Preparation of PMMA Electrospun Fibers Bearing Porphyrin Pendants and Photocatalytic Degradation of Organic Dyes
Abstract
1. Introduction
2. Results and Discussion
2.1. Material Characterization
2.2. Photocatalytic Degradation under Different Light Sources
2.3. Photocatalytic Degradation of Different Organic Dyes
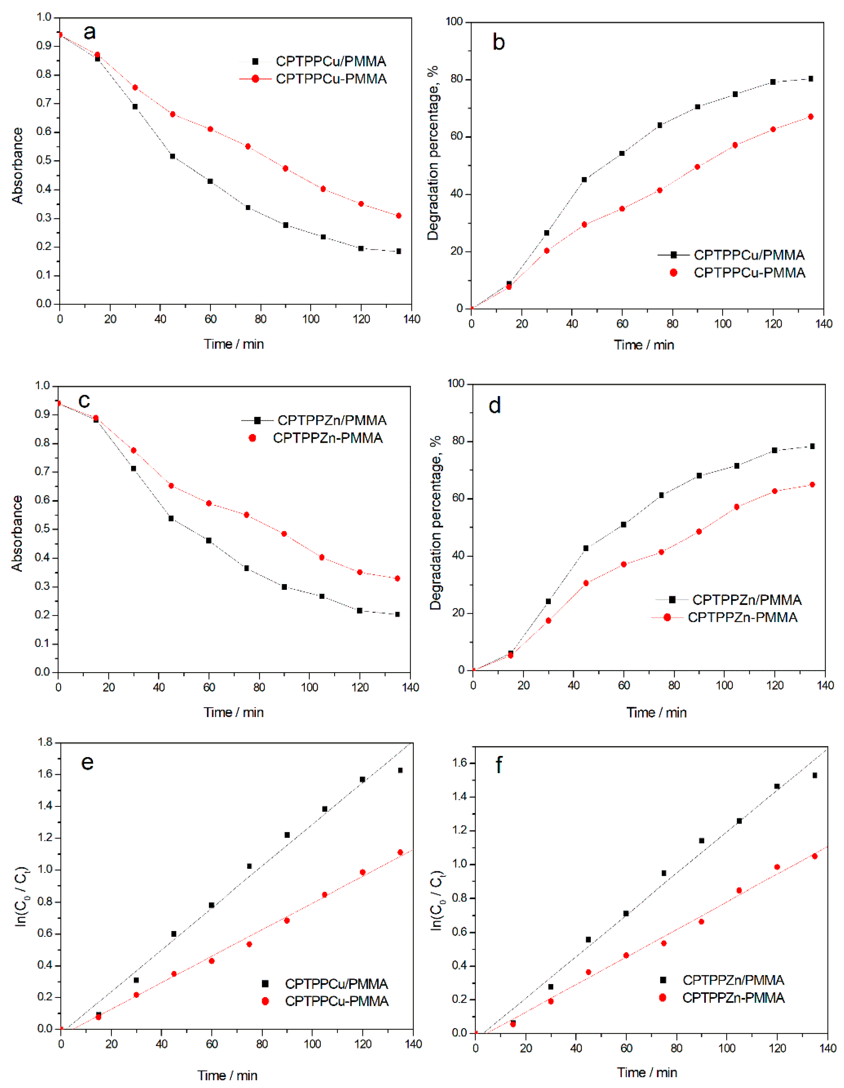
2.4. Photocatalytic Degradation of Different Catalysts
3. Materials and Methods
3.1. General
3.2. Synthesis of CPTPP
3.3. Synthesis of CPTPPZn and CPTPPCu
3.4. Synthesis of CPTPPZn/PMMA and CPTPPCu/PMMA
3.5. Preparation of Metalloporphyrin/PMMA Electrospun Fiber Materials
3.6. Photocatalytic Degradation Experiment
4. Conclusions
Supplementary Materials
Author Contributions
Funding
Institutional Review Board Statement
Informed Consent Statement
Data Availability Statement
Acknowledgments
Conflicts of Interest
Sample Availability
References
- Buchler, J.W. Synthesis and Properties of Metalloporphyrins. In Porphyrins; Academic Press: Cambridge, MA, USA, 1978; pp. 389–483. [Google Scholar]
- Kadish, K.M.; Smith, K.M.; Guilard, R. (Eds.) The Porphyrin Handbook; Academic Press: San Diego, CA, USA, 2000; Volume 1–10. [Google Scholar]
- Dougherty, J.T. Studies on the structure of porphyrins contained on photofrin II. Photochem. Photobiol. 1987, 46, 569–573. [Google Scholar] [CrossRef] [PubMed]
- Amos-Tautua, B.M.; Songca, S.P.; Oluwafemi, O.S. Application of porphyrins in antibacterial photodynamic therapy. Molecules 2019, 24, 2456. [Google Scholar] [CrossRef] [PubMed]
- Li, J.; Sun, W.; Yang, Z.; Gao, G.; Ran, H.H.; Xu, K.F.; Duan, Q.Y.; Liu, X.; Wu, F.G. Rational Design of Self-Assembled Cationic Porphyrin-Based Nanoparticles for Efficient Photodynamic Inactivation of Bacteria. ACS Appl. Mater. Interfaces 2020, 12, 54378–54386. [Google Scholar] [CrossRef] [PubMed]
- Lyubimenko, R.; Cardenas, O.I.G.; Turshatov, A.; Richards, B.S.; Schäfer, A.I. Photodegradation of steroid-hormone micropollutants in a flow-through membrane reactor coated with Pd(II)-porphyrin. Appl. Catal. B Environ. 2021, 291, 120097. [Google Scholar] [CrossRef]
- Zhang, Y.; Zhang, G.-L.; Wang, Y.-T.; Ma, Z.; Yang, T.-Y.; Zhang, T.; Zhang, Y.-H. In-situ synthesized porphyrin polymer/TiO2 composites as high-performance Z-scheme photocatalysts for CO2 conversion. J. Colloid Interface Sci. 2021, 596, 342–351. [Google Scholar] [CrossRef] [PubMed]
- Cabir, B.; Yurderi, M.; Caner, N.; Agirtas, M.S.; Zahmakiran, M.; Kaya, M. Methylene blue photocatalytic degradation under visible light irradiation on copper phthalocyanine-sensitized TiO2 nanopowders. Mater. Sci. Eng. B Solid-State Mater. Adv. Technol. 2017, 224, 9–17. [Google Scholar] [CrossRef]
- Reddy, C.V.; Koutavarapu, R.; Reddy, K.R.; Shetti, N.P.; Aminabhavi, T.M.; Shim, J. Z-scheme binary 1D ZnWO4 nanorods decorated 2D NiFe2O4 nanoplates as photocatalysts for high efficiency photocatalytic degradation of toxic organic pollutants from wastewater. J. Environ. Manag. 2020, 268, 110677. [Google Scholar] [CrossRef] [PubMed]
- Pan, Y.; Zhang, Y.; Huang, Y.; Jia, Y.; Chen, L.; Cui, H. Synergistic effect of adsorptive photocatalytic oxidation and degradation mechanism of cyanides and Cu/Zn complexes over TiO2/ZSM-5 in real wastewater. J. Hazard. Mater. 2021, 416, 125802. [Google Scholar] [CrossRef] [PubMed]
- Han, J.; Zhu, Z.; Li, N.; Chen, D.; Xu, Q.; Li, H.; He, J.; Lu, J. Metalloporphyrin-based D-A type conjugated organic polymer nanotube for efficient photocatalytic degradation. Appl. Catal. B Environ. 2021, 291, 120108. [Google Scholar] [CrossRef]
- Laishram, D.; Shejale, K.P.; Gupta, R.; Sharma, R.K. Heterostructured HfO2/TiO2 spherical nanoparticles for visible photocatalytic water remediation. Mater. Lett. 2018, 231, 225–228. [Google Scholar] [CrossRef]
- Vallejo, W.; Diaz-Uribe, C.; Cantillo, Á. Methylene blue photocatalytic degradation under visible irradiation on TiO2 thin films sensitized with Cu and Zn tetracarboxy-phthalocyanines. J. Photochem. Photobiol. A Chem. 2015, 299, 80–86. [Google Scholar] [CrossRef]
- Soury, R.; Alenezi, K.M.; Jabli, M.; Haque, A.; Al Otaibi, A.; El Moll, H.; Philouze, C. Synthesis and characterization of axially modified Zn(II) porphyrin complexes for methylene blue dye oxidative degradation. J. Mol. Struct. 2021, 1243, 130791. [Google Scholar] [CrossRef]
- Ma, J.; Bai, W.; Liu, X.; Zheng, J. Electrochemical dopamine sensor based on bi-metallic Co/Zn porphyrin metal–organic framework. Microchim. Acta 2022, 189, 20. [Google Scholar] [CrossRef] [PubMed]
- Zhang, P.; Yin, Y.; Wang, Z.; Yu, C.; Zhu, Y.; Yan, D.; Liu, W.; Mai, Y. Porphyrin-based conjugated microporous polymer tubes: Template-free synthesis and a photocatalyst for visible-light-driven thiocyanation of anilines. Macromolecules 2021, 54, 3543–3553. [Google Scholar] [CrossRef]
- Sun, E.J.; Wang, B.B.; Yang, X.Y.; Zhang, S.-Q.; Cheng, X.-L.; Shi, T.-S. Synthesis and raman, electrochemical, fluorescence studies of free-base and transition metal porphyrin-nicacid dyads with different substituent groups. Synth. React. Inorg. Met. Org. Nano-Met. Chem. 2013, 43, 157–164. [Google Scholar] [CrossRef]
- Wang, W.; Yu, B. The study on the fluorescence of porphyrins and metalloporphyrins. Chin. J. Lumin. 1984, 5, 41–48. [Google Scholar]
- Wan, L.S.; Wu, J.; Xu, Z.K. Porphyrinated nanofibers via copolymerization and electrospinning. Macromol. Rapid Commun. 2006, 27, 1533–1538. [Google Scholar] [CrossRef]
- Screen, T.E.O.; Lawton, K.B.; Wilson, G.S.; Dolney, N.; Ispasoiu, R.; Goodson, T.; Martin, S.J.; Bradley, D.D.; Anderson, H.L. Synthesis and third order nonlinear optics of a new soluble conjugated porphyrin polymer. J. Mater. Chem. 2001, 11, 312–320. [Google Scholar] [CrossRef]
- Sun, D.; Tham, F.S.; Reed, C.A.; Chaker, L.; Burgess, M.; Boyd, P.D.W. Porphyrin—Fullerene host—Guest chemistry. J. Am. Chem. Soc. 2000, 122, 10704–10705. [Google Scholar] [CrossRef]
- Pechnikova, N.L.; Ageeva, T.A.; Syrbu, S.A. Synthesis and Complex Formation of Porphyrin Polymers on the Basis of Methyl Methacrylate. Russ. J. Gen. Chem. 2017, 87, 3102–3106. [Google Scholar] [CrossRef]
- Shao, L.; Xing, G.; Lv, W.; Yu, H.; Qiu, M.; Zhang, X.-M.; Qi, C. Photodegradation of azo-dyes in aqueous solution by polyacrylonitrile nanofiber mat-supported metalloporphyrins. Polym. Int. 2013, 62, 289–294. [Google Scholar] [CrossRef]
- Neves, C.M.B.; Filipe, O.M.S.; Mota, N.; Santos, S.A.; Silvestre, A.J.; Santos, E.B.; Neves, M.G.P.; Simões, M.M. Photodegradation of metoprolol using a porphyrin as photosensitizer under homogeneous and heterogeneous conditions. J. Hazard. Mater. 2019, 370, 13–23. [Google Scholar] [CrossRef] [PubMed]






Publisher’s Note: MDPI stays neutral with regard to jurisdictional claims in published maps and institutional affiliations. |
© 2022 by the authors. Licensee MDPI, Basel, Switzerland. This article is an open access article distributed under the terms and conditions of the Creative Commons Attribution (CC BY) license (https://creativecommons.org/licenses/by/4.0/).
Share and Cite
Sun, E.-J.; Bai, X.-Y.; Chang, Y.; Li, Q.; Hui, X.-R.; Li, Y.-S.; Wang, Y. Preparation of PMMA Electrospun Fibers Bearing Porphyrin Pendants and Photocatalytic Degradation of Organic Dyes. Molecules 2022, 27, 8132. https://doi.org/10.3390/molecules27238132
Sun E-J, Bai X-Y, Chang Y, Li Q, Hui X-R, Li Y-S, Wang Y. Preparation of PMMA Electrospun Fibers Bearing Porphyrin Pendants and Photocatalytic Degradation of Organic Dyes. Molecules. 2022; 27(23):8132. https://doi.org/10.3390/molecules27238132
Chicago/Turabian StyleSun, Er-Jun, Xiao-Yan Bai, Yu Chang, Qin Li, Xin-Ru Hui, Yan-Song Li, and Yue Wang. 2022. "Preparation of PMMA Electrospun Fibers Bearing Porphyrin Pendants and Photocatalytic Degradation of Organic Dyes" Molecules 27, no. 23: 8132. https://doi.org/10.3390/molecules27238132
APA StyleSun, E.-J., Bai, X.-Y., Chang, Y., Li, Q., Hui, X.-R., Li, Y.-S., & Wang, Y. (2022). Preparation of PMMA Electrospun Fibers Bearing Porphyrin Pendants and Photocatalytic Degradation of Organic Dyes. Molecules, 27(23), 8132. https://doi.org/10.3390/molecules27238132
