Design, Synthesis, Molecular Docking, and Evaluation Antioxidant and Antimicrobial Activities for Novel 3-Phenylimidazolidin-4-One and 2-Aminothiazol-4-One Derivatives
Abstract
:1. Introduction
2. The Rationale of the Work
3. Result and Discussion
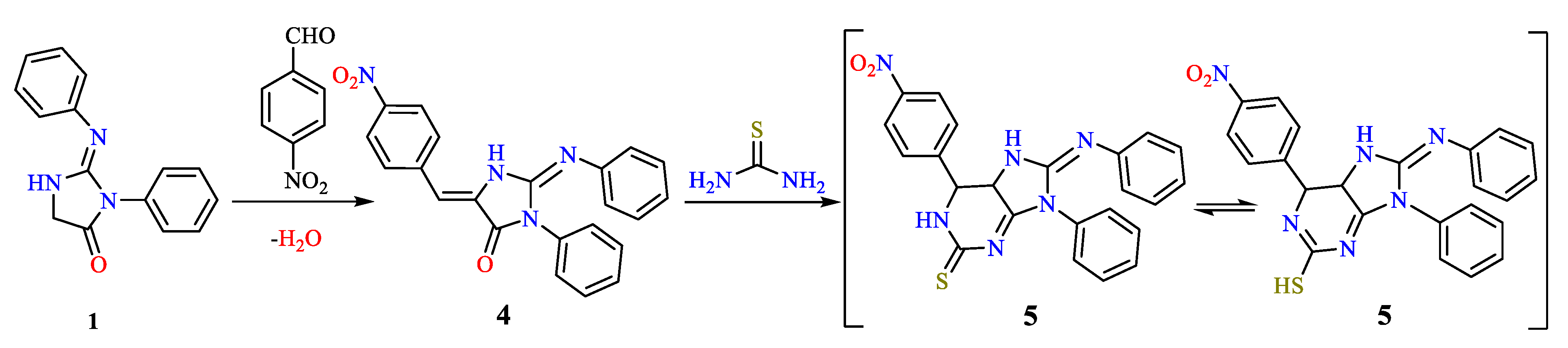
3.1. Chemistry
3.2. Biological Activity Studies
3.2.1. Antioxidant Evaluation
3.2.2. Antimicrobial Activity
3.3. Docking Studies
4. Conclusions
5. Experimental
5.1. Antioxidant Screening Assay (ABTS Method)
5.2. Antimicrobial Screening Assay:
5.3. Chemistry
- (E)-3-Phenyl-2-(phenylimino) imidazolidin-4-one (1)
- (E)-N2,3-Diphenylimidazolidine-2,4-diimine (2)
- (Z)-N5,4-Diphenyl-2H-imidazo [4,5-d] thiazole-2,5(4H)-diimine (3)
- (Z)-5-((Z)-4-Nitrobenzylidene)-3-phenyl-2-(phenylimino) imidazolidin-4-one (4)
- (Z)-6-(4-Nitrophenyl)-9-phenyl-8-(phenylimino)-5,7,8,9-tetrahydro-6H-purine-2-thiol (5)
- (Z)-2-Amino-5-(4-nitrobenzylidene) thiazol-4(5H)-one (7)
- (E)-2-Amino-5-((4-nitrophenyl) (phenylamino)methylene) thiazol-4(5H)-one (8)
- 3-(4-Nitrophenyl)-1-phenyl-3a,6a-dihydro-1H-pyrazolo[3,4-d] thiazol-5-amine (10)
- 5-((2-Amino-4-hydroxythiazol-5-yl) (4-nitrophenyl)methyl)-6-hydroxypyrimidine-2,4(1H,3H)-dione (11)
Supplementary Materials
Author Contributions
Funding
Institutional Review Board Statement
Informed Consent Statement
Data Availability Statement
Conflicts of Interest
Sample Availability
References
- Yet, L. 5.4-Five-Membered Ring Systems: With More than One N Atom. In Progress in Heterocyclic Chemistry; Gribble, G.W., Joule, J.A., Eds.; Elsevier: Amsterdam, The Netherlands, 2020; Volume 31, pp. 325–361. [Google Scholar]
- Ghorbani-Vaghei, R.; Izadkhah, V.; Mahmoodi, J.; Karamian, R.; Ahmadi Khoei, M. The synthesis of imidazoles and evaluation of their antioxidant and antifungal activities. Mon. Chem. Chem. Mon. 2018, 149, 1447–1452. [Google Scholar] [CrossRef]
- Suzuki, F.; Kuroda, T.; Tamura, T.; Sato, S.; Ohmori, K.; Ichikawa, S. New antiinflammatory agents. 2. 5-Phenyl-3H-imidazo[4,5-c][1,8]naphthyridin-4(5H)-ones: A new class of nonsteroidal antiinflammatory agents with potent activity like glucocorticoids. J. Med. Chem. 1992, 35, 2863–2870. [Google Scholar] [CrossRef] [PubMed]
- Dhingra, A.K.; Chopra, B.; Dass, R.; Mittal, S.K. Synthesis, antimicrobial and anti-inflammatory activities of some novel 5-substituted imidazolone analogs. Chin. Chem. Lett. 2016, 27, 707–710. [Google Scholar] [CrossRef]
- Sutoris, V. Biological activity of new benzothiazol derivates. Agrochemia (CSFR) 1990, 30, 15–19. [Google Scholar]
- de Santana, T.I.; de Oliveira Barbosa, M.; de Moraes Gomes, P.A.T.; da Cruz, A.C.N.; da Silva, T.G.; Leite, A.C.L. Synthesis, anticancer activity and mechanism of action of new thiazole derivatives. Eur. J. Med. Chem. 2018, 144, 874–886. [Google Scholar] [CrossRef] [PubMed]
- Shehab, W.S.; Mouneir, S.M. Design, synthesis, antimicrobial activity and anticancer screening of some new 1, 3-thiazolidin-4-ones derivatives. Eur. J. Chem. 2015, 6, 157–162. [Google Scholar] [CrossRef]
- Khatik, G.L.; Datusalia, A.K.; Ahsan, W.; Kaur, P.; Vyas, M.; Mittal, A.; Nayak, S.K. A retrospect study on thiazole derivatives as the potential antidiabetic agents in drug discovery and developments. Curr. Drug Discov. Technol. 2018, 15, 163–177. [Google Scholar] [CrossRef]
- Singh, I.P.; Gupta, S.; Kumar, S. Thiazole compounds as antiviral agents: An update. Med. Chem. 2020, 16, 4–23. [Google Scholar] [CrossRef]
- Ulbricht, T.L.V. Nucleic Acids. In Purines, Pyrimidines and Nucleotides; Ulbricht, T.L.V., Ed.; Pergamon: Oxford, UK, 1964; Chapter 5; pp. 64–73. [Google Scholar]
- Dale, N. Biological insights from the direct measurement of purine release. Biochem. Pharmacol. 2021, 187, 114416. [Google Scholar] [CrossRef]
- Wu, X.-F.; Wang, Z. Transition Metal Catalyzed Pyrimidine, Pyrazine, Pyridazine and Triazine Synthesis: Transition Metal-Catalyzed Heterocycle Synthesis Series; Elsevier: Amsterdam, The Netherlands, 2016. [Google Scholar]
- Shehab, W.S.; El-Farargy, A.F.; Abdelhamid, A.O.; Aziz, M.A. Synthesis and biological application of pyranopyrimidine derivatives catalyzed by efficient nanoparticles and their nucleoside analogues. Synth. Commun. 2019, 49, 3560–3572. [Google Scholar] [CrossRef]
- AbdEl-Azim, M.H.M.; Aziz, M.A.; Mouneir, S.M.; El-Farargy, A.F.; Shehab, W.S. Ecofriendly synthesis of pyrano[2,3-d]pyrimidine derivatives and related heterocycles with anti-inflammatory activities. Arch. Der Pharm. 2020, 353, 2000084. [Google Scholar] [CrossRef] [PubMed]
- Shehab, W.S.; Abdellattif, M.H.; Mouneir, S.M. Heterocyclization of polarized system: Synthesis, antioxidant and anti-inflammatory 4-(pyridin-3-yl)-6-(thiophen-2-yl) pyrimidine-2-thiol derivatives. Chem. Cent. J. 2018, 12, 68. [Google Scholar] [CrossRef] [PubMed]
- Islam, F.; Quadery, T.M.; Bai, R.; Luckett-Chastain, L.R.; Hamel, E.; Ihnat, M.A.; Gangjee, A. Novel pyrazolo[4,3-d]pyrimidine microtubule targeting agents (MTAs): Synthesis, structure–activity relationship, in vitro and in vivo evaluation as antitumor agents. Bioorganic Med. Chem. Lett. 2021, 41, 127923. [Google Scholar] [CrossRef] [PubMed]
- Ali, T.E.; Bakhotmah, D.A.; Assiri, M.A. Synthesis of some new functionalized pyrano[2,3-c]pyrazoles and pyrazolo[4′,3′:5,6] pyrano[2,3-d]pyrimidines bearing a chromone ring as antioxidant agents. Synth. Commun. 2020, 50, 3314–3325. [Google Scholar] [CrossRef]
- Gorle, S.; Gangu, K.K.; Maddila, S.; Jonnalagadda, S.B. Synthesis and anticancer activity of novel pyrazolo[4′,3′:5,6]pyrano[2,3-d] pyrimidin-5(2H)-one derivatives. Chem. Data Collect. 2020, 28, 100471. [Google Scholar] [CrossRef]
- Sanivarapu, S.; Vaddiraju, N.; Velide, L. Synthesis and anti-inflammatory activity of 1,2-3-substituted 2a1,4,5-triazacyclopenta[cd]indene derivatives. Med. Chem. Res. 2019, 28, 1461–1470. [Google Scholar] [CrossRef]
- Hamid, A.M.A.; Assy, M.G.; Farid, W.; El-Azim, M.H.M.A. Functionalization of 2-Amino-6-thioxouracil as a Precursor for the Synthesis of Some Novel Pyrimidine Heterocycles. Russ. J. Gen. Chem. 2021, 91, 904–909. [Google Scholar] [CrossRef]
- Abdel-Mohsen, H.T.; Abood, A.; Flanagan, K.J.; Meindl, A.; Senge, M.O.; El Diwani, H.I. Synthesis, crystal structure, and ADME prediction studies of novel imidazopyrimidines as antibacterial and cytotoxic agents. Arch. Der Pharm. 2020, 353, 1900271. [Google Scholar] [CrossRef]
- Aziz, M.A.; Shehab, W.S.; Al-Karmalawy, A.A.; El-Farargy, A.F.; Abdellattif, M.H. Design, Synthesis, Biological Evaluation, 2D-QSAR Modeling, and Molecular Docking Studies of Novel 1H-3-Indolyl Derivatives as Significant Antioxidants. Int. J. Mol. Sci. 2021, 22, 10396. [Google Scholar] [CrossRef]
- Al-Tamimi, A.-M.S.; Riadi, Y. Microwave-Assisted Synthesis of Novel Antimicrobial N-Arylated-Pyridopyrimidines. Polycycl. Aromat. Compd. 2020, 1–9. [Google Scholar] [CrossRef]
- Amer, M.M.K.; Aziz, M.A.; Shehab, W.S.; Abdellattif, M.H.; Mouneir, S.M. Recent advances in chemistry and pharmacological aspects of 2-pyridone scaffolds. J. Saudi Chem. Soc. 2021, 25, 101259. [Google Scholar] [CrossRef]
- Dayem, A.A.; Choi, H.-Y.; Kim, J.-H.; Cho, S.-G. Role of Oxidative Stress in Stem, Cancer, and Cancer Stem Cells. Cancers 2010, 2, 859–884. [Google Scholar] [CrossRef] [PubMed]
- Chong, Z.Z.; Li, F.; Maiese, K. Stress in the brain: Novel cellular mechanisms of injury linked to Alzheimer’s disease. Brain Res. Rev. 2005, 49, 1–21. [Google Scholar] [CrossRef] [PubMed]
- Saffi, J.; Sonego, L.; Varela, Q.D.; Salvador, M. Antioxidant activity of L-ascorbic acid in wild-type and superoxide dismutase deficient strains of Saccharomyces cerevisiae. Redox Rep. 2006, 11, 179–184. [Google Scholar] [CrossRef]
- Murphy, E.J.; Metcalfe, C.L.; Basran, J.; Moody, P.C.E.; Raven, E.L. Engineering the Substrate Specificity and Reactivity of a Heme Protein: Creation of an Ascorbate Binding Site in Cytochrome c Peroxidase. Biochemistry 2008, 47, 13933–13941. [Google Scholar] [CrossRef]
- Li, S.; Taylor, K.B.; Kelly, S.J.; Jedrzejas, M.J. Vitamin C inhibits the enzymatic activity of Streptococcus pneumoniae hyaluronate Lyase. J. Biol. Chem. 2001, 276, 15125–15130. [Google Scholar] [CrossRef]
- Morris, G.M.; Lim-Wilby, M. Molecular docking. In Molecular Modeling of Proteins; Springer: Berlin, Germany, 2008; pp. 365–382. [Google Scholar]
- Elmaaty, A.; Hamed, M.; Ismail, M.; Elkaeed, E.; Abulkhair, H.; Khattab, M.; Al-Karmalawy, A. Computational Insights on the Potential of Some NSAIDs for Treating COVID-19: Priority Set and Lead Optimization. Molecules 2021, 26, 3772. [Google Scholar] [CrossRef]
- Behbehani, H.; Ibrahim, H.M. 4-Thiazolidinones in Heterocyclic Synthesis: Synthesis of Novel Enaminones, Azolopyrimidines and 2-Arylimino-5-arylidene-4-thiazolidinones. Molecules 2012, 17, 6362–6385. [Google Scholar] [CrossRef]
- Kaminskyy, D.; Kryshchyshyn, A.; Lesyk, R. 5-Ene-4-thiazolidinones–An efficient tool in medicinal chemistry. Eur. J. Med. Chem. 2017, 140, 542–594. [Google Scholar] [CrossRef]
- Omar, M.T.; Youssef, A.S.A.; Kandeel, K.A. Reactions of 5-substituted-2-thioxo-4-oxo-1,3-thiazolidines with 4-methoxyphenylazide. Phosphorus Sulfur Silicon Relat. Elem. 2000, 162, 25–37. [Google Scholar] [CrossRef]
- Kandeel, K.A. Synthesis and structure of some new thiazolidin-4-ones and thiazolin-4-ones of anticipated biological activity. ARKIVOC 2006, 2006, 1–6. [Google Scholar] [CrossRef]
- Barker, J.; Kettle, J.; Faull, A. Bicyclic Pyrrole Derivatives as mcp-1 Inhibitors. WO 9940914, 19 August 1999. [Google Scholar]
- Re, R.; Pellegrini, N.; Proteggente, A.; Pannala, A.; Yang, M.; Rice-Evans, C. Antioxidant activity applying an improved ABTS radical cation decolorization assay. Free Radic. Biol. Med. 1999, 26, 1231–1237. [Google Scholar] [CrossRef]









| Compounds | Absorbance of Samples | % Inhibition |
|---|---|---|
| 2 | 0.227 | 54.6% |
| 3 | 0.136 | 72.8% |
| 6 | 0.062 | 87.6% |
| 5 | 0.081 | 83.8% |
| Ascorbic-acid | 0.058 | 88.4% |
| Control of ABTS | 0.500 | 0 |
| Compound | E. Coli | Pseudomonas Aeuroginosa | S. Aureus | Bacillus Subtilis | C. Albicans | A. Flavus | ||||||
|---|---|---|---|---|---|---|---|---|---|---|---|---|
| Diameter of Inhibition Zone (mm) | % Activity Index | Diameter of Inhibition Zone (mm) | % Activity Index | Diameter of Inhibition Zone (mm) | % Activity Index | Diameter of Inhibition Zone (mm) | % Activity Index | Diameter of Inhibition Zone (mm) | % Activity Index | Diameter of Inhibition Zone (mm) | % Activity Index | |
| 3 | 3 | 12 | NA | ---- | 2 | 18 | NA | ---- | 2 | 8 | 3 | 15 |
| 5 | 10 | 40 | 3 | 25 | 5 | 45.5 | 4 | 17.4 | 7 | 28 | 6 | 30 |
| 2 | NA | ---- | NA | ---- | NA | ---- | NA | ---- | NA | ---- | 2 | 10 |
| 6 | 20 | 80 | 11 | 91.7 | 10 | 90.9 | 9 | 39.1 | 12 | 48 | 15 | 75 |
| Ampicillin | 25 | 100 | 12 | 100 | 11 | 100 | 20 | 100 | NA | ---- | NA | ---- |
| Colitrimaz-ole | NA | ---- | NA | ---- | NA | ---- | NA | ---- | 25 | 100 | 20 | 100 |
| Ligand | Docking Score | RMSD | Recepitor Interaction | Distance Å | E (Kcal/mol) |
|---|---|---|---|---|---|
| 2 | −4.49 | 0.90 | Gly-41/H-donor Asp-37/Ionic | 2.97 3.83 | −3.0 −0.9 |
| 3 | −6.47 | 1.52 | Ser-185/H-donor Arg-184/H-acceptor Thr-180/pi-H | 3.03 3.46 4.23 | −0.6 −1.1 −1.1 |
| 5 | −5.49 | 1.65 | Tyr-42/H-acceptor Arg-184/H-acceptor His-181/H-pi | 3.28 3.13 4.83 | −1.2 −2.7 −0.6 |
| 6 | −5.79 | 1.37 | Gly-41/H-donor Asp-37/H-donor Gly-41/H-donor Arg-184/H-acceptor | 2.68 2.79 3.05 2.78 | −3.9 −2.9 −1.9 −6.7 |
| Ascorbic acid (Docked) | −5.26 | 0.80 | Lys-179/H-donor Leu-177/H-donor Lys-179/H-donor Arg-184/H-acceptor | 3.09 2.87 3.21 3.09 | −0.7 −1.1 −1.2 −4.4 |
| Molecule | 2D Receptor Interaction | 3D Receptor Interaction | 3D Receptor Positioning |
|---|---|---|---|
| 2 | ![]() | ![]() | ![]() |
| 3 | ![]() | ![]() | ![]() |
| 5 | ![]() | ![]() | ![]() |
| 6 | ![]() | ![]() | ![]() |
| Ascorbic Acid (Docked) | ![]() | ![]() | ![]() |
| Ligand | Docking Score | RMSD | Recepitor Interaction | Distance Å | E (Kcal/mol) |
|---|---|---|---|---|---|
| 2 | −5.41 | 1.075 | Trp-292/H-pi Asn-290/H-donor His-399/pi-cation | 3.79 2.98 4.50 | −0.8 −2.0 −1.0 |
| 3 | −5.40 | 0.65 | Asn-290/H-donor Asp-293/Ionic His-399/pi-cation Trp-292/pi-pi Tyr-408/pi-pi | 2.97 3.49 4.03 3.98 3.94 | −3.0 −1.9 −1.0 −0.0 −0.0 |
| 5 | −7.13 | 1.70 | Arg-466/H-acceptor His-399/H-acceptor Trp-291/H-acceptor Asn-290/pi-H Arg-462/pi-cation Trp-292/pi-pi | 4.48 3.14 3.19 3.59 3.64 3.99 | −1.2 −2.4 −1.1 −0.6 −0.6 −0.0 |
| 6 | −5.76 | 0.89 | Tyr-408/H-acceptor Trp-292/H-pi His-399/pi-cation | 3.09 3.78 4.28 | −1.2 −0.8 −1.0 |
| Ascorbic acid (Docked) | −4.54 | 1.21 | His-399/H-acceptor Asn-580/H-acceptor Asn-290/H-donor | 3.40 3.02 3.01 | −0.9 −1.4 −2.2 |
| Molecule | 2D Receptor Interaction | 3D Receptor Interaction | 3D Receptor Positioning |
|---|---|---|---|
| 2 | ![]() | ![]() | ![]() |
| 3 | ![]() | ![]() | ![]() |
| 5 | ![]() | ![]() | ![]() |
| 6 | ![]() | ![]() | ![]() |
| Ascorbic Acid (Docked) | ![]() | ![]() | ![]() |
Publisher’s Note: MDPI stays neutral with regard to jurisdictional claims in published maps and institutional affiliations. |
© 2022 by the authors. Licensee MDPI, Basel, Switzerland. This article is an open access article distributed under the terms and conditions of the Creative Commons Attribution (CC BY) license (https://creativecommons.org/licenses/by/4.0/).
Share and Cite
Shehab, W.S.; Abdelaziz, M.; Elhoseni, N.K.R.; Assy, M.G.; Abdellattif, M.H.; Hamed, E.O. Design, Synthesis, Molecular Docking, and Evaluation Antioxidant and Antimicrobial Activities for Novel 3-Phenylimidazolidin-4-One and 2-Aminothiazol-4-One Derivatives. Molecules 2022, 27, 767. https://doi.org/10.3390/molecules27030767
Shehab WS, Abdelaziz M, Elhoseni NKR, Assy MG, Abdellattif MH, Hamed EO. Design, Synthesis, Molecular Docking, and Evaluation Antioxidant and Antimicrobial Activities for Novel 3-Phenylimidazolidin-4-One and 2-Aminothiazol-4-One Derivatives. Molecules. 2022; 27(3):767. https://doi.org/10.3390/molecules27030767
Chicago/Turabian StyleShehab, Wesam S., Maged Abdelaziz, Nourhan Kh. R. Elhoseni, Mohamed G. Assy, Magda H. Abdellattif, and Eman O. Hamed. 2022. "Design, Synthesis, Molecular Docking, and Evaluation Antioxidant and Antimicrobial Activities for Novel 3-Phenylimidazolidin-4-One and 2-Aminothiazol-4-One Derivatives" Molecules 27, no. 3: 767. https://doi.org/10.3390/molecules27030767
APA StyleShehab, W. S., Abdelaziz, M., Elhoseni, N. K. R., Assy, M. G., Abdellattif, M. H., & Hamed, E. O. (2022). Design, Synthesis, Molecular Docking, and Evaluation Antioxidant and Antimicrobial Activities for Novel 3-Phenylimidazolidin-4-One and 2-Aminothiazol-4-One Derivatives. Molecules, 27(3), 767. https://doi.org/10.3390/molecules27030767































