.6 Hz, 2H), 7.20–7.15 (m, 1H), 6.94 (dd, J = 7.6, 1.6 Hz, 1H), 6.81–6.79 (m, 1H), 6.76–6.72 (m, 1H), 3.88 (s, 3H); 13C{1H} NMR (100 MHz, CDCl3): δ 158.2, 141.3, 133.6, 129.7, 128.7, 128.2, 122.5, 112.1, 109.7, 107.8, 56.0.
(3-Methoxyphenyl)(phenyl)tellane (3f) (CAS: 1200113-82-1) [39]. Brown oil, 58.5 mg, 36%; 1H NMR (400 MHz, CDCl3): δ 7.73–7.70 (m, 2H), 7.32–7.20 (m, 5H), 7.12 (t, J = 8.0 Hz, 1H), 6.83–6.80 (m, 1H), 3.75 (s, 3H); 13C{1H} NMR (100 MHz, CDCl3) δ 160.0, 138.3, 130.3, 130.2, 129.6, 128.0, 123.1, 115.5, 114.6, 113.9, 55.3.
Diphenyltellane (3g) (CAS: 1202-36-4) [11]. Yellow oil, 122.6 mg, 87%; 1H NMR (400 MHz, CDCl3): δ 7.69 (m, 4H), 7.26 (m, 2H), 7.19 (m, 4H); 13C{1H} NMR (100 MHz, CDCl3): δ 138.0, 129.6, 127.9, 114.7.
Di-p-tolyltellane (3h) (CAS: 834-15-1) [42]. Beige solid, 115.8 mg, 75%; 1H NMR (400 MHz, CDCl3): δ 7.57 (d, J = 8.1 Hz, 4H), 7.01 (d, J = 7.6 Hz, 4H), 2.31 (s, 6H); 13C{1H} NMR (100 MHz, CDCl3): δ 138.1, 137.8, 130.4, 110.8, 21.3.
(4-Nitrophenyl)(p-tolyl)tellane (3i). Yellow solid, mp 65.0–66.0 °C, 127.3 mg, 75%; 1H NMR (400 MHz, CDCl3): δ 7.94 (d, J = 8.8 Hz, 2H), 7.76 (d, J = 8.0 Hz, 2H), 7.53 (d, J = 8.8 Hz, 2H), 7.15 (d, J = 7.7 Hz, 2H), 2.40 (s, 3H); 13C{1H} NMR (100 MHz, CDCl3): δ 147.1, 140.7, 139.8, 134.8, 131.1, 128.6, 123.7, 108.6, 21.4; HRMS (EI) m/z calcd for C13H11NO2Te [M]+: 342.9852, found: 342.9844.
(4-Chlorophenyl)(4-nitrophenyl)tellane (3j) (CAS: 2119610-21-6) [35]. Yellow solid, 127.7 mg, 71%; 1H NMR (400 MHz, CDCl3): δ 7.98 (m, 2H), 7.77 (m, 2H), 7.59 (m, 2H), 7.29 (m, 2H); 13C{1H} NMR (100 MHz, CDCl3): δ 147.4, 141.6, 136.1, 135.5, 130.5, 127.1, 123.9, 110.2.
4. Conclusions
We reported a novel transition-metal-free synthesis of unsymmetrical diaryl tellurides via the SH2 reaction of aryl radicals (generated from arylhydrazine hydrochlorides with bases in air) on tellurium (i.e., diaryl ditellurides or diaryl tellurides). This system could be applied to a broad substrate scope of arylhydrazines and ditellurides to produce the corresponding unsymmetrical and symmetrical diaryl tellurides in moderate to excellent yields. The electronic effects of the substituents on both arylhydrazines and diaryl ditellurides on the SH2 reaction on tellurium were also discussed in detail, which led to a novel strategy for the synthesis of unsymmetrical diaryl tellurides based on the difference in the reactivity of aryl radicals (from arylhydrazines) in the SH2 reaction on tellurium. This study has revealed a new aspect of heteroatom chemistry toward the reactivities of aryl radicals, and provides a new synthetic strategy for carbon–heteroatom bond formation for utilization in pharmaceutical and material sciences.
Supplementary Materials
The following are available online, Copies of 1H and 13C{1H} NMR spectra.
Author Contributions
Investigation, Y.Y., F.S., Q.C., S.K., A.N., and A.O.; formal analysis, Y.Y., F.S., Q.C., and S.K.; resources, S.K., A.N., and A.O.; writing—original draft preparation, Y.Y., S.K., and A.O.; writing—review and editing, Y.Y., S.K., A.N., and A.O.; funding acquisition, S.K., A.N., and A.O. All authors have read and agreed to the published version of the manuscript.
Funding
This work was supported by JSPS KAKENHI Grant Numbers JP21H01977, JP19H02791, and JP19H02756, the Ministry of Education, Culture, Sports, Science and Technology, Japan, and also supported by the Nanotechnology Platform Program of the Nara Institute of Science and Technology (NAIST).
Institutional Review Board Statement
Not applicable.
Informed Consent Statement
Not applicable.
Data Availability Statement
The data presented in this study are available in the article and in its Supplementary Materials.
Conflicts of Interest
The authors declare no conflict of interest.
Sample Availability
Samples of the compounds are not available from the authors.
References
- Alonso, F.; Beletskaya, I.P.; Yus, M. Transition-Metal-Catalyzed Addition of Heteroatom−Hydrogen Bonds to Alkynes. Chem. Rev. 2004, 104, 3079–3160. [Google Scholar] [CrossRef] [PubMed]
- Beletskaya, I.; Moberg, C. Element−Element Additions to Unsaturated Carbon−Carbon Bonds Catalyzed by Transition Metal Complexes. Chem. Rev. 2006, 106, 2320–2354. [Google Scholar] [CrossRef] [PubMed]
- Beletskaya, I.P.; Ananikov, V.P. Transition-Metal-Catalyzed C−S, C−Se, and C−Te Bond Formation via Cross-Coupling and Atom-Economic Addition Reactions. Chem. Rev. 2011, 111, 1596–1636. [Google Scholar] [CrossRef] [PubMed]
- Cavedon, C.; Seeberger, P.H.; Pieber, B. Photochemical Strategies for Carbon–Heteroatom Bond Formation. Eur. J. Org. Chem. 2020, 2020, 1379–1392. [Google Scholar] [CrossRef] [Green Version]
- Dong, C.-p.; Nakamura, K.; Taniguchi, T.; Mita, S.; Kodama, S.; Kawaguchi, S.-i.; Nomoto, A.; Ogawa, A.; Mizuno, T. Synthesis of Aryl Iodides from Arylhydrazines and Iodine. ACS Omega 2018, 3, 9814–9821. [Google Scholar] [CrossRef]
- Tran, D.P.; Nomoto, A.; Mita, S.; Dong, C.-p.; Kodama, S.; Mizuno, T.; Ogawa, A. Metal- and base-free synthesis of aryl bromides from arylhydrazines. Tetrahedron Lett. 2020, 61, 151959. [Google Scholar] [CrossRef]
- Kobiki, Y.; Kawaguchi, S.-i.; Ohe, T.; Ogawa, A. Photoinduced synthesis of unsymmetrical diaryl selenides from triarylbismuthines and diaryl diselenides. Beilstein J. Org. Chem. 2013, 9, 1141–1147. [Google Scholar] [CrossRef] [Green Version]
- Taniguchi, T.; Naka, T.; Imoto, M.; Takeda, M.; Nakai, T.; Mihara, M.; Mizuno, T.; Nomoto, A.; Ogawa, A. Transition-Metal-Free and Oxidant-Free Cross-Coupling of Arylhydrazines with Disulfides: Base-Promoted Synthesis of Unsymmetrical Aryl Sulfides. J. Org. Chem. 2017, 82, 6647–6655. [Google Scholar] [CrossRef]
- Taniguchi, T.; Murata, A.; Takeda, M.; Mizuno, T.; Nomoto, A.; Ogawa, A. Atom-Economical Synthesis of Unsymmetrical Diaryl Selenides from Arylhydrazines and Diaryl Diselenides. Eur. J. Org. Chem. 2017, 2017, 4928–4934. [Google Scholar] [CrossRef]
- Hung, V.T.; Tran, C.C.; Yamamoto, Y.; Kodama, S.; Nomoto, A.; Ogawa, A. Clarification on the Reactivity of Diaryl Diselenides toward Hexacyclohexyldilead under Light. Molecules 2021, 26, 6265. [Google Scholar] [CrossRef]
- Yamamoto, Y.; Sato, F.; Kodama, S.; Nomoto, A.; Ogawa, A. Reaction of arylhydrazines with diaryl ditellurides in the air: Insight into bimolecular homolytic substitution on tellurium via Aryl–Te bond cleavage. Heteroat. Chem. 2018, 29, e21471. [Google Scholar] [CrossRef]
- Chivers, T.; Laitinen, R.S. Tellurium: A maverick among the chalcogens. Chem. Soc. Rev. 2015, 44, 1725–1739. [Google Scholar] [CrossRef] [PubMed]
- Minoura, M.; Sagami, T.; Akiba, K.; Modrakowski, C.; Sudau, A.; Seppelt, K.; Wallenhauer, S. Hexaaryltellurium, the First Neutral Compounds Comprising Hexaarylated Elements. Angew. Chem. Int. Ed. 1996, 35, 2660–2662. [Google Scholar] [CrossRef]
- Yamago, S.; Iida, K.; Yoshida, J.-i. Organotellurium Compounds as Novel Initiators for Controlled/Living Radical Polymerizations. Synthesis of Functionalized Polystyrenes and End-Group Modifications. J. Am. Chem. Soc. 2002, 124, 2874–2875. [Google Scholar] [CrossRef]
- Yamago, S. Precision Polymer Synthesis by Degenerative Transfer Controlled/Living Radical Polymerization Using Organotellurium, Organostibine, and Organobismuthine Chain-Transfer Agents. Chem. Rev. 2009, 109, 5051–5068. [Google Scholar] [CrossRef]
- Oba, M.; Okada, Y.; Nishiyama, K.; Ando, W. Aerobic Photooxidation of Phosphite Esters Using Diorganotelluride Catalysts. Org. Lett. 2009, 11, 1879–1881. [Google Scholar] [CrossRef]
- Okada, Y.; Oba, M.; Arai, A.; Tanaka, K.; Nishiyama, K.; Ando, W. Diorganotelluride-Catalyzed Oxidation of Silanes to Silanols under Atmospheric Oxygen. Inorg. Chem. 2010, 49, 383–385. [Google Scholar] [CrossRef]
- Oba, M.; Okada, Y.; Endo, M.; Tanaka, K.; Nishiyama, K.; Shimada, S.; Ando, W. Formation of Diaryl Telluroxides and Tellurones by Photosensitized Oxygenation of Diaryl Tellurides. Inorg. Chem. 2010, 49, 10680–10686. [Google Scholar] [CrossRef]
- Han, L.B.; Ishihara, K.; Kambe, N.; Ogawa, A.; Ryu, I.; Sonoda, N. Carbotelluration of alkynes. J. Am. Chem. Soc. 1992, 114, 7591–7592. [Google Scholar] [CrossRef]
- Fujiwara, S.-i.; Shimizu, Y.; Shin-ike, T.; Kambe, N. Photoinduced Group Transfer Radical Addition of Carbamotelluroates to Acetylenes. Org. Lett. 2001, 3, 2085–2088. [Google Scholar] [CrossRef]
- Petragnani, N.; Stefani, H.A. Advances in organic tellurium chemistry. Tetrahedron 2005, 61, 1613–1679. [Google Scholar] [CrossRef]
- Petragnani, N.; Stefani, H.A. Tellurium in Organic Synthesis, Second Updated and Enlarged; Academic Press: Amsterdam, The Netherlands, 2007. [Google Scholar]
- Stefani, H.A.; Pena, J.M.; Manarin, F.; Ando, R.A.; Leal, D.M.; Petragnani, N. Negishi cross-coupling of organotellurium compounds: Synthesis of biaryls, aryl-, and diaryl acetylenes. Tetrahedron Lett. 2011, 52, 4398–4401. [Google Scholar] [CrossRef]
- Zhang, S.; Kolluru, L.; Vedula, S.K.; Whippie, D.; Jin, J. Carbon-carbon bond forming reactions via Pd-catalyzed detellurative homocoupling of diorganyl tellurides. Tetrahedron Lett. 2017, 58, 3594–3597. [Google Scholar] [CrossRef]
- Uemura, S.; Fukuzawa, S.-i. Ni(II)- and Co(II)-phosphine complex catalyzed carbon–carbon bond formation between organic tellurides and grignard reagents. Tetrahedron Lett. 1982, 23, 1181–1184. [Google Scholar] [CrossRef]
- Nomoto, A.; Ogawa, A. Organic Selenium and Tellurium Compounds; Wiley-VCH: Weinheim, Germany, 2012; Volume 3, p. 623. [Google Scholar]
- Wang, L.; Wang, M.; Huang, F. A Simple Copper Salt-Catalyzed Synthesis of Unsymmetrical Diaryl Selenides and Tellurides from Arylboronic Acids with Diphenyl Diselenide and Ditelluride. Synlett 2005, 13, 2007–2010. [Google Scholar] [CrossRef]
- Kumar, S.; Engman, L. Microwave-Assisted Copper-Catalyzed Preparation of Diaryl Chalcogenides. J. Org. Chem. 2006, 71, 5400–5403. [Google Scholar] [CrossRef]
- Taniguchi, N. Convenient Synthesis of Unsymmetrical Organochalcogenides Using Organoboronic Acids with Dichalcogenides via Cleavage of the S−S, Se−Se, or Te−Te Bond by a Copper Catalyst. J. Org. Chem. 2007, 72, 1241–1245. [Google Scholar] [CrossRef]
- Alves, D.; Pena, J.M.; Vieira, A.S.; Botteselle, G.V.; Guadagnin, R.C.; Stefani, H.A. Copper Catalyzed Cross-Coupling Reactions of Diaryl Ditellurides with Potassium Aryltrifluoroborate Salts. J. Braz. Chem. Soc. 2009, 20, 988–992. [Google Scholar] [CrossRef] [Green Version]
- Kundu, D.; Ahammed, S.; Ranu, B.C. Microwave-assisted reaction of aryl diazonium fluoroborate and diaryl dichalcogenides in dimethyl carbonate: A general procedure for the synthesis of unsymmetrical diaryl chalcogenides. Green Chem. 2012, 14, 2024–2030. [Google Scholar] [CrossRef]
- Kundu, D.; Mukherjee, N.; Ranu, B.C. A general and green procedure for the synthesis of organochalcogenides by CuFe2O4 nanoparticle catalysed coupling of organoboronic acids and dichalcogenides in PEG-400. RSC Adv. 2013, 3, 117–125. [Google Scholar] [CrossRef]
- Kumar, A.; Kumar, S. A convenient and efficient copper-catalyzed synthesis of unsymmetrical and symmetrical diaryl chalcogenides from arylboronic acids in ethanol at room temperature. Tetrahedron 2014, 70, 1763–1772. [Google Scholar] [CrossRef]
- Roy, S.; Chatterjee, T.; Islam, S.M. Solvent selective phenyl selenylation and phenyl tellurylation of aryl boronic acids catalyzed by Cu(II) grafted functionalized polystyrene. Tetrahedron Lett. 2015, 56, 779–783. [Google Scholar] [CrossRef]
- Panja, S.; Maity, P.; Kundu, D.; Ranu, B.C. Iron(0) nanoparticles mediated direct conversion of aryl/heteroaryl amines to chalcogenides via in situ diazotization. Tetrahedron Lett. 2017, 58, 3441–3445. [Google Scholar] [CrossRef]
- Goldani, B.; Sacramento, M.d.; Lenardão, E.J.; Schumacher, R.F.; Barcellos, T.; Alves, D. Synthesis of symmetrical and unsymmetrical tellurides via silver catalysis. New. J. Chem. 2018, 42, 15603–15609. [Google Scholar] [CrossRef]
- Koguchi, S.; Shibuya, Y.; Igarashi, Y.; Takemura, H. C–Te Cross-Coupling of Diaryl Ditellurides with Arylboronic Acids by Using Copper(I) Thiophene-2-carboxylate under Mild Conditions. Synlett 2019, 30, 99–103. [Google Scholar] [CrossRef] [Green Version]
- Wang, Y.; Deng, J.; Chen, J.; Cao, F.; Hou, Y.; Yang, Y.; Deng, X.; Yang, J.; Wu, L.; Shao, X.; et al. Dechalcogenization of Aryl Dichalcogenides to Synthesize Aryl Chalcogenides via Copper Catalysis. ACS Catal. 2020, 10, 2707–2712. [Google Scholar] [CrossRef]
- Ren, K.; Wang, M.; Wang, L. Lewis acid InBr3-catalyzed arylation of diorgano diselenides and ditellurides with arylboronic acids. Org. Biomol. Chem. 2009, 7, 4858–4861. [Google Scholar] [CrossRef]
- Arnauld, T.; Barton, D.H.R.; Normant, J.-F. New and Facile Synthesis of Symmetrical and Unsymmetrical Diaryl Chalcogenides Using Trivalent Organobismuth Derivatives. J. Org. Chem. 1999, 64, 3722–3725. [Google Scholar] [CrossRef]
- Engman, L.; Stern, D. Bis(phenylethynyl) telluride as a tellurium(II) equivalent. Synthesis of symmetrical and unsymmetrical diaryl tellurides. Organometallics 1993, 12, 1445–1448. [Google Scholar] [CrossRef]
- Sun, N.; Zheng, K.; Sun, P.; Chen, Y.; Jin, L.; Hu, B.; Shen, Z.; Hu, X. Trichloroisocyanuric Acid-Promoted Synthesis of Arylselenides and Aryltellurides from Diorganyl Dichalcogenides and Arylboronic Acids at Ambient Temperature. Adv. Synth. Catal. 2021, 363, 3577–3584. [Google Scholar] [CrossRef]
- Schiesser, C.H.; Smart, B.A. An Ab Initio Study of Some Free-Radical Homolytic Substitution Reactions at Sulfur, Selenium, and Tellurium. Tetrahedron 1995, 51, 6051–6060. [Google Scholar] [CrossRef]
- Ryu, I.; Okuda, T.; Nagahara, K.; Kambe, N.; Komatsu, M.; Sonoda, N. Intramolecular Homolytic Substitution Behavior of Acyl Radicals at Sulfur: New Carbonylative Access to γ-Thiolactones. J. Org. Chem. 1997, 62, 7550–7551. [Google Scholar] [CrossRef]
- Schiesser, C.H.; Wild, L.M. Intramolecular Homolytic Substitution Chemistry: An Ab Initio Study of 1,n-Chalcogenyl Group Transfer and Cyclization Reactions in Some ω-Chalcogenylalkyl Radicals. J. Org. Chem. 1997, 62, 7550–7551. [Google Scholar] [CrossRef]
- Horvat, S.M.; Schiesser, C.H. An ab initio and DFT Study of homolytic substitution reactions of acyl radicals at sulfur, selenium, and tellurium. New J. Chem. 2010, 34, 1692–1699. [Google Scholar] [CrossRef]
- Horvat, S.M.; Schiesser, C.H. An ab initio and DFT Study of homolytic substitution reactions by oxyacyl radicals at sulfur, selenium, and tellurium. Tetrahedron 2012, 68, 10482–10488. [Google Scholar] [CrossRef]
- Potapov, V.A.; Amosova, S.V.; Petrov, P.A. Aromatic substitution and dealkylation by alkanetellurolate anions. Tetrahedron Lett. 1992, 33, 6515–6518. [Google Scholar] [CrossRef]
- Musalova, M.V.; Musalov, M.V.; Potapov, V.A.; Amosova, S.V. Selective synthesis of allenyl aryl tellurides from diaryl ditellurides and propargyl bromide. Russ. J. Org. Chem. 2012, 48, 1569–1570. [Google Scholar] [CrossRef]
- Haller, W.S.; Irgolic, K.J. Diaryl Ditellurides from grignard reagents and elemental tellurium. J. Organomet. Chem. 1972, 38, 97–103. [Google Scholar] [CrossRef]
Publisher’s Note: MDPI stays neutral with regard to jurisdictional claims in published maps and institutional affiliations. |
© 2022 by the authors. Licensee MDPI, Basel, Switzerland. This article is an open access article distributed under the terms and conditions of the Creative Commons Attribution (CC BY) license (https://creativecommons.org/licenses/by/4.0/).


































