Removal of Cs-137 Radionuclide by Resorcinol–Formaldehyde Ion-Exchange Resins from Solutions Simulating Real Liquid Radioactive Waste
Abstract
1. Introduction
| Material | Composition | Solution Composition | pH | S(e) 1, mg/g | Kd (mL/g) | Ref. |
|---|---|---|---|---|---|---|
| Natural aluminosilicates | Clay enriched with montmorillonite | NaNO3 (0.1 mol/L) | 7 | - | 2.5 × 104 | [24] |
| Ammonium phosphomolybdate (APM) | Ammonium phosphomolybdate (APM) | NaNO3 (1.0 mol/L) | <7 | 90–140 | 1.3 × 104–2.6 × 104 | [25] |
| APM-based composites APM | PAN/APM | HNO3 (1 mol/L) | <7 | 110 | 3.0 × 102–6.3 × 104 | [26,27] |
| SiO2/APM | 80 | 3.1 × 103 | [28] | |||
| (C12H14CaO12)n/APM | 90 | 6.3 × 103 | [29] | |||
| Zr (HPO4)2·nH2O/APM | 10 | 2.5 × 104 | [7] | |||
| Titanates | TiO2-nanotubes | NaNO3 (0.1 mol/L) | 7–9 | 200 | 1.5 × 103 | [30] |
| TiO2- nanofibers/nanowire | 70 | 102 | [31] | |||
| TiO2-nanofilms | 120 | 4.0 × 102 | [32] | |||
| Na2Ti2SiO7·2H2O | 250–590 | 3.1 × 103 | [33] | |||
| Crystalline silicotitanates | Na2Ti2SiO7·2H2O | NaNO3 (0.1 mol/L) | 7–9 | 250–590 | 3.1 × 103 | [33] |
| TiSi-Na | (NaK)2 [Ti4(OH)O3(SiO4)3]·6H2O | EC 2 | 11.8 | - | 6.2 × 102 | [7] |
| NaNO3 (1.0 mol/L) | 6 | - | 6.2 × 104 | [7] | ||
| Transition-metal ferrocyanides | Mx2nMy(2−n)[Fe(CN)6] | NaNO3 (1.0 mol/L) | 6 | 220 | 2.0 × 105–5.0 × 105 | [7] |
| Termoksid 35 | Zirconium hydroxide/FOC Ni-K | NaNO3 (1.0 mol/L) | 7 | 130 | 8.1 × 104 | [7] |
| ZF-N | Shabazite (clinoptilolite)/FOC Ni-K | Na+ (5 mol/L) | 8 | 180 | 103–3.0 × 104 | [8,9] |
| Vermiculite/FOC Cu-K | NaNO3 (1.25 mol/L) NaOH (0.75 mol/L) | 12 | 160 | 103 | [8,9] | |
| Fezhel; Anfezh; Uniket | Cellulose (sawdust)/FOC Fe-K | NaNO3 (1.0 mol/L) | 5–6 | - | 4.1 × 103 5.5 × 104 | [34] |
| FNS-10 | Silica gel/Ni-K ferrocyanide | NaNO3 (1.0 mol/L) | 5–6 | - | 7.3 × 104 | [34] |
| KU-2 | Sulfo-phenol-formaldehyde cation-exchanger | NaNO3 (1.0 mol/L) | 7 | - | 1–10 | [35] |
| TOKEM | Carboxy-phenol-formaldehyde cation-exchanger | LRW 3 | 11.8 | 15 | 3.6 × 102 | [17] |
| SuperLig-644 | Resorcinol-formaldehyde cation-exchanger | LRW 3 | 11.8 | 160 | 1.1 × 103 | [18] |
| Microbeads AS (Norway) | Polystyrene/Resorcinol-formaldehyde cation-exchanger | LRW 3 | 11.8 | 300 | 1.2 × 103 | [14,15,16] |
| AXIONIT RCs | Resorcinol-formaldehyde cation-exchanger | LRW 3 | 11.8 | 15.3 | 4.5 × 102 | [17] |
| NaNO3 (1.0 mol/L) | 11.8 | - | 103 |
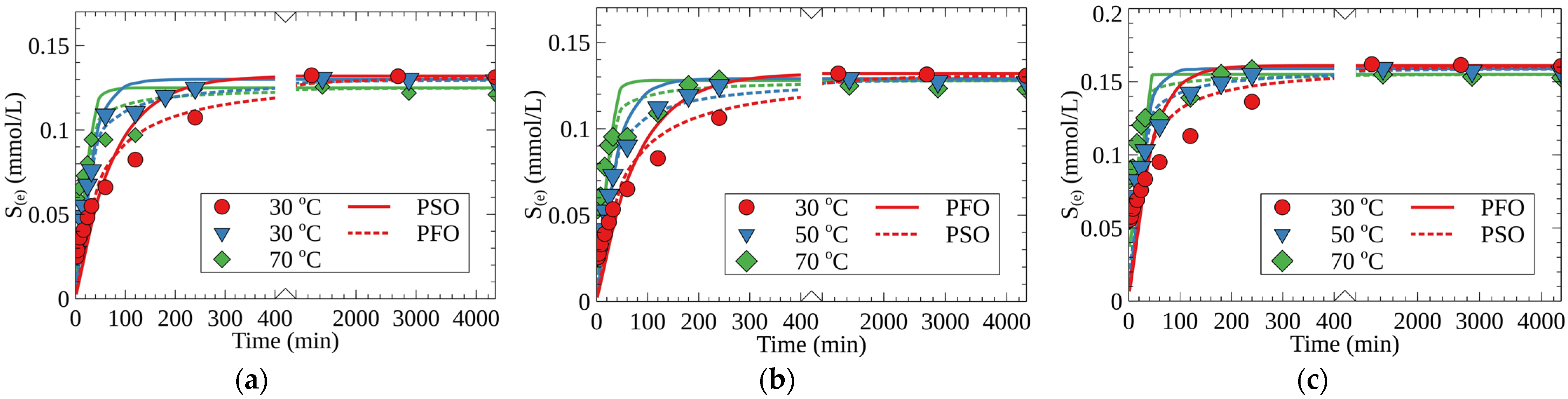
2. Results and Discussion
3. Materials and Methods
4. Conclusions
Author Contributions
Funding
Institutional Review Board Statement
Informed Consent Statement
Data Availability Statement
Acknowledgments
Conflicts of Interest
Sample Availability
References
- Logunov, M.V.; Karpov, V.I.; Tananaev, I.G. Stabilization of Thermophysical State and Survey of Some Tanks in Storage Facilities of High-Activity Pulps at FSUE “PA “Mayak””. Probl. Radiat. Saf. 2011, 4, 18–27. (In Russian) [Google Scholar]
- Logunov, M.V.; Karpov, V.I.; Druzhinina, N.E.; Tananaev, I.G. Approaches to Treatment fo High-Activity Pulps Accumulated at FSUE “PA “Mayak””. Probl. Radiat. Saf. 2011, 1, 15–28. (In Russian) [Google Scholar]
- Prout, W.E.; Russell, E.R.; Groh, H.J. Ion Exchange Absorption of Cesium by Potassium Hexacyanocobalt (II) Ferrate (II). J. Inorg. Nucl. Chem. 1965, 27, 473–479. [Google Scholar] [CrossRef]
- Milyutin, V.V.; Mikheev, S.V.; Gelis, V.M.; Kozlitin, E.A. Sorption of Cesium on Ferrocyanide Sorbents from Highly Saline Solutions. Radiochemistry 2009, 51, 298–300. [Google Scholar] [CrossRef]
- IAEA. Improvements of Radioactive Waste Management at WWER Nuclear Power Plants, TECDOC-1492; IAEA Publications: Vienna, Austria, 2006. [Google Scholar]
- Mikheev, S.V. Sorption and Precipitation Processes of Removal of Cesium Radionuclides from High-Salinity Solutions. Ph.D. Thesis, A.N. Frumkin Institute of Physical Chemistry and Electrochemistry of Russian Academy of Sciences, Moscow, Russia, 2010; 120p. (In Russian). [Google Scholar]
- Milyutin, V.V.; Nekrasova, N.A.; Kozlitin, E.A. Selective Inorganic Sorbents in Advanced Applied Radiochemistry. Proc. Kola Res. Center RAS 2015, 5, 418–421. (In Russian) [Google Scholar]
- Kazemian, H.; Zakeri, H.; Rabbani, M.S. Cs and Sr Removal from Solution Using Potassium Nickel Hexacyanoferrate Impregnated Zeolites. J. Radioanal. Nucl. Chem. 2006, 268, 231–236. [Google Scholar] [CrossRef]
- Mimura, H.; Kimura, M.; Akiba, K.; Onodera, Y. Selective Removal of Cesium from Sodium Nitrate Solutions by Potassium Nickel Hexacyanoferrate-Loaded Chabazites. Sep. Sci. Technol. 1999, 34, 17–28. [Google Scholar] [CrossRef]
- Egorin, A.; Tokar, E.; Zemskova, L. Chitosan-Ferrocyanide Sorbent for Cs-137 Removal from Mineralized Alkaline Media. Radiochim. Acta 2016, 104, 657–661. [Google Scholar] [CrossRef]
- Sharygin, L.M.; Muromskii, A.Y.; Moiseev, V.E.; Tsekh, A.R.; Vaver, A.V. Sorption Decontamination of NPP Liquid Radioactive Waste Streams. At. Energy 1997, 83, 17–23. (In Russian) [Google Scholar]
- Brooks, K.P.; Kim, A.Y.; Kurath, D.E. Assessment of Commercially Available Ion Exchange Materials for Cesium Removal from Highly Alkaline Wastes; Technical Report PNNL-11121; Pacific Northwest National Laboratory: Richland, WA, USA, 1996; p. 62. [Google Scholar]
- Arm, S.T.; Blanchard, D.L.; Fiskum, S.K.; Weier, D.R. Chemical Degradation of SuperLig® 644 Ion Exchange Resin; PNWD-3315, Battelle—Pacific Northwest Division: Richland, WA, USA, 2003. [Google Scholar]
- Duignan, M.R.; Nash, C.A.; Punch, T.M. High Aspect Ratio Ion Exchange Resin Bed—Hydraulic Results for Spherical Resin Beads. Sep. Sci. Technol. 2008, 43, 2943–2979. [Google Scholar] [CrossRef]
- Duignan, M.R.; Nash, C.A. Removal of Cesium from Savannah River Site Waste with Spherical Resorcinol Formaldehyde Ion Exchange Resin: Experimental Tests. Sep. Sci. Technol. 2010, 45, 1828–1840. [Google Scholar] [CrossRef]
- Fiskum, S.K.; Blanchard, D.L.; Arm, S.T.; Peterson, R.A. Cesium Removal from Simulated and Actual Hanford Tank Waste Using Ion Exchange. Sep. Sci. Technol. 2005, 40, 51–67. [Google Scholar] [CrossRef]
- Kozlov, P.V.; Remizov, M.B.; Logunov, M.B.; Milyutin, V.V.; Egorin, A.M.; Avramenko, V.A. Sorption Removal of Cesium from Model Alkaline HLW on Resorcinol-Formaldehyde Resins produced in Russia. Probl. Radiat. Saf. 2017, 1, 34–41. (In Russian) [Google Scholar]
- Brown, G.N. Literature Review of Spherical Resorcinol-Formaldehyde for Cesium Ion Exchange; Technical Report PNNL-23410; Pacific Northwest National Laboratory: Richland, WA, USA, 2014. [Google Scholar]
- Saladze, K.M.; Pashkov, A.B.; Titova, V.S. Ion-Exchange Macromolecular Compounds; Goshimizdat: Moscow, Russia, 1960. (In Russian) [Google Scholar]
- Tretyakov, V.A.; Kondrutskii, D.A.; Bobrov, A.F.; Milyutin, V.V.; Nesterov, A.G. Method for Producing a Sorbent for Selective Cesium Removal. Patent RU 2521379, 27 June 2014. Available online: https://www.freepatent.ru/patents/2521379 (accessed on 15 November 2022). (In Russian).
- Egorin, A.; Tokar, E.; Palamarchuk, M.; Portnyagin, A.; Tutov, M.; Mis’ko, D.; Kalashnikova, A.; Sokolnitskaya, T.; Tananaev, I. Synthesis of Porous Resorcinol-Formaldehyde Resins and Study of Their Sorption Characteristics toward Cs in Highly Mineralized Alkaline Media. Radiochim. Acta 2019, 107, 1145–1153. [Google Scholar] [CrossRef]
- Tokar, E.A.; Palamarchuk, M.S.; Tutov, M.V.; Azarova, Y.A.; Egorin, A.M. Synthesis and Sorption Properties of Porous Resorcinol–Formaldehyde Resins Prepared by Polymerization of the Emulsion Dispersion Phase. J. Mater. Sci. 2019, 54, 14330–14342. [Google Scholar] [CrossRef]
- Tokar, E.; Tutov, M.; Kozlov, P.; Slobodyuk, A.; Egorin, A. Effect of the Resorcinol/Formaldehyde Ratio and the Temperature of the Resorcinol–Formaldehyde Gel Solidification on the Chemical Stability and Sorption Characteristics of Ion-Exchange Resins. Gels 2021, 7, 239. [Google Scholar] [CrossRef] [PubMed]
- Mulyutin, V.V.; Gelis, V.M.; Nekrasova, N.A.; Kononenko, O.A.; Vezentsev, A.I.; Volovicheva, N.A.; Korol’kova, S.V. Sorption of Cs, Sr, U, and Pu Radionuclides on Natural and Modified Clays. Radiochemistry 2012, 54, 75–78. [Google Scholar] [CrossRef]
- Alby, D.; Charnay, C.; Heran, M.; Prelot, B.; Zajac, J. Recent Developments in Nanostructured Inorganic Materials for Sorption of Cesium and Strontium: Synthesis and Shaping, Sorption Capacity, Mechanisms, and Selectivity—A Review. J. Hazard. Mater. 2018, 344, 511–530. [Google Scholar] [CrossRef]
- Tranter, T.J.; Herbst, R.S.; Todd, T.A.; Olson, A.L.; Eldredge, H.B. Evaluation of Ammonium Molybdophosphate-Polyacrylonitrile (AMP-PAN) as a Cesium Selective Sorbent for the Removal of 137Cs from Acidic Nuclear Waste Solutions. Adv. Environ. Res. 2002, 6, 107–121. [Google Scholar] [CrossRef]
- Ingale, S.V.; Ram, R.; Sastry, P.U.; Wagh, P.B.; Kumar, R.; Niranjan, R.; Phapale, S.B.; Tewari, R.; Dash, A.; Gupta, S.C. Synthesis and Characterization of Ammonium Molybdophosphate–Silica Nano-Composite (AMP–SiO2) as a Prospective Sorbent for the Separation of 137Cs from Nuclear Waste. J. Radioanal. Nucl. Chem. 2014, 301, 409–415. [Google Scholar] [CrossRef]
- Chakravarty, R.; Ram, R.; Pillai, K.T.; Pamale, Y.; Kamat, R.V.; Dash, A. Ammonium Molybdophosphate Impregnated Alumina Microspheres as a New Generation Sorbent for Chromatographic 137Cs/137mBa Generator. J. Chromatogr. A 2012, 1220, 82–91. [Google Scholar] [CrossRef] [PubMed]
- Ye, X.; Wu, Z.; Li, W.; Liu, H.; Li, Q.; Qing, B.; Guo, M.; Ge, F. Rubidium and Cesium Ion Adsorption by an Ammonium Molybdophosphate–Calcium Alginate Composite Adsorbent. Colloids Surf. A Physicochem. Eng. Asp. 2009, 342, 76–83. [Google Scholar] [CrossRef]
- Kiatkittipong, K.; Ye, C.; Scott, J.; Amal, R. Understanding Hydrothermal Titanate Nanoribbon Formation. Cryst. Growth Design 2010, 10, 3618–3625. [Google Scholar] [CrossRef]
- Myung, S.-T.; Takahashi, N.; Komaba, S.; Yoon, C.S.; Sun, Y.-K.; Amine, K.; Yashiro, H. Nanostructured TiO2 and Its Application in Lithium-Ion Storage. Adv. Funct. Mater. 2011, 21, 3231–3241. [Google Scholar] [CrossRef]
- Sarina, S.; Bo, A.; Liu, D.; Liu, H.; Yang, D.; Zhou, C.; Maes, N.; Komarneni, S.; Zhu, H. Separate or Simultaneous Removal of Radioactive Cations and Anions from Water by Layered Sodium Vanadate-Based Sorbents. Chem. Mater. 2014, 26, 4788–4795. [Google Scholar] [CrossRef]
- Bavykin, D.V.; Walsh, F.C. Titanate and Titania Nanotubes: Synthesis; Royal Society of Chemistry: London, UK, 2009; ISBN 978-1-84973-077-8. [Google Scholar]
- Milyutin, V.V.; Gelis, V.M.; Leonov, N.B. Study of the Kinetics of Sorption of Cesium and Sorption Radionuclides by Sorbents of Different Classes. Radiochemistry 1998, 40, 418–420. (In Russian) [Google Scholar]
- Shelkovnikova, L.A.; Gavlina, O.T.; Ivanov, V.A.; Gorshkov, V.I. The Influence of Temperature on the Ion Exchange Properties of Phenolformaldehyde Sorbents. Russ. J. Phys. Chem. 2009, 83, 2122–2126. [Google Scholar] [CrossRef]
- Tansel, B. Significance of Thermodynamic and Physical Characteristics on Permeation of Ions during Membrane Separation: Hydrated Radius, Hydration Free Energy and Viscous Effects. Sep. Purif. Technol. 2012, 86, 119–126. [Google Scholar] [CrossRef]
- Hubler, T.L.; Shaw, W.J.; Brown, G.N.; Linehan, J.C.; Franz, J.A.; Hart, T.R.; Hogan, M.O. Chemical Derivation to Enhance the Chemical/Oxidative Stability of Resorcinol-Formaldehyde (R-F) Resin; Pacific Northwest National Lab.: Richland, WA, USA, 1996. [Google Scholar]
- Fiskum, S.K.; Blanchard, D.L.; Steele, M.J.; Thomas, K.K.; Trang-Le, T.; Thorson, M.R. Spherical Resorcinol-Formaldehyde Resin Testing for Cesium Removal from Hanford Tank Waste Simulant. Sep. Sci. Technol. 2006, 41, 2461–2474. [Google Scholar] [CrossRef]
- Samanta, S.K.; Misra, B.M. Ion Exchange Selectivity of a Resorcinol-Fqrmaldehyde Polycondensate Resin for Cesium in Relation to Other Alkali Metal Ions. Solvent Extr. Ion Exch. 1995, 13, 575–589. [Google Scholar] [CrossRef]
- Kargov, S.I.; Shelkovnikova, L.A.; Ivanov, V.A. The Nature of Ion Exchange Selectivity of Phenol-Formaldehyde Sorbents with Respect to Cesium and Rubidium Ions. Russ. J. Phys. Chem. 2012, 86, 860–866. [Google Scholar] [CrossRef]
- Sharygin, L.M.; Muromskii, A.Y. New Inorganic Sorbent for Ion-Selective Purification of Liquid Radioactive Wastes. At. Energy 2000, 89, 658–662. [Google Scholar] [CrossRef]
- Sanders, J. Veusz—A Scientific Plotting Package. Available online: https://veusz.github.io/ (accessed on 7 October 2022).










| Name | Model | Parameter | Temperature, °C | ||
|---|---|---|---|---|---|
| 30 | 50 | 70 | |||
| RFR | PFO | S(e) (mmol/g) | 0.132 ± 0.02 | 0.130 ± 0.02 | 0.125 ± 0.02 |
| k1 (min−1) | 0.032 ± 0.001 | 0.033 ± 0.001 | 0.061 ± 0.001 | ||
| R2 | 0.986 | 0.988 | 0.969 | ||
| PSO | k2 (g(mmol·min)−1 | 0.171 ± 0.001 | 0.445 ± 0.001 | 0.918 ± 0.002 | |
| R2 | 0.984 | 0.995 | 0.989 | ||
| RFR-Ca | PFO | S(e) (mmol/g) | 0.132 ± 0.02 | 0.129 ± 0.02 | 0.128 ± 0.02 |
| k1 (min−1) | 0.013 ± 0.001 | 0.027 ± 0.001 | 0.067 ± 0.001 | ||
| R2 | 0.968 | 0.987 | 0.968 | ||
| PSO | k2 (g(mmol·min)−1 | 0.162 ± 0.001 | 0.369 ± 0.001 | 1.03 ± 0.01 | |
| R2 | 0.986 | 0.995 | 0.987 | ||
| RFR-T | PFO | S(e) (mmol/g) | 0.161 ± 0.02 | 0.159 ± 0.02 | 0.155 ± 0.02 |
| k1 (min−1) | 0.024 ± 0.001 | 0.043 ± 0.001 | 0.141 ± 0.001 | ||
| R2 | 0.941 | 0.973 | 0.970 | ||
| PSO | k2 (g(mmol·min)−1 | 0.272 ± 0.001 | 0.529 ± 0.001 | 1.66 ± 0.01 | |
| R2 | 0.968 | 0.988 | 0.989 | ||
| Cation | Cs+ | K+ | Na+ | Mg2+ | Ca2+ |
|---|---|---|---|---|---|
| Ion radius, nm | 0.174 | 0.138 | 0.102 | 0.072 | 0.106 |
| Z2/r (1/nm) | 5.62 | 6.99 | 9.35 | 61.54 | 36.7 |
| Hydrated radius, nm | 0.329 | 0.232 | 0.276 | 0.430 | 0.420 |
| Dehydration energy, kJ/mol | −376 | −321 | −405 | −1922 | −1650 |
| Sorption Materials Grade (™) | Effective Filter Cycle, BV 1 | Ref. |
|---|---|---|
| AXIONIT RCs (Russia) | 185 | [18] |
| Microbeads AS (Norway) | 180 | [13] |
| SuperLig-644 | 225 | [38] |
| RFR-i | 450 | This work |
| RFR-Ca | 720 | |
| RFR-T | 560 |
| RFR-i | RFR-Ca | RFR-T | |
|---|---|---|---|
| Resorcinol/formaldehyde molar ratios | 0.6/2.2 | ||
| Solidification temperature, °C | 210 °C | ||
| Surface morphology | non-porous | porous | |
| Pore-forming agent | - | CaCO3 | toluene |
| Pore-forming agent content, wt.% | 0 | 10 | 25 |
| Composition (g/L) | Model Solution | ||||
|---|---|---|---|---|---|
| WWER * | RBMK * | Solution No. 1 | Solution No. 2 | Solution No. 3 | |
| Na+ | 61.7 | 80.5 | 2.3 | 69.0 | 2.3 |
| K+ | 15.4 | 16.0 | - | - | - |
| NO3− | 69.4 | 242.4 | 6.2 | 139.5 | 6.2 |
| B (recalculated on H3BO3) | 98 | - | - | - | - |
| Total mineralization | 214 | 339 | 2.3 | 209 | 2.3 |
| pH | 11–12.5 | 10–12 | 11 | ≥13 | 9 |
| Composition | Concentration in Solution (g/L) | ||
|---|---|---|---|
| K+ | 0.6 | ||
| Al3+ | 6.0 | ||
| Cr3+ | 0.4 | ||
| Si2+ | 0.2 | ||
| NaOH | 100 | ||
| Na+ | from NaOH | 57.5 | 101.2 |
| from salts 1 | 43.7 | ||
| NO3− | from NaNO3 | 68.7 | 110.0 |
| from salts 2 | 41.3 | ||
| NO2− | 35.0 | ||
| SO42− | 1.5 | ||
| CrO42− | 0.9 | ||
| Cs+ | 0.05 | ||
Publisher’s Note: MDPI stays neutral with regard to jurisdictional claims in published maps and institutional affiliations. |
© 2022 by the authors. Licensee MDPI, Basel, Switzerland. This article is an open access article distributed under the terms and conditions of the Creative Commons Attribution (CC BY) license (https://creativecommons.org/licenses/by/4.0/).
Share and Cite
Tokar, E.; Tutov, M.; Bratskaya, S.; Egorin, A. Removal of Cs-137 Radionuclide by Resorcinol–Formaldehyde Ion-Exchange Resins from Solutions Simulating Real Liquid Radioactive Waste. Molecules 2022, 27, 8937. https://doi.org/10.3390/molecules27248937
Tokar E, Tutov M, Bratskaya S, Egorin A. Removal of Cs-137 Radionuclide by Resorcinol–Formaldehyde Ion-Exchange Resins from Solutions Simulating Real Liquid Radioactive Waste. Molecules. 2022; 27(24):8937. https://doi.org/10.3390/molecules27248937
Chicago/Turabian StyleTokar, Eduard, Mikhail Tutov, Svetlana Bratskaya, and Andrei Egorin. 2022. "Removal of Cs-137 Radionuclide by Resorcinol–Formaldehyde Ion-Exchange Resins from Solutions Simulating Real Liquid Radioactive Waste" Molecules 27, no. 24: 8937. https://doi.org/10.3390/molecules27248937
APA StyleTokar, E., Tutov, M., Bratskaya, S., & Egorin, A. (2022). Removal of Cs-137 Radionuclide by Resorcinol–Formaldehyde Ion-Exchange Resins from Solutions Simulating Real Liquid Radioactive Waste. Molecules, 27(24), 8937. https://doi.org/10.3390/molecules27248937

